A Review of Waterborne Polymer–Cementitious Composite Repair Materials for Application in Saline Soil Environments: Properties and Progress
Abstract
1. Introduction
2. Progress of Domestic and International Research on Water-Based Polymer–Cementitious Composite Repair Materials
2.1. Progress of Research on Water-Based Polymer–Cementitious Composites
2.2. Waterborne Polymer–Cement Mortar Composite Material
2.2.1. Workability
2.2.2. Mechanical Properties
2.2.3. Bonding Strength
- (1)
- (2)
- Direct shear bonding. It mainly includes L-type, single-sided shear [46], and double-sided shear.
- (3)
- Bending and pulling bonding.
- (4)
- Compression diagonal shear bonding.
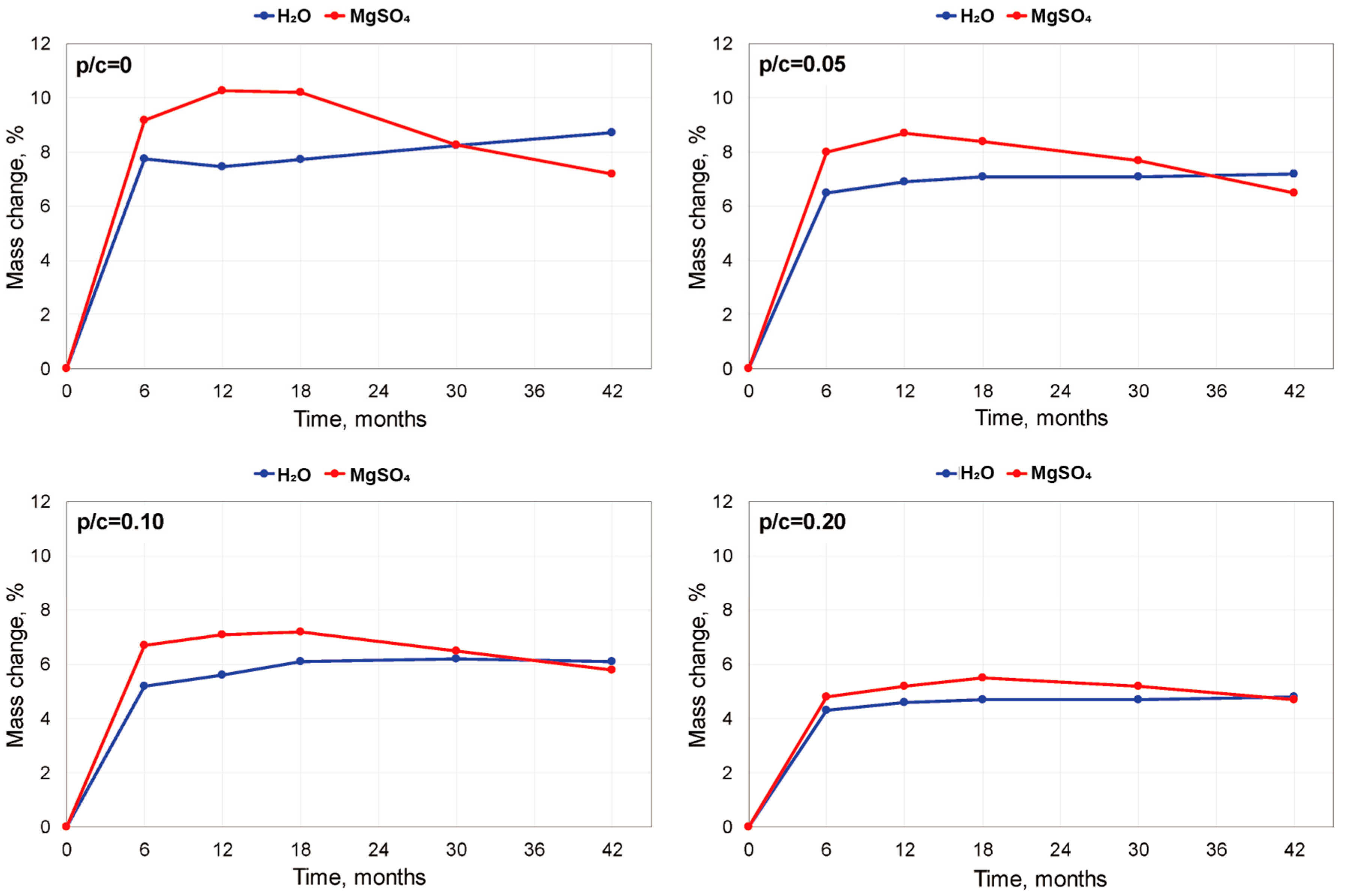
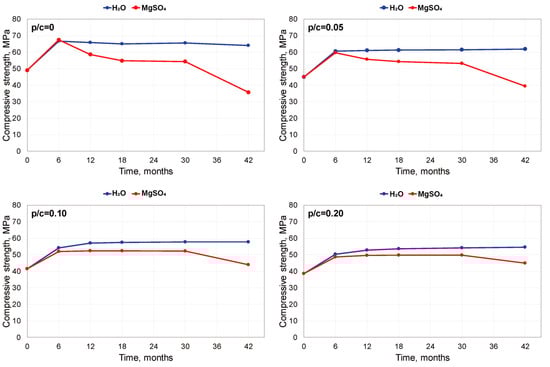
2.2.4. Durability
2.2.5. Modification Mechanism of Waterborne Polymers
Cement Hydration Delay
Air Entrainment
Curing Condition
Pore Structure
Polymers
3. Application of Waterborne Polymer–Cement-Based Composite Repair Materials in the Western Saline Environment
4. Summary and Prospects
- (1)
- Polymer particles are adsorbed on the surface of cement, preventing the contact between cement and water and delaying the hydration of cement, which is manifested in the prolongation of the setting time and the reduction in early strength;
- (2)
- In addition to improving ease of use, impermeability, etc., and the reduction of viscosity, with the hydration of cement, the aggregate and the aggregated polymer particles crosslink to form a thin film layer. On the one hand, this film can improve the flexibility, toughness, adhesion and durability of cement mortar by taking advantage of high elasticity and filling effects; on the other hand, it hinders water transport and lowers the rate of hydration, particularly in the presence of high polymer dosages, and manifests as a decrease in mechanical strength;
- (3)
- The polymer will have a significant impact on cement mortar depending on curing conditions (such as temperature, humidity), pore structure, polymer phase, cement hydration and other factors. The detrimental effects of these conditions should be taken into account in the subsequent application processes, and positive and effective steps should be taken to reduce them.
