Study on the Properties of Belite Calcium Sulfoaluminate Cement–Ordinary Portland Cement Composite Cementitious System
Abstract
1. Introduction
2. Materials and Methods
2.1. Materials
2.2. Mixture Proportions and Sample Preparation
2.3. Methods
2.3.1. Setting Time
2.3.2. Early Stiffening Test
- (1)
- When the percentage of I/F is ≥50%, it was judged as normal setting.
- (2)
- When the percentage of I/F is <50%, it was considered that the cement was abnormally setting (false set or flash set), so we remixed the paste without adding water, and then measured R. If R < I, the cement was false set, and if R > I, the cement was flash set.
2.3.3. Heat of Hydration
2.3.4. XRD Analysis
2.3.5. Mechanical Properties
2.3.6. Drying Shrinkage
2.3.7. TG-DSC Analysis
2.3.8. SEM Analysis
2.3.9. Pore Size Distribution
3. Results
3.1. Analysis of Physical and Mechanical Properties of Composite Cement Systems
3.1.1. Setting Time
3.1.2. Early Stiffening Test
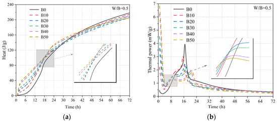
3.1.3. Heat of Hydration
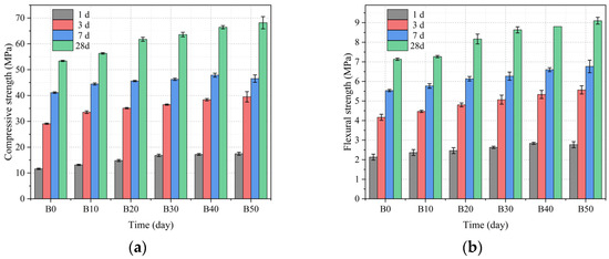
3.1.4. Mechanical Properties
3.1.5. Drying Shrinkage
3.1.6. Pore Size Distribution
3.2. Compositional and Micromorphological Analysis of Hydration Products
3.2.1. XRD Analysis
3.2.2. TG–DSC Analysis
3.2.3. SEM Analysis
4. Conclusions
- (1)
- The setting time of the BCSA–OPC decreased with the increase in BCSA dosage, and except for BCSA dosage of 60–80%, the rest of the cement could be set normally.
- (2)
- The exothermic rate of hydration of the BCSA–OPC in the preinduction period increased compared with that of OPC, which is due to the increase in C4A3$. The exothermic rate of hydration of the BCSA–OPC in the later periods decreased compared with that of OPC, which is due to the decrease in C3S and the retardation effect of gypsum.
- (3)
- The mechanical properties of the BCSA–OPC mortar increased with the increase in BCSA dosage. Compared with OPC, the flexural strengths at the hydration ages of 1 d, 3 d, 7 d, and 28 d of the BCSA–OPC with 50% BCSA dosage were improved by 33.3%, 36.6%, 23.6%, and 26.8%, respectively, and the compressive strengths were improved by 50.8%, 35.7%, 13.4%, and 27.7%, respectively. This is attributed to the filling effect of a large amount of AFt intertwined with the fibrous C-S-H gel to form a network and make the mortar dense.
- (4)
- The drying shrinkage and total porosity of the BCSA–OPC mortar decreased with the increase in BCSA dosage. The drying shrinkage and total porosity of B50 at the hydration age of 28 d were reduced by 117.4% and 21.55%, respectively. This is due to the fact that AFt has the effect of compensating the shrinkage and blocking the pore size to reduce the water loss.
