Strength and Microstructural Evolution of Magnesium Phosphate Cement Mortar in Plateau Environment
Abstract
1. Introduction
2. Materials and Methods
2.1. Raw Materials
2.2. Mix Proportion
2.3. Specimen Preparation and Curing
2.4. Test Methods
2.4.1. Setting Time and Workability Measurement
2.4.2. Mechanical Strength Tests
2.4.3. X-ray Diffraction (XRD) Analysis
2.4.4. Thermogravimetric Analysis (TGA)
2.4.5. Pore Structure Analysis
2.4.6. SEM Observation
3. Results and Discussion
3.1. Setting Time and Workability
3.2. Compressive and Flexural Strength
3.3. Hydation Products
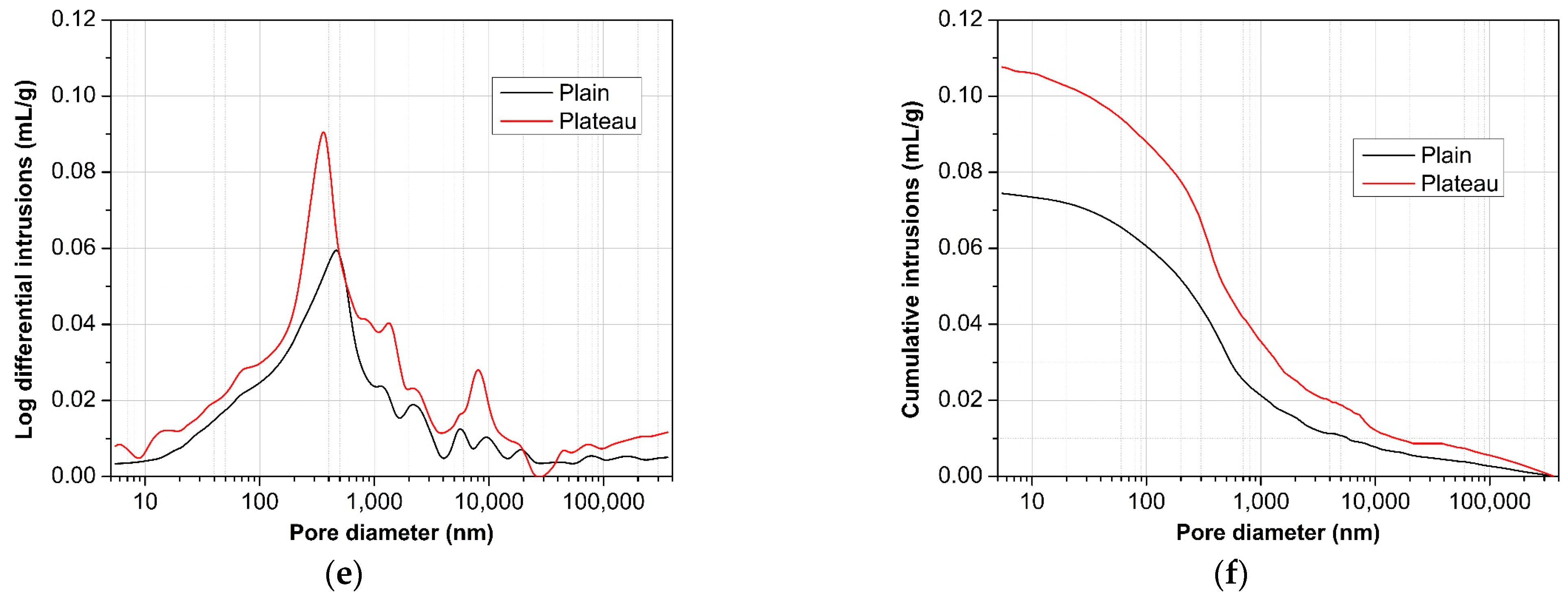
3.4. Pore Structure
3.5. Microstructure
3.6. Further Discussion
4. Conclusions
Author Contributions
Funding
Data Availability Statement
Conflicts of Interest
References
- Huo, J.; Wang, Z.; Zhang, T.; Ji, X.; Zhang, H.; He, R. The evolution of early-age cracking of cement paste cured in low air pressure environment. J. Build. Eng. 2022, 52, 104489. [Google Scholar] [CrossRef]
- Wang, H.; Long, G.; Tang, Z.; Xie, Y.; Ma, G.; Tang, C.; Liu, S.; Ren, X. The volume stability of cement-based materials under different extreme environments in the plateau: Experimental evolution. J. Build. Eng. 2022, 62, 105370. [Google Scholar] [CrossRef]
- Zeng, X.; Lan, X.; Zhu, H.; Long, G.; Xie, Y. Investigation on air-voids structure and compressive strength of concrete at low atmospheric pressure. Cem. Concr. Compos. 2021, 122, 104139. [Google Scholar] [CrossRef]
- Huo, J.; Wang, Z.; Chen, H.; He, R. Impacts of low atmospheric pressure on properties of cement concrete in plateau areas: A literature review. Materials 2019, 12, 1384. [Google Scholar] [CrossRef] [PubMed]
- Ge, X.; Ge, Y.; Li, Q.; Cai, X.; Yang, W.; Du, Y. Effect of low air pressure on the durability of concrete. Constr. Build. Mater. 2018, 187, 830–838. [Google Scholar] [CrossRef]
- Hu, X.; Peng, G.; Niu, D.; Zhao, N. Effect of early frost environment on service performance of concrete. J. Build. Mater. 2020, 23, 1061–1070. [Google Scholar]
- Wagh, A.S. Chemically Bonded Phosphate Ceramics; Elsevier: Amsterdam, The Netherlands, 2004; pp. 264–267. [Google Scholar]
- Qiao, F.; Chau, C.K.; Li, Z. Property evaluation of magnesium phosphate cement mortar as patch repair material. Constr. Build. Mater. 2010, 24, 695–700. [Google Scholar] [CrossRef]
- Jia, X.; Luo, J.; Zhang, W.; Qian, J.; Li, J.; Wang, P.; Tang, M. Preparation and application of self-curing magnesium phosphate cement concrete with high early strength in severe cold environments. Materials 2020, 13, 5587. [Google Scholar] [CrossRef] [PubMed]
