Experimental Study on the Strength and Microstructure of Red Mud-Based Silty Sand Modified with Lime–Fly Ash
Abstract
1. Introduction
2. Materials and Methods
2.1. Materials
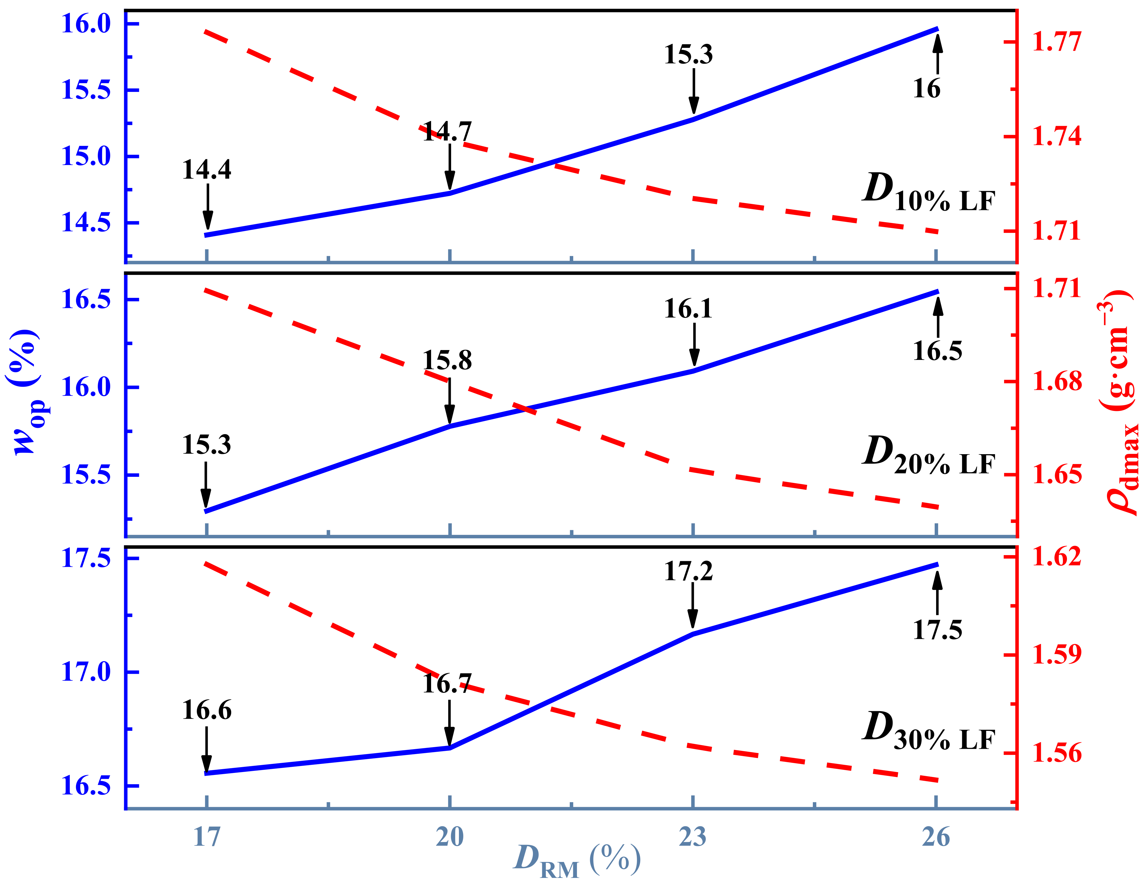
2.2. Test Methods
Detailed Tests
- (a)
- The mixture was compressed into three layers within the mold.
- (b)
- After the specimen was demolded, it was wrapped in cling film and placed in a box with a consistent humidity level of 95% and a temperature of 20 °C.
- (c)
- The specimens were submerged in water for twenty-four hours on the final day of curing.
3. Results and Analysis
3.1. Strength Characteristics Analysis
3.1.1. Axial Stress–Strain Curve
3.1.2. Compressive Strength
3.1.3. Deformation Characteristic
3.1.4. Failure Characteristic
3.2. Analysis of the Solidified Mechanisms of LF-RMS
3.2.1. X-ray Diffraction Analysis
3.2.2. Thermogravimetric–Differential Thermal Analysis
3.2.3. Scanning Electron Microscopy
3.3. Environmental Impact Analysis
4. Conclusions
- The peak value of the stress–strain curve after 90 days of curing was more significant than that at 7 and 28 days, and the stress decreased rapidly after reaching its peak value. The LF-RMS after 90 days of curing indicated brittle failure, and the specimens after 7 days and 28 days of curing indicated plastic failure. The deformation coefficient of the D20%LF+23%RM specimen was the largest with all curing times, suggesting that its ability to resist deformation was the strongest. The deformation coefficients for 7, 28, and 90 days of maintenance were 20.49, 28.15, and 43.11, respectively. The failure strain after 7 days and 28 days of curing was small, but the failure strain after 90 days of curing time increased the most rapidly, indicating that the specimen exhibited the greatest ductility after 90 days.
