Next Article in Journal
Study on the Coupling and Coordination Relationship Between Urban Living Environment and Economic Development
Previous Article in Journal
Layout Optimization of Residential Buildings to Improve the Outdoor Microclimate of Neighborhoods Along an Urban Bay: A Case Study of Shantou’s Inner Bay, China
 
 
Font Type:
Arial Georgia Verdana
Font Size:
Aa Aa Aa
Line Spacing:
Column Width:
Background:
Article

Practical Repair Cost Assessment of Steel Office Buildings with Diverse Beam-to-Column Connection Types in Japan

1
Graduate School of Environmental Studies, Nagoya University, Nagoya 4648601, Japan
2
Disaster Mitigation Research Center, Nagoya University, Nagoya 4648601, Japan
*
Author to whom correspondence should be addressed.
Buildings 2024, 14(12), 3913; https://doi.org/10.3390/buildings14123913
Submission received: 15 November 2024 / Revised: 29 November 2024 / Accepted: 4 December 2024 / Published: 6 December 2024
(This article belongs to the Section Building Structures)

Abstract

This study investigates the seismic performance of beam-to-column connections in Japanese steel office buildings and evaluates their impact on repair costs as part of practical seismic loss assessment. Repair cost analysis is conducted following FEMA P-58 guidelines, utilizing a probabilistic seismic performance approach. Additionally, this study incorporates the damage and loss of non-structural components, accounting for uncertainties arising from various factors. By applying story loss functions and the Capacity Spectrum Method within the assessment framework of this study, the applicability of these methods in Japanese design practices is validated. A numerical model of a typical steel building is established based on prior experimental data, and a series of numerical analyses are conducted to quantitatively assess variations in building response distribution and fragility resulting from different beam-to-column connection types. Analysis results indicate that, within the range up to maximum strength, differences in connection performance contribute more to variations in fragility than to building response. Component fragility is particularly influenced by connection type and dimensions that affect inter-story drift ratios. This approach highlights the potential cost differences driven by structural specifications and emphasizes the importance of connection-specific fragility in accurately estimating seismic repair costs in practical design. Furthermore, improvements in structural performance have limited effects in reducing non-structural damage, underscoring the necessity of directly enhancing non-structural component performance.

1. Introduction

Modern steel structures are designed to ensure sufficient seismic safety even against Maximum Considered Earthquake (MCE) events. This improvement is largely due to extensive research following the 1994 Northridge Earthquake in the United States [1] and the 1995 Kobe Earthquake in Japan [2], which led to enhanced frame performance, including improvements in beam-to-column moment connections. However, the seismic performance of non-structural components has not been sufficiently improved, and recent major earthquakes [3,4] have caused damage not only to structural components but also to various non-structural components, emphasizing the need for a comprehensive assessment of seismic performance.
For steel office buildings, the functionality and asset value of non-structural components, such as interior and exterior walls and equipment, are critically important, often surpassing the importance of structural components in damage assessments. To address these societal needs, FEMA P-58 [5] developed a probabilistic performance evaluation framework based on Performance-Based Earthquake Engineering (PBEE), enabling a comprehensive assessment of seismic performance that is also increasingly being adopted in Japan [6]. This approach facilitates the evaluation of damage and losses in both structural and non-structural components, accounting for uncertainties from various factors. Primary loss indicators in this approach include repair costs, downtime, casualty, and CO2 emissions, among others. By assessing both structural and non-structural components, this approach represents the next generation of seismic performance evaluation, providing a clear and accessible format to communicate a building’s safety and functionality during earthquakes to society.
To advance the practical application of probabilistic performance evaluation, Ramirez et al. [7] and Papadopoulos et al. [8] developed repair cost estimates per story based on the composition of structural and non-structural components of typical buildings, proposing these estimates as story loss functions. Recently, these story loss function-based approaches have been adopted as a practical method for evaluating building seismic performance, particularly in scenarios with limited data availability. Macedo et al. [9] applied story loss functions to assess seismic losses in a steel moment-frame structure designed according to Eurocode, demonstrating that the damage and losses remained within acceptable design limits. Similarly, Esteghamati et al. [10] and Zhai et al. [11] used story loss functions to evaluate the effectiveness of their respective earthquake resistance methods. However, story loss functions are typically derived from assumed component configurations of standard buildings and rely on global building responses such as Peak Floor Acceleration (PFA) and Maximum Inter-story Drift Ratio (IDR). As a result, these functions are limited in their ability to evaluate losses for buildings with unique performance characteristics or to assess damage and repair costs for specific components.
In contrast, building loss assessments based on the fragility of individual components have been explored in several studies. Hwang and Lignos [12,13] evaluated the repair costs for steel-frame buildings using individual component fragilities, demonstrating the influence of the column-to-beam strength ratio and the probabilities of seismic events on loss assessments. Wu et al. [14] and Richards et al. [15] evaluated the collapse risk and associated losses of steel moment frames designed according to seismic codes, incorporating the fragility of individual components. Their analyses included collapse probabilities, total losses, and losses related to non-structural components for buildings with varying design conditions. Bakalis [16] examined the impact of modeling parameter uncertainty in beam-to-column connections on structural collapse probability through comparisons of full-scale tests and multiple case studies. In these studies, losses based on damage mechanisms are evaluated through detailed configurations of the constituent components.
Regarding the relationship between individual structural components and overall building performance, increasing the column-to-beam strength ratio to promote plastic deformation at the beam ends generally results in a ductile frame structure [17]. When an RC floor slab is included in a steel beam, the composite action increases the second moment of area, improving stiffness and strength. However, under positive bending, strain concentration occurs at the lower flange of the beam due to the upward shift of the neutral axis, potentially leading to an earlier onset of the limit state [18,19]. Changes in the strength and stiffness balance between components can trigger various deformation mechanisms, accelerating deformation not only in beams but also in columns and panel zones [20]. For the precise estimation of strength and stiffness at beam-to-column connections, Lignos et al. [21] analyzed experimental data on member strength and deformation capacities based on member dimensions and proposed estimation equations for connection performance. Okazaki et al. [22] and Nonoyama et al. [23] conducted experiments on beam-to-column connections commonly used in Japan, examining the effects of different welding methods and the presence or absence of floor slabs. Jin et al. [24] further performed a numerical analysis for six beam-to-column connection types based on these experimental results [22,23], providing quantitative evaluations of deformation performance. Hossein [25] proposed distribution functions for appropriately considering uncertainty in strength assessments of cross-type steel tube column–beam connections based on finite element analyses. It is technically possible to replicate the deformation mechanisms of steel frame structures at a certain level using numerical models.
Numerical analysis methods for replicating the deformation mechanisms of steel frame structures and loss assessment techniques based on component damage mechanisms are continuously improving. However, loss functions developed to provide a more practical evaluation of repair costs compared to existing methods fail to replicate changes in deformation mechanisms caused by the performance of individual components. This highlights a knowledge gap regarding the gap between actual performance and the performance that can be represented in story loss functions. This study aims to quantitatively assess the impact of beam-to-column connection types and their deformation mechanisms on loss functions in Japanese steel buildings. By clarifying the impact of beam-to-column connection performance on story loss functions, the applicability of the story loss functions to different deformation mechanisms is expanded. Loss functions appropriately evaluate losses without clearly identifying the types, quantities, or damage mechanisms of individual components. Therefore, it enables the improvement of balanced seismic resilience, considering both structural and non-structural components from a macro perspective that includes the entire building.
First, a numerical analysis model of a steel frame is created based on experimental data of beam-to-column connections used in Japan. Then, based on the member deformation corresponding to the member model and the relationship between member deformation and IDR from numerical analysis, the beam fragility representing each story is created, and trends for each model and story will be analyzed. Subsequently, story loss functions for the structure are created from the beam fragilities and other structural component fragilities, and the impact of deformation mechanisms is quantitatively assessed. Finally, by calculating the building response using the Incremental Capacity Spectrum Method (CSM) [26] and evaluating the building repair costs with the loss functions, the effectiveness of the loss functions in practical procedures can be confirmed.

