An Innovative Fire-Resistant Lightweight Concrete Infill Wall Reinforced with Waste Glass
Abstract
1. Introduction
2. The Proposed Infill Wall
3. Experimental Study
3.1. Materials
3.2. Compressive and Tensile Test Procedure
3.3. Sequence of Temperature Application to the Specimens
3.4. Direct Fire Application Procedure
3.5. Testing of the Constructed Wall under OOP Loading
4. Results and Discussion
4.1. Weight Loss
4.2. The Compressive Strength of Specimens
4.3. Tensile Strength of Specimens
4.4. Wall Testing
4.4.1. General
4.4.2. The Block under Direct Fire
4.4.3. Constructed Wall under OOP Loading
5. Conclusions
- The glass powder percentage influenced weight loss during temperature exposure. The maximum and minimum weight losses were observed for specimens with 0% and 8% glass powder, respectively, up to 600 °C. Beyond 600 °C, specimens with 4% glass powder exhibited the highest weight loss.
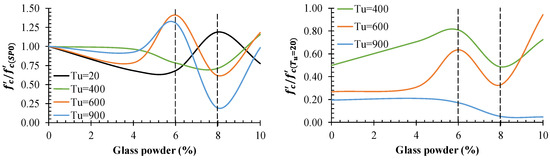
- The results indicated that by increasing the temperature, was reduced. Moreover, glass powder affected the . A noticeable finding is that under ambient temperatures, Tu = 20 °C, adding the glass powder reduced the , whereas under higher Tu, it improved the .
- At Tu = 200 °C, glass powder less than 4% reduced the , and in glass powder ranging from 4% to 8%, it increased the . Therefore, the optimal volume of glass powder was measured as 6% for specimens under different temperatures.
- Another noticeable finding is that the slob of reduction corresponding to the Tu was different. Up to heating of 200 °C, the was reduced by around 25%. From 200 °C to 600 °C, reduction tended to be around 10%. After Tu = 600 °C, the maximum reduction was obtained for SP4 and SP8.
- With the exception of models under Tu = 200 °C, temperature reduced the tensile strength of specimens. Models with 4% glass powder exhibited the minimum tensile strength for all evaluated temperatures.
- At Tu = 200 °C, the tension strength considerably increased when the glass powder was 6%. For other temperatures, the optimum glass powder was 8%.
- Testing the proposed block under direct fire indicated that the block prevents heat transfer. The temperature at the front of the back was reduced from 28% to 57%, which is considerable. At the beginning of applying the heating, the heat reduction percentage was 28%, and this improved to 57% at the end of testing.
- The ultimate out-of-plane (OOP) strength of the wall was 18.81 kN, while the wall’s weight was 167 kg, resulting in a weight-to-strength ratio of approximately 11.17 times its weight perpendicular to the plane. This indicates robust structural integrity even under exposure to temperatures up to 800 °C. As the wall was designed as a non-load-bearing structure without gravitational forces, it showed promising performance in fire events during earthquakes.
