Internal Curing Effects of Slag on Properties and Microstructure of Ambient-Cured Fly Ash-Based Geopolymer Mortar
Abstract
1. Introduction
2. Experimental Program
2.1. Materials
2.2. Mixture Design and Specimen Preparation
2.3. Testing Procedure
2.3.1. Flowability Test
2.3.2. Setting Time Test
2.3.3. Internal Temperature Test
2.3.4. Compressive, Flexural, and Direct Tensile Strength Tests
2.3.5. Thermogravimetric Analysis (TGA) Test
2.3.6. Scanning Electron Microscopy (SEM)
2.3.7. Mercury Intrusion Porosimetry (MIP) Test
3. Results and Discussion
3.1. Flowability of Fresh Mortar
3.2. Penetration Resistance Strength and Setting Time
3.3. Hydration Kinetics
3.4. Compressive, Flexural, and Direct Tensile Strength
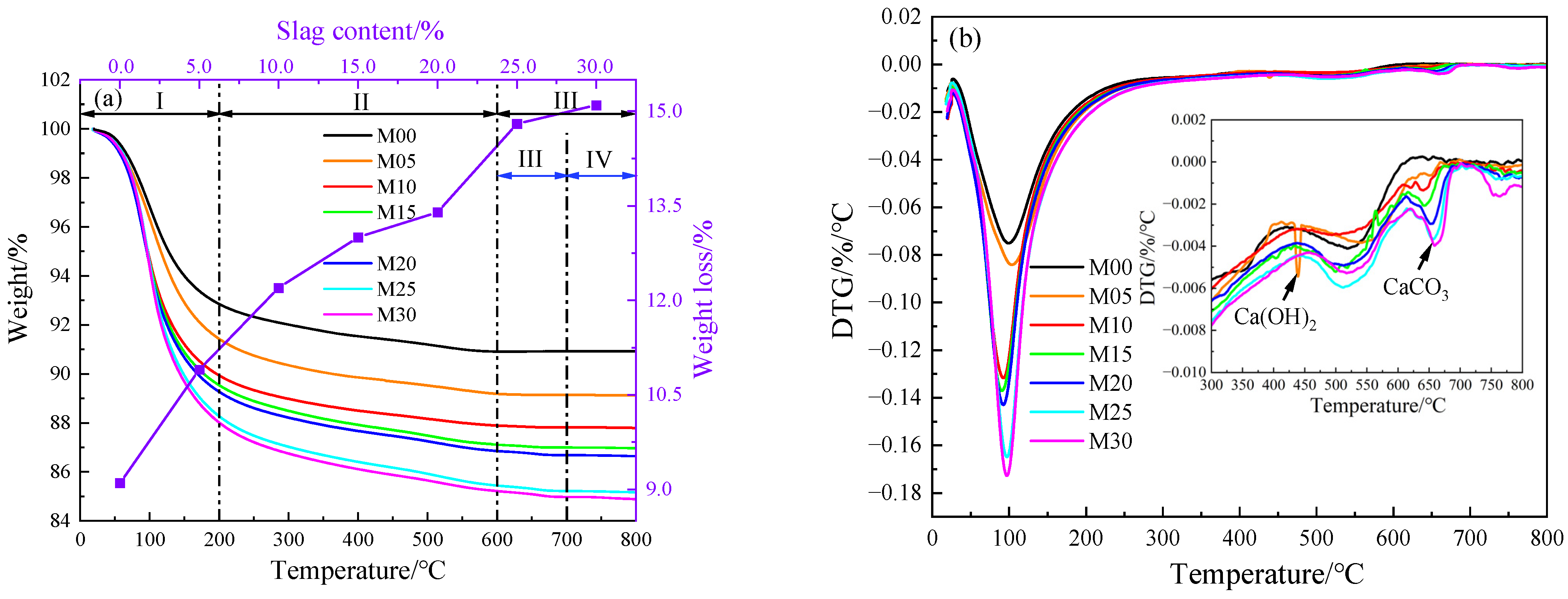
3.5. TGA
3.6. SEM
3.7. MIP
4. Internal Curing Mechanism
5. Conclusions
- (1)
- An increase in slag content resulted in an increase in the setting time of FAGM. The setting time of FAGM was reduced from 3160 min to 1290 min after adding just 5% slag. Adding 30% slag can shorten the setting time of FAGM to 140 min, with a reduction of 95.6%.
