Abstract
Track irregularity is one of the principal excitations that induces coupled vibrations in vehicle–bridge systems. Understanding the sensitive wavelength of track irregularities is critical for the evaluation and management of track conditions. Notably, existing studies generally focus on railway systems, but the characteristics of sensitive wavelengths in monorail systems are insufficiently understood. This study aims to investigate the influence of longitudinal level irregularity (LLI) on the dynamic response of the monorail tour transit system (MTTS), as well as the sensitive wavelength of LLI. First, a joint model was developed by integrating multi-body dynamics with the finite element method. The LLI utilized in the numerical mode was simulated by trigonometric functions with various frequencies (i.e., wavelengths) and amplitudes. The dynamic responses of monorail vehicles, including the wheel load reduction rate and vertical acceleration, were obtained and then used to evaluate track conditions. Results indicate that the dynamic responses of MTTS are mainly affected by the LLI with a wavelength of less than 5 m. In addition, it was found that, in the studied ranges, the sensitivity wavelength grows as the vehicle speed increases. Finally, the recommended value of LLI control under various track conditions was evaluated.
1. Introduction
The transportation system plays an important role in the economic development of a region. For tourist attractions, an efficient passenger transportation system generally indicates good management and economic benefits. Nowadays, with the increasing awareness of natural landscape protection, the question of how to protect the original landscape while adapting to the complex and changing terrain conditions in order to develop the tourism industry has gradually become the focus of attention. In this case, monorail tour transit systems (MTTSs) have been rapidly developed in various regions [1]. In fact, as early as the 20th century, countries, including the United States and Japan, began to develop monorail systems for urban and tourist transportation. The main structural features of these monorails are the use of straddle-type monorail and concrete or steel–concrete composite beams. It should be noted that MTTSs generally adopt steel track beams because of the convenience of their prefabrication and rapid installation, which represents a significant structural diversity when compared with conventional monorail systems. In addition, there are some technical parameters and differences in dynamic characteristics [2].
Similarly to many transportation systems, such as railways [3,4] and highways [5,6], engineers and researchers are concerned about the service performance of both the vehicle subsystem and the supporting structure (i.e., track beam bridge for monorails) subsystem of an MTTS. To accurately capture the patterns of the dynamic responses of the system, coupling methods should be used to consider the interaction between these two subsystems. At the same time, to achieve the simulation of vehicle–bridge interactions, it is undoubtedly necessary to consider the existence of track irregularities. For instance, Naseri et al. developed a multi-point contact algorithm to simulate the wheel–rail interface and implemented it so as to properly capture rail surface irregularities [7]. Melo et al. proposed a specific finite element to model the track–deck interface by assembling a friction contact element and a non-linear spring [8]. With these efforts, the non-linear behavior of the coupled system can be better investigated. Specifically, the irregularity-induced vibrations of supporting structures and vehicles can be accurately evaluated. As a result, this will facilitate the subsequent assessment of the service performance of these transportation systems. Research on track irregularities can be conducted from various perspectives, including measuring the actual profile of engineering structures, integrating track irregularities into vehicle–bridge coupling models, and investigating the characteristics of track irregularities in both the time and frequency domains [9,10,11]. Among these perspectives, the sensitive wavelength of track irregularity has continued to draw the attention of the research community.
Generally, actual track irregularity on a structure surface is recognized as a random process that changes with rail (or road, track, etc.) mileage. In engineering practice, a track irregularity signal can be regarded as a superposition of harmonics with different wavelengths, different amplitudes, and different phases. At a certain operating speed, different wavelengths of irregularity have varying effects on the disturbance frequency of vehicles, with certain wavelengths, known as sensitive wavelengths, inducing more significant vibrations in the vehicles due to the dynamic amplification effect [12,13]. The range of wavelengths for track irregularities is broad and can be categorized into short-wave, medium-wave, and long-wave track irregularities [14]. It should be noted that, for different transportation systems (vehicle speeds), the critical value for distinguishing wavelength categories can be diverse.
- Short-wave wavelengths (less than 1 m) have a high excitation frequency, significantly impacting wheel–rail interactions, wheel weight reduction [15], and wheel–rail noise [16], though they have minimal effects on train body vibration and ride comfort.
- Medium-wave wavelengths (between 1 to 30 m) primarily affect the smoothness and comfort of train operation, with a smaller impact on vehicle safety and wheel–rail dynamics compared with short-wave roughness.
- Long-wave wavelengths (between 30 to 200 m) play a critical role in the riding comfort of high-speed train operations [17,18].
It is worth noting that existing studies generally focus on railway systems [19,20,21,22], whereas very limited attention has been paid to monorail systems. Monorail systems are primarily utilized for transportation in urban and scenic areas, rather than the long-distance travel that railways are utilized for. Although their speeds are relatively low, managing track irregularities is essential due to the lower stiffness of the steel rail girders. As pointed out in [23], with an increase in the track stiffness irregularity of the track–bridge system, dynamic irregularity also increases markedly. Moreover, with a decrease of the supporting stiffness of the track slabs, the probability distribution of the dynamic irregularity extrema is shifted to a higher-level area. In their studies, the impact of stiffness refers to various structural components, such as floating slabs and substructures, in railways. For monorails, however, only the stiffness of track beams is related. However, the length of the track span affects the geometry of local track irregularity, which is related to the occurrence of different train motions [17]. In addition, given that monorail systems operate at relatively low speeds, short-wave roughness has become a key factor influencing operational safety, smoothness, and ride comfort. Specific uneven wavelengths can cause significant excitation in the train body, adversely affecting comfort and safety. Therefore, it is essential to enhance the control and management of medium- and short-wave irregularities in monorail track systems. To sum up, structural diversity between monorails and railways causes a distinct difference regarding the analysis of sensitive wavelength, hence it is of great significance to investigate the features of sensitive wavelengths for monorail systems, particularly in MTTSs, under the accurate simulation of structural configurations. For the purposes of this analysis, long-wave irregularities will be temporarily excluded, focusing instead on the effects of medium- and short-wave roughness. With these efforts, we expect to provide a necessary database and an important theoretical basis for the management and control of track irregularities on monorail track beams.
