Bond–Slip Performance of Steel–Fiber-Reinforced Polymer Composite Bars (SFCBs) and Glass Fiber with Expansion-Agent-Reinforced Seawater Sea-Sand Concrete (GF-EA-SSSC) under Freezing–Thawing Environment
Abstract
1. Introduction
2. Experimental Program
2.1. Materials
2.2. Specimen Preparation
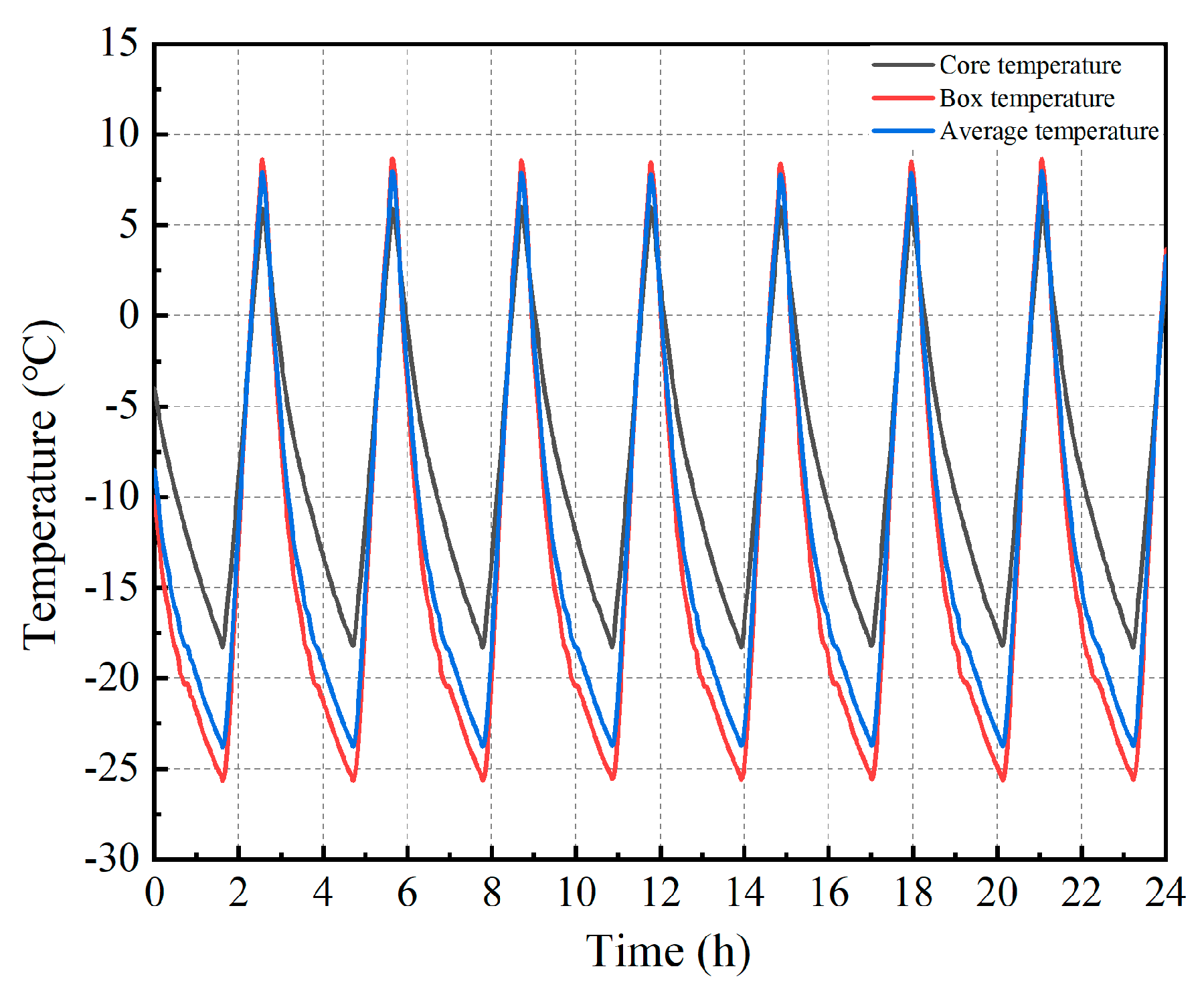
2.3. Test Methods
3. Results and Discussion
3.1. Mechanical Properties of SSSC in Freezing–Thawing Environment
3.1.1. Failure Modes
3.1.2. Compressive Strength Degradation
3.1.3. Stress–Strain Relationships
3.1.4. Dynamic Elastic Modulus
3.1.5. Mass Loss
3.2. SFCB-SSSC Bonding Behavior
3.2.1. Bond Interfaces
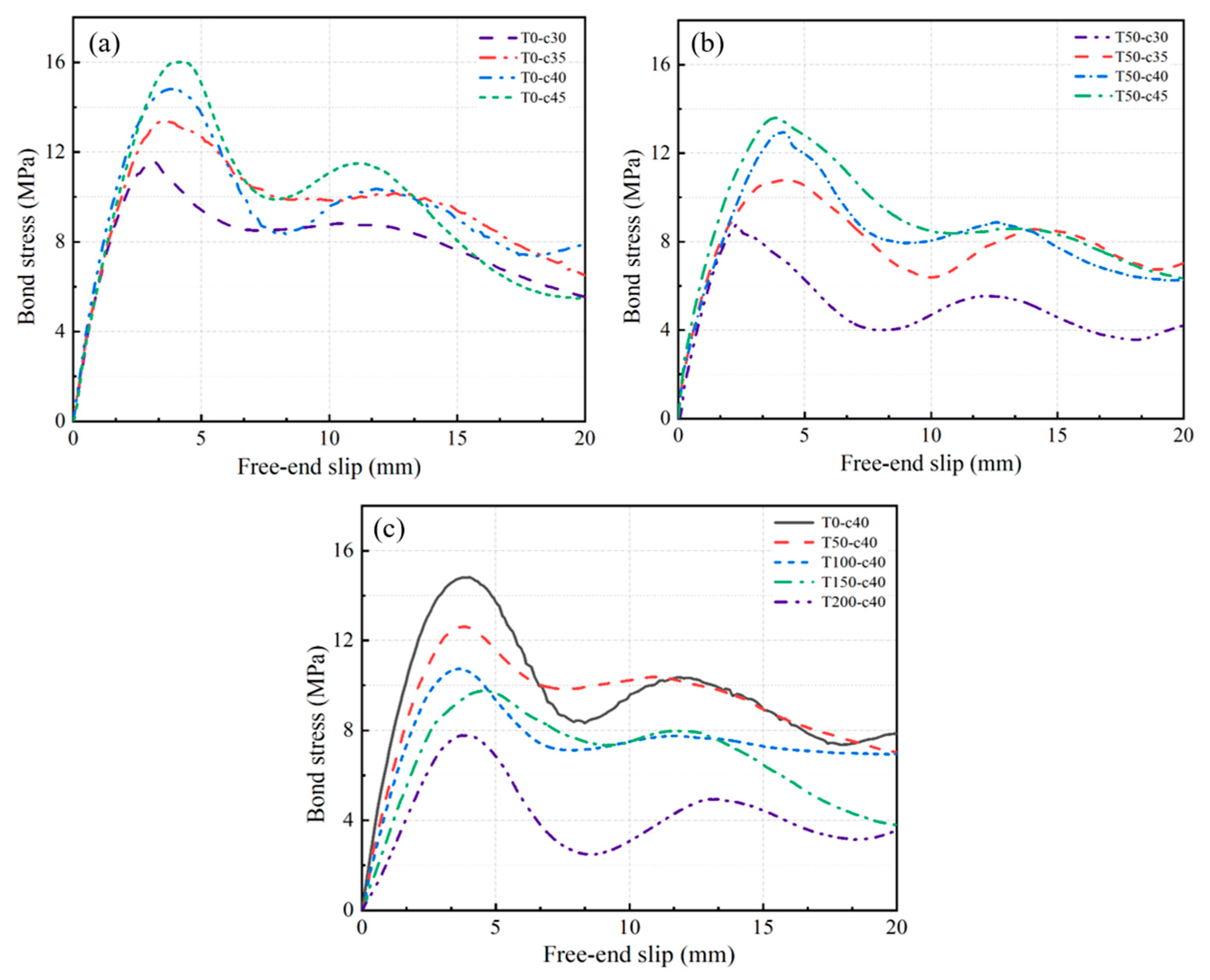
3.2.2. Bond Stress–Slip Relationships
3.2.3. Bond Strength
3.2.4. Bond Stiffness
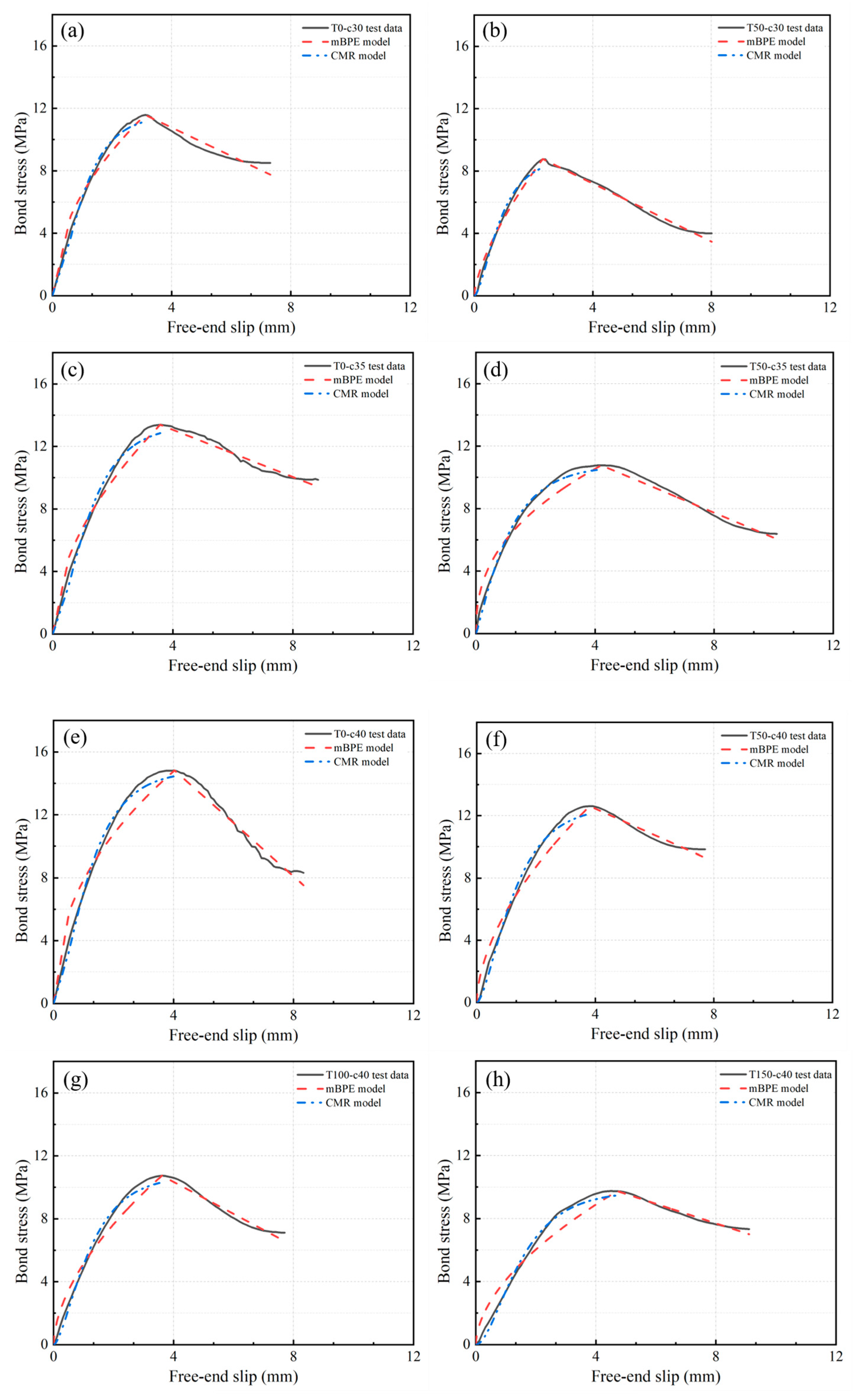
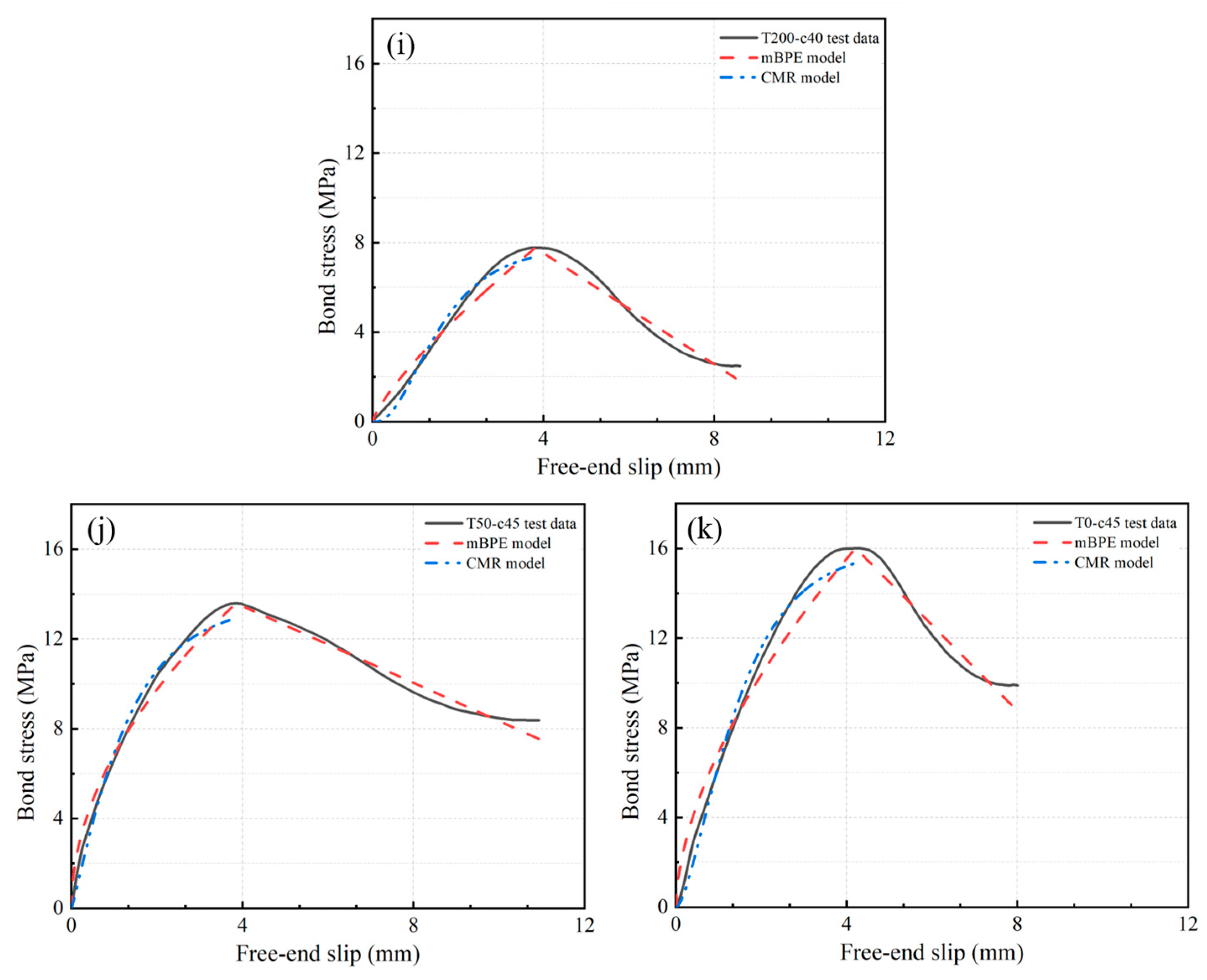
4. Calibration of Constitutive Models
5. Conclusions
Author Contributions
Funding
Data Availability Statement
Conflicts of Interest
References
- Huang, Y.; Chen, T.; Hu, D.; Lin, T.; Zhu, W.; Zhang, G.; Xue, X. Spatiotemporal patterns and influencing factors of urban ecological space availability in coastal cities of China during rapid urbanization. Ecol. Indic. 2023, 154, 110757. [Google Scholar] [CrossRef]
- Zhao, T.; Zhang, Y.; Li, K.; Wang, J.; Cai, E.; Lin, G.; Li, Z. A copula approach in the probabilistic evaluation of chloride ingress process for coastal concrete structures. Structures 2023, 56, 104918. [Google Scholar] [CrossRef]
- Ren, Q.; Tao, Y.; Jiang, Z.; De Schutter, G. Adhesive and rheological properties of fresh mortar with manufactured sand as replacement of river sand. Constr. Build. Mater. 2024, 411, 134303. [Google Scholar] [CrossRef]
- Xiang, J.; Qiu, J.; Wu, P.; Zhang, Q.; Song, Y.; Yang, L. Autolytic capsules incorporating alkali-activated slag system for self-healing cementitious composites. Cem. Concr. Compos. 2024, 147, 105439. [Google Scholar] [CrossRef]
- Xiang, J.; Qiu, J.; Zhao, Y.; Zheng, P.; Peng, H.; Fei, X. Rheology, mechanical properties, and hydration of synergistically activated coal gasification slag with three typical solid wastes. Cem. Concr. Compos. 2023, 147, 105418. [Google Scholar] [CrossRef]
