Next Article in Journal
Environmental Impact Minimization Model for Storage Yard of In-Situ Produced PC Components: Comparison of Dung Beetle Algorithm and Improved Dung Beetle Algorithm
Previous Article in Journal
Bond-Slip Behavior Between C-Shaped Steel and Foamed Concrete in CTS Composite Structural Members
 
 
Font Type:
Arial Georgia Verdana
Font Size:
Aa Aa Aa
Line Spacing:
Column Width:
Background:
Article

Research on Natural Gas Leakage and Explosion Mechanisms in a Container House

1
State Key Laboratory of Target Vulnerability Assessment, Luoyang 471023, China
2
Engineering Protection Research Department, Defence Engineering Institute, AMS, Luoyang 471023, China
*
Author to whom correspondence should be addressed.
Buildings 2024, 14(12), 3752; https://doi.org/10.3390/buildings14123752
Submission received: 15 October 2024 / Revised: 11 November 2024 / Accepted: 20 November 2024 / Published: 25 November 2024
(This article belongs to the Section Building Structures)

Abstract

As unconventional building structures, container houses are now widely used in urban tourism to create characteristic buildings. Nowadays, natural gas accidents occur frequently in cities and towns; however, the development of laws and influencing factors of natural gas accidents in container buildings have rarely been studied. In this paper, a natural gas explosion test was carried out in an ordinary container house, and a numerical simulation was carried out according to the test results. The influence of methane proportion, ignition position, pressure-relief area, and pressure-relief intensity on the explosion load was analyzed. Research shows that natural gas will gather from top to bottom during the process of leakage and diffusion, and vertical stratification will occur. The most unfavorable working condition is 9.5% methane. Using the roof of the container house as a pressure-relief panel can effectively control the influence range of natural gas explosion accidents and help reduce accident losses. It is suggested that the stacking of container buildings should be reduced as much as possible, and the roof strength should be weakened to ensure structural safety. The research results have certain reference values for the disaster prevention and reduction design of urban characteristic buildings.

1. Introduction

A container house refers to a simple house with doors and windows, which is transformed from containers. It has the characteristics of disassembly, easy recycling, and high structural strength, and is a typical representative of assembled buildings. Container houses are widely used to build characteristic commercial blocks, pedestrian streets, markets, and shops because of their changeable shapes and convenient construction, such as Changzhou “T-Park” commercial district, Shanghai Minhang “Happy Market”, Yuxi “Yujian Provincial Transportation” business block and Luoyang “Busy Party” commercial pedestrian street and so on. Commercial blocks, pedestrian streets, markets, and other characteristic container buildings are inseparable from the use of natural gas. As a widely used clean energy source, natural gas has frequent explosion accidents [1]. Existing research on natural gas explosion accidents is mostly based on traditional buildings, such as brick−concrete and steel−concrete, and rarely involves the unconventional building of container houses. Compared with frame structures, container houses have the characteristics of uniform strength in all directions, and the damage consequences under a gas explosion load are difficult to predict. Moreover, ordinary steel-concrete buildings are generally multi-story structures, and the explosion vents are mostly horizontal. However, container houses are generally one-story or two-story buildings, and the horizontal distance between buildings is relatively close. Therefore, the choice of explosion venting method must be different from that of traditional buildings. In order to reduce the damage consequences of natural gas accidents in characteristic container buildings, it is urgent to carry out natural gas explosion tests in container buildings.
Many researchers have been concerned about the influence of methane concentration on gas explosions. Yan et al. [2] obtained through experiments that the main influencing factors affecting gas explosions in public tunnels are the mixed gas concentration, gas content, and ignition position. Li et al. [3] carried out gas explosion tests in a container with a volume of 1 m3 and a ventilation port at the top; Yang et al. [4] carried out a series of tests in cube frames covered with polyethylene films with volumes of 1 m3, 8 m3, and 27 m3; Bao et al. [5] carried out 29 gas explosion tests in a structure with a volume of 12 m3; Zhang et al. [6] carried out gas explosion tests in a 10 m3 container, and all obtained that a methane concentration of 9.5% would generate the maximum load. Meanwhile, Wang et al. [7] established an explosion pipeline system and found that the flame speed, temperature, and explosion pressure would reach a maximum at a methane concentration of 10%. Xu et al. [8] found that under real-world conditions, a vertical concentration gradient would be formed within the structure after natural gas leakage, which would cause the explosion load to decrease. Moreover, factors such as the structure, form, and size of the tests will all have a relatively large impact on the test results. Therefore, conducting prototype tests can reflect the gas explosion load most realistically.
In a confined space, the pressure-relief port has a great influence on the gas explosion load. Tomlin et al. [9] determined the influence of pressure-relief port size and plugging rate on gas explosion through experiments. Some scholars have used the method of combining experiments and numerical simulations to discuss the explosion pressure in a long and narrow confined space and found that the existence of a vent can effectively reduce the explosion pressure [10,11,12]. Moreover, Xing et al. [13] found that with an increase in the pressure-relief area, the pressure oscillation gradually attenuated compared with the closed pipeline, but a Helmholtz oscillation appeared. Ajrash et al. [14] conducted a gas explosion test in a 30 m-long detonation pipe, and there were obvious phenomena of pressure rise and flame deflagration speed decrease in the upstream and downstream of detonation corresponding to the position of the vent. Yuan et al. [15] found that when the ignition point is far away from the pressure-relief port, the combustion rate and velocity of the outdoor jet flame increase significantly, thus comprehensively enhancing the trigger energy of the external explosion. Li et al. [16] found in an explosion test of a methane−hydrogen mixture that external explosion is particularly important for the design of a pressure-relief port. The research shows that Taylor’s spherical piston theory can accurately predict the external explosion load and provide the necessary theoretical knowledge and practical evidence for designing a safer ventilation and pressure-relief system. Most of the above studies were based on narrow pipes or small rigid containers, and the container house, as a relatively weak structure, has not found any relevant literature on its pressure-relief design.
Owing to limited funds and safety, full-scale explosion tests are often not easy to carry out. Most scholars have used numerical simulation methods for extended research. A natural gas explosion is a complex energy-release process that integrates multiple disciplines. In existing research, computational fluid dynamics (CFD) is commonly used to simulate and analyze the explosion process. Pang et al. [17] used AutoReaGas software to study the distribution law of the indoor natural gas pressure-relief overpressure peak structure under different parameter conditions such as opening pressure, opening time, and pressure-relief ratio of different pressure-relief surfaces. Lv et al. [18] used the three-dimensional hydrodynamic simulation software Fluidyn-MP to study the influence of different pressure-relief opening pressures in branch pipelines on the methane deflagration pressure in confined spaces. Li et al. [19] designed a new pressure-relief door and used Fluent software to verify the pressure-relief effect of the pressure-relief door. Cao et al. [20] studied the evolution of the water-sealed fire-proof barrier pressure-relief field of a methane-air mixture at a metered concentration (9.5 vol%) through Fluent numerical simulation and revealed the water-sealed fire-proof barrier pressure-relief mode of gas-transmission pipelines at low concentrations. Henry et al. [21] used Fluent to describe the explosion consequences in the “Pajaritos” petrochemical plant in Coatzacoalcos, Mexico. Sajid et al. [22] used Fluent to conduct a simulation analysis of the explosion process. Luo et al. [23] used FLACS (Flame Acceleration Simulator) to conduct a numerical simulation of natural gas explosions, and the simulation results were consistent with the experimental results, verifying the reliability of the software. Li et al. [24] proposed a numerical simulation study of gas explosions in confined spaces based on the analytic hierarchy process and used FLACS software to analyze the gas explosion process. Bi et al. [25] used FLACS software to study the change in turbulent kinetic energy caused by pressure-relief openings in closed pipelines, guiding the design of the size and position of pressure-relief openings. In addition, many scholars use FLACS software to model many scenes, such as garages, houses, parking lots, and tunnels, and simulate and analyze the gas explosion [26,27,28,29,30,31,32].
The purpose of this research is to obtain the laws of natural gas leakage and diffusion, the development laws of natural gas explosion flames and loads, and their influencing factors in container houses so as to provide guidance for the design of ways to prevent natural gas accidents in urban characteristic container groups. Due to the relatively low strength of container houses, it is difficult to conduct natural gas explosion tests multiple times. Therefore, this paper adopts a method combining prototype tests and numerical simulations to carry out research. The explosion load and structural failure forms are obtained through prototype tests. Based on the prototype tests, FLACS-CFD 21.3 software is used to carry out extended research on numerical simulations. The influence of multiple factors, such as gas content, ignition position, pressure-relief area, and pressure-relief intensity, on natural gas explosion loads is analyzed in depth.

