Bending Test of Rectangular High-Strength Steel Fiber-Reinforced Concrete-Filled Steel Tubular Beams with Stiffeners
Abstract
1. Introduction
2. Materials and Methods
2.1. Concrete Preparation
2.2. Fabrication of Test Beams
2.3. Material Properties
2.4. Test Preparation and Procedure
3. Test Results and Discussions
3.1. Failure Modes
3.2. Vertical Deflection Curves
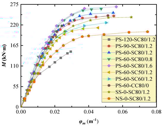
3.3. Moment–Curvature Behavior
3.4. Subsection
3.5. Moment Capacity
3.6. Ductility Index
3.7. Rotational Capacity
4. Conclusions
- The bending stiffness and moment capacity of HSFRCFST beams increase when subjected to pure bending by incorporating steel fiber into the infill concrete. When the steel fiber volume percentage is 1.2%, a significant effect can be obtained. The infill HSFRC with steel fiber volume percentages of 0.8%, 1.2%, and 1.6% increases the initial bending stiffness by 11.2%, −1.9%, and 9.0%, respectively. As the steel fiber content increases, the ductility index of the beam also increases. The failure mode of HSFRCFST beams is not drastically changed by the presence of steel fiber. The compressive strength of infill concrete affects the moment capacity and bending stiffness but has a negligible effect on the failure modes.
- The type of stiffener modifies the failure modes of HSFRCFST beams when subjected to pure bending. In comparison to HSFRCFST beams with perfobond stiffener, steel plate stiffener, and without stiffener, the initial bending stiffness is reduced by 0.8% and 23.0%, respectively. The circular hole spacing in perfobond stiffeners may manage the crack spacing of the infill concrete on the tension side, as well as improve the bending stiffness and moment capacity of HSFRCFST beams, and its works optimally with the infill concrete when it is two to three times the diameter.
- The bending stiffness of HSFRCFST beams for serviceability can be predicted using Euro-code 4 (2004). The flexural capacity of HSFRCFST beams can be reliably predicted by the proposed formula. The ductility and rotational capacity of HSFRCFST beams are sufficient for engineering applications.
- Rectangular HSFRCFST beams with stiffeners have good ductility and rotational capacity, which can increase the moment capacity and reduce the member section size. When reinforcing rebars are replaced with ribs, steel tubes, and steel fibers, the engineering expense of HSFRCFST beams is comparable to or somewhat higher than that of ordinary concrete members.
Author Contributions
Funding
Data Availability Statement
Conflicts of Interest
References
- Deng, Z.; Guo, J.; Yu, J.; Liu, B. Axial Compression Performance of Coral Concrete-Filled Aluminium Tube (CCFAT) Square Stub Columns. Case Stud. Constr. Mater. 2021, 15, e00697. [Google Scholar] [CrossRef]
- Wang, E.; Ding, F.; Wang, L.; Chen, Y.; Sheng, S.; Shen, J.; Lin, Q. Analytical Study on the Composite Behavior of Rectangular CFST Columns under Combined Compression and Torsion. Case Stud. Constr. Mater. 2022, 16, e01074. [Google Scholar] [CrossRef]
- Wei, J.; Xie, Z.; Zhang, W.; Yang, Y.; Luo, X.; Chen, B. Axial Compressive Property of UHPC Plate-CFST Laced Composite Columns. Case Stud. Constr. Mater. 2022, 16, e01085. [Google Scholar] [CrossRef]