Author Contributions
Funding
Data Availability Statement
Conflicts of Interest
References
- American Society of Civil Engineers. Minimum Design Loads and Associated Criteria for Buildings and Other Structures, ASCE/SEI 7–22; American Society of Civil Engineers: Reston, VA, USA, 2022. [Google Scholar]
- Amanat, K.M.; Hoque, E. A Rationale for Determining the Natural Period of RC Building Frames Having Infill. Eng. Struct. 2006, 28, 495–502. [Google Scholar] [CrossRef]
- Mirrashid, M.; Naderpour, H. Computational Intelligence-Based Models for Estimating the Fundamental Period of Infilled Reinforced Concrete Frames. J. Build. Eng. 2022, 46, 103456. [Google Scholar] [CrossRef]
- Moreira, R.F.; Varum, H.; Castro, J.M. Influence of Masonry Infill Walls on the Seismic Assessment of Non-Seismically Designed RC Framed Structures. Buildings 2023, 13, 1148. [Google Scholar] [CrossRef]
- Jin, H. Comparative Study on the Effects of Infill Walls on Reinforced Concrete Frame Structures. Appl. Mech. Mater. 2015, 730, 81–84. [Google Scholar] [CrossRef]
- Nour, A.; Bourdim, S.M.E.-A.; Hassaine, M.I.E.T. Evaluation of the Seismic Behavior of RC Buildings through the Direct Modeling of Masonry Infill Walls. Buildings 2023, 13, 1576. [Google Scholar] [CrossRef]
- Grubišić, M.; Šipoš, T.K.; Grubišić, A.; Pervan, B. Testing of Damaged Single-Bay Reinforced Concrete Frames Strengthened with Masonry Infill Walls. Buildings 2023, 13, 1021. [Google Scholar] [CrossRef]
- Saengyuan, S.; Latcharote, P. Investigation of Seismic Performance for Low-Rise RC Buildings with Different Patterns of Infill Walls. Buildings 2022, 12, 1351. [Google Scholar] [CrossRef]
- Dineț, A.; Cobîrzan, N.; Maghiar, M. The Influence of Infills Made of Different Clay Units on Structural Behavior of Framed Buildings Placed in Different Seismic Areas. Procedia Manuf. 2020, 46, 116–121. [Google Scholar] [CrossRef]
- Dizhur, D.; Walsh, K.Q.; Giongo, I.; Derakhshan, H.; Ingham, J. Out-of-Plane Proof Testing of Masonry Infill Walls. Structures 2018, 15, 244–258. [Google Scholar] [CrossRef]
- Hermanns, L.K.H.; Fraile de Lerma, A.; Alarcón Álvarez, E.; Álvarez Cabal, R. Performance of Masonry Buildings during the 2011 Lorca Earthquake. In Proceedings of the 15th World Conference on Earthquake Engineering, Lisbon, Portugal, 24–28 September 2012. [Google Scholar]
- Fragomeli, A.; Galasco, A.; Graziotti, F.; Guerrini, G.; Kallioras, S.; Magenes, G.; Malomo, D.; Mandirola, M.; Manzini, C.F.; Marchesi, B.; et al. Comportamento Degli Edifici in Muratura Nella Sequenza Sismica Dell’Italia Centrale Del 2016—Parte 1: Quadro Generale. Progett. Sismica 2017, 8, 49–74. [Google Scholar] [CrossRef]
- Li, Y.; Ning, Z.; Shan, H.; Gao, C.; Huang, S. Seismic Behavior of Steel Frame Infilled with Wall-Panels Connected by Sliding Joint. J. Constr. Steel Res. 2024, 212, 108253. [Google Scholar] [CrossRef]
- Tekeli, H.; Kusain, F.E.; Anıl, Ö. Experimental Behavior of Masonry Infilled RC Frames with Openings Strengthened by Using CFRP Strip. Compos. Struct. 2023, 312, 116873. [Google Scholar] [CrossRef]
- Yu, J.-C.; Feng, X.; Carvelli, V. Hysteretic Performance of Foam-Infilled Corrugated FRP-Steel Sandwich Shear Wall. Eng. Struct. 2023, 294, 116775. [Google Scholar] [CrossRef]
- Shan, S.; Li, S. Collapse Performance of Post-Tensioned Steel Frames Considering Influence of Infill Walls. Structures 2023, 58, 105427. [Google Scholar] [CrossRef]
- Jin, W.; Zhai, C.; Zhang, M.; Liu, W.L.; Wei, Y.; Xie, L. Experimental Investigation on the In-Plane and out-of-Plane Interaction of Isolated Infills in RC Frames. Eng. Struct. 2023, 293, 116569. [Google Scholar] [CrossRef]
- Pallarés, F.J.; Rubio, L.P. Experimental Study on the Response of Seismically Isolated Masonry Infilled Steel Frames during the Initial Stages of a Seismic Movement. Eng. Struct. 2016, 129, 44–53. [Google Scholar] [CrossRef]
- Marinković, M.; Butenweg, C. Innovative system for earthquake resistant masonry infill walls. In Proceedings of the 16th European Conference on Earthquake Engineering, Thessaloniki, Greece, 18–21 June 2018. [Google Scholar]
- Tang, Y.; Wang, Y.; Wu, D.; Chen, M.; Pang, L.; Sun, J.; Feng, W.; Wang, X. Exploring temperature-resilient recycled aggregate concrete with waste rubber: An experimental and multi-objective optimization analysis. Rev. Adv. Mater. Sci. 2023, 62, 20230347. [Google Scholar] [CrossRef]
- Tang, Y.; Feng, W.; Chen, Z.; Nong, Y.; Guan, S.; Sun, J. Fracture behavior of a sustainable material: Recycled concrete with waste crumb rubber subjected to elevated temperatures. J. Clean. Prod. 2021, 318, 128553. [Google Scholar] [CrossRef]
- ASTM C90-14; Standard Specification for Loadbearing Concrete Masonry Units. ASTM International: West Conshohocken, PA, USA, 2014.