- The unconfined compressive strength of LF-RMS initially increased and then decreased with varying DLF or DRM values but identical curing times. When DLF was a variable, the specimen containing 20% lime–fly ash exhibited the highest strength, while when DRM was a variable, the specimen with 23% red mud demonstrated the greatest strength. Therefore, D20%LF+23%RM represented the optimal ratio of LF-RMS. In addition, strength increased with an increase in curing time. The strength values of the specimens cured for 28 d and 90 d with D20%LF+23%RM were 3.01 MPa and 4.72 MPa, respectively.
- The LF-RMS hydration reaction of D20%LF+23%RM produced the most hydrated products and the densest structure. When DRM or DLF were too high, the decomposition of Ca(OH)2 was inhibited, and the hydration reaction produced less gelling material. At this time, the soil structure was loose, and it was difficult for Ca(OH)2 crystals to develop into a tightly structured crystalline network, which therefore decreased the strength of the soil.
- The environmental impact of LF-RMS was greatly improved compared to pure RM. The overall concentration of heavy metals in LF-RMS decreased by more than 60%. The hydration products and crystallization in the LF-RMS played a key role in the solidification of heavy metal ions.
Author Contributions
Funding
Data Availability Statement
Conflicts of Interest
References
- Cui, W.; Liu, J.; He, G.; Duan, W.; Li, X.; Dong, X. Evaluation of active silica-alumina content and reactivity in bayer process red mud. Constr. Build. Mater. 2024, 418, 135502. [Google Scholar] [CrossRef]
- Al-Fakih, A.; Nor, Z.M.; Basha, S.I.; Shaikh, M.N.; Ahmad, S.; Al-Osta, M.A.; Aziz, A. Characterization and Applications of Red Mud, an Aluminum Industry Waste Material, in the Construction and Building Industries, as well as Catalysis. Chem. Rec. 2023, 23, e202300039. [Google Scholar] [CrossRef]
- Mukiza, E.; Zhang, L.; Liu, X.; Zhang, N. Utilization of red mud in road base and subgrade materials: A review. Resour. Conserv. Recycl. 2019, 141, 187–199. [Google Scholar] [CrossRef]
- Feng, L.; Yao, W.; Zheng, K.; Cui, N.; Xie, N. Synergistically Using Bauxite Residue (Red Mud) and Other Solid Wastes to Manufacture Eco-Friendly Cementitious Materials. Buildings 2022, 12, 117. [Google Scholar] [CrossRef]
- Qaidi, S.M.; Tayeh, B.A.; Isleem, H.F.; de Azevedo, A.R.; Ahmed, H.U.; Emad, W. Sustainable utilization of red mud waste (bauxite residue) and slag for the production of geopolymer composites: A review. Case Stud. Constr. Mater. 2022, 16, e00994. [Google Scholar] [CrossRef]
- Khairul, M.; Zanganeh, J.; Moghtaderi, B. The composition, recycling and utilisation of Bayer red mud. Resour. Conserv. Recycl. 2018, 141, 483–498. [Google Scholar] [CrossRef]
- Ai, T.; Zhong, D.; Zhang, Y.; Zong, J.; Yan, X.; Niu, Y. The Effect of Red Mud Content on the Compressive Strength of Geopolymers under Different Curing Systems. Buildings 2021, 11, 298. [Google Scholar] [CrossRef]
- Zhang, J.; Gao, Y.; Li, Z.; Wang, C. Pb2+ and Cr3+ immobilization efficiency and mechanism in red-mud-based geopolymer grouts. Chemosphere 2023, 321, 138129. [Google Scholar] [CrossRef]
- Cong, T.D.; Phuong, T.; Vu, M.T.; Nguyen, T.H. Effect of Calcium Hydroxide on Compressive Strength and Microstructure of Geopolymer Containing Admixture of Kaolin, Fly Ash, and Red Mud. Appl. Sci. 2023, 13, 5034. [Google Scholar] [CrossRef]