On a related note, studies on sensitive wavelengths have been predominantly conducted via numerical simulation, which is determined by the nature of the problem. This is because natural signals of track irregularity typically contain continuous frequency information, making it very difficult to isolate the effects of an individual frequency (i.e., wavelength) within the dynamic responses of complex coupled systems. So far, research regarding the sensitive length of track irregularity and irregularity-induced dynamic responses in MTTSs or general monorail systems are very limited. The first available field-measured track irregularity data and the associated spectra were obtained in Japan in 2006 [24]. Recently, the database of longitudinal level irregularity (LLI), which affects the system most among the various kinds of irregularities, has been significantly enlarged with the implementation of data measured from MTTSs [2,25]. By using these measured signals, the dynamic responses of monorail systems, including the bridge and vehicle subsystems were accurately evaluated through field tests and numerical simulation [26,27,28,29]. In addition, concepts from railway systems, such as the contact force and load reduction of wheels, were referred to and utilized in order to comprehensively evaluate monorail systems [30,31]. Nevertheless, developing more specialized evaluation indicators has always been an essential topic in the research field. Moreover, reviews on existing studies have utilized the optimal choice among the numerical simulation techniques, which is a combination of the finite element method (FEM) and multi-body dynamics (MBDs). For example, Huang et al. utilized a co-simulation method to analyze the mechanical properties of bridges under wind–vehicle–bridge coupling actions [32]. Chen et al. [33] and Wang et al. [34] studied the aerodynamic performance of a vehicle–bridge system under the action of a crosswind. In this work, however, evaluation under complex or extreme service conditions, such as strong winds, are not considered. This is because external loadings do not alter the natural characteristics of trains and structures related to sensitive wavelengths. Therefore, the investigation of wind-induced effects, as well as active control of structural or vehicle motions [35,36], are not included.
To sum up, existing studies on the sensitive wavelength of track irregularities in monorail systems, especially in MTTSs, are relatively rare. Nevertheless, the usage of FEM and MBDs on monorail systems have been verified, providing an effective method by which to investigate the effects related to sensitive wavelengths. To the best of our knowledge, no existing studies have focused on the determination of the sensitive wavelengths of MTTSs. Based on a comprehensive analysis of the existing research, this work employs FEM (ABAQUS 2013) and MBD (SIMPACK 2021x) software to establish a vehicle–track coupling model, which is then used to investigate the sensitive wavelength and the amplitude limit of LLI, as this contributes more significantly than other types of track irregularities. The results of the study can provide a meaningful reference for subsequent studies regarding track irregularities, sensitive wavelengths and related engineering management.
2. Methodologies
2.1. Modelling Track Beams
For easy demonstration, a 15 m-long track beam in an MTTS test-line located in Zhuzhou city, China is taken as an example. According to the drawings provided by the design institute, and using solid element, a finite element analysis model of the track beam was established based on Abaqus [37]. The track beam is made of S355 steel material with a density of 7850 kg/m, an elastic modulus of 210 GPa, and a Poisson’s ration of 0.3. Boundary conditions of the structure were simplified during modelling, with a fixed constraint at one end to release the bending moment and the longitudinal degree of freedom released at the other end. The geometries of the track beam and related FEM model are shown in Figure 1. Furthermore, a uniform load was applied on the top surface, then a static analysis was conducted to observe the deformation form and stress distribution and, more importantly, to roughly examine the modelling process.
Figure 1.
Representative design diagrams of monorail substructures. (a) Floor plan; (b) elevation view; (c) cross section view; (d) axonometric view of the model.
2.2. Modelling Monorail Trains
Owing to the complexity of vehicle systems, necessary simplifications should be performed to efficiently simulate their mechanical characteristics, e.g., by using MBD [29]. In this work, the modelling of monorail trains adopts the substructure technique in SIMPACK [38]. In general, the mass and the geometric and dynamic characteristics of each component of the monorail train were considered. To improve the model’s precision, hourglass springs, shock absorbing equipment, etc. are simulated by force elements. Note, that, when compared with a conventional locomotive, a monorail bogie does not contain primary suspension, and the secondary suspension consists of hourglass springs. Parameters of the vehicle were provided by the manufacturer (CRRC Special Equipment Technology Co., Ltd., Zhuzhou city, China). The developed model of an MTTS train is shown in Figure 2. Detailed parameters for the train model are given in the Supplementary materials.
Figure 2.
Modelling of an MTTS train: (a) Elevation view of a bogie; (b) axonometric view of the bogie; (c) the entire train model.
2.3. Coupling Model and Its Verification
Existing studies have presented approaches by which to integrate the FEM and MBD model. In this work, this process was completed using an interface file, as follows: firstly conduct a substructure analysis in Abaqus and transform the result file into the so called flexible body interface file, which can be processed as a flexible object and applied with various force elements in subsequent simulations [25,26]. The relationship between the monorail train and track beams is established by utilizing force elements, and time-dependent markers and integrating the track irregularity profile, which can be input directly or calculated from the spectrum, as in Figure 3. The latter approach allows for the analysis of sensitive wavelengths, as the simulated spectrum contains only a few isolated frequencies.
Figure 3.
Topology graph of MTTS with track irregularity integrated.
To demonstrate the effectiveness of the developed coupling model, a series of field tests on the dynamic responses of MTTSs were conducted in the test line. Equipment such as linear variable differential transform and vibration pickups were used to capture the dynamic signals. For the model, parameters of the monorail vehicle were set so as to be consistent with the actual conditions. At the beginning of the simulation, the monorail train started from 30 m away from the end of the track beam to eliminate the initial vibration effects, and then passed through the track beam at a constant speed of 30 km/h. The vertical displacement and the vertical and lateral acceleration at the middle span of the track beam were monitored. Results of the joint simulation under various speeds are shown in Figure 4. These results show that the simulated responses of acceleration and displacement of the track beam are highly consistent. It is observed that the simulated vertical displacement at the midspan of the track beam was slightly larger than the tested signal, which is believed to be due to the model not considering the influence of steel stiffeners inside the track beam. Nevertheless, the result reveals that the joint model can be applied to subsequent analysis.
Figure 4.
