A Study of the Impacts of Different Opening Arrangements of Double-Skin Façades on the Indoor Temperatures of a Selected Building
Abstract
1. Introduction
2. Study Subject
2.1. Overview of the Research Subjects
2.2. Meteorological Parameters
3. Research Methodology
3.1. Indoor Temperature Prediction Model
3.1.1. Weather Factor Screening
3.1.2. Simulation of Room Temperature at Different DSF Angles
- First, establish the room structure based on the room parameters and create the geometric model of the interior space, defining the dimensions of the room, walls, windows, and other architectural elements;
- Set up the project in the software and configure the environmental conditions, including external factors such as temperature, humidity, wind speed, and boundary conditions;
- Select the radiation model as the calculation method;
- Calculate the wind pressure for both indoor and outdoor environments;
- Apply the calculated wind pressures to the doors and windows;
- Set the air exchange rate to 0.5 air changes per hour, as specified in the Design Code for Heating, Ventilation, and Air Conditioning of Civil Buildings [16], while turning off the air-conditioning system throughout the simulation;
- Based on the window type and opening angle, adjust the window sash to four positions: 0°, 20°, 50°, and 70°, which can be calculated individually;
- Import the weather data into the Thermal Comfort software 2018 and define the room’s ventilation rate;
- Perform the simulation and export the data;
- Obtain room temperatures for different window opening angles under the same climate conditions.
3.1.3. ET Algorithm
3.2. Modeling of Research Object
- (1)
- Secondary structures, such as columns, are excluded;
- (2)
- Internal heat sources and air-conditioning effects are disregarded;
- (3)
- The thermal and optical properties of all materials are assumed to remain constant;
- (4)
- Heat flow through edges and seams is neglected;
- (5)
- All curtain wall parameters conform to the Chinese National Standard for Lighting Design of Buildings [24];
- (6)
- All boundaries of the study area are insulated, except for the DSF boundary, and only the DSF curtain wall is subjected to external influences.
3.3. CFD Simulation
4. Window-Opening Arrangements
5. Parametric Analysis
5.1. Screening of Meteorological Parameters
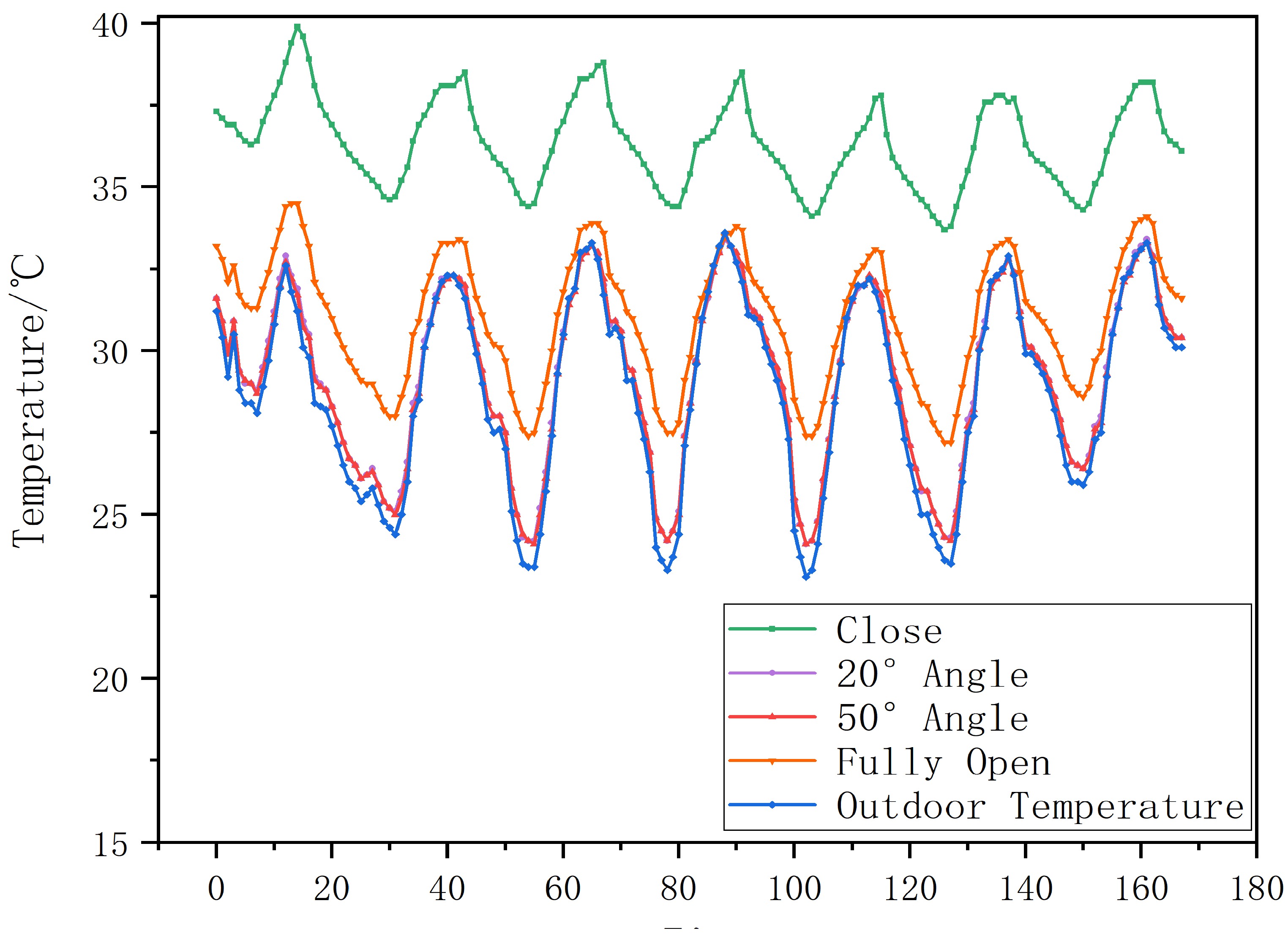
5.2. Room Temperature at Different Opening Angles
5.3. Indoor Temperature Prediction
5.4. Effect of Window Opening Arrangements on Indoor Horizontal Surface Temperatures
5.5. Effect of Window-Opening Arrangements on Internal Curtain Wall Temperatures
5.6. Influence of Average Indoor Temperature on Window-Opening Arrangements
5.7. Impact on Air Conditioning Operating Hours
6. Discussion
7. Conclusions
7.1. Major Results
- The average indoor temperature was lowest at the optimal opening angle of 50° among the four DSF opening angles studied.