- Wang, X.; Dong, C.; Xu, S.; Song, Q.; Ren, J.; Zhu, J. Influence of seawater and sea sand on early-age performance and cracking sensitivity of concrete. J. Build. Eng. 2023, 79, 107811. [Google Scholar] [CrossRef]
- Zhen, H.; Xiong, Z.; Song, Y.; Li, L.; Qiu, Y.; Zou, X.; Chen, B.; Chen, D.; Liu, F.; Ji, Y. Early mechanical performance of glass fibre-reinforced manufactured sand concrete. J. Build. Eng. 2024, 83, 108440. [Google Scholar] [CrossRef]
- Xiong, Z.; Su, Y.; Hu, Z.; Huang, Y.; Wang, Z.; Chen, J.; Lao, W.; Li, L.; Zhou, K.; Kuang, J. Dynamic compression study of seawater sea sand concrete incorporated with expansive agents and glass fibre. J. Build. Eng. 2023, 79, 107942. [Google Scholar] [CrossRef]
- Guan, H.; Hao, B.; Zhang, G. Mechanical properties of concrete prepared using seawater, sea sand and spontaneous combustion coal gangue. Structures 2023, 48, 172–181. [Google Scholar] [CrossRef]
- Wang, F.; Sun, Y.; Xue, X.; Wang, N.; Zhou, J.; Hua, J. Mechanical properties of modified coral aggregate seawater sea-sand concrete: Experimental study and constitutive model. Case Stud. Constr. Mater. 2023, 18, e02095. [Google Scholar] [CrossRef]
- Li, S.; Zhu, D.; Guo, S.; Yi, Y.; Feng, G. Experimental study on the effects of dynamic loading and seawater attack on bond behavior between basalt fiber reinforced polymer bars and seawater sea-sand concrete. J. Build. Eng. 2023, 72, 106505. [Google Scholar] [CrossRef]
- Xiong, Z.; Mai, G.; Qiao, S.; He, S.; Zhang, B.; Wang, H.; Zhou, K.; Li, L. Fatigue bond behaviour between basalt fibre-reinforced polymer bars and seawater sea-sand concrete. Ocean Coast. Manag. 2022, 218, 106038. [Google Scholar] [CrossRef]
- Peng, K.-D.; Zeng, J.-J.; Huang, B.-T.; Huang, J.-Q.; Zhuge, Y.; Dai, J.-G. Bond performance of FRP bars in plain and fiber-reinforced geopolymer under pull-out loading. J. Build. Eng. 2022, 57, 104893. [Google Scholar] [CrossRef]