Author Contributions
Funding
Data Availability Statement
Conflicts of Interest
References
- Zhang, X.L. Study on the Protective Performance of Concrete Coating under the Action of Marine Environment. Master’s Thesis, Qingdao University of Technology, Qingdao, China, 2016. [Google Scholar]
- Jin, Z.; Li, M.; Pang, B.; Yang, L.; Chen, Y.; Wang, D. Internal superhydrophobic marine concrete: Interface modification based on slag microstructure regulation. J. Build. Eng. 2024, 86, 108769. [Google Scholar] [CrossRef]
- Report Card for America’s Infrastructure. 2021. Available online: https://infrastructurereportcard.org/Bridges (accessed on 17 March 2022).
- U.S. Department of Transportation, Federal Highway Administration. Status of the Nation’s Highways, Bridges, and Transit Conditions and Performance Report. In Chapter 7—Capital Investment Scenarios—Highways, 23rd ed.; U.S. DOT: Washington, DC, USA, 2021. [Google Scholar]
- Pang, B.; Zhou, Z.; Hou, P.; Du, P.; Zhang, L.; Xu, H. Autogenous and engineered healing mechanisms of carbonated steel slag aggregate in concrete. Constr. Build. Mater. 2016, 107, 191–202. [Google Scholar] [CrossRef]
- Pang, B.; Zhou, Z.; Xu, H. Utilization of carbonated and granulated steel slag aggregate in concrete. Constr. Build. Mater. 2015, 84, 454–467. [Google Scholar] [CrossRef]
- Ohama, Y. Polymer-based admixtures. Cem. Concr. Compos. 1998, 20, 189–212. [Google Scholar] [CrossRef]
- Hou, D.; Yu, J.; Wang, P. Molecular dynamics modeling of the structure, dynamics, energetics and mechanical properties of cement-polymer nanocomposite. Compos. Part B Eng. 2019, 162, 433–444. [Google Scholar] [CrossRef]
- Guo, S.-Y.; Zhang, X.; Chen, J.-Z.; Mou, B.; Shang, H.-S.; Wang, P.; Zhang, L.; Ren, J. Mechanical and interface bonding properties of epoxy resin reinforced Portland cement repairing mortar. Constr. Build. Mater. 2020, 264, 120715. [Google Scholar] [CrossRef]
- Zheng, H.; Pang, B.; Jin, Z.; Liu, S.; Zhang, Y.; Bi, J.; Chang, H.; Liu, Y.; Wang, F. Mechanical properties and microstructure of waterborne polyurethane-modified cement composites as concrete repair mortar. J. Build. Eng. 2024, 84, 108394. [Google Scholar] [CrossRef]
- Pang, B.; Yang, C.; Wang, P.; Tian, L.; Mei, B.; Song, X. Cement-based ductile rapid repair material modified with self-emulsifying waterborne epoxy. J. Build. Eng. 2023, 79, 107864. [Google Scholar] [CrossRef]
- Czarnecki, L.; Sokołowska, J.J. Optimization of Polymer-Cement Coating Composition Using Material Model. Key Eng. Mater. 2011, 466, 191–199. [Google Scholar] [CrossRef]
- Sun, C.; Liu, H.; Liu, L.; Zhao, P.; Huang, Y.; Lu, L. Effect of polymer to cement ratio on seawater corrosion resistance of polymer modified cementitious coatings. In Proceedings of the 2018 IEEE International Conference on Advanced Manufacturing (ICAM), Yunlin, China, 16–18 November 2018; pp. 451–454. [Google Scholar] [CrossRef]
- Hua, W.D.; Jiang, H.Y.; Zhou, Z.X. Research on Nitric Acid Corrosion Resistance of Latex Modified Ordinary Portland Cement Mortar. Adv. Mater. Res. 2012, 485, 262–265. [Google Scholar] [CrossRef]
- Sun, S.A.; Xiao, Y.P.; Fei, Y.W.; Zhao, Y.L. Research on Anti-corrosion Properties of Polymer Cement-based Composite Material. Surf. Technol. 2012, 5, 60–63. [Google Scholar]
- Xu, A.; Zhang, J.L.; Zeng, L. Research status and prospects of polymeric grouting material. Concrete 2014, 10, 141–144. [Google Scholar]
- Ma, D.X.; Liu, Y.; Lai, Y. The Influence of Pore Structure on the Waterproof Performance of Polymer Modified Mortar. Appl. Mech. Mater. 2014, 584–586, 1130–1134. [Google Scholar] [CrossRef]
- Cresson, L. Improved manufacture of rubber road-acing, rubber flooring, rubber-tiling or otherrubber-lining. Br. Patent 1923, 191, 12. [Google Scholar]
- Liang, N. Untersuchungen uber mit Elastomeren mozifiierte Zemente. Doctoral Thesis, TU Lausthal, Clausthal-Zellerfeld, Germany, 1991. [Google Scholar]
- Ohama, Y. Concrete-Polymer Composites—The Past, Present and Future. Key Eng. Mater. 2011, 466, 1–14. [Google Scholar] [CrossRef]
- Ohama, Y. Handbook of Polymer-Modified Concrete and Mortars: Properties and Process Technology; William Andrew Publishing: Norwich, NY, USA, 1995. [Google Scholar] [CrossRef]