- (2)
- Slag exerted an internal curing effect on FAGM. The more slag was added, the greater its internal curing effect. A higher curing temperature in FAGM was accompanied by a faster polymerization reaction of fly ash.
- (3)
- The compressive strength of FAGM improved as the slag content increased. The compressive strength of FAGM with 30% slag added was 33.5 MPa and 73.4 MPa on the 3rd and 28th days, respectively, with increases of 2170.2% and 110.3%. The 28-day flexural and direct tensile strength increased by 171.4% and 247%, respectively, after the addition of 30% slag.
- (4)
- SEM and MIP tests revealed that incorporating slag enhanced the compactness of FAGM while decreasing its porosity. Therefore, the compressive strength of FAGM rose as the slag content increased.
Author Contributions
Funding
Data Availability Statement
Conflicts of Interest
References
- Huisheng, S.; Ming, X.; Xiaolu, G. Research Development on Mechanism of Fly Ash-based Geopolymer and Effect of Each Component. J. Chin. Ceram. Soc. 2013, 41, 972–980. (In Chinese) [Google Scholar]
- Ge, X.; Hu, X.; Shi, C. Impact of micro characteristics on the formation of high-strength Class F fly ash-based geopolymers cured at ambient conditions. Construct. Build. Mater. 2022, 352, 129074. [Google Scholar] [CrossRef]
- Ge, X.; Hu, X.; Shi, C. The effect of different types of class F fly ashes on the mechanical properties of geopolymers cured at ambient environment. Cem. Concr. Compos. 2022, 130, 104528. [Google Scholar] [CrossRef]
- Zhu, H.; Zhang, Y.; Li, H. Effect of Ultra-fine Fly Ash and Superplasticizer on Properties of AlkaliActivated Fly Ash Binder at Room Temperature. J. Build. Mater. 2023, 26, 419–428. (In Chinese) [Google Scholar]
- Liu, Y.; Zhang, Z.; Shi, C.; Li, N.; Lei, L. Influence of Silica Fume on Performance of High-Strength Geopolymer. J. Chin. Ceram. Soc. 2020, 48, 1689–1699. (In Chinese) [Google Scholar] [CrossRef]
- Miller, S.A.; John, V.M.; Pacca, S.A.; Horvath, A. Carbon dioxide reduction potential in the global cement industry by 2050. Cem. Concr. Res. 2017, 114, 115–124. [Google Scholar] [CrossRef]
- Zhang, J.; Yang, K.; Wu, J.; Duan, Y.; Ma, Y.; Ren, J.; Yang, Z. Scenario simulation of carbon balance in carbon peak pilot cities under the background of the “dual carbon” goals. Sustain. Cities Soc. 2024, 116, 105910. [Google Scholar] [CrossRef]
- Zhang, L.; Ruan, J.; Zhang, Z.; Qin, Z.; Lei, Z.; Cai, B.; Wang, S.; Tang, L. City-level pathways to carbon peak and neutrality in China. Cell Rep. Sustain. 2024, 1, 100102. [Google Scholar] [CrossRef]
- Li, Z.; Fei, M.E.; Huyan, C.; Shi, X. Nano-engineered, Fly Ash-Based Geopolymer Composites: An Overview. Resour. Conserv. Recycl. 2020, 168, 105334. [Google Scholar] [CrossRef]
- Luo, Y.; Klima, K.M.; Brouwers, H.J.H.; Yu, Q. Effects of ladle slag on Class F fly ash geopolymer: Reaction mechanism and high temperature behavior. Cem. Concr. Compos. 2022, 129, 104468. [Google Scholar] [CrossRef]
- Mehta, A.; Siddique, R.; Singh, B.P.; Aggoun, S.; Łagód, G.; Barnat-Hunek, D. Influence of various parameters on strength and absorption properties of fly ash based geopolymer concrete designed by Taguchi method. Construct. Build. Mater. 2017, 150, 817–824. [Google Scholar] [CrossRef]
- Zhang, H.; He, B.; Chen, W.; Ai, J.; Zhu, X.; Jiang, Z. Investigating the influence of fibre type and content on the toughness and ductility of geopolymer mortar with acoustic emission technology. Cem. Concr. Compos. 2024, 147, 105434. [Google Scholar] [CrossRef]