- Hu, K.; Chen, Z.; Kang, H.; Tang, Y. 3D vision technologies for a self-developed structural external crack damage recognition robot. Autom. Constr. 2024, 159, 105262. [Google Scholar] [CrossRef]
- Chen, Z.; Yu, J.; Nong, Y.; Yang, Y.; Zhang, H.; Tang, Y. Beyond time: Enhancing corrosion resistance of geopolymer concrete and BFRP bars in seawater. Compos. Struct. 2023, 322, 117439. [Google Scholar] [CrossRef]
- Bujotzek, L.; Beck, D.; Apostolidi, E.; Waldmann, D. Experimental and statistical investigations of the material properties of FRP reinforcement in compression. Constr. Build. Mater. 2024, 414, 134782. [Google Scholar] [CrossRef]
- Zeng, J.-J.; Li, P.-L.; Yan, Z.-T.; Zhou, J.-K.; Quach, W.-M.; Zhuge, Y. Behavior of 3D-printed HPC plates with FRP grid reinforcement under bending. Eng. Struct. 2023, 294, 116578. [Google Scholar] [CrossRef]
- Hakeem, I.; Hosen, M.A.; Alyami, M.; Qaidi, S.; Özkılıc, Y. Influence of Heat–Cool Cyclic Exposure on the Performance of Fiber-Reinforced High-Strength Concrete. Sustainability 2023, 15, 1433. [Google Scholar] [CrossRef]
- Çelik, A.İ.; Özkılıç, Y.O.; Bahrami, A.; Hakeem, I.Y. Effects of glass fiber on recycled fly ash and basalt powder based geopolymer concrete. Case Stud. Constr. Mater. 2023, 19, e02659. [Google Scholar] [CrossRef]
- Gemi, L.; Madenci, E.; Özkılıç, Y.O. Experimental, analytical and numerical investigation of pultruded GFRP composite beams infilled with hybrid FRP reinforced concrete. Eng. Struct. 2021, 244, 112790. [Google Scholar] [CrossRef]
- Rafieizonooz, M.; Kim, J.-H.J.; Varaee, H.; Nam, Y.; Khankhaje, E. Testing methods and design specifications for FRP-prestressed concrete members: A review of current practices and case studies. J. Build. Eng. 2023, 73, 106723. [Google Scholar] [CrossRef]
- Zeng, J.-J.; Chen, S.-P.; Feng, P.; Zhuge, Y.; Peng, K.-D.; Dai, J.-G.; Fan, T.-H. FRP bar-reinforced ultra-high-performance concrete plates with a grouting sleeve connection: Development and flexural behavior. Eng. Struct. 2023, 287, 116164. [Google Scholar] [CrossRef]