Author Contributions
Funding
Data Availability Statement
Conflicts of Interest
References
- Scrivener, K.L.; Nonat, A. Hydration of cementitious materials, present and future. Cem. Concr. Res. 2011, 41, 651–665. [Google Scholar] [CrossRef]
- Yeung, J.S.; Yam, M.C.; Wong, Y.L. Model for predicting shrinkage of concrete using calcium sulfoaluminate cement blended with OPC, PFA and GGBS. J. Build. Eng. 2020, 32, 101671. [Google Scholar] [CrossRef]
- Souza, M.T.; Onghero, L.; Correa, B.N.; Selhorst, M.A.; Dias, A.M.; Repette, W.L.; Pereira, F.R.; Oliveira, A.P.N. Novel low-cost shrinkage-compensating admixture for ordinary Portland cement. Constr. Build. Mater. 2020, 230, 117024. [Google Scholar] [CrossRef]
- Liu, H.; Wang, S.; Huang, Y.; Melugiri, S.B.; Zhang, S.; Cheng, X. Effect of SCMs on the freeze-thaw performance of iron-rich phosphoaluminate cement. Constr. Build. Mater. 2020, 230, 117012. [Google Scholar] [CrossRef]
- Zhang, J.; Li, G.; Ye, W.; Chang, Y.; Liu, Q.; Song, Z. Effects of ordinary Portland cement on the early properties and hydration of calcium sulfoaluminate cement. Constr. Build. Mater. 2018, 186, 1144–1153. [Google Scholar] [CrossRef]
- Li, P.; Gao, X.; Wang, K.; Tam, V.W.Y.; Li, W. Hydration mechanism and early frost resistance of calcium sulfoaluminate cement concrete. Constr. Build. Mater. 2020, 239, 117862. [Google Scholar] [CrossRef]
- Ramanathan, S.; Halee, B.; Suraneni, P. Effect of calcium sulfoaluminate cement prehydration on hydration and strength gain of calcium sulfoaluminate cement-ordinary portland cement mixtures. Cem. Concr. Compos. 2020, 112, 103694. [Google Scholar] [CrossRef]
- Quillin, K. Performance of belite–sulfoaluminate cements. Cem. Concr. Res. 2001, 31, 1341–1349. [Google Scholar] [CrossRef]
- Saoût, G.L.; Lothenbach, B.; Hori, A.; Higuchi, T.; Winnefeld, F. Hydration of Portland cement with additions of calcium sulfoaluminates. Cem. Concr. Res. 2013, 43, 81–94. [Google Scholar] [CrossRef]
- Nagataki, S.; Gomi, H. Expansive admixtures (mainly ettringite). Cem. Concr. Compos. 1998, 20, 163–170. [Google Scholar] [CrossRef]
- Li, C.; Shang, P.; Li, F.; Feng, M.; Zhao, S. Shrinkage and mechanical properties of self-compacting SFRC with calcium-sulfoaluminate expansive agent. Materials 2020, 13, 588. [Google Scholar] [CrossRef]
- Yoo, D.Y.; Kim, S.; Lee, J.Y.; You, I.; Lee, S.J. Implication of calcium sulfoaluminate-based expansive agent on tensile behavior of ultra-high-performance fiber-reinforced concrete. Constr. Build. Mater. 2019, 217, 679–693. [Google Scholar] [CrossRef]
- Pelletier, C.L.; Winnefeld, F.; Lothenbach, B.; Müller, C.J. Beneficial use of limestone filler with calcium sulphoaluminate cement. Constr. Build. Mater. 2011, 26, 619–627. [Google Scholar] [CrossRef]
- Ji, G.; Ali, H.A.; Sun, K.; Xuan, D.; Peng, X.; Li, J. Volume deformation and hydration behavior of ordinary Portland cement/calcium sulfoaluminate cement blends. Materials 2023, 16, 2652. [Google Scholar] [CrossRef]
- Trauchessec, R.; Mechling, J.M.; Lecomte, A.; Roux, A.; Le Rolland, B. Hydration of ordinary Portland cement and calcium sulfoaluminate cement blends. Cem. Concr. Compos. 2015, 56, 106–114. [Google Scholar] [CrossRef]