- Salih, W.; Yu, W.; Dong, X.; Hao, W. Study on stress-strain-resistivity and microscopic mechanism of red mud waste modified by desulphurization gypsum-fly ash under drying-wetting cycles. Constr. Build. Mater. 2020, 249, 118772. [Google Scholar] [CrossRef]
- Barmade, S.; Patel, S.; Dhamaniya, A. Laboratory and Field Evaluation of Stabilized Fly Ash as an Alternative Material for Sustainable Pavements. J. Hazardous, Toxic, Radioact. Waste 2022, 26, 04022028. [Google Scholar] [CrossRef]
- Kumar, S.S.; Maheswaran, S. Thermal, Microstructural, and Mechanical Properties of Ternary Blended Geopolymers. ACI Mater. J. 2022, 119, 103–116. [Google Scholar]
- Ou, X.; Zeng, Y.; Jiang, J.; Lyu, Z.; Chen, H.; Chen, G. Experimental Research on the Properties of Foamed Mixture Lightweight Soil with Red Mud. Case Stud. Constr. Mater. 2022, 17, e01673. [Google Scholar] [CrossRef]
- Shi, J.; Liu, Y.; Li, Z.; Lei, J.; Yin, K.; Zhang, Z.; Xie, N. Upcycling use of red mud-based solid waste in engineered cementitious composites: Properties, activation mechanism, and life-cycle assessment. J. Clean. Prod. 2024, 447, 141504. [Google Scholar] [CrossRef]
- Ke, G.; Zheyu, L.; Haishun, J. Study on long-term solidification of all-solid waste cementitious materials based on circulating fluidized bed fly ash, red mud, carbide slag, and fly ash. Constr. Build. Mater. 2024, 427, 136284. [Google Scholar] [CrossRef]
- Ma, Q.; Duan, W.; Liu, X.; Fang, P.; Chen, R.; Wang, T.; Hao, Z. Engineering Performance Evaluation of Recycled Red Mud Stabilized Loessial Silt as a Sustainable Subgrade Material. Materials 2022, 15, 3391. [Google Scholar] [CrossRef] [PubMed]
- Chandra, S.; Sahile, K. Utilization of Red Mud-Fly Ash Reinforced with Cement in Road Construction Applications. Adv. Mater. Sci. Eng. 2021, 2021. [Google Scholar]
- Chandra, K.S.; Krishnaiah, S.; Reddy, N.G.; Hossiney, N.; Peng, L. Strength Development of Geopolymer Composites Made from Red Mud-Fly Ash as a Subgrade Material in Road Construction. J. Hazard. Toxic Radioact. Waste 2021, 25, 04020068. [Google Scholar] [CrossRef]
- Liu, S.; Li, Z.; Li, Y.; Cao, W. Strength properties of Bayer red mud stabilized by lime-fly ash using orthogonal experiments. Constr. Build. Mater. 2018, 166, 554–563. [Google Scholar] [CrossRef]
- Li, X.; Liang, Z.; Ren, K.; Yin, S.; Sun, Y. The Effect of Hydraulic History on Shear Strength of Silt. Int. J. Geomech. 2023, 23, 04023137. [Google Scholar] [CrossRef]
- Long, Q.; Zhao, Y.; Zhang, B.; Yang, H.; Luo, Z.; Li, Z.; Zhang, G.; Liu, K. Interfacial Behavior of Slag, Fly Ash, and Red Mud-Based Geopolymer Mortar with Concrete Substrate: Mechanical Properties and Microstructure. Buildings 2024, 14, 652. [Google Scholar] [CrossRef]
- Kumar, A.; Kumar, S. Development of paving blocks from synergistic use of red mud and fly ash using geopolymerization. Constr. Build. Mater. 2013, 38, 865–871. [Google Scholar] [CrossRef]
- He, J.; Guo, T.; Li, Z.; Gao, Y.; Zhang, J. Hydration mechanism of red mud-fly ash based geopolymer. Mater. Chem. Phys. 2024, 314, 128807. [Google Scholar] [CrossRef]
- ASTMD698-12; Standard Test Methods for Laboratory Compaction Characteristics of Soil Using Standard Effort. USA ASTM International: West Conshohocken, PA, USA, 2021.