- Zhang, H.; Li, L.; Yuan, C.; Wang, Q.; Sarker, P.K.; Shi, X. Deterioration of ambient-cured and heat-cured fly ash geopolymer concrete by high temperature exposure and prediction of its residual compressive strength. Construct. Build. Mater. 2020, 262, 120924. [Google Scholar] [CrossRef]
- Zhang, H.; Li, L.; Sarker, P.K.; Long, T.; Shi, X.; Wang, Q.; Cai, G. Investigating Various Factors Affecting the Long-Term Compressive Strength of Heat-Cured Fly Ash Geopolymer Concrete and the Use of Orthogonal Experimental Design Method. Int. J. Concr. Struct. Mater. 2019, 13, 1–18. [Google Scholar] [CrossRef]
- Zhang, Y.; Xiao, R.; Jiang, X.; Li, W.; Zhu, X.; Huang, B. Effect of particle size and curing temperature on mechanical and microstructural properties of waste glass-slag-based and waste glass-fly ash-based geopolymers. J. Clean. Prod. 2020, 273, 122970. [Google Scholar] [CrossRef]
- Suwan, T.; Fan, M.; Braimah, N. Micro-mechanisms and compressive strength of Geopolymer-Portland cementitious system under various curing temperatures. Mater. Chem. Phys. 2016, 180, 219–225. [Google Scholar] [CrossRef]
- Zhu, H.; Yu, C.; Zhang, X.; Qiao, P.; Li, H. Effect of Fly Ash Properties on Strength Development of Microwave-Heated Alkali-Activated Binder. J. Build. Mater. 2023, 26, 1–10. (In Chinese) [Google Scholar]
- Zhang, H.; Ai, J.; Ren, Q.; Zhu, X.; He, B.; Jiang, Z. Understanding the strength evolution of alkali-activated slag pastes cured at subzero temperature. Cem. Concr. Compos. 2023, 138, 104993. [Google Scholar] [CrossRef]
- Puligilla, S.; Mondal, P. Role of slag in microstructural development and hardening of fly ash-slag geopolymer. Cem. Concr. Res. 2013, 43, 70–80. [Google Scholar] [CrossRef]
- Gao, X.; Yu, Q.L.; Brouwers, H.J.H. Reaction kinetics, gel character and strength of ambient temperature cured alkali activated slag–fly ash blends. Construct. Build. Mater. 2015, 80, 105–115. [Google Scholar] [CrossRef]
- Nath, P.; Sarker, P.K. Effect of GGBFS on setting, workability and early strength properties of fly ash geopolymer concrete cured in ambient condition. Construct. Build. Mater. 2014, 66, 163–171. [Google Scholar] [CrossRef]
- Fang, G.; Wang, Q.; Zhang, M. In-situ X-ray tomographic imaging of microstructure evolution of fly ash and slag particles in alkali-activated fly ash-slag paste. Compos. Part B-Eng. 2021, 224, 109221. [Google Scholar] [CrossRef]
- Zhang, H.; Chen, W.; He, B.; Zhu, X.; Jiang, Z. Compressive behaviour and microstructure of geopolymer mortar subjected to cryogenic freeze-thaw cycle: Effects of cycles and polypropylene fiber. Cem. Concr. Compos. 2024, 149, 105505. [Google Scholar] [CrossRef]
- GB/T 2419-2005; Test Method for Fluidity of Cement Mortar. General Administration of Quality Supervision, Inspection and Quarantine of the People’s Republic of China: Beijing, China, 2005.
- JGJ/T 136-2017; Technical Specification for Testing Compressive Strength of Masonry Mortar by Penetration Resistance Method. Ministry of Housing and Urban-Rural Construction of the People’s Republic of China: Beijing, China, 2017.
- GB/T 12959-2008; Method for Determining the Heat of Hydration of Cement. Inspection and Quarantine of the People’s Republic of China: Beijing, China, 2005.
- GB/T 17671-2021; Method of Testing Cements Determination of Strength. General Administration of Quality Supervision, Inspection and Quarantine of the People’s Republic of China: Beijing, China, 2021.