- Chaunsali, P.; Mondal, P. Influence of calcium sulfoaluminate (CSA) cement content on expansion and hydration behavior of various ordinary Portland cement-CSA blends. J. Am. Ceram. Soc. 2015, 98, 2167–2624. [Google Scholar] [CrossRef]
- Pustovgar, E.; Mishra, R.K.; Palacios, M.; Lacaillerie, J.B.E.; Matschei, T.; Andreev, A.S.; Heinz, H.; Verel, R.; Flatt, R.J. Influence of aluminates on the hydration kinetics of tricalcium silicate. Cem. Concr. Res. 2017, 100, 245–262. [Google Scholar] [CrossRef]
- Pelletier, L.; Winnefeld, F.; Lothenbach, B. The ternary system Portland cement–calcium sulphoaluminate clinker–anhydrite: Hydration mechanism and mortar properties. Cem. Concr. Compos. 2010, 32, 497–507. [Google Scholar] [CrossRef]
- Chen, X.; Li, J.; Lu, Z.; Niu, Y.; Jiang, J.; Xu, Y.; Zhong, W. Preparation and hydration of brownmillerite-belite-sulfoaluminate cement. Materials 2022, 15, 4344. [Google Scholar] [CrossRef]
- Ma, B.; Li, X.; Mao, Y.; Shen, X. Synthesis and characterization of high belite sulfoaluminate cement through rich alumina fly ash and desulfurization gypsum. Ceram. -Silikáty 2013, 57, 7–13. [Google Scholar] [CrossRef]
- Sadananda, S.; Ján, M. Preparation of sulphoaluminate belite cement from fly ash. Cem. Concr. Res. 1994, 24, 1065–1072. [Google Scholar] [CrossRef]
- Rungchet, A.; Poon, C.S.; Chindaprasirt, P.; Pimraksa, K. Synthesis of low-temperature calcium sulfoaluminate-belite cements from industrial wastes and their hydration: Comparative studies between lignite fly ash and bottom ash. Cem. Concr. Compos. 2017, 83, 10–19. [Google Scholar] [CrossRef]
- Koichiro, F.; Ayari, T.; Hideto, Y. Remelting reaction of α-Ca2SiO4 solid solution confirmed in Ca2SiO4–Ca12Al14O33 pseudobinary system. Cem. Concr. Res. 2001, 31, 1185–1189. [Google Scholar] [CrossRef]
- Cuesta, A.; Ayuela, A.; Aranda, M.A.G. Belite cements and their activation. Cem. Concr. Res. 2021, 140, 106319. [Google Scholar] [CrossRef]
- Li, R.; He, W.; Zhang, J.; Wang, Y.; Zhang, Y.; Nie, D. Preparation of belite–sulphoaluminate cement using phosphate rock acid-insoluble residue. Constr. Build. Mater. 2022, 323, 126573. [Google Scholar] [CrossRef]
- Wang, X.; Guo, M.; Yue, G.; Li, Q.; Ling, T. Synthesis of high belite sulfoaluminate cement with high volume of mixed solid wastes. Soc. Sci. Electron. Publ. 2022, 158, 106845. [Google Scholar] [CrossRef]
- Jiang, T.; Cui, K.; Chang, J. Development of low-carbon cement: Carbonation of compounded C2S by β-C2S and γ-C2S. Cem. Concr. Compos. 2023, 139, 105071. [Google Scholar] [CrossRef]
- GB/T 1346-2011; Test Methods for Water Requirement of Normal Consistency, Setting Time and Soundness of the Portland Cement. China National Standards Management Committee: Beijing, China, 2011.
- JC/T 602-2010; Test Method for Early Stiffening of Cement. Ministry of Industry and Information Technology of China: Beijing, China, 2010.
- GB/T 17671-1999; Cement Sand Strength Test Method. General Administration Quality Supervision and Quarantine of China: Beijing, China, 1999.