- Ma, K.; Liu, J.; Jiang, C.H.; Ma, X.F.; Huang, L.H.; He, C.Z.; Qi, C.Q. Compressive and tensile strength of polymer-based fiber composite sand. J. Cent. South Univ. 2022, 29, 528–545. [Google Scholar] [CrossRef]
- Bai, Y.; Guo, W.; Zhang, Y.; Xue, C.; Xu, Z.; Gao, Q.; Xiao, C.; Zhao, Q. Low carbon binder preparation from slag-red mud activated by MSWI fly ash-carbide slag: Hydration characteristics and heavy metals’ solidification behavior. J. Clean. Prod. 2022, 374, 134007. [Google Scholar] [CrossRef]
- Li, X.; Yan, P.; Yin, S.; Zhang, X.; Liu, P.; Wang, Y. Strength Characteristics and Micro-Mechanism of Silty Soil Modified by Red Mud Co-Cement. Sustainability 2023, 15, 8762. [Google Scholar] [CrossRef]
- JTG/TF20-2015; Technical Specification for Highway Pavement Base Construction. Beijing Ministry of Transport of the People’s Republic of China: Beijing, China, 2015.
- He, J.; Wang, X.Q.; Shi, X.K.; Li, Z.X. Unconfined Compressive Strength and Microscopic Characteristics of Soft Soil Solidified with Soda Residue and Ground Granulated Blast Furnace Slag. J. Basic Sci. Eng. 2021, 29, 376–386. [Google Scholar]
- Saing, Z.; Samang, L.; Harianto, T.; Palanduk, J. Bearing capacity characteristic of subgrade layer quicklime treated laterite soil. MATEC Web Conf. 2018, 181, 11001. [Google Scholar] [CrossRef][Green Version]
- Elyasigorji, F.; Farajiani, F.; Manjili, M.H.; Lin, Q.; Elyasigorji, S.; Farhangi, V.; Tabatabai, H. Comprehensive Review of Direct and Indirect Pozzolanic Reactivity Testing Methods. Buildings 2023, 13, 2789. [Google Scholar] [CrossRef]
- Hu, W.; Nie, Q.; Huang, B.; Shu, X.; He, Q. Mechanical and Microstructural Characterization of Geopolymers Derived from Red Mud and Fly Ashes. J. Clean. Prod. 2018, 186, 799–806. [Google Scholar] [CrossRef]
- Li, W.; Wang, W.; Wu, D.; Yang, S.; Fang, H.; Sun, S. Mechanochemical treatment with red mud added for heavy metals solidification in municipal solid waste incineration fly ash. J. Clean. Prod. 2023, 398, 136642. [Google Scholar] [CrossRef]
- Nath, S. Fly ash and zinc slag blended geopolymer: Immobilization of hazardous materials and development of paving blocks. J. Hazard. Mater. 2019, 387, 121673. [Google Scholar] [CrossRef] [PubMed]
- Meskini, S.; Mechnou, I.; Benmansour, M.; Remmal, T.; Samdi, A. Environmental investigation on the use of a phosphogypsum-based road material: Radiological and leaching assessment. J. Environ. Manag. 2023, 345, 118597. [Google Scholar] [CrossRef] [PubMed]
- GB5085.3-2007; Identification Standards for Hazardous Wastes Identification for Extraction Toxicity. Beijing Ministry of Ecological Environment of the People’s Republic of China: Beijing, China, 2007.