- Wagh, A.S. Recent Progress in Chemically Bonded Phosphate Ceramics. ISRN Ceram. 2013, 2013, 983731. [Google Scholar] [CrossRef]
- Gardner, L.J.; Corkhill, C.L.; Walling, S.A.; Vigor, J.E.; Murray, C.A.; Tang, C.C.; Provis, J.L.; Hyatt, N.C. Early age hydration and application of blended magnesium potassium phosphate cements for reduced corrosion of reactive metals. Cem. Concr. Res. 2021, 143, 106375. [Google Scholar] [CrossRef]
- Yu, L.; Xia, K.; Gong, C.; Chen, J.; Dai, H. An injectable bioactive magnesium phosphate cement incorporating carboxymethyl chitosan for bone regeneration. Int. J. Biol. Macromol. 2020, 160, 101–111. [Google Scholar] [CrossRef]
- Qin, J.; Qian, J.; Dai, X.; You, C.; Ma, H.; Li, Z. Effect of water content on microstructure and properties of magnesium potassium phosphate cement pastes with different magnesia-to-phosphate ratios. J. Am. Ceram. Soc. 2021, 104, 2799–2819. [Google Scholar] [CrossRef]
- Xu, B.; Lothenbach, B.; Leemann, A.; Winnefeld, F. Reaction mechanism of magnesium potassium phosphate cement with high magnesium-to-phosphate ratio. Cem. Concr. Res. 2018, 108, 140–151. [Google Scholar] [CrossRef]
- Zhang, G.; Wang, Q.; Li, Y.; Zhang, M. Microstructure and micromechanical properties of magnesium phosphate cement. Cem. Concr. Res. 2023, 172, 107227. [Google Scholar] [CrossRef]
- Qin, J.; Dai, F.; Ma, H.; Dai, X.; Li, Z.; Jia, X.; Qian, J. Development and characterization of magnesium phosphate cement based ultra-high performance concrete. Compos. Part B Eng. 2022, 234, 109694. [Google Scholar] [CrossRef]
- Tang, H.; Qian, J.; Qin, J.; Li, Z.; Jia, X.; Yue, Y.; Dai, F. Electrochemical behavior of steel bars in magnesium phosphate cement. Cem. Concr. Res. 2023, 169, 107167. [Google Scholar] [CrossRef]
- Qin, J.; Qian, J.; You, C.; Fan, Y.; Li, Z.; Wang, H. Bond behavior and interfacial micro-characteristics of magnesium phosphate cement onto old concrete substrate. Constr. Build. Mater. 2018, 167, 166–176. [Google Scholar] [CrossRef]
- Li, Y.; Shi, T.; Li, J. Effects of fly ash and quartz sand on water-resistance and salt-resistance of magnesium phosphate cement. Constr. Build. Mater. 2016, 105, 384–390. [Google Scholar] [CrossRef]
- Jia, X.; Li, J.; Wang, P.; Qian, J.; Tang, M. Preparation and mechanical properties of magnesium phosphate cement for rapid construction repair in ice and snow. Constr. Build. Mater. 2019, 229, 116927. [Google Scholar] [CrossRef]
- Chong, L.; Yang, J.; Xu, Z.; Xu, X. Freezing and thawing resistance of MKPC paste under different corrosion solutions. Constr. Build. Mater. 2019, 212, 663–674. [Google Scholar] [CrossRef]