2. Natural Gas Explosion Test in the Prototype Container House

2.1. Experimental Design

2.1.1. Test System

As shown in Figure 1, the test system consists of four parts: the test structure, gas supply system, ignition system, and measurement system.
(1) Due to the limited test funds, the test structure adopts an ordinary container house, and the structural strength is lower than that of the container house converted from sea containers. However, according to the test results, the explosion loads of natural gas in container houses with different intensities will be studied using pressure-relief intensity in the numerical simulation.
(2) The gas supply system includes an air compressor, bottled methane gas, and a gas flow monitoring device. During the test, the volume of methane is calculated according to the proportion of methane content and the internal volume of the test structure. The gas flow monitoring device controls the input gas volume and records the gas flow rate. After the methane is filled, the air compressor is turned on to inject a small amount of air to ensure that all the methane gas in the filling pipeline enters the test area.
(3) The ignition system mainly includes an igniter. In the test, an explosion-proof adjustable igniter is used for remote ignition, which can provide ignition energy ranging from 35 mJ to 20 J.
(4) The measurement system mainly includes video recording devices, sensors, and data acquisition instruments. The video recording devices include a methane remote sensing camera for capturing the methane leakage and diffusion trajectory, and a drone for shooting explosion images. Among them, the sensitivity of the methane remote sensing camera is 100 ppm, and it can detect 10 cm × 10 cm methane gas clouds at a distance of 50 m. The sensor adopts a DH4100 high-frequency air pressure sensor with a measuring range of 2 MPa and a sampling frequency of 100 kHz.

2.1.2. Test Condition

(1)
Gas leakage and diffusion test in container houses
First, the natural gas leakage and diffusion test is carried out inside the test structure. Because the main components of natural gas are 95% methane, a small amount of ethane, propane, butane, H2S, CO2, N2, H2O, and a trace amount of inert gases. Therefore, methane gas is used instead of natural gas in the experiment, and a methane telemetry camera is used to capture the gas leakage and diffusion trajectory.
(2)
Gas implosion test in container houses
After the leakage test, the natural gas explosion test is carried out. First, according to the proportion of 9.5% methane, a certain amount of methane gas is filled into the structure. Then, the ignition is completed by the igniter located 1.2 m below the top plate. The air pressure inside the structure is measured by a piezoresistive air pressure sensor with a range of 2 MPa. The sensors are arranged at the center of the top plate and side wall and at 1/4 and 3/4 in the X direction.

2.2. Analysis of Test Phenomena

2.2.1. Analysis of Phenomena in the Gas Leakage and Diffusion Test in the Container House

As shown in Figure 2 and Figure 3, the diameter of the leakage hole is 40 mm, and the gas flow rate is about 7.9 m/s in the test. Figure 4 shows the methane diffusion trajectory captured by a methane telemetry camera. It can be seen that due to the low density of methane, the leaked gas moves upward under the buoyancy, and it will also spread around during the upward movement. After 15 s of leakage, there is still no gas accumulation around the leakage hole. It can be seen that when natural gas leaks in a confined space, gas will gather from top to bottom, which will lead to vertical stratification of gas in the space.