- Nodehi, M. Epoxy, polyester and vinyl ester based polymer concrete: A review. Innov. Infrastruct. Solut. 2021, 7, 64. [Google Scholar] [CrossRef]
- Ohama, Y. Recent progress in concrete-polymer composites. Adv. Cem. Based Mater. 1997, 5, 31–40. [Google Scholar] [CrossRef]
- Sun, K.; Wang, S.; Zeng, L.; Peng, X. Effect of styrene-butadiene rubber latex on the rheological behavior and pore structure of cement paste. Compos. Part B Eng. 2018, 163, 282–289. [Google Scholar] [CrossRef]
- Benali, Y.; Ghomari, F. Latex influence on the mechanical behavior and durability of cementitious materials. J. Adhes. Sci. Technol. 2016, 31, 219–241. [Google Scholar] [CrossRef]
- Wang, R.; Xu, Y.D. Effect of curing temperature on the physical and mechanical properties of styrene butadienzene emulsion-thioaluminate cement mortar. J. Chin. Ceram. Soc. 2017, 45, 227–234. [Google Scholar]
- Bi, M.D.; Zhao, D.Q.; Bai, X.S.; Yang, H.B.; Sun, H.L.; Zhang, X.Z. Study on properties and mechanism of styrene-benzene emulsion-rubber powder. J. Jinan Univ. (Nat. Sci. Ed.) 2020, 34, 211–217. [Google Scholar] [CrossRef]
- Ukrainczyk, N.; Rogina, A. Styrene–butadiene latex modified calcium aluminate cement mortar. Cem. Concr. Compos. 2013, 41, 16–23. [Google Scholar] [CrossRef]
- Wang, P.M.; Liu, E.G. Study on the properties of styrene-propylene copoly latex powder cement mortar. J. Build. Eng. 2009, 12, 253–258+265. [Google Scholar]
- Wong, W.G.; Fang, P.; Pan, J.K. Dynamic properties impact toughness and abrasiveness of polymer-modified pastes by using nondestructive tests. Cem. Concr. Res. 2003, 33, 1371–1374. [Google Scholar] [CrossRef]
- Kim, J.H.; Robertson, R.E.; Naaman, A.E. Structure and properties of poly(vinyl alcohol)-modified mortar and concrete. Cem. Concr. Res. 1999, 29, 407–415. [Google Scholar] [CrossRef]
- Allahverdi, A.; Kianpur, K.; Moghbeli, M.R. Effect of polyvinyl alcohol on flexural strength and some important physical properties of Portland cement paste. Iran. J. Mater. Sci. Eng. 2010, 7, 1–6. [Google Scholar]
- Lu, Z.; Kong, X.; Zhang, C.; Xing, F.; Zhang, Y. Effect of colloidal polymers with different surface properties on the rheological property of fresh cement pastes. Colloids Surf. A Physicochem. Eng. Asp. 2017, 520, 154–165. [Google Scholar] [CrossRef]
- Zhang, C.; Kong, X.; Yu, J.; Jansen, D.; Pakusch, J.; Wang, S. Correlation between the adsorption behavior of colloidal polymer particles and the yield stress of fresh cement pastes. Cem. Concr. Res. 2022, 152, 106668. [Google Scholar] [CrossRef]
- Assaad, J.J.; Gerges, N. Styrene-butadiene rubber modified cementitious grouts for embedding anchors in humid environments. Tunn. Undergr. Space Technol. 2019, 84, 317–325. [Google Scholar] [CrossRef]
- Kim, J.H.; Robertson, R.E. Prevention of air void formation in polymer-modified cement mortar by pre-wetting. Cem. Concr. Res. 1997, 27, 171–176. [Google Scholar] [CrossRef]
- Yang, Z.; Zhang, X.; Liu, X.; Guan, X.; Zhang, C.; Niu, Y. Flexible and stretchable polyurethane/waterglass grouting material. Constr. Build. Mater. 2018, 138, 240–246. [Google Scholar] [CrossRef]
- Pang, B.; Zhang, Y.; Liu, G. Study on the effect of waterborne epoxy resins on the performance and microstructure of cement paste. Constr. Build. Mater. 2018, 167, 831–845. [Google Scholar] [CrossRef]
- Wang, R.; Wang, P.-M.; Li, X.-G. Physical and mechanical properties of styrene–butadiene rubber emulsion modified cement mortars. Cem. Concr. Res. 2005, 35, 900–906. [Google Scholar] [CrossRef]
- Fan, J.; Li, G.; Deng, S.; Deng, C.; Wang, Z.; Zhang, Z. Effect of Carbon Nanotube and Styrene-Acrylic Emulsion Additives on Microstructure and Mechanical Characteristics of Cement Paste. Materials 2020, 13, 2807. [Google Scholar] [CrossRef]
- Shi, C.; Zou, X.; Wang, P. Influences of ethylene-vinyl acetate and methylcellulose on the properties of calcium sulfoaluminate cement. Constr. Build. Mater. 2018, 193, 474–480. [Google Scholar] [CrossRef]
- Bi, J.X. Study on the Design, Preparation and Performance of Waterborne Polyurethane-Cement-Based Composite Repair Materials. Master’s Thesis, Southeast University, Nanjing, China, 2022. [Google Scholar]