2. Repair Cost Assessment Procedure

2.1. Comprehensive Seismic Loss Assessment Using a Probabilistic Approach

The probabilistic seismic performance assessment framework outlined in FEMA P-58 was developed at PEER in the early 2000s [27]. This PEER procedure segments the process from earthquake occurrence to damage initiation into four stages and evaluates the annual exceedance frequency of loss by integrating the conditional occurrence probabilities for each step sequentially: Intensity Measure (IM), Engineering Demand Parameter (EDP), Damage State (DS), and Decision Variables (DV), as described in Equation (1). In FEMA P-58, Equation (1) is statistically derived using Monte Carlo Simulation (MCS). This study follows FEMA P-58 procedures to conduct loss evaluation using MCS.
For repair cost assessment, the story loss function defined in Section 2.3 (Ref. [8]) is employed, enabling direct evaluation of repair costs based on the EDP through a function that substitutes fragility relationships for DS and DV. Additionally, to further assess repair costs for each earthquake intensity level, the probability function of earthquake intensity is excluded from the integral on the right side of the equation. As a result, Equation (1) in FEMA P-58 is converted to Equation (2) for loss evaluation in this study.
λ ( DV ) = G ( DV | DS ) dG ( DS | EDP ) dG ( EDP | IM ) d λ ( IM )
λ ( DV | IM ) = G ( DV | EDP ) dG ( EDP | IM )
Here, G(X|Y) represents the probability of outcome X given the condition Y holds, and λ(X) denotes the annual exceedance frequency of X.

2.2. Capacity Spectrum Method

In this study, the Capacity Spectrum Method (CSM) is used to determine the building responses. The CSM calculates the maximum seismic response of an equivalent single-degree-of-freedom (SDOF) system without the need for nonlinear time history analysis (THA). As a result, CSM provides a practical and efficient approach for estimating seismic response, significantly reducing computational time compared to THA. In Japan, the design method using CSM, known as “Calculation of Response and Limit Strength”, is established. This method calculates the response based on the static performance of the building (capacity curve and damping) and the characteristics of the seismic ground motion (demand curve), thereby visualizing the relationship between frame damping mechanisms and response values and enabling engineering interpretation of the response variations related to seismic motion characteristics.
The performance curve for the equivalent SDOF system is derived from the results of static pushover analysis, as calculated using Equations (3) and (4):
S a = i = 1 N P i δ i i = 1 N m i δ i
S d = i = 1 N m i δ i 2 i = 1 N m i δ i
where Sa and Sd represent the lateral shear force and the lateral displacement of the equivalent SDOF system, Pi is the lateral force acting on the i-th story, δi is the lateral displacement of the i-th story, mi is the mass of the i-th story, and N is the number of stories.
The damping factor heq is derived from an equation that evaluates the hysteretic damping constant of the entire frame, calculated based on the component accumulation method [26] using Equations (5) and (6). In Japanese design, a perfectly elastoplastic model based on a peak-oriented hysteresis rule is commonly used as the steady-state loop model to calculate the damping curve. However, for steel materials that experience an increase in strength after yielding and maintain stiffness even after unloading, the perfectly elastoplastic model may underestimate the damping. Therefore, in this study, a normal bilinear model with constant secondary stiffness after yielding is adopted for the steady-state loop model of each structural member (including beams, columns, panel zones, and BRBs) to provide a more accurate evaluation of the damping curve, as calculated by Equation (7).
h eq = 0.8 h eq + h 0
h eq = 1 4 π j = 1 n y W j i = 1 N P i δ i / 2 = j = 1 n y h eqj W j i = 1 N P i δ i / 2
h eqj = 2 π 1 p μ 1 μ + p μ μ 1
Here, heq′ represent the equivalent viscous damping factor of the equivalent SDOF system for the entire structure, h0 is the internal damping factor of the equivalent SDOF system, ΔWj and Wj are the hysteretic energy absorption and potential energy at member j, respectively; heqj and μj are the hysteretic damping constant and ductility factor at member j; ny denotes the number of member-end hinges formed at the given step.
Additionally, to calculate the response of each story from the maximum response of the equivalent SDOF system, the PFA response distribution PFA(i) is determined based on the study by Ishihara et al. [28], and the maximum IDR distribution IDR(i) is derived from Mori et al. [29], using Equations (8) and (9), respectively.
PFA ( i ) = ( β 1 U 1 S a , 1 I ) 2 + k = 2 3 ( β k U k S a , k E ) 2 , ( α i > 0.4 S a , 1 I )
IDR ( i ) = ( β 1 U 1 I S d , 1 I ) 2 + k = 2 3 ( β k U k S d , k E ) 2
Here, Sa,k and Sd,k represent the maximum responses of the k-th mode equivalent SDOF system, and βkUk denotes the k-th mode shape. The superscript I indicates an elastoplastic response, using the static pushover analysis results from Equations (3) and (4). The superscript E indicates an elastic response derived from eigenvalue analysis results.

2.3. Story Loss Function

Fragility for damage and loss is selected based on the assumed conditions of the building’s components, requiring prior acquisition of detailed component information. However, it is rare to have a component list and fragility database established for each component during the design phase of case studies. In this context, Papadopoulos et al. [8] developed a standardized set of structural components for typical buildings and proposed a story loss function to calculate the relationship between repair cost and EDP in advance, which can then be applied in repair cost assessments. This approach allows for rough repair cost estimates even when detailed component information is unavailable. The story loss function Cr (EDP) classifies the structural type of the target building and its components, defining the relationship between the repair cost per 100 square meters of floor area and building response for each group, as approximated in Equation (10).
C r ( EDP ) = C max · ε · EDP α β α + EDP α +   ( 1 ε )   · EDP γ δ γ + EDP γ
Here, Cmax represents the maximum replacement cost of the components, while α, β, γ, δ, ε are shape parameters calculated according to the component group. Since the repair costs are expressed as relative ratios to the replacement cost of the components, this approach is applicable across different countries, eras, or overall building prices and scales as long as the quantities and prices of the building’s various components are relatively close.