2.2.2. Analysis of Phenomena in the Gas Explosion Test in the Container House

Figure 5 shows the process of flame development and structural failure during the test. It can be seen that when methane accounts for 9.5%, the gas is in a deflagration state. The failure state of the structure is as follows: the top plate is broken from the middle, pushed up, and rotated by about 30, and the side wall is slightly turned outwards. In the process of explosion, the main damaged part is the top plate of the structure, but the window sealed with plastic film will not be damaged until the top plate falls back. Therefore, in the subsequent numerical simulation process, all parts except the top plate can be regarded as rigid bodies. Because the roof of the structure is the main damage site, the explosion load and the overflowing flame mainly spread to the upper part of the structure, which has a small impact on the surrounding environment.
During the test, the cable of the roof plate sensor was ignited by an overflowing flame, resulting in data loss. Only the measuring points (3, 0, 1.25) at the center of the side wall yielded the test explosion load curve, as shown in Figure 6. The explosion generates a maximum load of about 50.69 kPa.

3. Verification of Numerical Simulation Model

As a mature CFD software, FLACS-CFD 21.3 has high calculation reliability. The basic governing equations include the mass conservation equation, momentum conservation equation, energy conservation equation, component transfer equation, and turbulence equation. The details are as follows:
(1) Mass conservation equation
t β v ρ + x j β j ρ u j = m ˙ V
(2) Momentum conservation equation
t β v ρ u i + x j β j ρ u i u j = β v p x i + x j β j σ i j + F o , i + F w , i + β v ρ ρ 0 g i
(3) Energy conservation equation
t β v ρ h + x j β j ρ u i h = x j β j μ e f f σ h h x j + β v D p D t + Q ˙ V
(4) Component transfer equation
t β v ρ Y f u e l + x j β j ρ u i Y f u e l = x j β j μ e f f σ h Y f u e l x j + R f u e l
(5) Turbulence equation
Turbulence kinetic energy (k) transfer equation
t ( β υ ρ k ) + x j ( β j ρ u j k ) = p x i ( β j μ e f f σ k k x j ) + β υ P k β υ ρ ε
Turbulence kinetic energy dissipation rate (ε) transport equation
t ( β υ ρ ε ) + x j ( β j ρ u j ε ) = p x i ( β j μ e f f σ ε ε x j ) + β υ P ε C 2 ε β υ ρ ε 2 k
In the above formula, βv is the volume porosity, ρ is the density (kg/m3), xj is the j coordinate space variable, βj is the area porosity in the j direction, uj is the velocity component (m/s) in the j direction, m ˙ is the mass rate (kg/s), V is the volume (m3), ui is the velocity component (m/s) in i direction, δij is the cronk trigonometric function, Fo,j is the flow resistance (N) caused by subnet blocking, Fw,i are the flow resistance (N) caused by subnet wall, g is the gravitational acceleration (m/s2), h is the enthalpy (J/kg), µeff is the effective viscosity (Pa s), σh is the Pelant-Schmidt enthalpy number, D is the diffusion coefficient (m2/s), P is the pressure (Pa), t is time (s), Q ˙ is heat flow (J/s), Yfuel is fuel mass fraction, k is turbulence kinetic energy (m2/s2), σk is the turbulent Prandtl number of k, Pk is the generation of turbulence kinetic energy (m2/s2), ε is the turbulence kinetic energy dissipation (m2/s3), δξ is the Prandtl constant of turbulence kinetic energy dissipation rate, Pξ is the generation rate of turbulence kinetic energy, and C is the constant in the k-ε formula (=1.92).

3.1. Verification of Natural Gas Leakage and Diffusion Simulation Model

3.1.1. Model Parameter Setting

The Dispersion and Ventilation module in FLACS is used to simulate the natural gas leakage and diffusion test. According to the actual situation of the test, methane is used instead of natural gas. According to the actual conditions of different working conditions, the inflation time is calculated at best, and the calculation time is delayed by about 40 s to simulate the ignition preparation process. Then, the calculation results for the subsequent natural gas explosion simulation are saved. The simulated working conditions are shown in Table 1. The model contains key information such as the structure, leakage point, monitoring point, and boundary conditions. Among them, the structure is surrounded by six plates that are closely connected to each other. In order to ensure that the porosity of the whole structure is 0, the structure must coincide with the grid line. The leakage point is set strictly according to the actual test, and the relevant test parameters are shown in Figure 2 and Figure 3. The leakage type is point leakage, the leakage area is 0.0013 m2, the leakage speed is 7.89 m/s, and the leakage direction is −X direction. Because the leakage point cannot coincide with the grid line, the coordinates of the leakage point are (3.01, 1.51, 0.15), and six monitoring points are set inside the structure. Because the monitoring points cannot coincide with the grid lines, they are set as shown in Table 2 and Figure 7. The boundary conditions are all set to no wind boundary (Nozzle); The CFL (Courant-Friedrich-Levy) number based on sound velocity is set to 20, and the CFL (Courant-Friedrich-Levy) number based on fluid velocity is set to 2, so as to automatically select the appropriate time step.

3.1.2. Mesh Independence Analysis

Mesh generation is a prerequisite for ensuring calculation accuracy. If the mesh size is too large, the calculation results will be distorted; if the mesh size is too small, the calculation efficiency will be reduced. Therefore, before conducting numerical simulations, it is necessary to first perform mesh independence verification to screen for an appropriate mesh size. Mesh sizes of 0.1 m, 0.125 m, and 0.25 m are used, respectively, to simulate Working Condition 1. Measuring points MP2, MP4, and MP6 are selected for comparison. The results are shown in Figure 8. Judging from the final results, the calculation results under the three mesh sizes do not differ much. However, from the perspective of the diffusion process, the trends of mesh sizes 0.1 m and 0.125 m match well. Considering both calculation accuracy and calculation efficiency comprehensively, a mesh size of 0.125 m is selected. The mesh type is a uniform grid, and the grid size in all directions in the leakage space is 0.125 m. Mesh encryption must be carried out near the leakage hole, and the minimum grid size of the encrypted area is 0.05 m. The software will automatically adjust the mesh size to connect the refined area smoothly with the non-refined area.