Comparison of results at the mid-span of a track beam from field tests and simulation. (a) Vertical displacement; (b) vertical and lateral acceleration.
2.4. Sensitive Wavelength
Due to the inclusion of numerous wavelength components, it is difficult to represent the properties of track irregularity with a single function. More importantly, not all wavelengths have the same impact on the coupled system. In fact, certain wavelengths of irregularity significantly affect the quality of vehicle operation and are classified as sensitive wavelengths. The identification of sensitive wavelengths is generally determined by the dynamic responses, such as the vibration acceleration of the vehicle body or structure, and it depends on the specific issue being studied. Generally, when induced frequency of track irregularity is close to the resonance frequency of the train, the riding comfort will be greatly reduced. Related research has been undertaken on the effects of track irregularity on the dynamic performance of railway trains, using the acceleration at the car body floor. Furthermore, some data acquisition systems have been proposed to monitor the safety in railways [39]. Nevertheless, limited studies on monorails have been reported.
In this work, a unilateral cosine wave model, as shown in Equation (1), is used to simulate the LLI. According to the input mode shown in Figure 5, various harmonic irregularities with different directions and phase differences were applied to the top plate of track beams, which are consistent to the running position of travelling wheels. To avoid the influence of the uneven state of the web on the response, it was assumed that the web is in an ideally smooth state during the analysis.
where Z is the LLI at a certain point, t is the total simulation time, A is the amplitude of the LLI, L is the wavelength, v is the running speed, N is the number of cycles of the continuous harmonic, and w is the angular frequency.
Figure 5.
Track geometry irregularities: (a) Longitudinal level (top); (b) horizontal level.
3. Results and Analysis
3.1. Distribution of Sensitive Wavelengths
To investigate the distribution of sensitive wavelengths associated with LLI under varying speed conditions, simulation calculations based on the aforementioned model were performed. This study focuses primarily on medium- and short-wave irregularities, with the wavelength of track irregularities varying from 0.1 to 30 m. Hence, we considered each meter (0.1, 1, 2, etc.) as a distinct working condition, resulting in a total of 31 conditions within this wavelength range. To examine the influence of vehicle speed on the sensitive wavelengths of the coupling system, three indicators, including the wheel–rail contact force (WRCF), the wheel load reduction rate (WLRR) of travelling wheels, and the vertical acceleration of the monorail train were utilized. In a practical MTTS project, potential differences between operation conditions include the changes of train speed and train load. To investigate the characteristics of sensitive wavelength in detail, both light (empty train) and heavy (with full passengers’ weight) monorails were simulated. In addition, the amplitudes of LLI remain constant at 3 mm to reflect a medium level condition; the simulation calculations were conducted at speeds of 10 km/h, 20 km/h, 30 km/h, 40 km/h, and 50 km/h.
3.1.1. Wavelengths for Light Trains
By utilizing the established joint model, dynamic responses were extracted separately for different speed conditions, as shown in Figure 6. It is observed that indicators related to wheel–rail interactions (WRIs), i.e., WRCF and WLRR, generally vary simultaneously with one other. From Figure 6a to Figure 6b, it is evident that, when the wavelength is less than 4 m, WRLs experience a rapid increase as the wavelength decreases. This trend indicates that shorter wavelengths result in significant wheel–rail dynamic interactions, leading to significant fluctuations in the WRI indicators. Moreover, higher vehicle speeds correlate with larger WRIs. In contrast, when the wavelength exceeds 4 m, WRIs tend to stabilize, with only slight increases observed within the range of 4 to 25 m. This suggests that, for the light weight condition, this kind of interaction is primarily influenced by the LLI associated with wavelengths shorter than 4 m.
Figure 6.
Effects of wavelengths on the dynamic performance. (a) WRCF: wheel–rail contact force; (b) WLRR: wheel load reduction rate; (c) vertical acceleration at the car body floor.
Analysis of the vertical acceleration of car bodies reveals two significant peaks as the wavelength increases, as illustrated in Figure 6c. The first peak, which occurs within the wavelength range of 0.1 to 4 m, may be attributed to the heightened WRIs that result from the increased vertical vibrations of the car body, as it is irrelevant to the train speed. The location of the second peak, whose wavelength shifts with increasing speed, is identified as that of the sensitive wavelength. In this context, wavelengths of 4, 9, 14, 19, and 23 m, corresponding with vehicle speeds of 10, 20, 30, 40, and 50 km/h, respectively, are identified. Moreover, in Figure 6a,b, WRIs also exhibit slight increases at these specific wavelengths. These increases can be attributed to the enhanced coupled vibrations of the vehicle body.
3.1.2. Wavelengths for Heavy Trains
The variations of WRI and vertical accelerations of a heavy train at different speeds are illustrated in Figure 7. Comparison between Figure 6 and Figure 7 yields similar findings. For example, it is observed that, when the wavelength is less than 5 m, WRIs of the heavy train increase rapidly as the wavelength decreases. In addition, as the vehicle speed increases, the variation trends of WRIs for heavy trains exhibit similar patterns compared with light trains. Furthermore, when the wavelength exceeds 5 m, WRIs of the heavy train tend to stabilize, with slight increases observed within the range of 5 to 28 m.
Figure 7.
Effects of wavelengths on the dynamic performance of a heavy monorail train. (a) Wheel–rail contact force; (b) wheel load reduction rate; (c) vertical acceleration at the car body floor.
Analysis of the vertical acceleration responses led to the determination of the sensitive wavelengths of heavy trains, as shown in Figure 7c. The first peak corresponds with the wavelength range of 0.1 to 5 m. The second peak’s wavelength increases with vehicle speed, with wavelengths of 5, 11, 16, 22, and 27 m corresponding with speeds of 10, 20, 30, 40, and 50 km/h, respectively. It should be noted that the curves in Figure 7c, especially those for 40 km/h and 50 km/h, illustrate subtle differences in terms of the long tail area. In fact, this is mainly due to the limited coordinate range of the x axis. The reason behind this issue is that, as the speed and train load increase to a certain level (in this case, 40 km/h), they induce more significant dynamic responses to the coupled system. Hence, although at the same speed, a heavier train load may induce stronger responses which cannot be reduced as quickly as in the cases of trains travelling at 10, 20, or 30 km/h. In other words, this issue partially reflects the impact of train load on dynamic responses.