- Sadrmomtazi, A.; Khoshkbijari, R.K. Determination and Prediction of Bonding Strength of Polymer Modified Concrete (PMC) as the Repair Overlay on the Conventional Concrete Substrate. KSCE J. Civ. Eng. 2019, 23, 1141–1149. [Google Scholar] [CrossRef]
- Peterson, C.G. New Bond Testing Method Developed, Concrete Repair Bulletin; Germann Instruments: Evanston, IL, USA, 1990; pp. 25–29. [Google Scholar]
- Geissert, D.G.; Li, S.E.; Franz, G.C.; Stephens, J.E. Splitting prism test method to evaluate concrete-to-concrete bond strength. ACI Mater. J. 1999, 96, 359–366. [Google Scholar] [CrossRef]
- Saucier, F.; Bastien, J.; Pigeon, M.; Fafard, M. A combined shear-compression device to measure concrete-to-concrete repairsbonding. Exp. Tech. 1991, 15, 50–55. [Google Scholar] [CrossRef]
- Hassan, K.; Brooks, J.; Al-Alawi, L. Compatibility of repair mortars with concrete in a hot-dry environment. Cem. Concr. Compos. 2001, 23, 93–101. [Google Scholar] [CrossRef]
- Albidah, A.; Abadel, A.; Alrshoudi, F.; Altheeb, A.; Abbas, H.; Al-Salloum, Y. Bond strength between concrete substrate and metakaolin geopolymer repair mortars at ambient and elevated temperatures. J. Mater. Res. Technol. 2020, 9, 10732–10745. [Google Scholar] [CrossRef]
- Lukovi’c, M. Influence of Interface and Strain Hardening Cementitious Composite (SHCC) Properties on the Performance of Concrete Repairs. Doctoral Thesis, Delft University of Technology, Delft, The Netherlands, 2016. [Google Scholar]
- Abu-Tair, A.I.; Rigden, S.R.; Burley, E. Testing the bond between repair materials and concrete substrate. ACI Mater. J. 1996, 93, 553–558. [Google Scholar] [CrossRef]
- Pang, B.; Zhou, Z.; Cheng, X.; Du, P.; Xu, H. ITZ properties of concrete with carbonated steel slag aggregate in salty freeze-thaw environment. Constr. Build. Mater. 2016, 114, 162–171. [Google Scholar] [CrossRef]
- Qudoos, A.; Atta-ur-Rehman; Kim, H.G.; Ryou, J.-S. Influence of the surface roughness of crushed natural aggregates on the microhardness of the interfacial transition zone of concrete with mineral admixtures and polymer latex. Constr. Build. Mater. 2018, 168, 946–957. [Google Scholar] [CrossRef]
- Zhou, J.; Ye, G.; Schlangen, E.; van Breugel, K. Modelling of stresses and strains in bonded concrete overlays subjected to differential volume changes. Theor. Appl. Fract. Mech. 2008, 49, 199–205. [Google Scholar] [CrossRef]
- He, Y.; Zhang, X.; Hooton, R.; Zhang, X. Effects of interface roughness and interface adhesion on new-to-old concrete bonding. Constr. Build. Mater. 2017, 151, 582–590. [Google Scholar] [CrossRef]
- Ma, H.; Tian, Y.; Li, Z. Interactions between Organic and Inorganic Phases in PA- and PU/PA-Modified-Cement-Based Materials. J. Mater. Civ. Eng. 2011, 23, 1412–1421. [Google Scholar] [CrossRef]
- Ma, H.; Li, Z. Realistic pore structure of Portland cement paste: Experimental study and numerical simulation. Comput. Concr. 2013, 11, 317–336. [Google Scholar] [CrossRef]
- Shaker, F.; El-Dieb, A.; Reda, M. Durability of Styrene-Butadiene latex modified concrete. Cem. Concr. Res. 1997, 27, 711–720. [Google Scholar] [CrossRef]
- Li, Y.; Shen, A.; Lyu, Z.; Guo, Y. Investigations of chloride ions permeability of pavement concrete under coupled effect of fatigue loading and hydrodynamic pressure. Int. J. Pavement Eng. 2020, 23, 1659–1674. [Google Scholar] [CrossRef]
- Lyu, Z.; Shen, A.; Mo, S.; Chen, Z.; He, Z.; Li, D.; Qin, X. Life-cycle crack resistance and micro characteristics of internally cured concrete with superabsorbent polymers. Constr. Build. Mater. 2020, 259, 119794. [Google Scholar] [CrossRef]
- Pang, B. Study on the Design, Preparation and Mechanism of Water-Based Epoxy-Concrete Composite Repair Materials. Doctoral Thesis, Southeast University, Nanjing, China, 2021. [Google Scholar]
- Kim, M.O. Influence of Polymer Types on the Mechanical Properties of Polymer-Modified Cement Mortars. Appl. Sci. 2020, 10, 1061. [Google Scholar] [CrossRef]
- Aggarwal, L.; Thapliyal, P.; Karade, S. Properties of polymer-modified mortars using epoxy and acrylic emulsions. Constr. Build. Mater. 2007, 21, 379–383. [Google Scholar] [CrossRef]
- Ying, G.-G.; Song, C.; Ren, J.; Guo, S.-Y.; Nie, R.; Zhang, L. Mechanical and durability-related performance of graphene/epoxy resin and epoxy resin enhanced OPC mortar. Constr. Build. Mater. 2021, 282, 122644. [Google Scholar] [CrossRef]