3.1.3. Analysis of Numerical Simulation Results

Figure 9 shows the phenomenon of natural gas leakage and diffusion in the numerical simulation, which is basically consistent with the experimental phenomenon. When natural gas leaks, it will spread to the upper part of the structure due to buoyancy and also spread around due to air resistance and concentration difference. Moreover, the numerical simulation results also show that when it is close to the leakage hole, the gas propagation direction is dominated by the jet action and biased toward the −X direction. In the process of gradually moving away from the leakage hole, the direction of gas propagation began to be dominated by buoyancy and concentration differences and gradually turned vertically upward. This phenomenon was not observed in the experiment due to the problem of the shooting angle.
Figure 10 shows the methane distribution in the structure under working conditions LD1–LD4. The left—hand two-dimensional graph shows the X-Z (Y = 1.5) plane. It can be seen that the distribution of gas in the structure is in an unevenly stratified state, and the methane concentration decreases from top to bottom. When the proportion of methane is ≥9.5%, the methane gas within the explosive limit concentration range will fill the entire structure. At this time, ignition at any position within the structure will cause an explosion.

3.2. Verification of the Natural Gas Explosion Simulation Model

3.2.1. Model Parameter Setting

The Gas Explosion module in FLACS is used to simulate the natural gas explosion test. The model contains key information such as the structure, pressure plate, ignition position, monitoring point, and boundary conditions. Among them, the top plate of the structure will be deleted according to the test results, and two equal-area pressure-relief plates will be set at the original top plate position, and the type of pressure-relief plates is “Hinged Rigid”. The dimensions of the two pressure-relief plates are both (3 × 3 × 0) m, the quality is all 12 kg/m2, and the locations are Panel-1 (0, 0, 2.5) m and Panel-2 (3, 0, 2.5) m. When the pressure reaches 40 kPa, the pressure-relief plates will open by rotating 30° along the Y-axis, as shown in Figure 11. The ignition position cannot coincide with the grid line, and its coordinates are set as (3.01, 1.51, 1.31), and the ignition time is the final diffusion time of each leakage working condition. In order to compare with the test results, the coordinates of the monitoring point are set as (3.01, 0.01, 1.25). All boundary conditions are set as Plane Wave. The CFL (Courant-Friedrich-Levy) number based on the speed of sound is set to 5, and the CFL (Courant-Friedrich-Levy) number based on the fluid velocity is set to 0.2 so as to automatically select an appropriate time step.

3.2.2. Mesh Independence Analysis

The FLACS suggests that when using the GasExplosion module, the grid size should be reasonably selected according to the model size, and the grid size should not be too small. When the grid size is less than 0.015 m, Gexcon company should be contacted for feasibility evaluation. Therefore, in this paper, mesh sizes of 0.1 m, 0.125 m, and 0.25 m are selected for mesh independence analysis. The simulated working conditions are consistent with those of the test. As shown in Figure 12, due to the large number of influencing factors in the test, the cause of the large negative pressure in the test load is unknown. Therefore, the positive pressure part of the curve is used for comparison with the simulation results. It can be seen that when the mesh size is 0.1 m, it matches the test curve well. Therefore, this paper uses a mesh size of 0.1 m for the gas explosion simulation.

3.2.3. Analysis of Numerical Simulation Results

In FLACS, combustion products are used to represent the flame. Figure 13 shows the flame development process obtained by the experiment and numerical simulation. It can be seen that with the gradual increase in the opening of the roof, the combustion range gradually expands. This is because the unburned gas is first pushed out and then ignited after the structure is destroyed. Moreover, with an increase in the opening of the roof, the flame intensity in the structure increases. This is because structural damage leads to the inflow of fresh air, which increases the oxygen content.
In order to obtain the development law of the gas explosion load in the container, several measuring points in the structure are selected to analyze their pressure changes. Table 3 and Figure 14 show the coordinates of all the pressure measuring points. Among them, P1–P3 are arranged at a spacing of 1.25 m in the Z direction at the center of the structure, and P4, P2, and P5 are arranged at a spacing of 1.5 m in the +X direction at the center of the structure.
As shown in Figure 15, the numerical simulation results indicate that the pressure wave always precedes the combustion wave after ignition, which is the “ two-wave and three-zone” phenomenon generated during gas deflagration. “Two waves” refer to the combustion wave and the precursor shock wave. The combustion wave is the flame front. When the flame front propagates forward, the unreacted gas in front of the flame expands due to heat, generating the precursor shock wave. There is a certain distance between the precursor shock wave and the flame, thus dividing the gas cloud into three regions. “Three zones” refer to the reacted zone behind the flame front containing high-temperature combustion products, the unreacted zone in front of the precursor shock wave containing gas at room temperature, and the to-be-reacted zone between the flame front and the precursor shock wave containing heat expanded gas. Therefore, under the condition where the proportion of methane in an ordinary container house is 9.5%, the type of gas accident is deflagration, which is consistent with the experimental phenomenon.
Figure 16 shows the pressure time history curves of several pressure measurement points. It can be seen that, due to the relatively slow combustion reaction, the load rises relatively gently in the early stage, and the pressure values at each measurement point are relatively uniform. After the pressure in the container house reaches 40 kPa due to the damage to the roof plate, the load at the P1 measurement point closest to the roof plate drops sharply. After the roof plate is damaged, the development of the external flame delays the release of the internal pressure; thus, the pressures at the P2–P5 measurement points continue to rise. At X = 0.233 s, due to the influx of fresh air, the combustion reaction intensifies, resulting in a steep rising edge of the load.

4. Analysis of Influencing Factors on Gas Explosion Load

4.1. Influence of Gas Content on Explosion Load

Based on the previous leakage and diffusion simulation results, explosion simulations were carried out under four different methane proportions: 5%, 7.5%, 9.5%, and 11.5%. The results are shown in Figure 17. When the methane proportion is 9.5%, the peak value of the explosion load is the largest, approximately 54.81 kPa. When the methane proportion is 5%, the peak value of the explosion load is the smallest, approximately 40.64 kPa. The peak value of the load when the methane proportion is 7.5% is greater than that when the methane proportion is 11.5%. This is because an overly high methane proportion leads to a decrease in the oxygen proportion within the structure, thereby suppressing the combustion reaction.