- Liu, J.; Li, Q.; Xu, S. Influence of nanoparticles on fluidity and mechanical properties of cement mortar. Construct. Build. Mater. 2015, 101, 892–901. [Google Scholar] [CrossRef]
- Kuang, F.; Long, Z.; Kuang, D.; Guo, R.; Sun, J. Experimental study on preparation and properties of low content rubberized geopolymer mortar. Construct. Build. Mater. 2022, 352, 128980. [Google Scholar] [CrossRef]
- Huang, H.; Guo, M.; Zhang, W.; Zhang, S. Mechanical property and microstructure of geopolymer concrete based on fly ash and slag. J. Harbin Inst. Technol. 2022, 54, 11. (In Chinese) [Google Scholar]
- Lemougna, P.N.; Nzeukou, A.; Aziwo, B.; Tchamba, A.B.; Wang, K.-T.; Melo, U.C.; Cui, X.-M. Effect of slag on the improvement of setting time and compressive strength of low reactive volcanic ash geopolymers synthetized at room temperature. Mater. Chem. Phys. 2020, 239, 122077. [Google Scholar] [CrossRef]
- Zhang, S.; Keulen, A.; Arbi, K.; Ye, G. Waste glass as partial mineral precursor in alkali-activated slag/fly ash system. Cem. Concr. Res. 2017, 102, 29–40. [Google Scholar] [CrossRef]
- Dehghani, A.; Aslani, F.; Ghaebi Panah, N. Effects of initial SiO2/Al2O3 molar ratio and slag on fly ash-based ambient cured geopolymer properties. Construct. Build. Mater. 2021, 293, 123527. [Google Scholar] [CrossRef]
- Kumar, S.; Kumar, R.; Mehrotra, S.P. Influence of granulated blast furnace slag on the reaction, structure and properties of fly ash based geopolymer. J. Mater. Sci. 2010, 45, 607–615. [Google Scholar] [CrossRef]
- Chithiraputhiran, S.; Neithalath, N. Isothermal reaction kinetics and temperature dependence of alkali activation of slag, fly ash and their blends. Construct. Build. Mater. 2013, 45, 233–242. [Google Scholar] [CrossRef]
- Bernal, S.A.; Provis, J.L.; Myers, R.J.; San Nicolas, R.; van Deventer, J.S.J. Role of carbonates in the chemical evolution of sodium carbonate-activated slag binders. Mater. Struct. 2015, 48, 517–529. [Google Scholar] [CrossRef]
- Provis, J.L.; Van Deventer, J.S.J. Geopolymers: Structures, Processing, Properties and Industrial Applications; Elsevier: Amsterdam, The Netherlands, 2009. [Google Scholar]
- Sun, B.; Ye, G.; de Schutter, G. A review: Reaction mechanism and strength of slag and fly ash-based alkali-activated materials. Construct. Build. Mater. 2022, 326, 126843. [Google Scholar] [CrossRef]
- Han, F.; Zhu, Z.; Zhang, H.; Li, Y.; Fu, T. Effect of Steel Slag on the Properties of Alkali-Activated Slag Material: A Comparative Study with Fly Ash. Materials 2024, 17, 2495. [Google Scholar] [CrossRef]
- Bernal, S.A.; Provis, J.L. Durability of alkali-activated materials: Progress and perspectives. J. Am. Ceram. Soc. 2014, 97, 997–1008. [Google Scholar] [CrossRef]
- Puertas, F.; Fernández-Jiménez, A. Mineralogical and microstructural characterisation of alkali-activated fly ash/slag pastes. Cem. Concr. Compos. 2003, 25, 287–292. [Google Scholar] [CrossRef]











| Materials | Al2O3 | SiO2 | Fe2O3 | CaO | Na2O | MgO | K2O | SO3 | P2O5 | TiO2 | Others |
|---|---|---|---|---|---|---|---|---|---|---|---|