- Zaki, M.A.; Rasheed, H.A. Behavior of reinforced concrete beams strengthened using CFRP sheets with innovative anchorage devices. Eng. Struct. 2020, 215, 110689. [Google Scholar] [CrossRef]
- Smith, S.T.; Rasheed, H.A.; Kim, S.J. Full-range load-deflection response of FRP-strengthened RC flexural members anchored with FRP anchors. Compos. Struct. 2017, 167, 207–218. [Google Scholar] [CrossRef]
- Xu, L.; Wang, X.; Pan, J.; Zhou, J.; Liu, W. Bond behavior between steel-FRP composite bars and engineered cementitious composites in pullout conditions. Eng. Struct. 2024, 299, 117086. [Google Scholar] [CrossRef]
- Han, S.; Zhou, A.; Fan, C.; Xiao, G.; Ou, J. Axial-flexural performance of columns reinforced by steel-FRP composite bars and FRP ties. Compos. Struct. 2023, 322, 117435. [Google Scholar] [CrossRef]
- Zhang, P.-F.; Iqbal, M.; Zhang, D.; Zhao, X.-L.; Zhao, Q. Bond strength prediction of FRP bars to seawater sea sand concrete based on ensemble learning models. Eng. Struct. 2024, 302, 117382. [Google Scholar] [CrossRef]
- Wang, Q.; Zhu, H.; Zhang, B.; Zhao, Y.; Li, F. Bond enhancement for BFRP bar in concrete by using a resin-filled FRP tube anchorage. Structures 2022, 39, 1107–1117. [Google Scholar] [CrossRef]
- Wang, J.; Xiao, F.; Yang, J. Experimental study on bond behavior between epoxy-coated reinforcement (ECR) and seawater sea-sand concrete (SSC) under FRP-steel confinement. Constr. Build. Mater. 2023, 385, 131426. [Google Scholar] [CrossRef]
- Xu, L.; Ma, X.; Pan, J.; Zhou, J.; Wang, X.; Liu, W. Investigation on bond behavior of steel-FRP composite bars in engineered cementitious composites by spliced beam tests. Constr. Build. Mater. 2023, 407, 133480. [Google Scholar] [CrossRef]
- Dong, Z.; Wu, G.; Xu, Y. Experimental study on the bond durability between steel-FRP composite bars (SFCBs) and sea sand concrete in ocean environment. Constr. Build. Mater. 2016, 115, 277–284. [Google Scholar] [CrossRef]
- Chang, Y.; Wang, Y.; Wang, M.; Zhou, Z.; Ou, J. Bond durability and degradation mechanism of GFRP bars in seawater sea-sand concrete under the coupling effect of seawater immersion and sustained load. Constr. Build. Mater. 2021, 307, 124878. [Google Scholar] [CrossRef]