3.1.3. Distribution Patterns of Sensitive Wavelengths
Previous results demonstrate that, at the same speed, different vehicle weights similarly affect the distribution of sensitive wavelengths. This section provides a qualitative analysis of how sensitive wavelengths vary with vehicle weight, using selected speed conditions as examples. The wheel–rail vertical force, wheel load reduction rate, and vertical acceleration of the vehicle for various weights at a speed of 30 km/h are illustrated in Figure 8. Analysis indicates that the wheel–rail vertical force generally increases with the increase in vehicle weight. Additionally, both the wheel load reduction rate and the peak vertical acceleration also rise as vehicle weight increases.
Figure 8.
Dynamic performance of the monorail train at 30 km/h. (a) Wheel–rail contact force; (b) wheel load reduction rate; (c) vertical acceleration at the car body floor; (d) Variation of sensitive wavelengths.
Figure 8d illustrates the relationship between sensitive wavelengths due to unevenness and train weight under different speed conditions. Analysis reveals that, at the same speed, sensitive wavelengths increase with the increase in vehicle weight. Furthermore, as speed rises, the variation in sensitive wavelengths with respect to vehicle weight becomes more pronounced. For a given vehicle weight, sensitive wavelengths also increase with increasing speed and tend to exhibit a linear growth pattern.
In summary, the wheel–rail vertical force and wheel load reduction rate of light vehicles are particularly sensitive to wavelengths shorter than 4 m, with response peak wavelengths of 4, 9, 14, 19, and 23 m, corresponding with speeds of 10, 20, 30, 40, and 50 km/h, respectively. For heavy vehicles, the wheel–rail vertical force and wheel load reduction rate are sensitive to wavelengths shorter than 5 m, with response peak wavelengths of 5, 11, 16, 22, and 27 m at the same speeds. These results are summarized in Table 1. Additionally, the most unfavorable wavelength increases with vehicle weight, and this effect becomes more pronounced at higher speeds. For a given vehicle weight, the most unfavorable wavelength increases linearly with increasing speed.
Table 1.
Sensitive wavelengths of LLI under different conditions.
3.2. Amplitude Control of LLI
In the engineering design of track beams, design standards about the track irregularity of monorail systems remain unclear, and the range of some key parameters is uncertain. This ambiguity primarily arises from a lack of comprehensive analysis. During the production of track beams for monorail systems, issues such as poor fabrication can lead to significant track irregularity. Additionally, improper maintenance during operation can exacerbate track irregularity due to, for example, corrosion of the steel beams.
Currently, the track beam of an MTTS is designed in accordance with the “Large-scale amusement device safety code” (GB 8408-2018) and the “Specifications of amusement rides fairy train category” (GB/T 18165-2008). Relevant guidelines include the design specification for urban rail transit bridges (GB/T 51234-2017) and monorail systems (GB 50458-2022). These specifications encompass a broad range of topics, including structural design and traffic organization, yet do not specifically address the amplitude of unevenness in track beam structures. As a critical source of excitation for vibrations in the monorail system, track unevenness directly affects the smooth operation of a tour bus. In track management, both the wavelength and amplitude of track unevenness serve as key indicators for assessing track quality. Therefore, further research in this area is essential.
3.2.1. Evaluation Metrics
The management of track irregularities is based on the principle of ensuring safe and smooth operation while also considering maintenance capabilities and the economic efficiency of normal operations. Existing standards for managing track irregularities have been formulated with a focus on the induced dynamic response of trains. In developing such standards, the primary objective is to ensure operation safety. In railway systems, key safety evaluation indicators typically include the derailment coefficient, which is not the case for monorails, and wheel load reduction rate. Additionally, the vertical acceleration of the vehicle body serves as another important evaluation metric, primarily used to assess the smoothness and comfort of the vehicle’s operation.
Based on related design specifications and maintenance rules in railway systems, such as GB5599-2019 (Specification for dynamic performance assessment and testing verification of rolling stock), the wheel load reduction rate and acceleration of car body are proposed as the indicators for controlling the amplitude of track irregularity in MTTS, summarized in Table 2.
Table 2.
Indicators for vehicle operating comfort and safety and their management values.
3.2.2. Simulation of Track Irregularity
In this section, the geometric track irregularities are described using the one-sided cosine wave model as outlined in the previous section. Taking a wavelength of 10 m as an example, the one-sided cosine wave model is illustrated in Figure 9. This model is utilized to study the amplitude limits in this chapter by adjusting the amplitude values. Subsequently, this model will be input into the joint dynamic analysis model, where it will be converted into track irregularities based on the embedded algorithms. This conversion will facilitate the dynamic analysis of the system.
Figure 9.
Simulation of LLI using cosine function.
To analyze the critical amplitude of wavelength sensitivity to irregularities, the typical wavelength was the one from which the dynamic index peaks was selected, based on the analysis results within the sensitive wavelength range. This study investigates the variation in vehicle dynamic response with respect to different amplitudes of LLI under various speed and load conditions. The typical sensitive wavelengths for different speeds and vehicle weights have been summarized in Table 1.