- The ET-based indoor temperature prediction model achieved an accuracy of 93.67%.
- Compared with other window-opening arrangements, window-opening arrangement 2, with a 50° angle, reduces the overall average indoor temperature by 3.6%, 16.9%, 12.1%, 9.8%, 13.8%, 16.3%, and 14.5%, respectively. Different window-opening arrangements and angles generate distinct indoor temperature trends and should therefore be selected based on seasonal and climatic conditions.
- Window-opening arrangement 2 outperforms others in terms of average indoor temperature at a height of 1.2 m, being 2.7% lower than the 27.48 °C of window-opening arrangement 1.
- The average temperature of the DSF interior façade was 19.9% and 38.9% lower under window-opening arrangement 1 compared to arrangements 2 and 8, respectively.
- With window-opening option 2 at the optimal opening angle, the air-conditioning system start-up is delayed by 1.22 h and 1.33 h, respectively, compared to options 8 (system fully closed) and 1 (system fully open).
7.2. General Conclusions
Author Contributions
Funding
Data Availability Statement
Conflicts of Interest
References
- Liu, X.; Shen, C.; Wang, J.; Zhang, C.; Shuai, Y. Static and dynamic regulations of photovoltaic double skin facades towards building sustainability: A review. Renew. Sustain. Energy Rev. 2023, 183, 113458. [Google Scholar] [CrossRef]
- Allouhi, A.; El Fouih, Y.; Kousksou, T.; Jamil, A.; Zeraouli, Y. Energy consumption and efficiency in buildings: Current status and future trends. Clean. Prod. 2015, 109, 118–130. [Google Scholar] [CrossRef]
- Pelletier, K.; Wood, C.; Calautit, J.; Wu, Y. The viability of double-skin façade systems in the 21st century: A systematic review and meta-analysis of the nexus of factors affecting ventilation and thermal performance, and building integration. Build. Environ. 2023, 228, 109870. [Google Scholar] [CrossRef]
- Mahboube, R.; Fatemeh, A. Energetical effect of electrochromic glazing on the double-skin façade of the building in different climates. Energy Build. 2024, 316, 114344. [Google Scholar]
- Zheng, C.; Chen, C.; Hong, X.; Zhang, W.; Yang, R.; Shi, F. Experimental evaluation of the thermal, lighting, and energy performances of a mechanically ventilated double-skin façade with Venetian blinds and a light shelf. Energy Build. 2024, 306, 113947. [Google Scholar] [CrossRef]
- Duan, Z.; Zhang, M.; Li, Y. Research on the design of double-glazed curtain wall of office buildings in Xuzhou. Archit. Ski. 2023, 29, 86–89. [Google Scholar] [CrossRef]
- Lahayrech, S.; Siroux, M.; El Maakoul, A.; Khay, I.; Degiovani, A. A Review: Ventilated Double-skin Façades. IOP Conf. Ser. Earth Environ. Sci. 2022, 1050, 012019. [Google Scholar] [CrossRef]
- Nari, Y.; Yeonsook, H. Weather-based operation strategy for a dynamically compartmentalized double-skin façade system. Build. Environ. 2022, 226, 109755. [Google Scholar]