- EN 1363-1:2012; Fire Resistance Tests—Part 1: General Requirements. CEN: Brussels, Belgium, 2012.
- ASTM E119—10a; Standard Test Methods for Fire Tests of Building Construction and Materials. ASTM International: West Conshohocken, PA, USA, 2010.
- Lawrence, S. Design of Clay Masonry Walls for Fire Resistance; Technical Notes; Think Brick Australia: St. Leonards, Australia, 2006. [Google Scholar]
- Powęzka, A.; Ogrodnik, P.; Szulej, J.; Pecio, M. Glass Cullet as Additive to New Sustainable Composites Based on Alumina Binder. Energies 2021, 14, 3423. [Google Scholar] [CrossRef]
- Powęzka, A.; Szulej, J.; Ogrodnik, P. Reuse of Heat Resistant Glass Cullet in Cement Composites Subjected to Thermal Load. Materials 2020, 13, 4434. [Google Scholar] [CrossRef]
- Powęzka, A.; Szulej, J.; Ogrodnik, P. Effect of High Temperatures on the Impact Strength of Concrete Based on Recycled Aggregate Made of Heat-Resistant Cullet. Materials 2020, 13, 465. [Google Scholar] [CrossRef] [PubMed]
- Powęzka, A.; Ogrodnik, P.; Biedugnis, S.; Szulej, J. Assessment of Selected Parameters of Concrete Composite Containing Recyclate Obtained from Fire-Resistant Cullet. J. Phys. 2019, 1398, 012011. [Google Scholar] [CrossRef]
- ANSI/AISC 341–16; Seismic Provisions for Structural Steel Buildings. American Institute of Steel Construction (AISC): Chicago, IL, USA, 2016.
- Cobîrzan, N.; Muntean, R.; Thalmaier, G.; Felseghi, R.-A. Recycling of Mining Waste in the Production of Masonry Units. Materials 2022, 15, 594. [Google Scholar] [CrossRef] [PubMed]
- Grădinaru, C.M.; Muntean, R.; Șerbănoiu, A.A.; Ciocan, V.; Burlacu, A. Sustainable Development of Human Society in Terms of Natural Depleting Resources Preservation Using Natural Renewable Raw Materials in a Novel Ecological Material Production. Sustainability 2020, 12, 2651. [Google Scholar] [CrossRef]
- Rodsin, K.; Ali, N.; Joyklad, P.; Chaiyasarn, K.; Al Zand, A.W.; Hussain, Q. Improving Stress-Strain Behavior of Waste Aggregate Concrete Using Affordable Glass Fiber Reinforced Polymer (GFRP) Composites. Sustainability 2022, 14, 6611. [Google Scholar] [CrossRef]
- Shcherban’, E.M.; Stel’makh, S.A.; Beskopylny, A.N.; Mailyan, L.R.; Meskhi, B.; Elshaeva, D.; Chernil’nik, A.; Mailyan, A.L.; Ananova, O. Eco-Friendly Sustainable Concrete and Mortar Using Coal Dust Waste. Materials 2023, 16, 6604. [Google Scholar] [CrossRef]
















| Model | Cement * | Glass Powder * | Glass Powder Percentage | Water * | W/C | LECA (N/m3) * | Sand * | γ * | ||
|---|---|---|---|---|---|---|---|---|---|---|
| 3/8″ | 4″ | 8″ | ||||||||