| Fly ash | 18.95 | 66.38 | 2.79 | 3.97 | 2.74 | 1.70 | 2.01 | 0.16 | 0.35 | 0.52 | 0.43 |
| Slag | 18.74 | 33.09 | 0.25 | 30.80 | - | 12.84 | 0.18 | 2.70 | - | 0.79 | 0.61 |
| Mixtures | Quartz Sand | Binder | Alkali Activator (AA) | Na2SiO3 Solution | NaOH Solution | AA/Binder | |
|---|---|---|---|---|---|---|---|
| Fly Ash | Slag | ||||||
| M00 | 1178 | 730.0 | 0.0 | 324.84 | 216.56 | 108.28 | 0.44 |
| M05 | 1178 | 693.5 | 36.5 | 324.84 | 216.56 | 108.28 | 0.44 |
| M10 | 1178 | 657.0 | 73.0 | 324.84 | 216.56 | 108.28 | 0.44 |
| M15 | 1178 | 620.5 | 109.5 | 324.84 | 216.56 | 108.28 | 0.44 |
| M20 | 1178 | 584.0 | 146.0 | 324.84 | 216.56 | 108.28 | 0.44 |
| M25 | 1178 | 547.5 | 182.5 | 324.84 | 216.56 | 108.28 | 0.44 |
| M30 | 1178 | 511.0 | 219.0 | 324.84 | 216.56 | 108.28 | 0.44 |
| Mixtures | 200 °C | 600 °C | 700 °C | 800 °C |
|---|---|---|---|---|
| M00 | 7.2 | 9.1 | 9.1 | 9.1 |
| M05 | 8.6 | 10.8 | 10.9 | 10.9 |
| M10 | 10.1 | 12.1 | 12.2 | 12.2 |
| M15 | 10.5 | 12.9 | 13.0 | 13.0 |
| M20 | 10.7 | 13.2 | 13.3 | 13.4 |
| M25 | 11.7 | 14.6 | 14.8 | 14.8 |
| M30 | 12.0 | 14.8 | 15.0 | 15.1 |
| Mixtures | Porosity/% | Cumulative Pore Volume/mL.g−1 | Pore Volume Distribution/% | ||||
|---|---|---|---|---|---|---|---|
| <0.01 μm | 0.01~0.1 μm | 0.1~1 μm | 1~10 μm | >10 μm | |||
| M00 | 7.12 | 0.034 | 10.01 | 42.02 | 9.68 | 24.12 | 12.18 |
| M05 | 6.12 | 0.044 | 44.03 | 16.82 | 8.70 | 23.92 | 6.53 |
| M15 | 4.87 | 0.025 | 35.56 | 14.20 | 6.12 | 32.14 | 11.98 |
| M30 | 4.07 | 0.022 | 14.65 | 19.92 | 15.08 | 46.59 | 3.77 |
Disclaimer/Publisher’s Note: The statements, opinions and data contained in all publications are solely those of the individual author(s) and contributor(s) and not of MDPI and/or the editor(s). MDPI and/or the editor(s) disclaim responsibility for any injury to people or property resulting from any ideas, methods, instructions or products referred to in the content. |
© 2024 by the authors. Licensee MDPI, Basel, Switzerland. This article is an open access article distributed under the terms and conditions of the Creative Commons Attribution (CC BY) license (https://creativecommons.org/licenses/by/4.0/).
Share and Cite
Xiao, L.; Zhang, C.; Zhang, H.; Jiang, Z. Internal Curing Effects of Slag on Properties and Microstructure of Ambient-Cured Fly Ash-Based Geopolymer Mortar. Buildings 2024, 14, 3846. https://doi.org/10.3390/buildings14123846
Xiao L, Zhang C, Zhang H, Jiang Z. Internal Curing Effects of Slag on Properties and Microstructure of Ambient-Cured Fly Ash-Based Geopolymer Mortar. Buildings. 2024; 14(12):3846. https://doi.org/10.3390/buildings14123846
Chicago/Turabian StyleXiao, Li, Chao Zhang, Hongen Zhang, and Zhengwu Jiang. 2024. "Internal Curing Effects of Slag on Properties and Microstructure of Ambient-Cured Fly Ash-Based Geopolymer Mortar" Buildings 14, no. 12: 3846. https://doi.org/10.3390/buildings14123846
APA StyleXiao, L., Zhang, C., Zhang, H., & Jiang, Z. (2024). Internal Curing Effects of Slag on Properties and Microstructure of Ambient-Cured Fly Ash-Based Geopolymer Mortar. Buildings, 14(12), 3846. https://doi.org/10.3390/buildings14123846