- Taylor, H.F.W. Cement Chemistry, 2nd ed.; Thomas Telford Publishing: London, UK, 1997. [Google Scholar]
- Kong, X.; Emmerling, S.; Pakusch, J.; Rueckel, M.; Nieberle, J. Retardation effect of styrene-acrylate copolymer latexes on cement hydration. Cem. Concr. Res. 2015, 75, 23–41. [Google Scholar] [CrossRef]
- Chen, B.; Qiao, G.; Hou, D.; Wang, M.; Li, Z. Cement-based material modified by in-situ polymerization: From experiments to molecular dynamics investigation. Compos. Part B Eng. 2020, 194, 108036. [Google Scholar] [CrossRef]
- Wang, M.; Wang, R.; Zheng, S.; Farhan, S.; Yao, H.; Jiang, H. Research on the chemical mechanism in the polyacrylate latex modified cement system. Cem. Concr. Res. 2015, 76, 62–69. [Google Scholar] [CrossRef]
- Popvics, S.; Tamas, F. Investigation on Portland cement pastes and mortars modified by the addition of epoxy. Spec. Publ. 1978, 58, 357–366. [Google Scholar] [CrossRef]
- Christie, S.H., III; McClain, R.R.; Melloan, J.H. Epoxy-Modified Portland Cement Concrete. Spec. Publ. 1981, 69, 155–168. [Google Scholar] [CrossRef]
- Fang, X.; Chen, Z.; Jiao, Z.; Xiao, G.; Shao, L. Study on microstructure, rheology and thermal stability of cement epoxy asphalt mortar multiphase materials. Mag. Concr. Res. 2013, 65, 475–485. [Google Scholar] [CrossRef]
- Silva, D.; Roman, H.; Gleize, P. Evidences of chemical interaction between EVA and hydrating Portland cement. Cem. Concr. Res. 2002, 32, 1383–1390. [Google Scholar] [CrossRef]
- Zeng, S.; Short, N.R.; Page, C.L. Early-age hydration kinetics of polymer-modified cement. Adv. Cem. Res. 1996, 8, 1–9. [Google Scholar] [CrossRef]
- Gwon, S.; Jang, S.Y.; Shin, M. Microstructure evolution and strength development of ultra rapid hardening cement modified with redispersible polymer powder. Constr. Build. Mater. 2018, 192, 715–730. [Google Scholar] [CrossRef]
- Li, L.; Wang, R.; Lu, Q. Influence of polymer latex on the setting time, mechanical properties and durability of calcium sulfoaluminate cement mortar. Constr. Build. Mater. 2018, 169, 911–922. [Google Scholar] [CrossRef]
- Knapen, E.; Van Gemert, D. Polymer film formation in cement mortars modified with water-soluble polymers. Cem. Concr. Compos. 2015, 58, 23–28. [Google Scholar] [CrossRef]
- Wang, R.; Wang, P. Function of styrene-acrylic ester copolymer latex in cement mortar. Mater. Struct. 2009, 43, 443–451. [Google Scholar] [CrossRef]
- Knapen, E. Microstructure Formation in Cement Mortars Modified With Water-soluble Polymers. Doctoral Thesis, Katholieke Universiteit, Leuven, Belgium, 2007. [Google Scholar]
- Powers, T.C. The Properties of Fresh Concrete; John Wiley & Sons: Hoboken, NJ, USA, 1969; Volume 24, pp. 159–163. [Google Scholar]
- Sanchez, F.; Ince, C. Microstructure and macroscopic properties of hybrid carbon nanofiber/silica fume cement composites. Compos. Sci. Technol. 2009, 69, 1310–1318. [Google Scholar] [CrossRef]
- Collins, F.; Lambert, J.; Duan, W.H. The influences of admixtures on the dispersion, workability, and strength of carbon nanotube–OPC paste mixtures. Cem. Concr. Compos. 2012, 34, 201–207. [Google Scholar] [CrossRef]
- Assaad, J.J.; Issa, C.A. Mixture optimisation of polymer-modified lightweight SCC. Mag. Concr. Res. 2017, 69, 745–756. [Google Scholar] [CrossRef]
- Wang, R.; Ma, D.; Wang, P.; Wang, G. Study on waterproof mechanism of polymer-modified cement mortar. Mag. Concr. Res. 2015, 67, 972–979. [Google Scholar] [CrossRef]
- Shi, C.; Zou, X.; Yang, L.; Wang, P.; Niu, M. Influence of humidity on the mechanical properties of polymer-modified cement-based repair materials. Constr. Build. Mater. 2020, 261, 119928. [Google Scholar] [CrossRef]
- Shi, C.; Ma, C.; Yang, Y.; Zou, X. Effects of curing temperature on mechanical properties of polymer-modified OPC-CA-gypsum repair mortar. Constr. Build. Mater. 2022, 319, 126042. [Google Scholar] [CrossRef]
- Li, H.; Ni, D.; Liang, G.; Guo, Y.; Dong, B. Mechanical performance and microstructure of cement paste/mortar modified by VAEC dispersible powder cured under different temperatures. Constr. Build. Mater. 2021, 278, 122446. [Google Scholar] [CrossRef]
- DL/T 5126; Test Procedures for Polymer-Modified Cement Morta. Standards Press of China: Beijing, China, 2021.