3.2.3. Light Train Condition
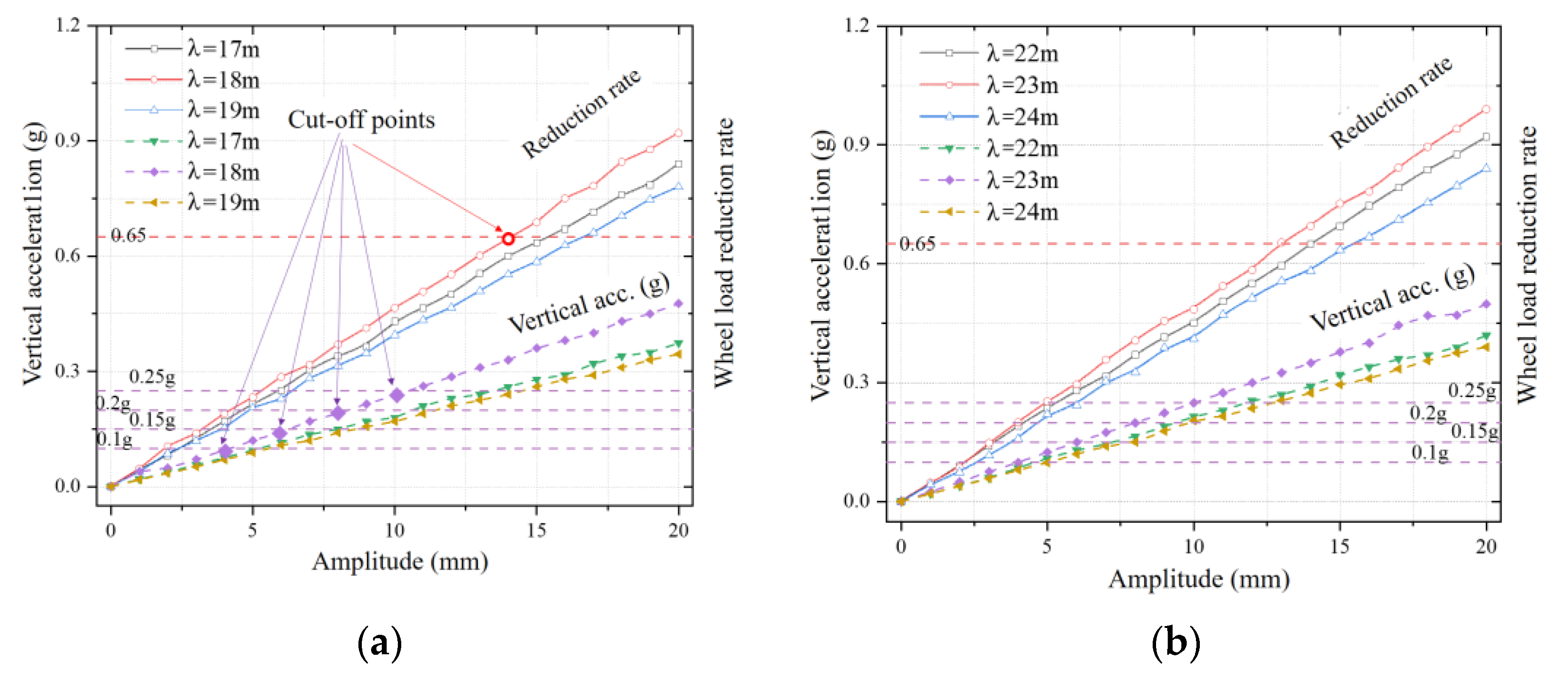
From the previous analysis, it can be concluded that the vertical acceleration of the vehicle body and the load reduction rate on the wheels are most sensitive to LLI. The impact of varying amplitudes of LLI on the vehicle body response at different speeds is illustrated in Figure 10. For simple demonstration, only the cases of 40 km/h and 50 km/h are shown. It can be observed that, under typical wavelength conditions, the dynamic indicators tend to increase linearly with the increase in the amplitudes of high and low irregularities. Taking the speed condition of 40 km/h as an example, the dynamic response corresponding with a wavelength of 18 m is greater than that of the other two wavelengths. Next, the amplitude limits of LLI are determined by the cut-off points in Figure 10 according to the limited responses in Table 2. Therefore, for the case of 40 km/h, taking the vertical acceleration as the indicator, the amplitude limits of levels I to IV are determined as 4, 6, 8, and 10 m, respectively. The amplitude limits of LLI for light trains under various speed conditions are summarized in Table 3.
Figure 10.
Effects of amplitude changes on the dynamics performance of light vehicles: (a) 40 km/h; (b) 50 km/h. Note: λ denotes the wavelength.
Table 3.
Sensitive wavelengths of LLI under different conditions.
3.2.4. Heavy Train Condition
Analogous to light trains, under typical wavelength conditions, the wheel load reduction rate and vertical acceleration tend to increase linearly with the increase in the amplitude of vertical and lateral irregularities. The impact of changes in the amplitude of LLI for heavy vehicles is illustrated in Figure 11. Because the higher the speed, the lower the amplitude limits, Figure 11 only presents responses under the conditions of 40 km/h and 50 km/h. Similarly, taking the speed condition of 50 km/h as an example, the dynamic response corresponding with a wavelength of 27 m is greater than that of the other two wavelengths. According to the analysis of Table 2 and Figure 11, the amplitude limits for level I to IV are determined as 3, 6, 8, and 10 m, respectively, in terms of vertical acceleration; from the perspective of wheel load reduction rate, the limit is 13 m. The amplitude limits of LLI for heavy vehicles under various speed conditions are presented in Table 4.
Figure 11.
Effects of amplitude changes on the dynamics performance of heavy trains: (a) 40 km/h; (b) 50 km/h.
Table 4.
Sensitive wavelengths of LLI under different conditions (for heavy trains).
Analysis of Table 3 and Table 4 reveals that the amplitude limits defined by the acceleration criterion are more stringent than those defined by the wheel load reduction rate. Therefore, it is suggested to utilize the acceleration criterion to set the limits on the amplitude of vertical and lateral irregularities for track beams.
4. Discussion
4.1. Parametric Study of the Developed Joint Model
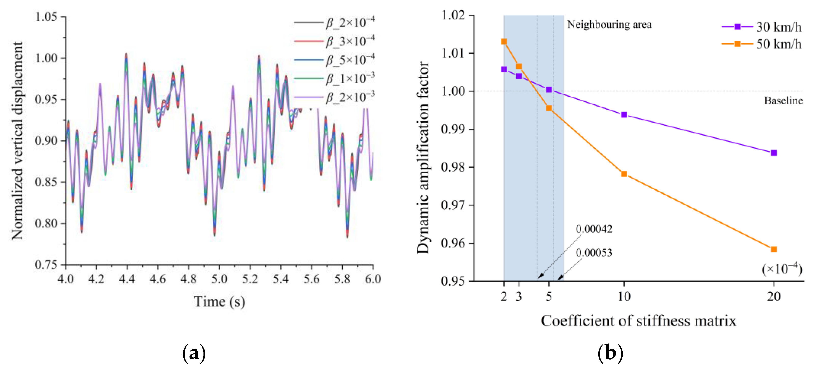
To illustrate a system with multiple degrees of freedom, the equation of motion under an externally applied time-dependent force is represented by Equation (2). In Section 2, a joint model utilizing FEM and MBD is developed. To examine the robustness of the model, a parametric study is presented. To achieve this, the damping of the track beam is chosen as the parameter. A common method of modelling damping is so-called Rayleigh damping, which approximates the damping coefficient as a linear combination of mass and stiffness, as in the following Equation (3).
where the force vector is a function of time; , , and denote the mass, damping, and stiffness matrix; and and are two coefficients to determine the Rayleigh damping.