- Jaewan, J.; Wonjun, C.; Hansol, K.; Jung-Ho, H. Load characteristics and operation strategies of building integrated with multi-story double skin facade. Energy Build. 2013, 60, 185–198. [Google Scholar]
- Lin, Z.; Song, Y.; Chu, Y. Summer performance of a naturally ventilated double-skin facade with adjustable glazed louvers for building energy retrofitting. Energy Build. 2022, 267, 112163. [Google Scholar] [CrossRef]
- Wonjun, C.; Jaewan, J.; Younghoon, K.; Jung-Ho, H. Operation and window-opening arrangements for multi-storey double skin facades during the heating season. Energy Build. 2012, 49, 454–465. [Google Scholar]
- He, G.; Shu, L.; Zhang, S. Double skin facades in the hot summer and cold winter zone in China: Cavity open or closed? Build. Simul. 2011, 4, 283–291. [Google Scholar] [CrossRef]
- Li, X. Dynamic Ventilation and Heat Transfer Characteristics of Double-Layer Breather Glass Curtain Wall in Xi’an. Master’s Thesis, Xi’an University of Architecture and Technology, Xi’an, China, 2021. [Google Scholar] [CrossRef]
- Dong, Q.; Zhao, X.; Song, Y.; Qi, J.; Shi, L. Determining the potential risks of naturally ventilated double skin façades. Renew. Sustain. Energy Rev. 2024, 191, 114064. [Google Scholar] [CrossRef]
- Gao, S.; Yang, L.; Zhao, S.; Zhai, Y. Study on influence of external walls and windows on human thermal comfort in office buildings. Build. Energy Effic. (Engl. Chin.) 2022, 50, 52–56. [Google Scholar]
- Liu, Q.; Wang, D. Building Daylighting; Intellectual Property Press: Beijing, China, 2018. [Google Scholar]
- Greenbuildersville. Vent User Manual, 2016 ed.; Green Buildersville: Beijing, China, 2016. [Google Scholar]
- Yang, J.; Wang, Z.; Tian, Z.; Du, X. ‘Ventilation’ and ‘wind trapping’: A comparative study of ventilation effects in high-rise public housing in subtropical regions. In Proceedings of the 2017 National HVAC Simulation Academic Annual Conference, San Francisco, CA, USA, 7–9 August 2017. [Google Scholar]
- JGJ/T 309-2013; Test and Evaluation Standard for Building Ventilation Effect. China Building Industry Press: Beijing, China, 2013.
- GB50736-2012; Heating, Ventilation and Air Conditioning Design Code for Civil Buildings. Ministry of Housing and Urban-Rural Development of the People’s Republic of China: Beijing, China, 2012.
- Lin, X.; Zhang, Z.; Lin, J.; Yue, X.; Huang, Y. Enhanced Accuracy for the Determination of Chromium in Steel by Laser-Induced Breakdown Spectroscopy (LIBS) and Extreme Random Tree (ERT). Anal. Lett. 2024, 57, 1829–1840. [Google Scholar] [CrossRef]
- Li, J.; Gao, X.; Li, Z. Comparative study of machine learning algorithms for soybean protein localization predicting. Soybean Sci. 2022, 41, 337–344. [Google Scholar]
- Xu, T. Recent advances in Rapidly-exploring random tree: A review. Heliyon 2024, 10, e32451. [Google Scholar] [CrossRef] [PubMed]
- GB50033-2013; China’s National Standard for Lighting Design of Buildings. China Ministry of Housing and Urban-Rural Development of the People’s Republic of China: Beijing, China, 2013.