- Li, J.; Gravina, R.J.; Smith, S.T.; Visintin, P. Bond strength and bond stress-slip analysis of FRP bar to concrete incorporating environmental durability. Constr. Build. Mater. 2020, 261, 119860. [Google Scholar] [CrossRef]
- Lu, Z.; Zhao, C.; Zhao, J.; Shi, C.; Xie, J. Bond durability of FRP bars and seawater–sea sand–geopolymer concrete: Coupled effects of seawater immersion and sustained load. Constr. Build. Mater. 2023, 400, 132667. [Google Scholar] [CrossRef]
- Shakiba, M.; Bazli, M.; Karamloo, M.; Mortazavi, S.M.R. Bond-slip performance of GFRP and steel reinforced beams under wet-dry and freeze-thaw cycles: The effect of concrete type. Constr. Build. Mater. 2022, 342, 127916. [Google Scholar] [CrossRef]
- Cao, Q.; Xu, J.; Wu, Z.; Zhang, L. Performance of damaged concrete stub columns strengthened with post-tensioned CFRP under freezing-thawing environment. Structures 2023, 47, 544–556. [Google Scholar] [CrossRef]
- Mai, G.; Li, L.; Lin, J.; Wei, W.; He, S.; Zhong, R.; Xiong, Z. Bond durability between BFRP bars and recycled aggregate seawater sea-sand concrete in freezing-thawing environment. J. Build. Eng. 2023, 70, 106422. [Google Scholar] [CrossRef]
- Jin, M.; Li, W.; Wang, X.; Tang, J.; Teng, L.; Ma, Y.; Zeng, H. Investigating the dual influence of freezing-thawing cycles and chloride ion penetration on GGBS-AEA concrete deterioration. J. Build. Eng. 2023, 78, 107759. [Google Scholar] [CrossRef]
- Qiu, J.; Li, L.; Li, L.; Luan, X.; Guan, X.; Niu, G. Study on the deterioration characteristics and mechanisms of recycled brick-concrete aggregate concrete under load-freeze-thaw coupling. Constr. Build. Mater. 2024, 413, 134817. [Google Scholar] [CrossRef]
- Xiang, J.; Qu, L.; Fei, X.; Qiu, J.; Kong, X. Depth-dependent self-healing capacity and mechanism of cracked fiber-reinforced concrete by bacterial community. J. Build. Eng. 2024, 84, 108485. [Google Scholar] [CrossRef]
- Xiong, Z.; He, S.H.; Kwan, A.K.H.; Li, L.G.; Zeng, Y. Compressive behaviour of seawater sea-sand concrete containing glass fibres and expansive agents. Constr. Build. Mater. 2021, 292, 123309. [Google Scholar] [CrossRef]