3. Prototype Steel Office Building and Numerical Analysis

This study focuses on a typical steel building that meets the current design standards in Japan (Calculation of the Lateral Load Carrying Capacity) [30,31,32]. The prototype is assumed to be a typical 10-story steel office building, designed with a universal layout that includes a core area in the center of the floor. The standard floor plan and the frame diagram are shown in Figure 1. The prototype uses box-type columns and H-steel beams, which are commonly used in Japan, rather than the H-type columns and H-beams typical in Europe and the United States. Additionally, the column–beam connections are assumed to follow the design standards commonly used in Japan. The prototype is a two-directional moment-resisting frame (MRF) system but with buckling-restrained braces (BRBs) arranged in the longitudinal direction at the internal frames (Elevation-B) from the first to the ninth floors. The longitudinal direction frame has five spans, and the transverse direction frame has two spans, resulting in an aspect ratio of 1.95:1. The plan dimensions were 35 m by 18 m, and the total height is 38.4 m, with a 4.2 m first story and subsequent stories each at 3.8 m. The prototype uses large hollow structural section (HSS) columns and H-section beams with thinner webs. Beam cross-sections range from H-500 × 200 × 10 × 16 to H-606 × 201 × 12 × 20 mm, while column cross-sections vary from □-400 × 400 × 16 mm to 500 × 500 × 25 mm. The foundation beams, designed to remain within elastic limits in response to the seismic behavior of the superstructure, are H-792 × 300 × 14 × 22 sections. Table 1 and Table 2 list the cross-sections and steel grades of the columns and beams. The subsequent analysis focuses solely on the longitudinal direction of the prototype building.
This study used cyclic loading test data on five beam-to-column connections conducted by Okazaki et al. [22] and Nonoyama et al. [23]. Past experimental and numerical studies [22,23,24] investigated the deformation performance of five connection specimens with varying shapes of weld access holes, welding types, and the presence or absence of RC floor slabs. This study constructs four analytical models, A, B, C, and D, based on specimens that exclude older field-welded connections from before the 1970s. Table 3 presents the specifications of the specimens [24] used in this study. By using connection models constructed from standardized experimental conditions, the differences in connection performance within the frame model are directly compared. Additionally, by analyzing the deformation mechanisms arising from differences in beam-to-column connection performance, it is possible to predict loss trends, even for beam-to-column connections not considered in this study, based on their deformation mechanisms.
A two-dimensional frame model, interconnected by horizontal rigid links, was developed in the OpenSees platform [33] to represent the longitudinal frames of the prototype, as shown in Figure 2a. As shown in Figure 2b, beams and columns were modeled using elastic beam-column elements with nonlinear rotational springs at each end, following a concentrated plasticity approach. Panel zones were represented by pin-connected rigid elements arranged in a quadrilateral configuration, with a rotational spring modeled as a zero-length element at one of the corner joints. BRBs were modeled as individual truss elements with equivalent stiffness connecting two work-point nodes [34,35].
The material models used for the elastoplastic rotational springs were determined following the same procedures as those used for the numerical model of a full-scale 10-story steel frame tested on the E-Defense shaking table in Ref. [34]. In this experiment, a high-accuracy frame model is created based on beam-end connection component tests to improve the numerical analysis accuracy of the building’s overall response. The prototype building and the experimental specimen have similar configurations, and by assuming similar hysteretic and damping characteristics, a model is constructed to replicate the key aspects of actual behavior. Specifically, the Modified IMK model proposed by Lignos and Krawinkler [21,36] was adopted for the end springs of beams and columns. As shown in Figure 2c, the Modified IMK model effectively reproduces the degradation of strength and stiffness from cyclic loading. This effect is further discussed in Section 4.2. through a comparison of nonlinear THA and the CSM. The initial stiffness K0 and yield strength My were derived as theoretical values based on member dimensions and material properties and were calibrated with reference to Ref. [24]. The rotational parameters θp and θpc were determined using regression equations based on numerous member tests as described in Ref. [21] and calibrated following Ref. [24]. Residual strength ratios were set to match the values observed in experimental results from Ref. [24]. Figure 3 shows the relationship between the moment and member rotation angle in the reproduction analysis of member tests constructed in Ref. [24]. In all models, the experimental results are well reproduced. Additionally, an increase in stiffness and strength and the tendency to reach the limit state earlier due to composite beams (Model B and Model D), and the increase in toughness due to factory welding are observed. The elastoplastic rotational springs for the panel zones used the Steel02 material model, with parameters established following Ref. [37]. The BRB components were represented using the Steel02 uniaxial material based on the Giuffre–Menegotto–Pinto model [33]. The equivalent elastic stiffness, the yield strength of the BRB, and other parameters were adjusted to match the energy absorption efficiency of the BRBs with prior studies [34,35] regarding the overall building response.
The external force distribution for the static pushover analysis is determined by the Ai distribution [38], as used in Japanese design standards, and is defined by Equation (11).
A i = 1 + 1 a i a i 2 T 1 1 + 3 T 1
Here, ai is the ratio of the weight supported by the i-th floor to the total weight of the building. The Ai distribution is an external force distribution created considering the effects of higher modes and can accurately represent the behavior up to the elastoplastic deformation range.
Figure 4 illustrates the relationship between lateral load and lateral deformation for the four models in the pushover analysis. The pushover analysis was conducted until the maximum IDR reached 0.03 rad. The figure also displays the steps at which the maximum IDR reached 0.005 rad, 0.01 rad, 0.02 rad, and 0.03 rad. The base shear coefficients at the maximum IDR of 0.01 rad were as follows: Model A: 0.25, Model B: 0.29, Model C: 0.25, and Model D: 0.30, indicating notable variations in structural performance depending on the presence of the floor slab. Additionally, as the steps increased, deformation was observed to concentrate on the lower floors.
For a detailed distribution of member deformation, Figure 5 shows the ductility factors of individual members at a maximum IDR of 0.02 rad and 0.03 rad. In Model A, significant deformation is predominantly observed in the beams except for the column base of the first story, followed by deformation in the panel zones and columns. In contrast, in Models B, C, and D, which have better beam-end performance, the ductility factors of the panel zones and columns increased. In Models B and D, where the RC floor slab was included, it was observed that the deformation of panel zones surpassed that of the beam ends on certain floors. The influence of member deformation on damage assessment in relation to the IDR will be discussed further in Section 5.