- Chen, Y.; Odler, I. On the origin of portland cement setting. Cem. Concr. Res. 1992, 22, 1730–1740. [Google Scholar] [CrossRef]
- Phongthorn, J.; Panuwat, J. Utilization of several industrial wastes as raw material for calcium sulfoaluminate cement. Materials 2019, 20, 3319. [Google Scholar] [CrossRef]
- Song, Y.; Zhang, Y.; Shen, S.; Pan, C.; Yan, D.; Wang, Z.; Wang, S.; Ruan, S. Effects of Ca(OH)2 on the reinforcement corrosion of sulfoaluminate cement mortar. Mater. Struct. 2023, 56, 26. [Google Scholar] [CrossRef]
- Encinas, P.; Palomo, A.; Blanco-Varela, M.T.; Fernández-Jiménez, A. Calcium sulfoaluminate clinker hydration at different alkali concentrations. Cem. Concr. Res. 2020, 138, 106251. [Google Scholar] [CrossRef]
- Rakhimbaev, S.M.; Tolypina, N.M.; Anikanova, T.V.M.; Khakhaleva, E.N. Abnormal setting of Portland cement. J. Phys. Conf. Ser. 2021, 1926, 012066. [Google Scholar] [CrossRef]
- Zhang, D. On flash and false setting of cement. Cement 2016, 7, 17–20. [Google Scholar] [CrossRef]
- Kondo, R. False setting of cement. J. Ceram. Assoc. Jpn. 1957, 65, 211–218. [Google Scholar] [CrossRef][Green Version]
- Li, Z.; Lu, D.; Gao, X. Analysis of correlation between hydration heat release and compressive strength for blended cement pastes. Constr. Build. Mater. 2020, 260, 120436. [Google Scholar] [CrossRef]
- Jansen, D.; Goetz, N.F.; Lothenbach, B.; Neubauer, J. The early hydration of ordinary Portland cement (OPC): An approach comparing measured heat flow with calculated heat flow from QXRD. Cem. Concr. Res. 2011, 42, 132–138. [Google Scholar] [CrossRef]
- Li, Y.; Zhang, H.; Huang, M.; Yin, H.; Jiang, K.; Xiao, K.; Tang, S. Influence of different alkali sulfates on the shrinkage, hydration, pore structure, fractal dimension and microstructure of low-heat Portland cement, medium-heat Portland cement and ordinary Portland cement. Fractal Fract. 2021, 5, 79. [Google Scholar] [CrossRef]
- José, S.A.N.; Erich, D.R.; Monteiro, P.J.M.; Angeles, G.; De, L.T.; Ana, P.K. Hydration of C3S and Al-doped C3S in the presence of gypsum. Cem. Concr. Res. 2022, 152, 106686. [Google Scholar] [CrossRef]
- Liao, Y.; Yao, J.; Deng, F.; Li, H.; Wang, K.; Tang, S. Hydration behavior and strength development of supersulfated cement prepared by calcined phosphogypsum and slaked lime. J. Build. Eng. 2023, 80, 108075. [Google Scholar] [CrossRef]
- Gies, A.; Knöfel, D. Influence of alkalies on the composition of belite-rich cement clinkers and the technological properties of the resulting cements. Cem. Concr. Res. 1986, 16, 411–422. [Google Scholar] [CrossRef]
- Han, Y.; Xia, J.; Chang, H.; Xu, J. The influence mechanism of ettringite crystals and microstructure characteristics on the strength of calcium-based stabilized soil. Materials 2021, 14, 1359. [Google Scholar] [CrossRef] [PubMed]
- Wu, M.; Zhang, Y.; Jia, Y.; She, W.; Liu, G. Study on the role of activators to the autogenous and drying shrinkage of lime-based low carbon cementitious materials. J. Clean. Prod. 2020, 257, 120522. [Google Scholar] [CrossRef]
- Liu, Z.; Ni, W.; Li, Y.; Ba, H.; Li, N.; Ju, Y.; Zhao, B.; Jia, G.; Hu, W. The mechanism of hydration reaction of granulated blast furnace slag-steel slag-refining slag-desulfurization gypsum-based clinker-free cementitious materials. J. Build. Eng. 2021, 44, 103289. [Google Scholar] [CrossRef]