- Issa, C.A.; Assaad, J.J. Stability and bond properties of polymer-modified self-consolidating concrete for repair applications. Mater. Struct. 2017, 50, 28. [Google Scholar] [CrossRef]
- Chen, B.; Liu, J. Mechanical properties of polymer-modified concretes containing expanded polystyrene beads. Constr. Build. Mater. 2007, 21, 7–11. [Google Scholar] [CrossRef]
- ACI Committee 548. Guide for the Use of Polymers in Concrete (ACI 548.1R-09); American Concrete Institute: Farmington Hills, MI, USA, 2009; pp. 1–30. [Google Scholar]
- Beeldens, A.; Van Gemert, D.; Schorn, H.; Ohama, Y.; Czarnecki, L. From microstructure to macrostructure: An integrated model of structure formation in polymer-modified concrete. Mater. Struct. 2005, 38, 601–607. [Google Scholar] [CrossRef]
- Li, B.; Tian, Y.; Zhao, R.-Y.; Duan, A. Microstructure and modification mechanism of polyacrylate emulsion modified mortar. J. Zhejiang Univ. (Eng. Ed.) 2014, 48, 1345–1352+1361. [Google Scholar]
- Flatt, R.J.; Bowen, P. Yodel: A Yield Stress Model for Suspensions. J. Am. Ceram. Soc. 2006, 89, 1244–1256. [Google Scholar] [CrossRef]
- Liu, J.; Farzadnia, N.; Shi, C. Effects of superabsorbent polymer on interfacial transition zone and mechanical properties of ultra-high performance concrete. Constr. Build. Mater. 2020, 231, 117142. [Google Scholar] [CrossRef]
- Lou, C.; Xu, J.; Wang, T.; Ren, W. Microstructure and pore structure of polymer-cement composite joint sealants. Sci. Rep. 2021, 11, 1427. [Google Scholar] [CrossRef]
- Deo, O.; Neithalath, N. Compressive behavior of pervious concretes and a quantification of the influence of random pore structure features. Mater. Sci. Eng. A 2010, 528, 402–412. [Google Scholar] [CrossRef]
- Zhang, Z.; Zhang, H.; Lv, W.; Zhang, J.; Wang, N. Micro-structure characteristics of unsaturated polyester resin modified concrete under fatigue loads and hygrothermal environment. Constr. Build. Mater. 2021, 296, 123766. [Google Scholar] [CrossRef]
- Shen, A.; Lin, S.; Guo, Y.; He, T.; Lyu, Z. Relationship between flexural strength and pore structure of pavement concrete under fatigue loads and Freeze-thaw interaction in seasonal frozen regions. Constr. Build. Mater. 2018, 174, 684–692. [Google Scholar] [CrossRef]
- Wang, M.; Wang, R.; Yao, H.; Farhan, S.; Zheng, S.; Wang, Z.; Du, C.; Jiang, H. Research on the mechanism of polymer latex modified cement. Constr. Build. Mater. 2016, 111, 710–718. [Google Scholar] [CrossRef]
- Simons, W.W. Sadtler Handbook of Infrared Spectra; Sadtler Research Laboratories: Philadelphia, PA, USA, 1978. [Google Scholar]
- Yu, S.; Chow, G.M. Carboxyl group (–CO2H) functionalized ferrimagnetic iron oxide nanoparticles for potential bio-applications. J. Mater. Chem. 2004, 14, 2781–2786. [Google Scholar] [CrossRef]
- Shafi, K.V.P.M.; Ulman, A.; Yan, X.; Yang, N.-L.; Estournès, C.; White, H.; Rafailovich, M. Sonochemical Synthesis of Functionalized Amorphous Iron Oxide Nanoparticles. Langmuir 2001, 17, 5093–5097. [Google Scholar] [CrossRef]
- Ibrahim, M.; Nada, A.; Kamal, D.E. Density functional theory and FTIR spectroscopic study of carboxyl group. Indian J. Pure Appl. Phys. 2005, 44, 911–917. [Google Scholar]
- Kim, J.-H.; Robertson, R.E. Effects of Polyvinyl Alcohol on Aggregate-Paste Bond Strength and the Interfacial Transition Zone. Adv. Cem. Based Mater. 1998, 8, 66–76. [Google Scholar] [CrossRef]
- Chandra, S.; Flodin, P. Interactions of polymers and organic admixtures on portland cement hydration. Cem. Concr. Res. 1987, 17, 875–890. [Google Scholar] [CrossRef]
- Betioli, A.; Filho, J.H.; Cincotto, M.; Gleize, P.; Pileggi, R. Chemical interaction between EVA and Portland cement hydration at early-age. Constr. Build. Mater. 2009, 23, 3332–3336. [Google Scholar] [CrossRef]
- Sugama, T.; Kukacka, L. Products formed in aged Ca-polyester complexed polymer concrete containing cement paste. Cem. Concr. Res. 1982, 12, 789–796. [Google Scholar] [CrossRef]
- Knapen, E.; Van Gemert, D. Microstructural Analysis of Paste and Interfacial Transition Zone in Cement Mortars Modified with Water-Soluble Polymers. Key Eng. Mater. 2011, 466, 21–28. [Google Scholar] [CrossRef]