4. Building Response Calculation

4.1. Earthquake Hazards and Ground Motion Selection

In probabilistic seismic performance evaluation following FEMA P-58, seismic ground motion is characterized based on hazard curves, which represent the relationship between a specific IM and its probability of occurrence. In this study, Following the procedures in FEMA P-58, ground motions for the analytical model were generated based on the Uniform Hazard Spectrum (UHS). For the target acceleration response spectrum, this study used the UHS for Tokyo from the Architectural Institute of Japan’s UHS data across 10 cities in Japan [39]. Additionally, a ground motion set from FEMA P695 [40] was used, consisting of 28 earthquakes (56 ground motion records in two horizontal directions).
The procedure for generating input ground motions involves the following steps:
(1)
Generate hazard curves for each period from the UHS. To improve accuracy in the shorter return period range, a hyperbolic model is applied [41], with a 1-year return period set at 0.01 m/s2.
(2)
Divide the hazard curve range for the fundamental period T1 of the target building from 0.05 g up to the response acceleration for a 5000-year return period into eight equal parts.
(3)
Calculate the median return period for each divided range and connect the response accelerations for each period to form the target acceleration response spectrum.
(4)
Select 11 earthquakes (22 ground motion records) with geometric mean acceleration response spectra that closely match the target acceleration response spectrum shape, focusing on a period range from 0.2 T1 to 2 T1.
(5)
Adjust the time–history waveforms of the 22 ground motion records by applying a scaling factor to match the target acceleration response spectrum at T1.
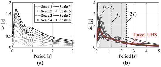
The target acceleration response spectrum generated through these steps is shown in Figure 6a, and the corresponding return periods are listed in Table 4. The fundamental period T1 was set at 1.2 s, as determined from the average eigenvalue analysis results across all models. Figure 6b displays the ground motion set selected for the maximum return period (scale 8).

4.2. Numerical Analysis Results Using CSM

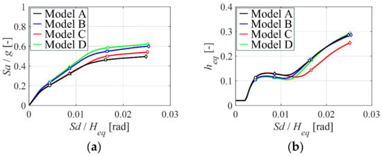
Based on the results from the static pushover analysis, the building’s response is calculated using the CSM. Figure 7a illustrates the capacity curve, which shows the relationship between lateral shear force and lateral deformation for the equivalent SDOF system, calculated using Equations (3) and (4) derived from the pushover analysis results. For equivalent drift ratios, Sd/Heq (Here, Heq is the equivalent height of the SDOF system) below 0.01 rad, where most components remain within the elastic range, there is minimal variation in response due to the differences in welding methods. However, the presence or absence of a floor slab significantly affects the behavior. Beyond 0.01 rad, differences emerge based on welding methods, with shop-welded connections exhibiting higher strength tendencies.
In Figure 7b, the damping curve used in CSM was calculated. This curve represents the combined damping contributions from columns, beams, panel zones, and BRBs based on Equations (5) to (7). The internal damping h0 is set to 0.02. Around an equivalent drift ratio of 0.002 rad, damping due to the hysteretic energy absorption of the BRBs begins to appear. In this study, the hysteretic behavior of each component was assumed to follow a bilinear behavior (Equation (7)), resulting in a damping peak around 0.005 rad, after which damping decreases. For Models B and C, which include floor slabs, the damping curve showed minimal variation. In contrast, Models A and C, which lack floor slabs, exhibited similar trends up to approximately 0.012 rad. Beyond this range, Model C, the shop-welded connection model, showed the lowest damping rate among all four models.
Using the obtained damping curves, capacity curves, and earthquake motion set created in the previous section, the building response for loss evaluation was estimated through the incremental CSM. Figure 8 and Figure 9 show the PFA and maximum IDR for all earthquake motions in Models A and B. To verify the accuracy of the CSM results from nonlinear THA using Newmark’s β-method (β = 1/4), with a time step of 0.002 s and instantaneous stiffness-proportional damping (0.02 damping factor), were also included. Upon examining the PFA distribution in Figure 7, the characteristics of the CSM acceleration distribution were well captured in the THA acceleration distribution, although there is a tendency to overestimate acceleration in the upper and middle floors for certain earthquake motions. This tendency becomes more pronounced as the earthquake motion scale increases, likely due to the higher modes of the equivalent SDOF system being treated elastically, which results in larger estimated accelerations than those observed in reality. Conversely, except on the second floor, the incremental CSM does not show underestimation compared to the THA. This aligns with findings in Ref. [28], which highlight the limitations of modal superposition and suggest establishing an appropriate minimum value.
For the maximum IDR distribution shown in Figure 9, the response evaluation is generally reasonable; however, as the earthquake motion scale increases, an underestimation of responses is observed in the lower to middle floors. This discrepancy may be attributed to stiffness and strength degradation due to cyclic loading in the THA [23], leading to more extensive deformation compared to the CSM results and the use of an Ai distribution for monotonic loading in the static pushover analysis, which remains constant and differs from the actual load distribution under elastoplastic response conditions. These trends are also observed in Models C and D, indicating consistent response behavior across all models.
In Figure 10, the median of the response distribution for each analytical model is extracted from the CSM results. Focusing on the median value, there is little discrepancy between the CSM and THA across all intensity levels, with only a slight underestimation in acceleration distribution on the second floor. Similarly, no major differences are observed between CSM and THA in the IDR distribution. The same trend is observed for the standard deviation, confirming that performing a sufficient number of response calculations using CSM enables an accurate assessment of the response distribution for loss evaluation.
Furthermore, when comparing models, Model A and Model C, which lack floor slabs, showed an IDR of approximately 0.02 rad at the 4th story, while Model B and Model D, which have floor slabs, showed an IDR of approximately 0.17 rad at the 4th story. In the PFA distribution, no significant differences were observed between the models.

5. Story Loss Function Based on Beam-to-Column Connection Type

5.1. Fragility Curve for Beam-End Connections

In FEMA P-58, beam-end connection fragilities are defined in terms of IDR: DS1 indicates local buckling of the beam flange and web, DS2 includes DS1 along with lateral-torsional distortion of the beam in the hinge region, and DS3 represents low-cycle fatigue fracture in the buckled region. However, as discussed in Section 3, the ratio of beam-end rotation to IDR varies based on the balance of strength between beams, columns, and panel zones. Therefore, defining beam-end fragility solely in terms of IDR may not accurately capture beam-end damage, particularly as damage also depends on beam dimensions.
In this study, firstly individual beam-end fragility curves were initially developed based on rotation for all beams in the target structure. Then, using the relationship between beam-end rotation and IDR from pushover analysis, these fragility curves were adjusted to be expressed in terms of IDR. Finally, to integrate these fragilities into the story loss function, an equivalent fragility curve representing each story was estimated. Although cumulative deformation could serve as the EDP for a more precise assessment of beam-end damage, maximum rotation at the component end was used to develop a fragility curve suitable for comprehensive loss evaluation.
The median fragility values corresponding to beam-end rotation were determined based on observed failure modes in previous studies [23], with DS1 defined at the midpoint between the yield rotation and rotation at maximum strength, DS2 at the rotation at maximum strength, and DS3 at the rotation when strength decreases to 80% of the maximum. Assuming a lognormal distribution, the log-standard deviation was set to 0.3.
For transforming fragility curves to IDR, extrapolation was used in ranges not covered by pushover analysis. This extrapolation assumes it is localized solely at the beam-ends, potentially leading to conservative overestimation of beam-end losses. While deformation may instead concentrate in columns or panel zones, additional analysis of component fragilities is needed to account for potential increases in loss due to these effects. However, this study focuses solely on the beam-end losses, and the following study proceeds based on this approach.
An equivalent fragility was then developed for each story by aggregating the fragilities for each beam-end connection. Using 10,000 times MCS per IDR, the damage distribution by DS was calculated. A consistent fragility was then applied across all beam ends, with median and log-standard deviation adjusted through parameter studies to fit the DS damage distribution. Figure 11 shows the estimated median and log-standard deviation of fragility for each model. Median values increase with floor height due to the smaller dimensions of upper-floor members. In Models C and D, deformation concentrates in the column bases at the first story and in panel zones at the sixth story, resulting in minimal damage at the beam ends and causing the median values to increase significantly. Differences in median values among models become more pronounced at higher DS levels. For log-standard deviation, Models A and C (without floor slabs) showed stable values around 0.3, while Models B and D (with floor slabs) displayed greater variability by the story.
Following FEMA P-58, repair cost fragilities were defined for all models based on the beam-end connection types. For T-shaped beam-end connections (external), the median repair costs per connection were set at USD 17,400 for DS1, with a coefficient of variation of 0.35, and USD 29,300 for both DS2 and DS3. For cross-shaped beam-end connections (internal), the median repair costs were set at USD 30,000 for DS1, with a coefficient of variation of 0.35, and USD 52,300 for DS2 and DS3, with a coefficient of variation of 0.3. These fragilities follow a normal distribution, allowing consistent evaluation of potential repair costs across damage states and connection types.