- Hu, X.; Shi, Z.; Shi, C.; Wu, Z.; Tong, B.; Ou, Z.; Schutter, G. Drying shrinkage and cracking resistance of concrete made with ternary cementitious components. Constr. Build. Mater. 2017, 149, 406–415. [Google Scholar] [CrossRef]
- Cohen, M.; Mobasher, B. Drying shrinkage of expansive cements. J. Mater. Sci. 1988, 23, 1976–1980. [Google Scholar] [CrossRef]
- Ke, G.; Zhang, J.; Liu, Y.; Xie, S. Pore characteristics of calcium sulfoaluminate cement paste with impact of supplementary cementitious materials and water to binder ratio. Powder Technol. 2021, 387, 146–155. [Google Scholar] [CrossRef]
- Yun, H.; Zhang, Y.; Zong, L. The pore structure and hydration performance of sulphoaluminate MDF cement. J. Wuhan Univ. Technol. Mater. Sci. 2004, 19, 83–85. [Google Scholar] [CrossRef]
- Bernardo, G.; Telesca, A.; Valenti, G.L. A porosimetric study of calcium sulfoaluminate cement pastes cured at early ages. Cem. Concr. Res. 2006, 36, 1042–1047. [Google Scholar] [CrossRef]
- Bizzozero, J.; Gosselin, C.; Scrivener, K.L. Expansion mechanisms in calcium aluminate and sulfoaluminate systems with calcium sulfate. Cem. Concr. Res. 2014, 56, 190–202. [Google Scholar] [CrossRef]
- Takahashi, K.; Asamoto, S.; Kobayashi, M.; Bier, T. Effects of fatty alcohol-based shrinkage reducing agents on early-age shrinkage under high temperature conditions. J. Adv. Concr. Technol. 2019, 17, 648–658. [Google Scholar] [CrossRef]
- Wang, S.; Wang, Z.; Huang, T.; Wang, P.; Zhang, G. Mechanical strengths, drying shrinkage and pore structure of cement mortars with hydroxyethyl methyl cellulose. Constr. Build. Mater. 2022, 314, 125683. [Google Scholar] [CrossRef]
- Dong, D.; Huang, Y.; Gao, X. Effect of polyvinyl alcohol powder on the impermeability, frost resistance and pore structure of calcium sulfoaluminate cement concrete. Constr. Build. Mater. 2023, 409, 133858. [Google Scholar] [CrossRef]
- Deng, G.; He, Y.; Lu, L.; Wang, F.; Fu, S. Pore structure evolution and sulfate attack of high-volume slag blended mortars under standard curing and steam curing. Constr. Build. Mater. 2023, 363, 129878. [Google Scholar] [CrossRef]
- Zhang, J.; Ye, C.; Tan, H.; Liu, X. Potential application of Portland cement-sulfoaluminate cement system in precast concrete cured under ambient temperature. Constr. Build. Mater. 2020, 251, 118869. [Google Scholar] [CrossRef]
- Li, X.; Liu, S.; Zhang, H.; Li, H.; Guan, X. Effects of AH3 and AFt on the hydration–hardening properties of the C4A3S-CS-H2O system. Materials 2023, 16, 6322. [Google Scholar] [CrossRef] [PubMed]
- Zhang, Z.; Du, J.; Shi, M. Quantitative analysis of the calcium hydroxide content of EVA-modified cement paste based on TG-DSC in a dual atmosphere. Materials 2022, 15, 2660. [Google Scholar] [CrossRef] [PubMed]
- Wang, L.; Ju, S.; Chu, H.; Liu, Z.; Yang, Z.; Wang, F.; Jiang, J. Hydration process and microstructure evolution of low exothermic concrete produced with urea. Constr. Build. Mater. 2020, 248, 118640. [Google Scholar] [CrossRef]
- Sun, H.; Qian, J.; Peng, S.; Xiong, M.; Fan, C.; Fan, Y. Utilization of circulating fluidized bed combustion ash to prepare supersulfated cement. Constr. Build. Mater. 2022, 318, 125861. [Google Scholar] [CrossRef]