- Zhu, H.; Xiong, Z.; Song, Y.; Zhou, K.; Su, Y. Effect of expansion agent and glass fiber on the dynamic splitting tensile properties of seawater–sea-sand concrete. Buildings 2024, 14, 217. [Google Scholar] [CrossRef]
- Lin, M.; He, S.; Qiao, S.; Xiong, Z.; Qiu, Y.; Zhang, J.; Li, L. Combined effects of expansive agents and glass fibres on the fracture performance of seawater and sea-sand concrete. J. Mater. Res. Technol. 2022, 20, 1839–1859. [Google Scholar] [CrossRef]
- Busel, J.P.; Shield, C.K. 440.1R-15 Guide for the Design and Construction of Structural Concrete Reinforced with Fiber-Reinforced Polymer (FRP) Bars, Fiber Reinforced Polymers; ACI: Farmington Hills, MI, USA, 2015. [Google Scholar]
- ASTM D1141; Standard Specification for Substitute Ocean Water. American Society for Testing and Materials: West Conshohocken, PA, USA, 1975.
- ASTM D7705/D7705M-12; D/DM, Standard Test Method for Alkali Resistance of Fiber Reinforced Polymer (FRP) Matrix Composite Bars used in Concrete Construction. ASTM International: Washington, DC, USA, 2019.
- Lu, J.; Liu, J.; Yang, H.; Wan, X.; Gao, J.; Zhang, J.; Li, P. Experimental investigation on the mechanical properties and pore structure deterioration of fiber-reinforced concrete in different freeze-thaw media. Constr. Build. Mater. 2022, 350, 128887. [Google Scholar] [CrossRef]
- Wang, Y.; Xie, M.; Zhang, J. Mechanical properties and damage model of modified recycled concrete under freeze-thaw cycles. J. Build. Eng. 2023, 78, 107680. [Google Scholar] [CrossRef]
- Wu, J.; Jing, X.; Wang, Z. Uni-axial compressive stress-strain relation of recycled coarse aggregate concrete after freezing and thawing cycles. Constr. Build. Mater. 2017, 134, 210–219. [Google Scholar] [CrossRef]
- GB/T50082-2009; Introduction of Revised Standard for Test Methods of Long-Term Performance and Durability of Ordinary Concrete. Ministry of Housing and Urban-Rural Development of the People’s Republic of China: Beijing, China, 2010.