5.2. Story Loss Function for Structural Components

Based on the fragility models developed in the previous section, loss functions for structural components were created. Table 5 lists the assumed number of structural components per 100 square meters of floor area. The number of beam-end connections derived from building floor plans and other component counts were referenced from prior research [8]. Figure 12 illustrates the median loss functions across each story (from the loss function approximated by Equation (6) for the first story to the tenth story), along with a representative loss function for the entire building. The deformation range targeted in this study is also shown in Figure 12. Here, the loss function is expressed as the ratio of the repair cost to the replacement cost for each story.
The results show considerable variation in calculated loss functions for each story. Particularly for Models B, C, and D, the loss for the sixth story is significantly lower, emphasizing the influence of the median fragility of the beam-end connections. When comparing the median values (red line) across models, the repair costs converge at higher deformation, reflecting consistent repair costs across all models and stories, regardless of model-specific variations in the fragilities. However, at the maximum deformation range of 0.03 rad, the assumed upper bound, Model A, demonstrates the highest repair costs, while Model D has the lowest, resulting in a difference of about five times between these two models.

6. Repair Cost Assessment Results and Discussions

The median repair costs calculated using the response distributions (Section 4) and the loss functions (Section 5) are shown in Figure 13 and Figure 14. Figure 13 illustrates the distribution of repair costs per story for structural components. In Model A at Scale 8, repair costs in the second to fourth stories exceed USD 20,000 per story, with the most impacted fourth story reaching USD 28,000. Compared to the maximum structural replacement cost of USD 1,570,700 (based on a replacement cost of USD 226,000 per 100 m2 and a floor area of 695 m2), this loss represents about 1.8%. Considering the repair cost fragility for beam ends, beam ends classified as DS1 are approximately 60% of the cost of those classified as DS3, indicating that most structural components within these stories avoided significant damage. Conversely, in Models B and C, the highest costs were observed in the third and fourth stories, while Model D exhibited no pronounced cost peaks. In Model B, the ratio of the median IDR for the sixth story to that for the fifth story is 0.90, indicating minimal variation (Figure 10). Regarding the repair costs for the sixth story, which were notable in the loss function analysis (Section 5), the repair cost ratio relative to the fifth story is 0.96, consistent with the IDR ratio. This indicates that no significant variation in the loss function was observed within the deformation range studied.
Additionally, Section 3 highlights a consistent trend across all models where damage tends to concentrate in columns and panel zones. Repairs in these areas are typically more complex and costly per location compared to beam-end repairs. Therefore, differences in repair costs between models do not directly reflect superior seismic performance. Furthermore, as discussed in Section 3 and Section 4, within the range of IDRs below the maximum strength, variations in beam-end types redistribute deformation demands among the beams, columns, and panel zones, causing substantial changes in the overall IDR distribution. However, as discussed in Section 5, differences in the strength balance and dimensions of components lead to considerable variability in fragility. Even small differences in IDR, compounded by significant differences in the loss functions, result in notable disparities in repair costs. Future research would investigate deformation concentration across the entire frame and assess the fragility of structural components beyond the beams.
Figure 14 illustrates the relationship between the median total building repair costs and the annual exceedance frequency of the IM, calculated in a similar manner. The figures also include repair costs for non-structural components based on IDR and PFA-dependent loss functions, as outlined in Ref. [8]. While repair costs for structural components begin to increase at Scale 5, corresponding to design basis earthquakes (425-year return period), IDR-dependent non-structural components already incur expected repair costs of USD 65,000 at Scale 1, with costs rising sharply from Scale 5 onward. PFA-dependent non-structural components reach USD 364,000 at Scale 2 (41-year return period), indicating potential seismic damage even at the service level earthquake. At the highest response level considered in this study, Scale 8, corresponding to MCEs (3509-year return period), Model A incurs structural repair costs of USD 561,000, IDR-dependent non-structural costs of USD 1,680,000, and PFA-dependent non-structural costs of USD 884,000. These results indicate that non-structural damage tends to precede structural damage, significantly impacting building functionality. Changes in beam-to-column connection types showed smaller variations in non-structural repair costs compared to structural ones. Although this study applies identical loss functions across models for non-structural components, actual buildings rarely differentiate non-structural performance based on structural performance alone. Thus, the limited reduction in non-structural damage from improved structural resilience underscores the need for enhancing non-structural seismic performance to ensure functional continuity after an earthquake.