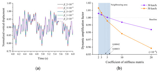
In this section, coefficient of the stiffness matrix, , is selected as the key parameter, ranging from 2 × 10−4 to 2 × 10−3. Then, the vertical displacement of track beam under trains passing through at speeds of 30 km/h and 50 km/h are simulated. The results are shown in Figure 12. For comparison, the dynamic response of MTTS with an overall structure damping of 0.02 is obtained and serves as the normalization baseline. As shown, as the damping coefficient increases, the induced responses generally reduce. The higher the train speed, or the more pronounced the train-induced dynamic effects, the greater the impact of the damping coefficient, as illustrated in Figure 12b. Nevertheless, within the simulated neighboring area (colored) of selected damping coefficient (0.02), the maximum responses do not change significantly, which indicates the robustness of the developed model.
Figure 12.
Simulation results of the dynamic performance under various values: (a) Time history curves of normalized vertical displacement (train-induced part); (b) amplification factor of the maximum displacement.
4.2. Sensitive Wavelength and Amplitude Control of MTTS
Results of sensitive wavelengths obtained in the previous section are of great significance to the control or management of the sensitive wavelength of a monorail track beam. Studies on railways generally show that long-wavelength track irregularities significantly influence the ride comfort and running stability of trains. However, according to the variation of vertical acceleration responses, it is observed that relatively shorter wavelengths can introduce significant dynamic responses in MTTS, which highlights the priority of managing short wavelengths in monorails. In addition, this finding corresponds with research regarding suspended monorails. For instance, the results in [40] indicate that the sensitive wavelengths that amplify the vertical and lateral accelerations of suspended monorail trains mainly fall within the range of 1.3 to 2.3 m. Nevertheless, there are also distinct differences in structural configurations between MTTS (straddle-type) and suspended monorails, hence, similar results may not arise from similar reasons.
Moreover, results from simulated LLI with various amplitudes demonstrate that, for monorails, the tolerance level for track irregularities is close to that in railways, where simulations [41] and rules of thumb suggest a tolerance of 5 to 6 mm for high-level riding comfort. Nevertheless, straddle-type monorails can be safely operated even on track beams with relatively high-level irregularities thanks to their unique structural configuration and running mode.
4.3. Limitations
In this work, the sensitive wavelength of LLI and its effects on the dynamic responses of MTTS were evaluated. Based on the calculated results under various conditions of amplitude and frequency of LLI, limit values of irregularity amplitude were obtained. During the determination of sensitive wavelengths, the selection of wavelength intervals considers both the simulation efficiency and convenience in practical management. As distinct peaks are observed in the contribution curves, a more detailed division on wavelengths was not conducted. It should also be noted that, during the analysis, horizontal level irregularity and the irregularities on the web plates are not included. This is mainly because of the limited amount of field-measured data regarding these types of irregularities. In addition, MTTS trains adopt secondary suspensions with excellent dynamic performance of vibration control. In this context, the position changes caused by the web plates, just like the gauge level irregularity in railways, will not be directly reflected on the actual position of the bogie. Moreover, an accurate simulation of this effect involves an enhanced modelling on the dynamic characteristics of the suspension systems.
Nevertheless, as the monorail track beam has relatively weak stiffness, this may be a potential effect that can affect the results of irregularity-induced responses. In addition, the analysis in this work is conducted based on numerical simulation. If a comprehensive database of measured track irregularities is available, further analysis can be conducted based on the excitations of actual track irregularity signal with distinct frequency features.
5. Conclusions
To address the limited knowledge on the sensitive wavelength of track irregularities in MTTS and general monorail systems, this work presents a comprehensive simulation analysis based on a validated joint model. The main conclusions are as follows:
- By combining MBD and FEM, a joint simulation model for monorail systems can be efficiently established—simply by extracting the results of the modal analysis from FEM and transforming them into flexible objects in the MBD. Moreover, the developed model was verified by the field test results, thereby assuring the effectiveness of the subsequent analysis.
- To evaluate the sensitive wavelength of track irregularity, cosine wave functions with various amplitudes and frequencies were utilized. By integrating the simulated signal, the vertical acceleration and wheel load reduction rate of MTTS were obtained and identified as the indicators of sensitive wavelengths.
- The results of the simulation demonstrate that, within the tested speed range, the sensitive wavelength arises gently with the increase in train load. Under the same train load, the sensitive wavelength increases linearly with increasing speed.
- Analysis of the limit of the irregularity amplitude was performed: both the wheel load reduction rate and the vertical acceleration increase linearly with the rise in the amplitude of track irregularities. Limits for the amplitude of LLI in MTTS are given.
- Comparison between various transportation systems indicates that more attention should be paid to track irregularities with short wavelengths. To maintain a high level of ride comfort, the amplitude of track irregularity should be less than approximately 4 to 5 mm under most operating conditions.
To sum up, this work presents meaningful results of sensitive wavelengths in MTTS. Obtained results can form a good reference for future studies and enlarge the research borders associated with the dynamic responses of monorail systems.
Supplementary Materials
The following supporting information can be downloaded at: https://www.mdpi.com/article/10.3390/buildings14124041/s1, Table S1: Major parameters for the MBD model of the train in the test line.
Author Contributions
Methodology, P.W.; software and formal analysis, H.Z. and Y.J.; data curation, C.C., S.W., B.G., Z.L. and J.Z.; writing—original draft preparation, Y.J. and P.W.; writing—review and editing, H.Z., C.C., S.W., B.G., Z.L. and J.Z.; supervision and project administration, H.Z. All authors have read and agreed to the published version of the manuscript.