4.2. Influence of Ignition Position on Explosion Load

Under the condition that methane accounts for 9.5%, four ignition positions with different heights are set according to the distance from the pressure-relief plate, all of which are located on the vertical line of (3.01, 1.51, z), and the heights are 0.11 m, 0.71 m, 1.31 m, and 2.49 m respectively, as shown in Figure 18. As shown in Figure 19, the peak value of the explosion load is the largest when the ignition height is 1.31 m, and the peak value of the explosion load is the smallest when the ignition height is 0.11 m. However, the peak value difference is not obvious. This is because when the pressure-relief intensity is high, the explosion load is influenced by both the ignition position and the gas concentration in the ignition area. The higher the ignition position, the easier it is for the unburned gas to spread to the lower low-concentration area so that it can come into contact with oxygen more fully. However, the greater the height, the greater is the gas concentration, which limits the combustion reaction.

4.3. Influence of Pressure-Relief Intensity on Explosion Load

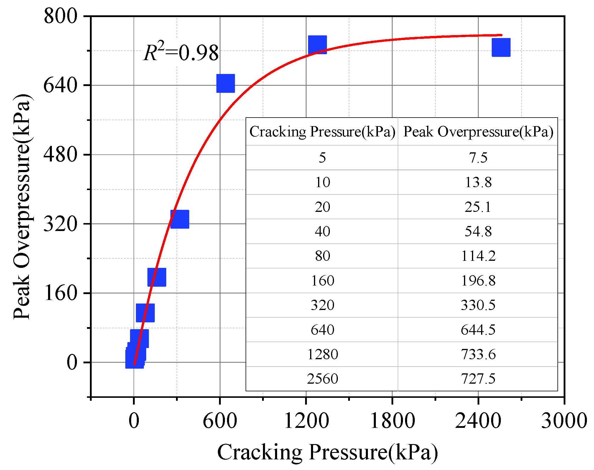
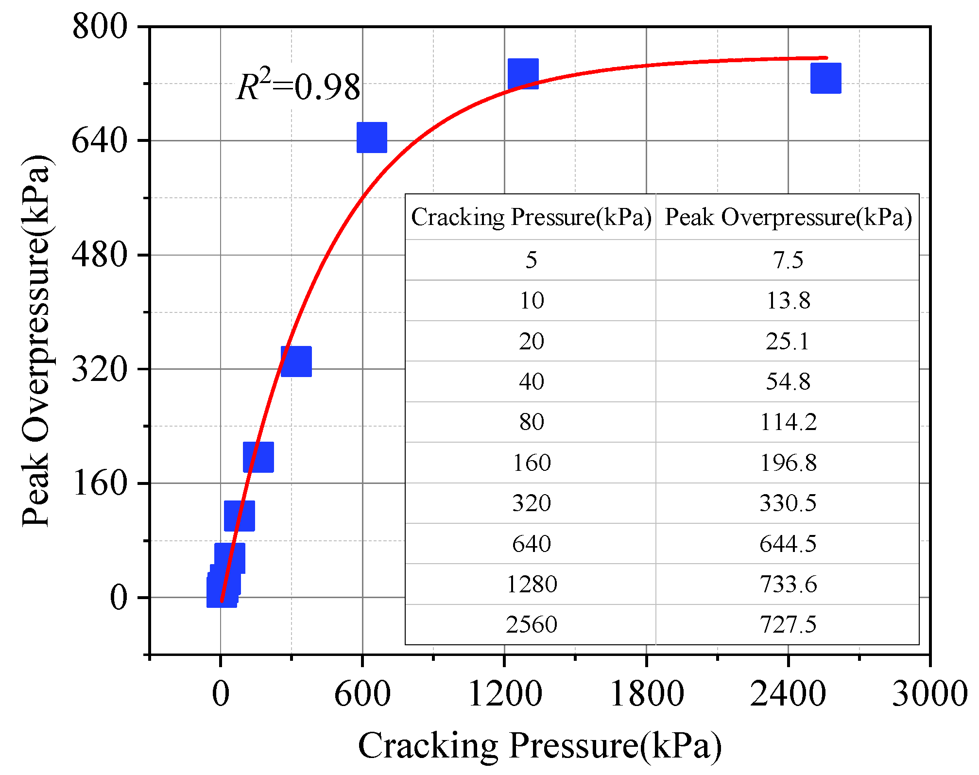
Under the condition with a methane proportion of 9.5%, the opening intensities of the pressure-relief plates are set as 5 kPa, 10 kPa, 20 kPa, 40 kPa, 80 kPa, 160 kPa, 320 kPa, 640 kPa, 1280 kPa, and 2560 kPa, respectively. As shown in Figure 20 and Figure 21, with an increase in the pressure-relief intensity, the peak value of the explosion load continues to increase. However, after the pressure-relief intensity is greater than 1280 kPa, the peak value of the load remains at a certain level and no longer increases. This can also explain, to a certain extent, the phenomenon of explosive power in gas explosion disasters, which varies greatly. Constant-pressure combustion and constant-volume combustion are two extreme working conditions in which the explosive power of gas is affected by the pressure-relief intensity. Among them, constant-pressure combustion means that the pressure remains unchanged during the combustion process, which can be regarded as a pressure-relief intensity of 0. Constant-volume combustion means that the volume remains unchanged during the combustion process, which can be regarded as the pressure-relief intensity being infinite. The gas explosion pressure of the methane-air mixture under constant-volume combustion can reach 7–9 times the initial pressure. For example, on 13 March 2024, a deflagration accident occurred in Yanjiao Town, Hebei, China. The accident site was a four-story brick-and-concrete residential building that was relatively closed. The structure was blown up, and the accident caused seven deaths and 27 injuries. On 1 January 2024, a leakage occurred at an LPG station in Pyeongchang, South Korea. The gas spread to the street and exploded, but the cars on the street were unharmed at the time of the accident.