| SP-0 | 4000 | 0 | 0 | 1400 | 0.35 | 597 | 2000 | 1560 | 7342 | 17,000 |
| SP-4 | 3960 | 40 | 4 | 1400 | 0.35 | 597 | 2000 | 1560 | 7342 | 17,000 |
| SP-6 | 3960 | 160 | 6 | 1400 | 0.36 | 597 | 2000 | 1560 | 7342 | 17,000 |
| SP-8 | 3960 | 320 | 8 | 1400 | 0.38 | 597 | 2000 | 1560 | 7342 | 17,000 |
| SP-10 | 3960 | 400 | 10 | 1400 | 0.39 | 597 | 2000 | 1560 | 7342 | 17,000 |
| Tu (°C) | SP0 | SP4 | SP6 | SP8 | SP10 |
|---|---|---|---|---|---|
| 20 | 18.28 | 12.49 | 8.53 | 10.14 | 7.87 |
| 200 | 11.52 | 9.88 | 15.79 | 9.97 | 10.78 |
| 400 | 9.13 | 8.81 | 6.91 | 4.94 | 5.71 |
| 600 | 4.91 | 3.84 | 5.42 | 3.33 | 7.42 |
| 900 | 2.25 | 2.08 | 2.72 | 0.52 | 0.51 |
| 20 | 1.00 | 1.00 | 1.00 | 1.00 | 1.00 |
| 200 | 0.63 | 0.79 | 1.85 | 0.98 | 1.37 |
| 400 | 0.50 | 0.71 | 0.81 | 0.49 | 0.73 |
| 600 | 0.27 | 0.31 | 0.64 | 0.33 | 0.94 |
| 900 | 0.20 | 0.21 | 0.17 | 0.05 | 0.05 |
| 20 | 1.00 | 0.68 | 0.68 | 1.19 | 0.78 |
| 200 | 1.00 | 0.86 | 1.60 | 0.63 | 1.08 |
| 400 | 1.00 | 0.97 | 0.78 | 0.71 | 1.16 |
| 600 | 1.00 | 0.78 | 1.41 | 0.62 | 1.18 |
| 900 | 1.00 | 0.92 | 1.31 | 0.19 | 0.98 |
Disclaimer/Publisher’s Note: The statements, opinions and data contained in all publications are solely those of the individual author(s) and contributor(s) and not of MDPI and/or the editor(s). MDPI and/or the editor(s) disclaim responsibility for any injury to people or property resulting from any ideas, methods, instructions or products referred to in the content. |
© 2024 by the authors. Licensee MDPI, Basel, Switzerland. This article is an open access article distributed under the terms and conditions of the Creative Commons Attribution (CC BY) license (https://creativecommons.org/licenses/by/4.0/).
Share and Cite
Ghamari, A.; Powęzka, A.; Kytinou, V.K.; Amini, A. An Innovative Fire-Resistant Lightweight Concrete Infill Wall Reinforced with Waste Glass. Buildings 2024, 14, 626. https://doi.org/10.3390/buildings14030626
Ghamari A, Powęzka A, Kytinou VK, Amini A. An Innovative Fire-Resistant Lightweight Concrete Infill Wall Reinforced with Waste Glass. Buildings. 2024; 14(3):626. https://doi.org/10.3390/buildings14030626
Chicago/Turabian StyleGhamari, Ali, Aleksandra Powęzka, Violetta K. Kytinou, and Ali Amini. 2024. "An Innovative Fire-Resistant Lightweight Concrete Infill Wall Reinforced with Waste Glass" Buildings 14, no. 3: 626. https://doi.org/10.3390/buildings14030626
APA StyleGhamari, A., Powęzka, A., Kytinou, V. K., & Amini, A. (2024). An Innovative Fire-Resistant Lightweight Concrete Infill Wall Reinforced with Waste Glass. Buildings, 14(3), 626. https://doi.org/10.3390/buildings14030626