- Akbas, T.; Celik, O.; Yalcin, C.; Ilki, A. Monotonic and Cyclic Bond Behavior of Deformed CFRP Bars in High Strength Concrete. Polymers 2016, 8, 211. [Google Scholar] [CrossRef] [PubMed]
- Zhang, B.; Zhu, H.; Chen, J. Bond durability between BFRP bars and seawater coral aggregate concrete under seawater corrosion environments. Constr. Build. Mater. 2023, 379, 131274. [Google Scholar] [CrossRef]
- Yan, F.; Lin, Z.; Zhang, D.; Gao, Z.; Li, M. Experimental study on bond durability of glass fiber reinforced polymer bars in concrete exposed to harsh environmental agents: Freeze-thaw cycles and alkaline-saline solution. Compos. Part B Eng. 2017, 116, 406–421. [Google Scholar] [CrossRef]
- Majain, N.; Rahman, A.B.A.; Adnan, A.; Mohamed, R.N. Bond behaviour of deformed steel bars in steel fibre high-strength self-compacting concrete. Constr. Build. Mater. 2022, 318, 125906. [Google Scholar] [CrossRef]
- Khanfour, M.A.; El Refai, A. Effect of freeze-thaw cycles on concrete reinforced with basalt fiber-reinforced polymers (BFRP) bars. Constr. Build. Mater. 2017, 145, 135–146. [Google Scholar] [CrossRef]
- Wang, W.; Wang, Y.; Chen, Q.; Liu, Y.; Zhang, Y.; Ma, G.; Duan, P. Bond properties of basalt fiber reinforced polymer (BFRP) bars in recycled aggregate thermal insulation concrete under freeze–thaw cycles. Constr. Build. Mater. 2022, 329, 127197. [Google Scholar] [CrossRef]
- Alves, J.; El-Ragaby, A.; El-Salakawy, E. Effect of fatigue loads on the bond strength of glass FRP bars to concrete. In Advances in FRP Composites in Civil Engineering: Proceedings of the 5th International Conference on FRP Composites in Civil Engineering (CICE 2010), Beijing, China, 27–29 September 2010; Springer: Berlin/Heidelberg, Germany, 2010; pp. 368–371. [Google Scholar]
- Veljkovic, A.; Carvelli, V.; Haffke, M.M.; Pahn, M. Concrete cover effect on the bond of GFRP bar and concrete under static loading. Compos. Part B Eng. 2017, 124, 40–53. [Google Scholar] [CrossRef]
- Xiong, Z.; Wei, W.; He, S.; Liu, F.; Luo, H.; Li, L. Dynamic bond behaviour of fibre-wrapped basalt fibre-reinforced polymer bars embedded in sea sand and recycled aggregate concrete under high-strain rate pull-out tests. Constr. Build. Mater. 2021, 276, 122195. [Google Scholar] [CrossRef]
- Eligehausen, R.; Popov, E.P.; Bertero, V.V. Local Bond Stress-Slip Relationships of Deformed Bars under Generalized Excitations: Experimental Results and Analytical Model; University of California: Berkeley, CA, USA, 2016. [Google Scholar]
- Li, H.; Liu, F.; Pan, Z.; Li, H.; Wu, Z.; Li, L.; Xiong, Z. Use of supplementary cementitious materials in seawater–sea sand concrete: State-of-the-art review. Constr. Build. Mater. 2024, 425, 136009. [Google Scholar] [CrossRef]
- Cosenza, E.; Manfredi, G.; Realfonzo, R. Behavior and Modeling of Bond of FRP Rebars to Concrete. J. Compos. Constr. 1997, 1, 40–51. [Google Scholar] [CrossRef]
























| Chemical Component | Na2O | MgO | Al2O3 | SiO2 | SO3 | K2O | CaO | Fe2O3 | LOI |
|---|---|---|---|---|---|---|---|---|---|
| Cement | 0.04 | 1.57 | 4.34 | 20.01 | 1.33 | 1.02 | 66.05 | 2.87 | 2.77 |
| Nominal Diameter (mm) | Core Diameter (mm) | Thickness of FRP (mm) | Equivalent Diameter (mm) | Average Tensile Strength (MPa) | Average Elastic Modulus (GPa) |
|---|---|---|---|---|---|
| 12 | 8 | 4 | 11.6 | 816.39 | 72.7 |
| Number | Cement (kg/m3) | Sea-Sand (kg/m3) | Crushed Granites (kg/m3) | Seawater (kg/m3) | GF (kg/m3) | EA (kg/m3) | SP (kg/m3) |
|---|---|---|---|---|---|---|---|
| F0EA0 | 540.46 | 773.89 | 787.89 | 234.36 | 0.00 | 0.00 | 2.70 |
| F0.3EA1 | 537.36 | 766.87 | 780.74 | 233.08 | 8.04 | 5.37 | 5.43 |
| Number | Concrete Cover Thickness (mm) | Freezing–Thawing Cyclic Number |
|---|---|---|
| F0EA0-T0-c40 | 40 | 0 |
| F0EA0-T50-c40 | 40 | 50 |
| F0.3EA1-T0-c30 | 30 | 0 |
| F0.3EA1-T0-c35 | 35 | 0 |
| F0.3EA1-T0-c40 | 40 | 0 |
| F0.3EA1-T0-c45 | 45 | 0 |
| F0.3EA1-T50-c30 | 30 | 50 |