4.4. Influence of Pressure-Relief Area on Explosion Load

Under the condition with a methane proportion of 9.5%, the opening angles of the pressure-relief plates are set as 15°, 30°, 60°, and 90°, respectively, to represent the size of the pressure-relief area. As shown in Figure 22, as the pressure-relief area increases, the peak value of the load gradually decreases. When the opening angle of the pressure-relief plate is increased from 15° to 30°, the peak load decreases by about 80%. However, when the opening angle of the pressure-relief plate is increased from 30° to 60°, the peak load decreases by about 12%. This indicates that under a certain specific working condition, there is a minimum pressure-relief area that can ensure the safety of the structure. For container houses, the minimum pressure-relief area can be calculated according to their volume. While ensuring the safety of the structure, its integrity is maintained to the greatest extent.

5. Conclusions

In this paper, research on gas leakage, diffusion, and explosion is carried out in an ordinary container house, and the laws of gas leakage and diffusion in the structure and the influencing factors of natural gas explosion load are analyzed and summarized. The results show that:
(1) In a container house, gas leakage is mainly affected by the jet, obstacle reflection, buoyancy, and concentration difference. With the distance increasing, the influence of buoyancy and concentration difference gradually dominates. Natural gas in the container house will gather from top to bottom after leakage, and its distribution is vertically uneven and stratified. When the leakage of natural gas exceeds 9.5% of the total volume, the natural gas within the explosion limit concentration range will fill the whole structure.
(2) The natural gas explosion accident in the container house is a deflagration accident. When a natural gas explosion accident occurs in an ordinary container house with low strength, a load of about 50.69 kPa will be generated. The test structure failed from the roof position. After the roof is destroyed, the flame mainly spreads to the upper space of the structure under the action of a pressure wave, which has little influence on the surrounding environment. Therefore, the characteristic buildings of container houses should minimize the stacking of containers, appropriately weaken the strength of the top panel, reduce the damage consequences, and influence the scope of natural gas explosion accidents.
(3) The gas explosion load in a container house is affected by many factors. The working condition with a methane content of 9.5% is the most unfavorable one. When methane content accounts for 7.5%, the peak load generated by the explosion is greater than that when methane content accounts for 11.5%. The ignition position has little effect on the gas explosion load. With the increase in pressure-relief intensity, the gas explosion can produce a peak load of 54.81~733.6 kPa. In order to reduce the explosion load, the roof strength of the container building should be reduced as much as possible to ensure structural safety.

Author Contributions

Methodology, Y.G., Y.D., R.F. and D.L.; Validation, R.F.; Investigation, Y.D. and H.W.; Resources, Y.G.; Data curation, Y.D., H.W., Z.W. and L.Z.; Writing—original draft, Y.D.; Writing—review & editing, Y.G., Y.D., D.L. and L.Z.; Visualization, Z.W.; Supervision, H.W.; Project administration, Y.G. All authors have read and agreed to the published version of the manuscript.

Funding

This research received no external funding.

Data Availability Statement

The original contributions presented in the study are included in the article, further inquiries can be directed to the corresponding author.

Conflicts of Interest

The authors declare no conflict of interest.