- Ji, R.-J.; Li, T.; Yang, J.-M.; Xu, J. Sulfate freeze–thaw resistance of magnesium potassium phosphate cement mortar according to hydration age. Materials 2022, 15, 4192. [Google Scholar] [CrossRef] [PubMed]
- Lan, X.; Zeng, X.; Zhu, H.; Long, G. Experimental investigation on fractal characteristics of pores in air-entrained concrete at low atmospheric pressure. Cem. Concr. Compos. 2022, 130, 104509. [Google Scholar] [CrossRef]
- Huo, J.; Wang, Z.; Ji, X.; Zhang, T.; Zhang, H.; Zhou, X.; Guo, H. Chloride resistance of cement-based materials with paraffin emulsion-nano silica sol cured at low air pressure. Constr. Build. Mater. 2023, 398, 132498. [Google Scholar] [CrossRef]
- Liu, J.; Xin, Z.; Huang, Y.; Jia, Y. Climate suitability assessment on the Qinghai-Tibet Plateau. Sci. Total Environ. 2022, 816, 151653. [Google Scholar] [CrossRef] [PubMed]
- JC/T 2537-2019; Magnesium Phosphate Repairing Mortar. Ministry of Industry and Information Technology of the People’s Republic of China [MOIIT], China Building Materials Press: Beijing, China, 2019.
- Oderji, S.Y.; Chen, B.; Ahmad, M.R.; Shah, S.F.A. Fresh and hardened properties of one-part fly ash-based geopolymer binders cured at room temperature: Effect of slag and alkali activators. J. Clean. Prod. 2019, 225, 1–10. [Google Scholar] [CrossRef]
- GB/T 17671-2021; Test Method of Cement Mortar Strength (ISO Method). National Standardization Management Committee, People’s Republic of China: Beijing, China, 2021. (In Chinese)
- Lee, K.-H.; Yoon, H.-S.; Yang, K.-H. Tests on magnesium potassium phosphate composite mortars with different water-to-binder ratios and molar ratios of magnesium-to-phosphate. Constr. Build. Mater. 2017, 146, 303–311. [Google Scholar] [CrossRef]
- Yu, J.; Qian, J.; Wang, F.; Li, Z.; Jia, W. Preparation and properties of a magnesium phosphate cement with dolomite. Cem. Concr. Res. 2020, 138, 106235. [Google Scholar] [CrossRef]
- Shi, J.; Zhao, J.; Chen, H.; Hou, P.; Kawashima, S.; Qin, J.; Zhou, X.; Qian, J.; Cheng, X. Sulfuric acid-resistance performances of magnesium phosphate cements: Macro-properties, mineralogy and microstructure evolutions. Cem. Concr. Res. 2022, 157, 106830. [Google Scholar] [CrossRef]
- Lahalle, H.; Patapy, C.; Glid, M.; Renaudin, G.; Cyr, M. Microstructural evolution/durability of magnesium phosphate cement paste over time in neutral and basic environments. Cem. Concr. Res. 2019, 122, 42–58. [Google Scholar] [CrossRef]