- Chen, L.; Nakamura, K.; Hama, T. Review on stabilization/solidification methods and mechanism of heavy metals based on OPC-based binders. J. Environ. Manag. 2023, 332, 117362. [Google Scholar] [CrossRef] [PubMed]
- Qiao, G.; Hou, D.; Li, W.; Yin, B.; Zhang, Y.; Wang, P. Molecular insights into migration of heavy metal ion in calcium silicate hydrate (CSH) surface and intra-CSH (Ca/Si = 1.3). Constr. Build. Mater. 2023, 365, 130097. [Google Scholar] [CrossRef]
- Chen, X.; Guo, Y.; Ding, S.; Zhang, H.Y.; Xia, F.Y.; Wang, J.; Zhou, M. Utilization of Red Mud in Geopolymer-based Pervious Concrete with Function of Adsorption of Heavy Metal Ions. J. Clean. Prod. 2018, 207, 789–800. [Google Scholar] [CrossRef]
- Li, Y.; Min, X.; Ke, Y.; Liu, D.; Tang, C. Preparation of red mud-based geopolymer materials from MSWI fly ash and red mud by mechanical activation. Waste Manag. 2018, 83, 202–208. [Google Scholar] [CrossRef]














| Physical Property | Materials | |
|---|---|---|
| Silty Soil | Red Mud (RM) | |
| Specific gravity | 2.65 | 2.83 |
| Plastic limit (%) | 8.22 | 33.8 |
| Liquid limit (%) | 19.2 | 50.2 |
| Optimum water content (%) | 9.26 | 31.3 |
| Maximum dry density (g·cm−3) | 1.913 | 1.518 |
| Loss-on-ignition (%) | / | 14.67 |
| Chemical Compositions (%) | Materials | |||
|---|---|---|---|---|
| Silty Soil | RM | Lime | Fly Ash | |
| Al2O3 | 9.58 | 20.1 | / | 36.3 |
| SiO2 | 67.89 | 13.28 | / | 42.6 |
| Fe2O3 | 5.97 | 3.32 | / | 1.95 |
| CaO | 3.04 | 32.02 | 95.6 | 4.6 |
| TiO2 | 2.86 | 3.81 | / | 1.15 |
| K2O | 1.75 | 0.35 | / | 0.52 |
| MgO | 2.82 | 1.16 | 0.96 | / |
| Na2O | / | 10.9 | / | / |
| SO3 | 0.46 | / | 0.06 | / |
| Others | 5.63 | 15.06 | 3.38 | 12.88 |
| Tests | DRM (%) | DLF (%) | Curing Time (d) | Numbers |
|---|---|---|---|---|
| Mechanical test | 17, 20, 23, 26 | 10, 20, 30 | 7, 28, 90 | \ |
| Microscopic test | 26 | 20 | 28 | LF-1 |
| 23 | 10 | LF-2 | ||
| 20 | LF-3 | |||
| 30 | LF-4 | |||
| 23 | 20 | 90 | LF-5 |
| Test Names | Test Instruments | Test Parameters |
|---|---|---|
| XRD test | Bruker D8 Advance X-ray diffractometer (Germany) | 2θ:5° to 80°; the scanning rate: 0.002 to 100°/min |
| TG-DTG test | STA499F5 synchronous thermal analyzer | The temperature range: 0 to 1000 °C; rising rate: 20 °C/min |
| SEM test | Ultra-high-resolution field-emission scanning electron microscope from Hitachi High-Tech SU8100 series | 10,000× magnification |
| Materials | Radioactive Specific Activity (Bq·kg−1) | Corrosiveness | ||
|---|---|---|---|---|
| 226Ra | 232Th | K40 | PH | |
| RM | 508 | 265 | 1050 | 11.71 |
| LF-RMS | 118 | 97 | 332 | 9.87 |
Disclaimer/Publisher’s Note: The statements, opinions and data contained in all publications are solely those of the individual author(s) and contributor(s) and not of MDPI and/or the editor(s). MDPI and/or the editor(s) disclaim responsibility for any injury to people or property resulting from any ideas, methods, instructions or products referred to in the content. |
© 2024 by the authors. Licensee MDPI, Basel, Switzerland. This article is an open access article distributed under the terms and conditions of the Creative Commons Attribution (CC BY) license (https://creativecommons.org/licenses/by/4.0/).
Share and Cite
Yin, S.; Yan, P.; Li, X.; Wang, Y.; Zhang, X.; Sun, Y.; Chen, C. Experimental Study on the Strength and Microstructure of Red Mud-Based Silty Sand Modified with Lime–Fly Ash. Buildings 2024, 14, 1336. https://doi.org/10.3390/buildings14051336
Yin S, Yan P, Li X, Wang Y, Zhang X, Sun Y, Chen C. Experimental Study on the Strength and Microstructure of Red Mud-Based Silty Sand Modified with Lime–Fly Ash. Buildings. 2024; 14(5):1336. https://doi.org/10.3390/buildings14051336
Chicago/Turabian StyleYin, Song, Pan Yan, Xinming Li, Yulong Wang, Xianwei Zhang, Yuzhou Sun, and Cheng Chen. 2024. "Experimental Study on the Strength and Microstructure of Red Mud-Based Silty Sand Modified with Lime–Fly Ash" Buildings 14, no. 5: 1336. https://doi.org/10.3390/buildings14051336
APA StyleYin, S., Yan, P., Li, X., Wang, Y., Zhang, X., Sun, Y., & Chen, C. (2024). Experimental Study on the Strength and Microstructure of Red Mud-Based Silty Sand Modified with Lime–Fly Ash. Buildings, 14(5), 1336. https://doi.org/10.3390/buildings14051336