| F0.3EA1-T50-c35 | 35 | 50 |
| F0.3EA1-T50-c40 | 40 | 50 |
| F0.3EA1-T50-c45 | 45 | 50 |
| F0.3EA1-T100-c40 | 40 | 100 |
| F0.3EA1-T150-c40 | 40 | 150 |
| F0.3EA1-T200-c40 | 40 | 200 |
| Number | τu (MPa) | su (mm) | k (MPa/mm) | ||||||
|---|---|---|---|---|---|---|---|---|---|
| Test | Eq. | RE | Test | Eq. | RE | Test | Eq. | RE | |
| T0-c30 | 11.44 | 11.30 | 1.2% | 3.33 | 3.32 | 0.2% | 6.29 | 6.20 | 1.4% |
| T50-c30 | 8.82 | 8.83 | 0.2% | 2.61 | 2.61 | 0.1% | 5.59 | 5.69 | 1.8% |
| T0-c35 | 12.49 | 12.81 | 2.6% | 3.91 | 3.88 | 0.7% | 6.62 | 6.55 | 1.1% |
| T50-c35 | 10.81 | 10.85 | 0.4% | 3.30 | 3.34 | 1.4% | 6.01 | 6.03 | 0.4% |
| T0-c40 | 14.11 | 13.95 | 1.1% | 4.22 | 4.24 | 0.5% | 6.72 | 6.79 | 1.2% |
| T50-c40 | 12.83 | 12.48 | 2.7% | 3.83 | 3.88 | 1.5% | 6.21 | 6.28 | 1.2% |
| T100-c40 | 10.75 | 11.03 | 2.6% | 3.65 | 3.57 | 2.2% | 5.63 | 5.59 | 0.7% |
| T150-c40 | 9.84 | 9.59 | 2.5% | 3.34 | 3.29 | 1.5% | 4.95 | 4.72 | 4.7% |
| T200-c40 | 8.14 | 8.17 | 0.4% | 3.01 | 3.05 | 1.4% | 3.67 | 3.66 | 0.2% |
| T0-c45 | 14.67 | 14.70 | 0.2% | 4.46 | 4.41 | 1.0% | 6.96 | 6.96 | 0% |
| T50-c45 | 13.64 | 13.73 | 0.7% | 4.18 | 4.23 | 1.3% | 6.46 | 6.45 | 0.2% |
| Number | mBPE Model | CMR Model | ||
|---|---|---|---|---|
| a | p | α | β | |
| T0-c30 | 0.50599 | 0.24459 | 0.79414 | 1.83709 |
| T50-c30 | 0.68258 | 0.24511 | 0.69323 | 1.78494 |
| T0-c35 | 0.53014 | 0.20189 | 0.9558 | 1.71732 |
| T50-c35 | 0.40923 | 0.31301 | 1.08141 | 1.15897 |
| T0-c40 | 0.45585 | 0.46078 | 0.95284 | 1.71102 |
| T50-c40 | 0.57138 | 0.25634 | 1.00502 | 1.7262 |
| T100-c40 | 0.57394 | 0.3414 | 0.95719 | 1.72866 |
| T150-c40 | 0.55914 | 0.30071 | 1.09304 | 2.05805 |
| T200-c40 | 0.78326 | 0.6089 | 0.95291 | 2.91302 |
| T0-c45 | 0.58459 | 0.50329 | 1.12851 | 1.74061 |
| T50-c45 | 0.50843 | 0.24175 | 1.21384 | 1.16974 |
Disclaimer/Publisher’s Note: The statements, opinions and data contained in all publications are solely those of the individual author(s) and contributor(s) and not of MDPI and/or the editor(s). MDPI and/or the editor(s) disclaim responsibility for any injury to people or property resulting from any ideas, methods, instructions or products referred to in the content. |
© 2024 by the authors. Licensee MDPI, Basel, Switzerland. This article is an open access article distributed under the terms and conditions of the Creative Commons Attribution (CC BY) license (https://creativecommons.org/licenses/by/4.0/).
Share and Cite
Li, Y.; Jian, J.; Song, Y.; Wei, W.; Zhang, Y.; Li, G.; Zhu, H.; Lin, J.; Xiong, Z. Bond–Slip Performance of Steel–Fiber-Reinforced Polymer Composite Bars (SFCBs) and Glass Fiber with Expansion-Agent-Reinforced Seawater Sea-Sand Concrete (GF-EA-SSSC) under Freezing–Thawing Environment. Buildings 2024, 14, 1121. https://doi.org/10.3390/buildings14041121
Li Y, Jian J, Song Y, Wei W, Zhang Y, Li G, Zhu H, Lin J, Xiong Z. Bond–Slip Performance of Steel–Fiber-Reinforced Polymer Composite Bars (SFCBs) and Glass Fiber with Expansion-Agent-Reinforced Seawater Sea-Sand Concrete (GF-EA-SSSC) under Freezing–Thawing Environment. Buildings. 2024; 14(4):1121. https://doi.org/10.3390/buildings14041121
Chicago/Turabian StyleLi, Yufu, Jiayu Jian, Yuying Song, Wei Wei, Yilin Zhang, Gangliang Li, Huanyu Zhu, Jiawei Lin, and Zhe Xiong. 2024. "Bond–Slip Performance of Steel–Fiber-Reinforced Polymer Composite Bars (SFCBs) and Glass Fiber with Expansion-Agent-Reinforced Seawater Sea-Sand Concrete (GF-EA-SSSC) under Freezing–Thawing Environment" Buildings 14, no. 4: 1121. https://doi.org/10.3390/buildings14041121
APA StyleLi, Y., Jian, J., Song, Y., Wei, W., Zhang, Y., Li, G., Zhu, H., Lin, J., & Xiong, Z. (2024). Bond–Slip Performance of Steel–Fiber-Reinforced Polymer Composite Bars (SFCBs) and Glass Fiber with Expansion-Agent-Reinforced Seawater Sea-Sand Concrete (GF-EA-SSSC) under Freezing–Thawing Environment. Buildings, 14(4), 1121. https://doi.org/10.3390/buildings14041121