Funding
This research received no external funding.
Data Availability Statement
The data presented in this study may be available on reasonable request.
Conflicts of Interest
Authors Chen Chen, Zhiqiang Liu, and Jie Zhang were employed by the 3rd Construction Co., Ltd. of China Construction 5th Engineering Bureau. The remaining authors declare that the research was conducted in the absence of any commercial or financial relationships that could be construed as potential conflicts of interest.
References
- Guo, F.; Chen, K.; Gu, F.; Wang, H.; Wen, T. Reviews on current situation and development of straddle-type monorail tour transit system in China. J. Cent. South Univ. Sci. Technol 2021, 52, 4540–4551. [Google Scholar]
- Guo, F.; Wang, P. Measurement and analysis of the longitudinal level irregularity of the track beam in monorail tour-transit systems. Sci. Rep. 2022, 12, 19219. [Google Scholar] [CrossRef] [PubMed]
- Wiberg, J.; Karoumi, R. Monitoring dynamic behaviour of a long-span railway bridge. Struct. Infrastruct. Eng. 2009, 5, 419–433. [Google Scholar] [CrossRef]
- Galvín, P.; Romero, A.; Moliner, E.; De Roeck, G.; Martínez-Rodrigo, M.D. On the dynamic characterisation of railway bridges through experimental testing. Eng. Struct. 2021, 226, 111261. [Google Scholar] [CrossRef]
- Li, H.; Wekezer, J.; Kwasniewski, L. Dynamic response of a highway bridge subjected to moving vehicles. J. Bridge Eng. 2008, 13, 439–448. [Google Scholar] [CrossRef]
- Erdogan, Y.S.; Catbas, N.F. Seismic response of a highway bridge in case of vehicle-bridge dynamic interaction. Earthq. Struct. 2020, 18, 1–14. [Google Scholar]
- Naseri, R.; Mohammadzadeh, S.; Rizos, D.C. Rail surface spot irregularity effects in vehicle-track interaction simulations of train-track-bridge interaction. J. Vib. Control 2024, 10775463241232024. [Google Scholar] [CrossRef]
- Melo, L.T.; Malveiro, J.; Ribeiro, D.; Calçada, R.; Bittencourt, T. Dynamic analysis of the train-bridge system considering the non-linear behaviour of the track-deck interface. Eng. Struct. 2020, 220, 110980. [Google Scholar]
- Matsuoka, K.; Tanaka, H.; Kawasaki, K.; Somaschini, C.; Collina, A. Drive-by methodology to identify resonant bridges using track irregularity measured by high-speed trains. Mech. Syst. Signal Process. 2021, 158, 107667. [Google Scholar] [CrossRef]
- Muñoz, S.; Ros, J.; Urda, P.; Escalona, J.L. Estimation of lateral track irregularity using a Kalman filter. Experimental validation. J. Sound Vib. 2021, 504, 116122. [Google Scholar] [CrossRef]
- Bosso, N.; Bracciali, A.; Megna, G.; Zampieri, N. Effects of geometric track irregularities on vehicle dynamic behaviour when running through a turnout. Veh. Syst. Dyn. 2023, 61, 782–798. [Google Scholar] [CrossRef]
- Wang, K.; Liu, P.; Zhai, W.; Huang, C.; Chen, Z.; Gao, J. Wheel/rail dynamic interaction due to excitation of rail corrugation in high-speed railway. Sci. China Technol. Sci. 2015, 58, 226–235. [Google Scholar] [CrossRef]
- Karis, T.; Berg, M.; Stichel, S.; Li, M.; Thomas, D.; Dirks, B. Correlation of track irregularities and vehicle responses based on measured data. Veh. Syst. Dyn. 2018, 56, 967–981. [Google Scholar] [CrossRef]
- Gao, J.; Zhai, W.; Wang, K. Study on Sensitive Wavelengths of Track Irregularities in High-speed Operation. J. China Railw. Soc. 2012, 34, 83–88. [Google Scholar] [CrossRef]
- Croft, B.; Jones, C.; Thompson, D. Modelling the effect of rail dampers on wheel–rail interaction forces and rail roughness growth rates. J. Sound Vib. 2009, 323, 17–32. [Google Scholar] [CrossRef]
- Nielsen, J.C.; Pieringer, A.; Thompson, D.J.; Torstensson, P.T. Wheel–rail impact loads, noise and vibration: A review of excitation mechanisms, prediction methods and mitigation measures. In Noise and Vibration Mitigation for Rail Transportation Systems: Proceedings of the 13th International Workshop on Railway Noise, Ghent, Belgium, 16–20 September 2019; Springer International Publishing: Berlin/Heidelberg, Germany, 2021; pp. 3–40. [Google Scholar]
- Hung, C.; Hsu, W. Influence of long-wavelength track irregularities on the motion of a high-speed train. Veh. Syst. Dyn. 2018, 56, 95–112. [Google Scholar] [CrossRef]
- Jiang, L.; Li, Y.; Zhao, Y.; Cen, M. The Characteristics of Long-Wave Irregularities in High-Speed Railway Vertical Curves and Method for Mitigation. Sensors 2024, 24, 4403. [Google Scholar] [CrossRef]
- Li, M.; Berggren, E.; Berg, M.; Persson, I. Assessing track geometry quality based on wavelength spectra and track–vehicle dynamic interaction. Veh. Syst. Dyn. 2008, 46, 261–276. [Google Scholar] [CrossRef]
- Giannakos, K. Modeling the influence of short wavelength defects in a railway track on the dynamic behavior of the Non-Suspended Masses. Mech. Syst. Signal Process. 2016, 68, 68–83. [Google Scholar] [CrossRef]
- Xin, T.; Wang, P.; Ding, Y. Effect of Long-Wavelength Track Irregularities on Vehicle Dynamic Responses. Shock Vib. 2019, 2019, 4178065. [Google Scholar] [CrossRef]