7. Conclusions and Limitations

This study investigates the performance of beam-to-column connections in Japanese steel office buildings, focusing on their seismic impact through practical repair cost evaluation. Numerical analysis of a prototype steel building model, supported by past experimental data, was used to quantitatively examine how beam-end connection types affect building response distribution and fragility, with repair costs serving as an indicator of seismic damage. By applying story loss functions and the Capacity Spectrum Method within the assessment framework of this study, the applicability of these methods in Japanese design practices is validated. The major findings obtained from this study are summarized as follows:
(1)
Differences in beam-to-column connection performance had a greater impact on component fragility variability than on overall building response. Variations in beam-end deformation and frame deformation mechanism under IDR were linked to connection types and dimensions, highlighting these factors as key sources of variability.
(2)
This study observed significant differences in fragility among four types of beam-end connections. Model C, featuring a shop-welded beam-to-column connection without a floor slab, exhibited the best component performance. However, when considering the building response and losses, Model D, which includes a floor slab, demonstrated the best seismic performance.
(3)
On the other hand, it was shown that improving structural performance to reduce response has limited effects on mitigating non-structural component damage. This emphasizes the necessity of directly enhancing the resilience of non-structural components to support functional continuity after seismic events.
(4)
By employing the incremental CSM analysis and story loss functions, this study confirmed the relevance of this approach within Japanese design standards, underscoring the importance of fragility considerations for realistic repair cost estimation in structural models.
The limitations of this study are summarized as follows:
(1)
The connection conditions used in this study represent commonly used connection types in Japan but do not encompass all existing connection types, and the referenced connection specimens are limited. Additionally, the building model used is only one frame pattern. Therefore, the loss functions and losses under different conditions are limited to trend predictions, and further investigation is needed to apply them as general solutions.
(2)
In this study, a numerical model assuming specific hysteretic and damping characteristics is used based on a reproduction analysis model of previous experiments. The reliability of this model is ensured through full-scale shaking table tests. However, the reproducibility of the building’s response to various seismic motions not covered in the experimental conditions is limited.
(3)
The representative values of building response (median and standard deviation) obtained from CSM and THA were shown to be of comparable accuracy. However, for the response to individual ground motions, variability due to seismic motion characteristics is observed, suggesting that if an insufficient number of ground motions are used for CSM-based response evaluation, there are limitations in the accuracy of the calculated seismic response.
(4)
The use of loss functions enables the improvement of balanced seismic resilience from a macro perspective by not explicitly specifying the types, quantities, or damage mechanisms of individual components. However, this approach does not provide direct information on actual damage, such as the building’s deformation mechanisms or component damage. Therefore, it becomes essential to focus on research-based investigations into component damage mechanisms and raise awareness among structural engineers in practical applications.
To achieve a more comprehensive assessment of building performance, future research will focus on developing fragility and repair evaluations that consider deformation concentration in other components, such as columns and panel zones. Advanced numerical models will be used to capture responses up to beam-end fracture or buckling, thereby enhancing the accuracy of performance assessment.

Author Contributions

Conceptualization, K.T. and T.N.; formal analysis, K.T. and J.J.; validation and data curation, K.T.; writing—original draft, K.T. and J.J.; writing—review and editing, J.J. and T.N. All authors have read and agreed to the published version of the manuscript.

Funding

This work was financially supported by JST SPRING, Grant Number JPMJSP2125.

Data Availability Statement

The original contributions presented in the study are included in the article; further inquiries can be directed to the corresponding author.

Acknowledgments

The author would like to take this opportunity to thank the “THERS Make New Standards Program for the Next Generation Researchers”.

Conflicts of Interest

The authors declare no conflicts of interest.