- Zhang, Y.; Chang, J.; Ji, J. AH3 phase in the hydration product system of AFt-AFm-AH3 in calcium sulfoaluminate cements: A microstructural study. Constr. Build. Mater. 2018, 167, 587–596. [Google Scholar] [CrossRef]
- Yu, L.; Chu, H.; Zhu, Z.; Jiang, L.; Dong, H. Determination of the chloride ion content in concrete under simultaneous chloride and sulphate ion attack. J. Build. Eng. 2023, 72, 106579. [Google Scholar] [CrossRef]
- Niu, F.; An, Y.; Zhang, J.; Chen, W.; He, S. Synergistic excitation mechanism of CaO-SiO2-Al2O3-SO3 quaternary active cementitious system. Front. Mater. 2021, 8, 792682. [Google Scholar] [CrossRef]
- Shen, D.; Liu, K.; Wen, C.; Shen, Y.; Jiang, G. Early-age cracking resistance of ground granulated blast furnace slag concrete. Constr. Build. Mater. 2019, 222, 278–287. [Google Scholar] [CrossRef]










| Chemical Analysis | CaO | SiO2 | Al2O3 | MgO | Fe2O3 | SO3 | K2O | Na2O | etc. |
|---|---|---|---|---|---|---|---|---|---|
| OPC | 54.32 | 24.30 | 9.71 | 3.93 | 3.03 | 2.69 | 0.63 | 0.37 | 1.02 |
| BCSA | 45.59 | 16.30 | 15.33 | 3.98 | 1.32 | 15.40 | 0.47 | 0.25 | 1.36 |
| Category | B0 | B10 | B20 | B30 | B40 | B50 | B60 | B70 | B80 | B90 | B100 |
|---|---|---|---|---|---|---|---|---|---|---|---|
| BCSA | 0 | 10 | 20 | 30 | 40 | 50 | 60 | 70 | 80 | 90 | 100 |
| OPC | 100 | 90 | 80 | 70 | 60 | 50 | 40 | 30 | 20 | 10 | 0 |
| Category | OPC | BCSA | Standard Sand | Water |
|---|---|---|---|---|
| B0 | 450 | 0 | 1350 | 225 |
| B10 | 405 | 45 | 1350 | 225 |
| B20 | 360 | 90 | 1350 | 225 |
| B30 | 315 | 135 | 1350 | 225 |
| B40 | 270 | 180 | 1350 | 225 |
| B50 | 225 | 225 | 1350 | 225 |
Disclaimer/Publisher’s Note: The statements, opinions and data contained in all publications are solely those of the individual author(s) and contributor(s) and not of MDPI and/or the editor(s). MDPI and/or the editor(s) disclaim responsibility for any injury to people or property resulting from any ideas, methods, instructions or products referred to in the content. |
© 2024 by the authors. Licensee MDPI, Basel, Switzerland. This article is an open access article distributed under the terms and conditions of the Creative Commons Attribution (CC BY) license (https://creativecommons.org/licenses/by/4.0/).
Share and Cite
Xin, X.; Duan, G.; Zhu, J.; Hou, P.; Zhao, P.; Du, P.; Wang, S.; Huang, Y. Study on the Properties of Belite Calcium Sulfoaluminate Cement–Ordinary Portland Cement Composite Cementitious System. Buildings 2024, 14, 890. https://doi.org/10.3390/buildings14040890
Xin X, Duan G, Zhu J, Hou P, Zhao P, Du P, Wang S, Huang Y. Study on the Properties of Belite Calcium Sulfoaluminate Cement–Ordinary Portland Cement Composite Cementitious System. Buildings. 2024; 14(4):890. https://doi.org/10.3390/buildings14040890
Chicago/Turabian StyleXin, Xiangyu, Guangbin Duan, Jiang Zhu, Pengkun Hou, Piqi Zhao, Peng Du, Shoude Wang, and Yongbo Huang. 2024. "Study on the Properties of Belite Calcium Sulfoaluminate Cement–Ordinary Portland Cement Composite Cementitious System" Buildings 14, no. 4: 890. https://doi.org/10.3390/buildings14040890
APA StyleXin, X., Duan, G., Zhu, J., Hou, P., Zhao, P., Du, P., Wang, S., & Huang, Y. (2024). Study on the Properties of Belite Calcium Sulfoaluminate Cement–Ordinary Portland Cement Composite Cementitious System. Buildings, 14(4), 890. https://doi.org/10.3390/buildings14040890