- Lu, T.; Chen, J.; Sun, X.; Wei, Z.; Yang, F.; Chen, R.; Wang, P. The stochastic characteristics of wideband-wavelength track irregularity on Chinese HSRs and its application to dynamic wheel–rail interaction. Veh. Syst. Dyn. 2024, 1–24. [Google Scholar] [CrossRef]
- Ding, W.; Wei, K.; Zhao, Z.; Cheng, F.; Wang, P. A reliability analysis method of dynamic irregularity for track–viaduct system with low stiffness. Mech. Syst. Signal Process. 2022, 167, 108518. [Google Scholar] [CrossRef]
- Lee, C.H.; Kawatani, M.; Kim, C.W.; Nishimura, N.; Kobayashi, Y. Dynamic response of a monorail steel bridge under a moving train. J. Sound Vib. 2006, 294, 562–579. [Google Scholar] [CrossRef]
- Wang, P.; Guo, F.; Zhang, H.; Jin, J.; Liao, Q.; Yan, Y. Acquiring the High-Precision Spectrum of Track Irregularity by Integrating Inclination in Chord Methods: Mathematics, Simulation, and a Case Study. Mathematics (2227–7390) 2024, 12, 2197. [Google Scholar] [CrossRef]
- Naeimi, M.; Tatari, M.; Esmaeilzadeh, A.; Mehrali, M. Dynamic interaction of the monorail–bridge system using a combined finite element multibody-based model. Proc. Inst. Mech. Eng. Part K J. Multi-Body Dyn. 2015, 229, 132–151. [Google Scholar] [CrossRef]
- Wang, H.; Zhu, E. Dynamic response analysis of monorail steel-concrete composite beam-train interaction system considering slip effect. Eng. Struct. 2018, 160, 257–269. [Google Scholar] [CrossRef]
- Zhou, J.; Du, Z.; Yang, Z.; Xu, Z. Dynamics study of straddle-type monorail vehicle with single-axle bogies-based full-scale rigid-flexible coupling dynamic model. IEEE Access 2019, 7, 110249–110257. [Google Scholar] [CrossRef]
- Zhang, H.; Wang, P.; Li, Q.; Jin, J.; Wei, S.; Guo, F.; Feng, C.; Deng, Q. An Experimental and Numerical Study on the Lateral Stiffness Limits of Straddle-Type Monorail Tour-Transit Systems. Buildings 2024, 14, 3111. [Google Scholar] [CrossRef]
- Zou, Y.; Liu, Z.; Shi, K.; He, X.; Zhou, S.; Ma, W. Analysis of effects of aerodynamic interference on dynamic response of suspended monorail wind–vehicle–bridge system using joint simulation approach. In Structures; Elsevier: Amsterdam, The Netherlands, 2022; pp. 179–198. [Google Scholar]
- Li, Y.; Xu, X.; Zhou, Y.; Cai, C.; Qin, J. An interactive method for the analysis of the simulation of vehicle–bridge coupling vibration using ANSYS and SIMPACK. Proc. Inst. Mech. Eng. Part F J. Rail Rapid Transit 2018, 232, 663–679. [Google Scholar] [CrossRef]
- Huang, G.; Ren, N.; Zheng, H. Structural Dynamics of Bridges Under the Coupling Effect of Windmills and Bridges. Eur. J. Comput. Mech. 2022, 31, 601–620. [Google Scholar] [CrossRef]
- Chen, J.; Li, R.; Xu, J.; Li, P.; Zhao, W.; Peijie, Z.; Jin, K. Study on the aerodynamic performances and the operational safety of the vehicle-bridge system under the crosswind. Mech. Based Des. Struct. Mach. 2024, 52, 7962–7984. [Google Scholar] [CrossRef]
- Wang, S.; Wan, X.; Guo, M.; Qiao, H.; Zhang, N.; Ye, Q. Nonlinear dynamic analysis of the wind–train–bridge system of a long-span railway suspension truss bridge. Buildings 2023, 13, 277. [Google Scholar] [CrossRef]
- Zhang, C. The active rotary inertia driver system for flutter vibration control of bridges and various promising applications. Sci. China Technol. Sci. 2023, 66, 390–405. [Google Scholar] [CrossRef]
- Du, Z.; Xin, L.; Yang, Z.; Xu, Z. Improving ride comfort of straddle-type monorail vehicle with single-axle bogie by active suspension. Noise Vib. Worldw. 2021, 52, 334–344. [Google Scholar] [CrossRef]
- Dassault_Systemes ABAQUS, ABAQUS User’s Manual. 2016. Available online: http://62.108.178.35:2080/v2016/index.html (accessed on 16 December 2024).
- Dassault_Systemes SIMPACK. Version 2021x. 2021. Available online: https://blog.3ds.com/brands/simulia/simpack-r2021x-multibody-system-simulation-updates/ (accessed on 16 December 2024).
- Cano-Moreno, J.; de Pedro, J.; Villagrá, M.R.; González, R.G. Design and development of a data acquisition system to monitor comfort and safety in railways. Insight-Non-Destr. Test. Cond. Monit. 2021, 63, 47–54. [Google Scholar] [CrossRef]
- He, Q.; Cai, C.; Zhu, S.; Zhang, J.; Wang, K.; Zhai, W. Field measurement of the dynamic responses of a suspended monorail train–bridge system. Proc. Inst. Mech. Eng. Part F J. Rail Rapid Transit 2020, 234, 1093–1108. [Google Scholar] [CrossRef]
- Xu, L.; Zhai, W. A novel model for determining the amplitude-wavelength limits of track irregularities accompanied by a reliability assessment in railway vehicle-track dynamics. Mech. Syst. Signal Process. 2017, 86, 260–277. [Google Scholar] [CrossRef]
Disclaimer/Publisher’s Note: The statements, opinions and data contained in all publications are solely those of the individual author(s) and contributor(s) and not of MDPI and/or the editor(s). MDPI and/or the editor(s) disclaim responsibility for any injury to people or property resulting from any ideas, methods, instructions or products referred to in the content. |
© 2024 by the authors. Licensee MDPI, Basel, Switzerland. This article is an open access article distributed under the terms and conditions of the Creative Commons Attribution (CC BY) license (https://creativecommons.org/licenses/by/4.0/).