References

  1. FEMA-355A; State of the Art Report on Base Metals and Fracture. SAC Joint Venture for the Federal Emergency Management Agency: Washington, DC, USA, 2000.
  2. Nakashima, M.; Inoue, K.; Tada, M. Classification of damage to steel buildings observed in the 1995 Hyogoken-Nanbu earth-quake. J. Struct. Eng. ASCE 1998, 20, 271–281. [Google Scholar] [CrossRef]
  3. National Center for Research on Earthquake Engineering. Reconnaissance Report of Seismic Damages Caused by the 6 February 2018 Earthquake, Hualien, Taiwan, NCREE-18-005. 2018. Available online: https://www.ncree.narl.org.tw/accomplishment/technicalreports/page/12010 (accessed on 3 December 2024). (In Chinese).
  4. Asai, T.; Nishi, R.; Goto, W.; Kobayashi, T.; Ishihara, T.; Umeda, N.; Sadamoto, M.; Kobayashi, Y.; Hayashi, T.; Kanzaki, Y.; et al. Function Loss, Non-structural Component. In Proceedings of the Architectural Institute of Japan Panel Discussion, Tokyo, Japan, 27–30 August 2024; pp. 41–76. (In Japanese). [Google Scholar]
  5. Federal Emergency Management Agency (FEMA). Seismic Performance Assessment of Buildings, Volume 1, Methodology; Report No. FEMA P-58-1; Federal Emergency Management Agency (FEMA): Washington, DC, USA, 2018.
  6. Nishi, R.; Fujiwara, J.; Kishida, A.; Kajiwara, K.; Okano, H.; Mizutani, K.; Nagae, T.; Shinada, N.; Murata, T.; Suzuki, T. Seismic damage of non-structural components in the shake-table test of 10-story steel building. In Proceedings of the 18th World Conference on Earthquake Engineering (WCEE2024), Milan, Italy, 30 June–5 July 2024. [Google Scholar]
  7. Ramirez, C.M.; Miranda, E. Building-Specific Loss Estimation Methods and Tools for Simplified Performance-Based Earthquake Engineering; Report No. 171; The John A. Blume Earthquake Engineering Center, Stanford University: Stanford, CA, USA, 2009. [Google Scholar]
  8. Papadopoulos, A.N.; Vamvatsikos, D.; Kazantzi, A.K. Development and application of FEMA P-58 compatible story loss functions. Earthq. Spectra 2019, 35, 95–112. [Google Scholar] [CrossRef]
  9. Macedo, L.; Castro, J.M. Earthquake loss assessment of steel moment-resisting frames designed according to Eurocode 8. Soil Dyn. Earthq. Eng. 2019, 124, 58–71. [Google Scholar] [CrossRef]
  10. Esteghamati, M.Z.; Farzampour, A. Probabilistic seismic performance and loss evaluation of a multi-story steel building equipped with butterfly-shaped fuses. J. Constr. Steel Res. 2020, 172, 106187. [Google Scholar] [CrossRef]
  11. Zhai, Z.; Guo, W.; Chen, W.; Yu, Z.; Zeng, C.; Li, S. Effect of damper failure on the seismic loss assessment of retrofitted steel moment-resisting frames. Soil Dyn. Earthq. Eng. 2021, 150, 106903. [Google Scholar] [CrossRef]
  12. Hwang, S.-H.; Lignos, D.G. Earthquake-induced loss assessment of steel frame buildings with special moment frames designed in highly seismic regions. Earthq. Eng. Struct. Dyn. 2017, 46, 2141–2162. [Google Scholar] [CrossRef]
  13. Hwang, S.-H.; Lignos, D.G. Effect of modeling assumptions on the earthquake-induced losses and collapse risk of steel-frame buildings with special concentrically braced frames. J. Struct. Eng. 2017, 143, 04017116. [Google Scholar] [CrossRef]
  14. Wu, T.; Sherif El-Tawil, S.; McCormick, J. Influence of Seismic Design Evolution on the Seismic Collapse Behavior and Losses of Prototype Steel Buildings with Moment-Resisting Frames. J. Struct. Eng. 2020, 146, 04020177. [Google Scholar] [CrossRef]
  15. Richards, P.W.; McCall, A.J.; Marshall, J.D. Functional Recovery of Steel Special Moment Frames. J. Struct. Eng. 2022, 149, 04022261. [Google Scholar] [CrossRef]
  16. Bakalis, K. Incorporating Modeling Uncertainties in the Collapse Assessment of Capacity-Designed Steel Moment Frames under Seismic Loading. J. Struct. Eng. 2024, 150, 04024024. [Google Scholar] [CrossRef]
  17. Nakashima, M.; Reder, C.W.; Maruoka, Y. Steel moment frames for earthquakes in united states and Japan. J. Struct. Eng. 2000, 126, 861–868. [Google Scholar] [CrossRef]
  18. Kim, Y.J.; Oh, S.H.; Moon, T.S. Seismic behavior and retrofit of steel moment connections considering slab effects. Eng. Struct. 2004, 26, 1993–2005. [Google Scholar] [CrossRef]
  19. Nakashima, M.; Matsumiya, T.; Suita, K.; Zhou, F. Full-scale test of composite frame under large cyclic loading. J. Struct. Eng. 2007, 133, 297–304. [Google Scholar] [CrossRef]
  20. Wang, Y.; Arakida, R.; Chan, L.; Koetaka, R.; Nakano, T. Cyclic behavior of panel zone in beam-column subassemblies subjected to bidirectional loading. J. Constr. Steel Res. 2018, 143, 32–45. [Google Scholar] [CrossRef]
  21. Lignos, D.G.; Krawinkler, H. Deterioration modeling of steel components in support of collapse prediction of steel moment frames under earthquake loading. J. Struct. Eng. 2010, 137, 1291–1302. [Google Scholar] [CrossRef]
  22. Okazaki, T.; Nagae, T.; Matsumiya, T.; Takahashi, N.; Nakazawa, H.; Mikoshiba, T. Dynamic loading tests of typical Japanese steel beam-to-column moment-resisting connections. In Proceedings of the 12th Pacific Structural Steel Conference, Tokyo, Japan, 9–11 November 2019. [Google Scholar]
  23. Nonoyama, Y.; Nagae, T.; Okazaki, T.; Matsumiya, T.; Takahashi, N.; Kajiwara, K.; Nakazawa, H.; Mikoshiba, T. Numerical analysis focusing on stiffness deterioration behavior of composite beam subjected to cyclic deformations. AIJ J. Technol. Des. 2020, 62, 153–158. (In Japanese) [Google Scholar] [CrossRef][Green Version]
  24. Jin, J.; Yan, T.; Nagae, T.; Okazaki, T.; Matsumiya, T.; Takahashi, N. Effect of composite slab and connection detail on cyclic behavior of steel beam-to-HSS column moment connections. J. Build. Eng. 2024, 95, 110254. [Google Scholar] [CrossRef]
  25. Hossein, N. Probabilistic Analysis of Strength in Retrofitted X-Joints under Tensile Loading and Fire Conditions. Buildings 2024, 14, 2105. [Google Scholar] [CrossRef]
  26. National Institute for Land and Infrastructure Manegement, Building Research Institute. Commentary on Structural Regulations of the Building Standard Law of Japan; All Japan Official Gazette Inc.: Tokyo, Japan, 2020. (In Japanese)
  27. Krawinkler, H. Van Nuys Hotel Building Testbed Report: Exercising Seismic Performance Assessment; Pacific Earthquake Engineering Research Center, University of California: Berkeley, CA, USA, October 2005. [Google Scholar]
  28. Ishihara, T.; Yamanaka, Y.; Yamada, S.; Motoyui, S.; Seike, T.; Wakiyama, Y. On acceleration of main frames for estimation of inertia force in seismic design of non-structural components. J. Struct. Eng. 2017, 63B, 75–82. (In Japanese) [Google Scholar]
  29. Mori, Y.; Yamanaka, T.; Nakashima, M. Estimation of displace response of steel moment frame considering post-elastic modal shape. J. Struct. Eng. 2004, 50B, 425–434. (In Japanese) [Google Scholar]
  30. Ministry of Land, Infrastructure, Transport and Tourism (MLIT). Technological Standard Related to Structures of Buildings; Ministry of Land, Infrastructure, Transport and Tourism (MLIT): Tokyo, Japan, 2007. (In Japanese)
  31. Architectural Institute of Japan. AIJ Standard for Allowable Stress Design of Steel Structures; Maruzen-Yushodo Co., Ltd.: Tokyo, Japan, 2019. (In Japanese) [Google Scholar]
  32. Architectural Institute of Japan. AIJ Recommendations for Plastic Design of Steel Structures; Maruzen-Yushodo Co., Ltd.: Tokyo, Japan, 2017. (In Japanese) [Google Scholar]
  33. McKenna, F.; Fenves, G.L.; Scott, M.H. Open System for Earthquake Engineering Simulation; University of California: Berkeley, CA, USA, 2000; Available online: http://opensees.berkeley.edu (accessed on 3 December 2024).
  34. Jin, J.; Nagae, T.; Asai, T.; Okazaki, T.; Li, J.; Lignos, D.G.; Chung, Y.; Fujiwara, J.; Kishida, A.; Kajiwara, K. Cyclic pushover analysis for seismic response evaluation of a full-scale 10-story steel building tested on the E-Defense shake-table. J. Build. Eng. 2024, 96, 110552. [Google Scholar] [CrossRef]
  35. Upadhyay, A.; Pantelides, C.P.; Ibarra, L. Residual drift mitigation for bridges retrofitted with buckling restrained braces or self centering energy dissipation devices. Eng. Struct. 2019, 199, 109663. [Google Scholar] [CrossRef]
  36. Lignos, D.G.; Krawinkler, H. A steel database for component deterioration of tubular hollow square steel columns under varying axial load for collapse assessment of steel structures under earthquakes. In Proceedings of the 7th International Conference on Urban Earthquake Engineering & 5th International Conference on Earthquake Engineering, Tokyo, Japan, 3–5 March 2010. [Google Scholar]
  37. Skiadopoulos, A.; Elkady, A.; Lignos, D.G. Proposed panel zone model for seismic design of steel moment-resisting frames. J. Struct. Eng. 2021, 147, 04021006. [Google Scholar] [CrossRef]
  38. Ishiyama, Y. Distribution of seismic shear and the base shear coefficient for various types of buildings. J. Struct. Constr. Eng. 1992, 439, 60–72. (In Japanese) [Google Scholar] [CrossRef]
  39. Architectural Institute of Japan. AIJ Recommendations for Loads on Buildings (2015); Maruzen-Yushodo Co., Ltd.: Tokyo, Japan, 2015. (In Japanese) [Google Scholar]
  40. FEMA P695; Quantification of Building Seismic Performance Factors. ATC-63, Applied Technology Council: Redwood City, CA, USA, 2009.
  41. Bradley, B.A.; Dhakal, R.P.; Cubrinovski, M.; Mander, J.B.; MacRae, G.A. Improved seismic hazard model with application to probabilistic seismic demand analysis. Earthq. Eng. Struct. Dyn. 2007, 36, 2083–2271. [Google Scholar] [CrossRef]
Figure 1. (a) Typical floor plan; (b) frame diagram of elevation-B for a steel office building.
Figure 1. (a) Typical floor plan; (b) frame diagram of elevation-B for a steel office building.
Buildings 14 03913 g001
Figure 2. (a) Analytical model of the prototype; (b) beam-to-column connection model; (c) modified IMK model [15,36].
Figure 2. (a) Analytical model of the prototype; (b) beam-to-column connection model; (c) modified IMK model [15,36].
Buildings 14 03913 g002
Figure 3. Comparison of analysis results for (a) Model A; (b) Model B; (c) Model C; and (d) Model D [24].
Figure 3. Comparison of analysis results for (a) Model A; (b) Model B; (c) Model C; and (d) Model D [24].
Buildings 14 03913 g003
Figure 4. Results of a static pushover analysis of (a) model A; (b) model B; (c) model C; and (d) model D.
Figure 4. Results of a static pushover analysis of (a) model A; (b) model B; (c) model C; and (d) model D.
Buildings 14 03913 g004
Figure 5. Ductility factor for each structural component at IDR of (a) 0.02 rad and (b) 0.03 rad.
Figure 5. Ductility factor for each structural component at IDR of (a) 0.02 rad and (b) 0.03 rad.
Buildings 14 03913 g005
Figure 6. (a) Target uniform hazard spectrum (engineering bedrock, 0.05 damping factor); (b) selected input ground motion set at scale 8.
Figure 6. (a) Target uniform hazard spectrum (engineering bedrock, 0.05 damping factor); (b) selected input ground motion set at scale 8.
Buildings 14 03913 g006
Figure 7. (a) Drift ratio vs. shear force; (b) damping ratio in equivalent SDOF system.
Figure 7. (a) Drift ratio vs. shear force; (b) damping ratio in equivalent SDOF system.
Buildings 14 03913 g007
Figure 8. PFA distribution of (a) Model A and (b) Model B.
Figure 8. PFA distribution of (a) Model A and (b) Model B.
Buildings 14 03913 g008
Figure 9. Maximum IDR distribution of (a) Model A and (b) Model B.
Figure 9. Maximum IDR distribution of (a) Model A and (b) Model B.
Buildings 14 03913 g009
Figure 10. Median value of (a) PFA distribution and (b) maximum IDR distribution.
Figure 10. Median value of (a) PFA distribution and (b) maximum IDR distribution.
Buildings 14 03913 g010
Figure 11. (a) Median value distribution; (b) deviation value distribution for beam-end fragility.
Figure 11. (a) Median value distribution; (b) deviation value distribution for beam-end fragility.
Buildings 14 03913 g011
Figure 12. Story loss function for (a) Model A; (b) Model B; (c) Model C; and (d) Model D.
Figure 12. Story loss function for (a) Model A; (b) Model B; (c) Model C; and (d) Model D.
Buildings 14 03913 g012
Figure 13. Loss assessment results per story.
Figure 13. Loss assessment results per story.
Buildings 14 03913 g013
Figure 14. Loss assessment results for (a) structural components and (b) max IDR sensitive non-structural components; (c) PFA sensitive non-structural components.
Figure 14. Loss assessment results for (a) structural components and (b) max IDR sensitive non-structural components; (c) PFA sensitive non-structural components.
Buildings 14 03913 g014
Table 1. List of steel columns.
Table 1. List of steel columns.
FloorC1 1C2 2C3 2
8–10F□-400 × 400 × 16□-400 × 400 × 16□-400 × 400 × 16
6–7F□-400 × 400 × 16□-400 × 400 × 16□-400 × 400 × 19
4–5F□-450 × 450 × 16□-450 × 450 × 19□-450 × 450 × 19
3F□-450 × 450 × 16□-450 × 450 × 19□-450 × 450 × 22
2F□-450 × 450 × 16□-450 × 450 × 19□-450 × 450 × 28
1F□-500 × 500 × 16□-500 × 500 × 22□-500 × 500 × 25
Unit: mm. □: box-type columns. 1 Steel grade: BCP325. 2 Steel grade: BCP326.
Table 2. List of steel beams.
Table 2. List of steel beams.
FloorG1G2G3G4
RFH-500 × 200 × 10 × 16 1H-506 × 200 × 10 × 16H-506 × 200 × 10 × 16H-500 × 200 × 10 × 16
9–10FH-500 × 200 × 10 × 16 1H-506 × 200 × 10 × 16H-506 × 201 × 11 × 19H-500 × 200 × 10 × 16
8FH-500 × 200 × 10 × 16 1H-506 × 201 × 11 × 19H-606 × 201 × 12 × 20H-600 × 200 × 11 × 17
4–7FH-500 × 200 × 10 × 16H-506 × 201 × 11 × 19H-582 × 300 × 12 × 17H-600 × 200 × 11 × 17
3FH-506 × 201 × 11 × 19H-506 × 201 × 11 × 19H-582 × 300 × 12 × 17H-600 × 200 × 11 × 17
2FH-506 × 201 × 11 × 19H-506 × 201 × 11 × 19H-606 × 201 × 12 × 20H-600 × 200 × 11 × 17
1FH-792 × 300 × 14 × 22H-792 × 300 × 14 × 22H-792 × 300 × 14 × 22H-792 × 300 × 14 × 22
Unit: mm. 1 Steel grade: SN400; other beams are SN490.
Table 3. Connection information of numerical analysis model [24].
Table 3. Connection information of numerical analysis model [24].
ModelSpecimen *Connection MethodWeld Access Hole ShapeRC Slab
A2Field-welded35 R + 10 RWithout
B3Field-welded35 R + 10 RWith
C5Shop-weldedNo-weld holeWithout
D4Shop-weldedNo-weld holeWith
* Specimen number in Ref. [24].
Table 4. Return period for selected input ground motion set.
Table 4. Return period for selected input ground motion set.
Scale12345678
Return period [year]14419520542586317403509
Table 5. Structural component quantities.
Table 5. Structural component quantities.
ComponentQuantity [EA/100 m2]
Beam-end connections (1-sided)1.15
Beam-end connections (2-sided)2.01
Shear tab connections5.99
Column splices0.91
Disclaimer/Publisher’s Note: The statements, opinions and data contained in all publications are solely those of the individual author(s) and contributor(s) and not of MDPI and/or the editor(s). MDPI and/or the editor(s) disclaim responsibility for any injury to people or property resulting from any ideas, methods, instructions or products referred to in the content.