- Hasholt, M.T.; Jensen, O.M.; Kovler, K.; Zhutovsky, S. Can superabsorent polymers mitigate autogenous shrinkage of internally cured concrete without compromising the strength? Constr. Build. Mater. 2012, 31, 226–230. [Google Scholar] [CrossRef]
- Snoeck, D.; Schaubroeck, D.; Dubruel, P.; De Belie, N. Effect of high amounts of superabsorbent polymers and additional water on the workability, microstructure and strength of mortars with a water-to-cement ratio of 0.50. Constr. Build. Mater. 2014, 72, 148–157. [Google Scholar] [CrossRef]
- Baueregger, S.; Perello, M.; Plank, J. On the role of colloidal crystal-like domains in the film forming process of a carboxylated styrene-butadiene latex copolymer. Prog. Org. Coat. 2014, 77, 685–690. [Google Scholar] [CrossRef]
- Shafieyzadeh, M. Prediction of Compressive Strength of Concretes Containing Silica Fume and Styrene-Butadiene Rubber (SBR) with a Mathematical Model. Int. J. Concr. Struct. Mater. 2013, 7, 295–301. [Google Scholar] [CrossRef]
- FAO. Global Map of Salt-Affected Soils; GSASmap v. 1.0.; FAO: Rome, Italy, 2021. [Google Scholar]
- Yang, J.; Yao, R.; Wang, X.; Xie, W.; Zhang, X.; Zhu, W.; Zhang, L.; Sun, R. Research on salt-affected soils in china: History, status quo and prospect. Acta. Pedol. Sin. 2022, 59, 10–27. [Google Scholar] [CrossRef]
- Yang, J.S. Development and prospect of the research on salt-affected soils in China. Acta. Pedol. Sin. 2008, 45, 837–845. [Google Scholar]
- Valenza, J.J., II; Scherer, G.W. A review of salt scaling: I. Phenomenology. Cem. Concr. Res. 2007, 37, 1007–1021. [Google Scholar] [CrossRef]
- Yu, B.T.; Wang, Q.C.; Zhou, L.X.; Zhang, F.Q. Experimental study on curing effect of concrete in arid and large diurnal temperature variation climate. Bull. Chin. Ceram. Soc. 2012, 31, 1398–1402. [Google Scholar]
- Yuasa, N.; Kasai, Y.; Matsui, I. Inhomogeneous distribution of the moisture content and porosity in concrete. In Concrete Durability and Repair Technology; Thomas Telford: London, UK, 1999; pp. 93–101. [Google Scholar]
- Su, J.; Jiang, Y.; Chen, C.; Guo, G. Thermo-mechanic coupled damage simulation of idealized concrete material. J. Phys. Conf. Ser. 2021, 1978, 012022. [Google Scholar] [CrossRef]
- Łukowski, P.; Dębska, D. Effect of Polymer Addition on Performance of Portland Cement Mortar Exposed to Sulphate Attack. Materials 2019, 13, 71. [Google Scholar] [CrossRef] [PubMed]
- Lu, L.C.; Li, Y.C.; De Wang, S.; Guo, X.Y. Study on Resistance to Sulphate Attack of Polymer Modified Sulphoaluminate Cement. Adv. Mater. Res. 2009, 79–82, 961–964. [Google Scholar] [CrossRef]
- Pang, B.; Jia, Y.; Zhang, Y.; Ni, H.; Liu, G.; She, W.; Yang, L.; Qian, R. Effect of the combined treatment with inorganic and organic agents on the surface hardening and adhesion properties of cement-based materials. Mater. Des. 2019, 169, 107673. [Google Scholar] [CrossRef]
- Pang, B.; Qian, J.; Zhang, Y.; Jia, Y.; Ni, H.; Pang, S.D.; Liu, G.; Qian, R.; She, W.; Yang, L.; et al. 5S Multifunctional Intelligent Coating with Superdurable, Superhydrophobic, Self-Monitoring, Self-Heating, and Self-Healing Properties for Existing Construction Application. ACS Appl. Mater. Interfaces 2019, 11, 29242–29254. [Google Scholar] [CrossRef]
- Mohammed, A.; Mahmood, W.; Ghafor, K. TGA, rheological properties with maximum shear stress and compressive strength of cement-based grout modified with polycarboxylate polymers. Constr. Build. Mater. 2020, 235, 117534. [Google Scholar] [CrossRef]
- Toutanji, H.; Choi, H.; Wong, D.; Gilbert, J.; Alldredge, D. Applying a polyurea coating to high-performance organic cementitious materials. Constr. Build. Mater. 2013, 38, 1170–1179. [Google Scholar] [CrossRef]
- Medeiros, M.; Helene, P.; Selmo, S. Influence of EVA and acrylate polymers on some mechanical properties of cementitious repair mortars. Constr. Build. Mater. 2009, 23, 2527–2533. [Google Scholar] [CrossRef]
- Vo, M.L.; Plank, J. Evaluation of natural rubber latex as film forming additive in cementitious mortar. Constr. Build. Mater. 2018, 169, 93–99. [Google Scholar] [CrossRef]