References

  1. Wu, J.; Zhou, R.; Xu, S.; Wu, Z. Probabilistic analysis of natural gas pipeline network accident based on Bayesian network. J. Loss Prev. Proc. Ind. 2017, 46, 126–136. [Google Scholar] [CrossRef]
  2. Yan, Q.; Zhang, Y.; Sun, Q. Characteristic study on gas blast loadings in an urban utility tunnel. J. Perform Constr. Facil. 2020, 34, 1943–5509. [Google Scholar] [CrossRef]
  3. Li, J.; Wang, X.; Guo, J.; Zhang, J.; Zhang, S. Effect of concentration and ignition position on vented methane–air explosions. J. Loss Prev. Proc. Ind. 2020, 68, 104334. [Google Scholar] [CrossRef]
  4. Yang, S.; Sun, W.; Fang, Q.; Yang, Y.; Xia, C.; Bao, Q. Investigation of a practical load model for a natural gas explosion in an unconfined space. J. Safety Sci. Resili. 2022, 3, 209–221. [Google Scholar] [CrossRef]
  5. Bao, Q.; Fang, Q.; Zhang, Y.; Chen, L.; Yang, S.; Li, Z. Effects of gas concentration and venting pressure on overpressure transients during vented explosion of methane–air mixtures. Fuel 2016, 175, 40–48. [Google Scholar] [CrossRef]
  6. Zhang, B.; Bai, C.; Xiu, G.; Liu, Q.; Gong, G. Explosion and flame characteristics of methane/air mixtures in a large-scale vessel. Process Saf. Prog. 2014, 33, 362–368. [Google Scholar] [CrossRef]
  7. Wang, Q.; Jin, S.; Luo, Z.; Dai, A.; Wang, Q.; Li, Z. Flame propagation characteristics of methane explosion under different venting conditions. Fuel 2023, 334, 126721. [Google Scholar] [CrossRef]
  8. Xu, Z.; Liu, X.; Xu, W.; Sun, B.; Liu, X.; Xu, D. Analysis on the disaster chain evolution from gas leak to explosion in urban utility tunnels. Eng. Fail. Anal. 2022, 140, 106609. [Google Scholar] [CrossRef]
  9. Tomlin, G.; Johnson, D.M.; Cronin, P.; Phylaktou, H.N.; Andrews, G.E. The effect of vent size and congestion in large-scale vented natural gas/air explosions. J. Loss Prev. Proc. Ind. 2015, 35, 169–181. [Google Scholar] [CrossRef]
  10. Li, Z.; Chen, L.; Yan, H.; Fang, Q.; Zhang, Y.; Xiang, H.; Liu, Y.; Wang, S. Gas explosions of methane-air mixtures in a large-scale tube. Fuel 2021, 285, 119239. [Google Scholar] [CrossRef]
  11. Yang, Y.; Yang, S.; Fang, Q.; Xiang, H.; Sun, W.; Liu, X. Large-scale experimental and simulation study on gas explosion venting load characteristics of urban shallow buried pipe trenches. Tunn. Undergr. Space Technol. 2022, 123, 104409. [Google Scholar] [CrossRef]
  12. Chmielewski, R.; Bąk, A. Analysis of the safety of residential buildings under gas explosion loads. J. Build. Eng. 2021, 43, 102815. [Google Scholar] [CrossRef]
  13. Xing, H.; Xu, Q.; Song, X.; Wang, Y.; Li, B.; Xie, L. The effects of vent area and ignition position on pressure oscillations in a large L/D ratio duct. Process Saf. Environ. Prot. 2020, 135, 166–170. [Google Scholar] [CrossRef]
  14. Ajrash, M.J.; Zanganeh, J.; Moghtaderi, B. Flame deflagration in side-on vented detonation tubes: A large scale study. J. Hazard. Mater. 2018, 345, 38–47. [Google Scholar] [CrossRef] [PubMed]
  15. Yuan, M.; Hu, Q.; Yang, H.; Wang, X.; Wang, J.; Qian, X.; Li, P.; Pang, L.; Gao, Y. Evolution of explosion-venting flow field and hazard induced by a vented hydrogen explosion in a 45m3 container. Energy Fuels 2024, 38, 16924–16935. [Google Scholar] [CrossRef]
  16. Li, S.; Xiu, Z.; Li, R.; Ma, J.; Zhao, K.; Liu, Z.; Li, P.; Li, M.; Fan, T. Experimental and theoretical investigations into overpressure during confined space explosions of methane-hydrogen mixture. Process Saf. Environ. Prot. 2024, 187, 91–103. [Google Scholar] [CrossRef]
  17. Pang, L.; Hu, Q.; Ma, F.; Lv, P.; Yang, K. Effect of vent characteristic parameters on overpressure peaks of natural gas explosion. J. Saf. Sci. Technol. 2020, 16, 126–131. (In Chinese) [Google Scholar] [CrossRef]
  18. Lv, P.; Zhang, Y.; Zhang, J.; Liu, K.; Pang, L.; Yang, K. Research on the influence of explosion venting opening pressure of vertical branch pipe on deflagration pressure methane. J. Saf. Sci. Technol. 2022, 18, 69–77. (In Chinese) [Google Scholar] [CrossRef]
  19. Li, A.; Peng, R.; Si, J.; Zhou, X. Structural design and performance research of explosion venting door in enclosed fire zone. Saf. Coal Mines 2022, 53, 116–121. (In Chinese) [Google Scholar] [CrossRef]
  20. Cao, M.; Zhang, Y.; Li, R.; Chen, X.; Zhang, M.; Dong, H. Explosion and vented explosion behaviors of low-concentration gas in large-scale pipes. Eng. Sci. Technol. 2023, 42, 101410. [Google Scholar] [CrossRef]
  21. Henry, M.A.; Christian, O.D.; Antioco, L.; Carolina, C.; Luis, M.V. Incident analysis of the “Pajaritos” petrochemical complex. J. Loss Prev. Proc. Ind. 2021, 70, 104404. [Google Scholar] [CrossRef]
  22. Sajid, Z.; Khan, M.K.; Rahnama, A.; Moghaddam, F.S.; Vardhan, K.; Kalani, R. Computational fluid dynamics (CFD) modeling and analysis of hydrocarbon vapor cloud explosions (VCEs) in amuay refinery and jaipur plant using FLACS. Processes 2021, 9, 960. [Google Scholar] [CrossRef]
  23. Luo, Z.; Zhang, Q.; Wang, H.; Cheng, F.; Wang, T.; Deng, J. Numerical simulation of gas explosion in confined space with FLACS. J. China Coal Soc. 2013, 38, 1381–1387. (In Chinese) [Google Scholar] [CrossRef]
  24. Li, D.; Liu, H.; Zhang, J. Numerical simulation study of confined space gas explosion based on hierarchical analysis. Coal Technol. 2022, 41, 108–111. (In Chinese) [Google Scholar] [CrossRef]
  25. Bi, H.; Tian, L.; Mao, W.; Zhang, Q. Study on the influence of explosion venting position on the explosion turbulence for industrial bend pipe. J. Saf. Environ. 2024, 24, 1825–1831. (In Chinese) [Google Scholar] [CrossRef]
  26. Middha, P.; Engel, D.; Hansen, O.R. Can the addition of hydrogen to natural gas reduce the explosion risk? Int. J. Hydrogen Energy 2011, 36, 2628–2636. [Google Scholar] [CrossRef]
  27. Song, B.; Jiao, W.; Cen, K.; Tian, X.; Zhang, H.; Lu, W. Quantitative risk assessment of gas leakage and explosion accident consequences inside residential buildings. Eng. Failure Anal. 2021, 122, 105257. [Google Scholar] [CrossRef]
  28. Zhang, S.; Ma, H.; Huang, X.; Peng, S. Numerical simulation on methane-hydrogen explosion in gas compartment in utility tunnel. Process Saf. Environ. Prot. 2020, 140, 100–110. [Google Scholar] [CrossRef]
  29. Wang, D.; Qian, X.; Yuan, M.; Ji, T.; Xu, W.; Liu, S. Numerical simulation analysis of explosion process and destructive effect by gas explosion accident in buildings. J. Loss Prev. Proc. Ind. 2017, 49, 215–227. [Google Scholar] [CrossRef]
  30. Xu, H.; Deng, Q.; Huang, X.; Li, D.; Pan, F. Simulation and experimental verification of dispersion and explosion of hydrogen–methane mixture in a domestic kitchen. Energies 2024, 17, 2320. [Google Scholar] [CrossRef]
  31. Yuan, M.; Hu, Q.; Huang, Z.; Shen, X.; Qian, X.; Yang, H.; Qi, S.; Jiang, J.; Xia, D. Gas explosion impact behavior and disaster analysis based on structural failure: Numerical modeling. J. Loss Prev. Proc. Ind. 2024, 87, 105234. [Google Scholar] [CrossRef]
  32. Li, Z.; Wu, J.; Liu, M.; Li, Y.; Ma, Q. Numerical analysis of the characteristics of gas explosion process in natural gas compartment of utility tunnel using FLACS. Sustainability 2020, 12, 153. [Google Scholar] [CrossRef]
Figure 1. Test system.
Figure 1. Test system.
Buildings 14 03752 g001
Figure 2. Diameter of the test inflation tube.
Figure 2. Diameter of the test inflation tube.
Buildings 14 03752 g002
Figure 3. Test gas flow rate.
Figure 3. Test gas flow rate.
Buildings 14 03752 g003
Figure 4. Phenomena of the leakage test.
Figure 4. Phenomena of the leakage test.
Buildings 14 03752 g004
Figure 5. Gas explosion phenomenon.
Figure 5. Gas explosion phenomenon.
Buildings 14 03752 g005
Figure 6. Air pressure time history curve.
Figure 6. Air pressure time history curve.
Buildings 14 03752 g006
Figure 7. Schematic diagram of leakage monitoring points layout.
Figure 7. Schematic diagram of leakage monitoring points layout.
Buildings 14 03752 g007
Figure 8. Analysis of mesh independence in leakage and diffusion.
Figure 8. Analysis of mesh independence in leakage and diffusion.
Buildings 14 03752 g008
Figure 9. Comparison of diffusion phenomena.
Figure 9. Comparison of diffusion phenomena.
Buildings 14 03752 g009
Figure 10. Methane distribution under various working conditions.
Figure 10. Methane distribution under various working conditions.
Buildings 14 03752 g010
Figure 11. Schematic diagram of the pressure-relief plate.
Figure 11. Schematic diagram of the pressure-relief plate.
Buildings 14 03752 g011
Figure 12. Analysis of mesh independence in the explosion.
Figure 12. Analysis of mesh independence in the explosion.
Buildings 14 03752 g012
Figure 13. Comparison of deflagration flames.
Figure 13. Comparison of deflagration flames.
Buildings 14 03752 g013
Figure 14. Schematic diagram of explosion monitoring points layout.
Figure 14. Schematic diagram of explosion monitoring points layout.
Buildings 14 03752 g014
Figure 15. Development law of load and flame in a container house.
Figure 15. Development law of load and flame in a container house.
Buildings 14 03752 g015
Figure 16. The time history curve of internal loads in the container house.
Figure 16. The time history curve of internal loads in the container house.
Buildings 14 03752 g016
Figure 17. Explosion load curves for different methane proportions.
Figure 17. Explosion load curves for different methane proportions.
Buildings 14 03752 g017
Figure 18. Ignition positions.
Figure 18. Ignition positions.
Buildings 14 03752 g018
Figure 19. Explosion load curves at different ignition positions.
Figure 19. Explosion load curves at different ignition positions.
Buildings 14 03752 g019
Figure 20. Explosion load curves under different pressure-relief intensities.
Figure 20. Explosion load curves under different pressure-relief intensities.
Buildings 14 03752 g020
Figure 21. Peak explosion load under different pressure-relief intensities.
Figure 21. Peak explosion load under different pressure-relief intensities.
Buildings 14 03752 g021
Figure 22. Explosion load curves under different pressure-relief areas.
Figure 22. Explosion load curves under different pressure-relief areas.
Buildings 14 03752 g022
Table 1. Table of working conditions for methane leakage and diffusion.
Table 1. Table of working conditions for methane leakage and diffusion.
Working ConditionFinal Methane Proportion (VOL%)Leakage Duration (s)Final Simulation Time (s)
LD15242280
LD27.5363400
LD39.5460500
LD411.5557600
Table 2. Coordinates of leakage monitoring points.
Table 2. Coordinates of leakage monitoring points.
Monitoring PointCoordinate (X, Y, Z)
MP1(3.01, 1.51, 0.01)
MP2(3.01, 1.51, 0.51)
MP3(3.01, 1.51, 1.01)
MP4(3.01, 1.51, 1.51)
MP5(3.01, 1.51, 2.01)
MP6(3.01, 1.51, 2.49)
Table 3. Coordinates of explosion monitoring points.
Table 3. Coordinates of explosion monitoring points.
Monitoring PointCoordinate (X, Y, Z)
P1(3.01, 1.51, 2.49)
P2(3.01, 1.51, 1.25)
P3(3.01, 1.51, 0.01)
P4(1.51, 1.51, 1.25)
P5(4.51, 1.51, 1.25)
Disclaimer/Publisher’s Note: The statements, opinions and data contained in all publications are solely those of the individual author(s) and contributor(s) and not of MDPI and/or the editor(s). MDPI and/or the editor(s) disclaim responsibility for any injury to people or property resulting from any ideas, methods, instructions or products referred to in the content.