Share and Cite

MDPI and ACS Style

Takaya, K.; Jin, J.; Nagae, T. Practical Repair Cost Assessment of Steel Office Buildings with Diverse Beam-to-Column Connection Types in Japan. Buildings 2024, 14, 3913. https://doi.org/10.3390/buildings14123913

AMA Style

Takaya K, Jin J, Nagae T. Practical Repair Cost Assessment of Steel Office Buildings with Diverse Beam-to-Column Connection Types in Japan. Buildings. 2024; 14(12):3913. https://doi.org/10.3390/buildings14123913

Chicago/Turabian Style

Takaya, Kazuki, Jialiang Jin, and Takuya Nagae. 2024. "Practical Repair Cost Assessment of Steel Office Buildings with Diverse Beam-to-Column Connection Types in Japan" Buildings 14, no. 12: 3913. https://doi.org/10.3390/buildings14123913

APA Style

Takaya, K., Jin, J., & Nagae, T. (2024). Practical Repair Cost Assessment of Steel Office Buildings with Diverse Beam-to-Column Connection Types in Japan. Buildings, 14(12), 3913. https://doi.org/10.3390/buildings14123913

Note that from the first issue of 2016, this journal uses article numbers instead of page numbers. See further details here.

Article Metrics

Back to TopTop