- Baueregger, S.; Perello, M.; Plank, J. Influence of anti-caking agent kaolin on film formation of ethylene–vinylacetate and carboxylated styrene–butadiene latex polymers. Cem. Concr. Res. 2014, 58, 112–120. [Google Scholar] [CrossRef]
- Zhang, M.F. Research on Polymer Modified Sulfur Aluminate Cement. Master’s Thesis, Wuhan University of Technology, Wuhan, China, 2007. [Google Scholar]
- Zhao, H.G. PVA Powder Modified Sulfur Aluminate Cement Repair Mortar Suitable for Village Buildings. Master’s Thesis, University of Jinan, Jinan, China, 2022. [Google Scholar]
- Wang, Z.; Xu, J.; Xia, W.; Huang, Z.; Meng, X.; Xiaoguang, X. Research on Interfacial Bonding Properties and Engineering Applications of Polymer Modified Mortar. E3S Web Conf. 2020, 198, 01045. [Google Scholar] [CrossRef]




















| Polymer | Performance Parameter | Performance Comparison | |||||||
|---|---|---|---|---|---|---|---|---|---|
| Compressive Strength | Flexural Strength | Bond Strength | Corrosion Resistance | Freeze–Thaw Resistance | Anticarbonization Performance | Impermeability | |||
| SAE | [117] | 50.1 MPa | 11.3 MPa | 39.9% (A) | 43.4% (A) | 37.5% (A) | 1. Comparison of compressive and antifolding performance [117] EP > WPU > SBR > PAE > SAE > VAE [53] EP > WPU > EVA > PVA > SBR > AC > VAE 2. Bond strength comparison SBR > PVA > EVA > AC > VAE > SAE > EP > WPU 3. Corrosion resistance comparison [117] SAE > SBR > PAE (A) [128] VAE > SBR (C) 4. Comparison of freeze–thaw resistance [117,129] SBR > PVA > PAE > SAE (A) 5. Comparison of anticarbonization performance [117] PAE > SBR > SAE (A) 6. Impermeability contrast [128] SBR > VAE (C) | ||
| [130] | 2.72 MPa | ||||||||
| SBR | [117] | 62.3 MPa | 15 MPa | 34% (A) | 16.1% (A) | 31.9% (A) | |||
| [52] | 44.1 MPa | 9.62 MPa | |||||||
| [128] | 3.71 MPa | 1.04 (C) | 1.6 (C) | ||||||
| PAE | [117] | 61 MPa | 13 MPa | 17.6% (A) | 36.9% (A) | 16.4% (A) | |||
| EP | [27] | 13.6% (B) | |||||||
| [53] | 90 MPa | 17.8 MPa | 2.6 MPa | 16% (B) | |||||
| [56] | 1.38% (B) | ||||||||
| PVA | [53] | 49.9 MPa | 9.91 MPa | 3.68 MPa | |||||
| [129] | 35.28% (A) 1.07% (B) | ||||||||
| AC | [53] | 32.34 MPa | 7.92 MPa | 3.41 MPa | |||||
| EVA | [53] | 50.27 MPa | 11.09 MPa | 3.42 MPa | |||||
| WPU | [42] | 64.4 MPa | 12 MPa | 2.33 MPa | 18% (B) | 18% (B) | |||
| VAE | [128] | 3.35 MPa | |||||||
| [129] | 27.9 MPa | 7.23 MPa | 1.07 (C) | 0.1 (C) | |||||
Disclaimer/Publisher’s Note: The statements, opinions and data contained in all publications are solely those of the individual author(s) and contributor(s) and not of MDPI and/or the editor(s). MDPI and/or the editor(s) disclaim responsibility for any injury to people or property resulting from any ideas, methods, instructions or products referred to in the content. |
© 2024 by the authors. Licensee MDPI, Basel, Switzerland. This article is an open access article distributed under the terms and conditions of the Creative Commons Attribution (CC BY) license (https://creativecommons.org/licenses/by/4.0/).
Share and Cite
Yang, Y.; Pang, B.; Zhang, Y.; Wang, M.; Miao, G.; Zhou, A. A Review of Waterborne Polymer–Cementitious Composite Repair Materials for Application in Saline Soil Environments: Properties and Progress. Buildings 2024, 14, 848. https://doi.org/10.3390/buildings14030848
Yang Y, Pang B, Zhang Y, Wang M, Miao G, Zhou A. A Review of Waterborne Polymer–Cementitious Composite Repair Materials for Application in Saline Soil Environments: Properties and Progress. Buildings. 2024; 14(3):848. https://doi.org/10.3390/buildings14030848
Chicago/Turabian StyleYang, Yan’e, Bo Pang, Yunsheng Zhang, Minghui Wang, Gaixia Miao, and Aoxiang Zhou. 2024. "A Review of Waterborne Polymer–Cementitious Composite Repair Materials for Application in Saline Soil Environments: Properties and Progress" Buildings 14, no. 3: 848. https://doi.org/10.3390/buildings14030848
APA StyleYang, Y., Pang, B., Zhang, Y., Wang, M., Miao, G., & Zhou, A. (2024). A Review of Waterborne Polymer–Cementitious Composite Repair Materials for Application in Saline Soil Environments: Properties and Progress. Buildings, 14(3), 848. https://doi.org/10.3390/buildings14030848