- Li, Y.; Li, J. Capillary tension theory for prediction of early autogenous shrinkage of self-consolidating concrete. Constr. Build. Mater. 2014, 53, 511–516. [Google Scholar] [CrossRef]
- Li, X.F.; Fu, Z. Effect of low-pressure of environment on air content and bubble stability of concrete. J. Chin. Ceram. Soc. 2015, 43, 1076–1082. [Google Scholar]
- Samal, D.K.; Ray, S. An improved understanding of the influence of w/c ratio and interfacial transition zone on fracture mechanisms in concrete. Mag. Concr. Res. 2023, 75, 847–863. [Google Scholar] [CrossRef]
- Chen, D.; Yu, X.; Liu, R.; Li, S.; Zhang, Y. Triaxial mechanical behavior of early age concrete: Experimental and modelling research. Cem. Concr. Res. 2019, 115, 433–444. [Google Scholar] [CrossRef]
- Ma, H.; Xu, B. Potential to design magnesium potassium phosphate cement paste based on an optimal magnesia-to-phosphate ratio. Mater. Des. 2017, 118, 81–88. [Google Scholar] [CrossRef]












| Oxides | MgO | CaO | SiO2 | Fe2O3 | Al2O3 | Others | L.O.I. |
|---|---|---|---|---|---|---|---|
| Content | 90.80 | 1.37 | 2.87 | 1.29 | 2.40 | 1.03 | 0.24 |
| Samples | Binder Components | M/P | s/b | w/b | ||
|---|---|---|---|---|---|---|
| Magnesia | ADP | Borax | ||||
| S0.75W0.12 | 1 | 0.25 | 0.062 | 4 | 0.75 | 0.12 |
| S0.75W0.14 | 1 | 0.25 | 0.062 | 4 | 0.75 | 0.14 |
| S0.75W0.16 | 1 | 0.25 | 0.062 | 4 | 0.75 | 0.16 |
| S0.5W0.14 | 1 | 0.25 | 0.062 | 4 | 0.50 | 0.14 |
| S1.0W0.14 | 1 | 0.25 | 0.062 | 4 | 1.00 | 0.14 |
| Samples | Setting Time (min) | Flow Diameter (mm) | ||
|---|---|---|---|---|
| Plain | Plateau | Plain | Plateau | |
| S0.75W0.12 | 18.0 | 17.0 | 180 | 165 |
| S0.75W0.14 | 18.0 | 18.5 | 240 | 215 |
| S0.75W0.16 | 18.5 | 18.0 | 270 | 240 |
| S0.5W0.14 | 20.0 | 19.0 | 260 | 240 |
| S1.0W0.14 | 15.0 | 14.5 | 195 | 170 |
| Sample | Compressive Strength Increase Rate | Flexural Strength Increase Rate | ||||
|---|---|---|---|---|---|---|
| 3 h | 1 Day | 180 Days | 3 h | 1 Day | 180 Days | |
| S0.75W0.12 | 44.1 | 14.3 | −11.0 | 6.2 | 22.1 | −2.5 |
| S0.75W0.14 | 43.2 | 11.1 | −19.1 | 1.7 | 17.6 | −17.4 |
| S0.75W0.16 | 41.5 | 9.4 | −49.2 | 4.0 | 21.4 | −32.7 |
| S0.5W0.14 | 44.1 | 6.1 | −10.1 | 1.6 | 34.1 | −10.7 |
| S1.0W0.14 | 42.7 | 10.3 | −20.9 | 3.8 | 16.7 | −40.7 |
| Samples | Curing Age (Day) | Curing Condition | MgO (wt.%) | MgNH4PO4·6H2O (wt.%) |
|---|---|---|---|---|
| P-W0.14 | 1 | Plain | 92.5 | 7.5 |
| Plateau | 92.7 | 7.3 | ||
| P-W0.12 | 180 | Plain | 92.5 | 7.5 |
| Plateau | 93.1 | 6.9 | ||
| P-W0.14 | 180 | Plain | 90.3 | 9.7 |
| Plateau | 91.2 | 8.8 | ||
| P-W0.16 | 180 | Plain | 89.8 | 10.2 |