Share and Cite

MDPI and ACS Style

Gao, Y.; Duan, Y.; Fu, R.; Wu, H.; Wang, Z.; Li, D.; Zhou, L. Research on Natural Gas Leakage and Explosion Mechanisms in a Container House. Buildings 2024, 14, 3752. https://doi.org/10.3390/buildings14123752

AMA Style

Gao Y, Duan Y, Fu R, Wu H, Wang Z, Li D, Zhou L. Research on Natural Gas Leakage and Explosion Mechanisms in a Container House. Buildings. 2024; 14(12):3752. https://doi.org/10.3390/buildings14123752

Chicago/Turabian Style

Gao, Yonghong, Yapeng Duan, Runmei Fu, Hao Wu, Zicong Wang, Dongyang Li, and Liqiang Zhou. 2024. "Research on Natural Gas Leakage and Explosion Mechanisms in a Container House" Buildings 14, no. 12: 3752. https://doi.org/10.3390/buildings14123752

APA Style

Gao, Y., Duan, Y., Fu, R., Wu, H., Wang, Z., Li, D., & Zhou, L. (2024). Research on Natural Gas Leakage and Explosion Mechanisms in a Container House. Buildings, 14(12), 3752. https://doi.org/10.3390/buildings14123752

Note that from the first issue of 2016, this journal uses article numbers instead of page numbers. See further details here.

Article Metrics

Back to TopTop