- Meng, Y. Study on Ventilation Performance of Double Skin Facades. Master’s Thesis, Zhejiang University, Hangzhou, China, 2023. [Google Scholar]
- Yuan, T.; Yang, X.; Xia, X. CFD numerical simulation of aerodynamic noise in close proximity asymmetric twin-tower linked structures. Build. Struct. 2022, 52, 89–94. [Google Scholar]
- Liu, J.; Liu, H.; Wang, Z.; Zeng, Z. Study on bearing performance of defective reinforced concrete pipes based on orthogonal tests. Build. Struct. 2024, 54, 119–125. [Google Scholar]
- Lin, G.; Jiang, P.; Cui, B.; Lin, A.; Wan, X. Predicting the performance of a functional ecological substrate via a generative model based on an orthogonal experiment. Bull. Eng. Geol. Environ. 2024, 83, 325. [Google Scholar] [CrossRef]


















| Methodologies | Advantage | Drawback |
|---|---|---|
| ET | No pre-processing of data, simple and effective categorization | |
| neural network | Self-learning function and associative storage | Rely on all data |
| Decision tree | Intuitive decision-making rules | Prone to overfitting, difficulty in dealing with missing data |
| Support Vector Machine (SVM) | Not dependent on all data | Inefficient for large number of prediction samples |
| Angle | 20° | 30° | 45° | 60° | 90° |
|---|---|---|---|---|---|
| Flow coefficient | 0.33 | 0.38 | 0.52 | 0.60 | 0.62 |
| Size | Width/m | High/m | Area/m2 | Equivalent Area/m2 |
|---|---|---|---|---|
| Inner window | 1.20 | 0.90 | 1.08 | 0.60 |
| External window | 1.07 | 0.96 | 0.96 | 0.54 |
| Window-to-Wall Ratio | Transmission of Visible Light (%) | Visible Light Reflectance (%) | Heat Transfer Coefficient (W/m2) | Sclar Coefficient (SC) | Sclar Heat Gaim Ocefficient (SHGC) |
|---|---|---|---|---|---|
| 0.6 | 57 | 16 | 1.65 | 0.44 | 0.38 |
| Name | Boundary Condition | Parameterization |
|---|---|---|
| External curtain wall | Mixed heat transfer | Thickness 0.024 m; Heat transfer coefficient 1.64 W/(m2K) |
| Inner wall | System Coupling | Thickness 0.024 m |
| Alloy plate | Mixed heat transfer | Heat transfer coefficient 41.64 W/(m2K) |
| Entrances | Pressure inlet | Average wind speed of 3 m/s |
| Exits | Free-flowing | Free-flowing |
| Outer Space Boundary | Temperature boundary | Consistent with outdoor temperatures |
| Number | Window 1 | Window 2 | Window 3 | Window 4 |
|---|---|---|---|---|
| Arrangement 1 | Open | Open | Open | Open |
| Arrangement 2 | Open | Open | Close | Close |
| Arrangement 3 | Open | Close | Open | Close |
| Arrangement 4 | Open | Close | Close | Open |
| Arrangement 5 | Close | Open | Open | Close |
| Arrangement 6 | Close | Open | Close | Open |
| Arrangement 7 | Close | Close | Open | Open |
| Arrangement 8 | Close | Close | Close | Close |
Disclaimer/Publisher’s Note: The statements, opinions and data contained in all publications are solely those of the individual author(s) and contributor(s) and not of MDPI and/or the editor(s). MDPI and/or the editor(s) disclaim responsibility for any injury to people or property resulting from any ideas, methods, instructions or products referred to in the content. |
© 2024 by the authors. Licensee MDPI, Basel, Switzerland. This article is an open access article distributed under the terms and conditions of the Creative Commons Attribution (CC BY) license (https://creativecommons.org/licenses/by/4.0/).
Share and Cite
Sun, Q.; Song, J.; Yu, Y.; Ai, H.; Zhao, L. A Study of the Impacts of Different Opening Arrangements of Double-Skin Façades on the Indoor Temperatures of a Selected Building. Buildings 2024, 14, 3893. https://doi.org/10.3390/buildings14123893
Sun Q, Song J, Yu Y, Ai H, Zhao L. A Study of the Impacts of Different Opening Arrangements of Double-Skin Façades on the Indoor Temperatures of a Selected Building. Buildings. 2024; 14(12):3893. https://doi.org/10.3390/buildings14123893
Chicago/Turabian StyleSun, Qing, Junwei Song, Ying Yu, Hongbo Ai, and Long Zhao. 2024. "A Study of the Impacts of Different Opening Arrangements of Double-Skin Façades on the Indoor Temperatures of a Selected Building" Buildings 14, no. 12: 3893. https://doi.org/10.3390/buildings14123893
APA StyleSun, Q., Song, J., Yu, Y., Ai, H., & Zhao, L. (2024). A Study of the Impacts of Different Opening Arrangements of Double-Skin Façades on the Indoor Temperatures of a Selected Building. Buildings, 14(12), 3893. https://doi.org/10.3390/buildings14123893