| Plateau | 90.3 | 9.7 |
| Sample | Curing Age (Day) | Curing Condition | Total Porosity (%) | Pore Size Distribution (%) | |||
|---|---|---|---|---|---|---|---|
| Gel Pores (<10 nm) | Transitional Pores (10–100 nm) | Capillary Pores (100 nm–1 μm) | Macropores (>1 μm) | ||||
| S0.75W0.14 | 1 | Plain | 21.34 | 0.06 | 3.60 | 11.70 | 5.98 |
| Plateau | 21.31 | 0.16 | 3.23 | 14.09 | 3.83 | ||
| S0.75W0.12 | 180 | Plain | 14.49 | 0.11 | 2.04 | 7.72 | 4.62 |
| Plateau | 14.69 | 0.36 | 2.26 | 8.84 | 3.23 | ||
| S0.75W0.14 | 180 | Plain | 16.37 | 0.10 | 2.16 | 10.81 | 3.30 |
| Plateau | 19.39 | 0.03 | 2.59 | 10.25 | 6.52 | ||
| S0.75W0.16 | 180 | Plain | 16.47 | 0.25 | 2.71 | 8.90 | 4.61 |
| Plateau | 21.95 | 0.38 | 3.52 | 10.97 | 7.08 | ||
| Spectrum | Chemical Element (Atomic, %) | ||||
|---|---|---|---|---|---|
| O | Mg | P | N | Na | |
| 1 | 56.82 | 43.18 | / | / | / |
| 2 | 67.25 | 11.76 | 11.22 | 9.76 | / |
| 3 | 63.63 | 16.30 | 11.22 | 7.64 | 1.21 |
| 4 | 64.59 | 21.06 | 6.58 | 5.88 | 1.89 |
Disclaimer/Publisher’s Note: The statements, opinions and data contained in all publications are solely those of the individual author(s) and contributor(s) and not of MDPI and/or the editor(s). MDPI and/or the editor(s) disclaim responsibility for any injury to people or property resulting from any ideas, methods, instructions or products referred to in the content. |
© 2024 by the authors. Licensee MDPI, Basel, Switzerland. This article is an open access article distributed under the terms and conditions of the Creative Commons Attribution (CC BY) license (https://creativecommons.org/licenses/by/4.0/).
Share and Cite
Ren, Z.; Qin, J.; Gao, Z.; Huang, P.; Kong, Y.; Gu, X. Strength and Microstructural Evolution of Magnesium Phosphate Cement Mortar in Plateau Environment. Buildings 2024, 14, 410. https://doi.org/10.3390/buildings14020410
Ren Z, Qin J, Gao Z, Huang P, Kong Y, Gu X. Strength and Microstructural Evolution of Magnesium Phosphate Cement Mortar in Plateau Environment. Buildings. 2024; 14(2):410. https://doi.org/10.3390/buildings14020410
Chicago/Turabian StyleRen, Zhiping, Jihui Qin, Zhiyang Gao, Pengyu Huang, Yaning Kong, and Xiaowei Gu. 2024. "Strength and Microstructural Evolution of Magnesium Phosphate Cement Mortar in Plateau Environment" Buildings 14, no. 2: 410. https://doi.org/10.3390/buildings14020410
APA StyleRen, Z., Qin, J., Gao, Z., Huang, P., Kong, Y., & Gu, X. (2024). Strength and Microstructural Evolution of Magnesium Phosphate Cement Mortar in Plateau Environment. Buildings, 14(2), 410. https://doi.org/10.3390/buildings14020410