- Liu, Y.; Xiong, Z.; Feng, Y.; Jiang, L. Concrete-Filled Rectangular Hollow Section X Joint with Perfobond Leister Rib Structural Performance Study: Ultimate and Fatigue Experimental Investigation. Steel Compos. Struct. 2017, 24, 455–465. [Google Scholar]
- Tian, Z.; Liu, Y.; Jiang, L.; Zhu, W.; Ma, Y. A Review on Application of Composite Truss Bridges Composed of Hollow Structural Section Members. J. Traffic Transp. Eng. (Engl. Ed.) 2019, 6, 94–108. [Google Scholar] [CrossRef]
- Kanishchev, R.; Kvocak, V. Local Buckling of Rectangular Steel Tubes Filled with Concrete. Steel Compos. Struct. 2019, 31, 201–216. [Google Scholar]
- Zeng, J.-J.; Guo, Y.-C.; Liao, J.; Shi, S.-W.; Bai, Y.-L.; Zhang, L. Behavior of Hybrid PET FRP Confined Concrete-Filled High-Strength Steel Tube Columns under Eccentric Compression. Case Stud. Constr. Mater. 2022, 16, e00967. [Google Scholar] [CrossRef]
- Almamoori, A.H.N.; Naser, F.H.; Dhahir, M.K. Effect of Section Shape on the Behaviour of Thin Walled Steel Columns Filled with Light Weight Aggregate Concrete: Experimental Investigation. Case Stud. Constr. Mater. 2020, 13, e00356. [Google Scholar] [CrossRef]
- Cai, J.; Pan, J.; Tan, J.; Vandevyvere, B.; Li, X. Behavior of ECC-Encased CFST Columns under Eccentric Loading. J. Build. Eng. 2020, 30, 101188. [Google Scholar] [CrossRef]
- Cheng, R.; Hu, C.; Gong, M.; Wang, Y. Behaviors of Improved Multi-Cell T-Shaped Concrete-Filled Steel Tubular Columns under Eccentric Loads. J. Constr. Steel Res. 2022, 193, 107251. [Google Scholar] [CrossRef]
- Huang, Y.; Zhao, P.; Lu, Y.; Zhang, H. Push-out Tests of CFST Columns Strengthened with Self-Compacting and Self-Stressing Concrete Filled Square Steel Tube. J. Constr. Steel Res. 2022, 193, 107263. [Google Scholar] [CrossRef]
- Li, G.; Hou, C.; Shen, L. Combined Compression-Bending Performance and Design of CFST with Localised Pitting Corrosion. J. Constr. Steel Res. 2022, 192, 107247. [Google Scholar] [CrossRef]
- Ding, F.; Cao, Z.; Lyu, F.; Huang, S.; Hu, M.; Lin, Q. Practical Design Equations of the Axial Compressive Capacity of Circular CFST Stub Columns Based on Finite Element Model Analysis Incorporating Constitutive Models for High-Strength Materials. Case Stud. Constr. Mater. 2022, 16, e01115. [Google Scholar] [CrossRef]
- Hoang, A.L.; Fehling, E. A Review and Analysis of Circular UHPC Filled Steel Tube Columns under Axial Loading. Struct. Eng. Mech. 2017, 62, 417–430. [Google Scholar] [CrossRef]
- Liu, S.; Ding, X.; Li, X.; Liu, Y.; Zhao, S. Behavior of Rectangular-Sectional Steel Tubular Columns Filled with High-Strength Steel Fiber Reinforced Concrete Under Axial Compression. Materials 2019, 12, 2716. [Google Scholar] [CrossRef]
- Liu, S.; Liu, Y.; Li, X.; Chen, P. Experimental study on steel fiber reinforcement high strength concrete-filled rectangular steel tubular column stiffened with perfobond strip under axial compression. J. Build. Struct. 2018, 39, 22–28. (In Chinese) [Google Scholar]
- Moon, J.; Roeder, C.W.; Lehman, D.E.; Lee, H.-E. Analytical Modeling of Bending of Circular Concrete-Filled Steel Tubes. Eng. Struct. 2012, 42, 349–361. [Google Scholar] [CrossRef]
- Xiong, M.-X.; Xiong, D.-X.; Liew, J.Y.R. Axial Performance of Short Concrete Filled Steel Tubes with High- and Ultra-High-Strength Materials. Eng. Struct. 2017, 136, 494–510. [Google Scholar] [CrossRef]
- Jiang, A.; Chen, J.; Jin, W. Experimental Investigation and Design of Thin-Walled Concrete-Filled Steel Tubes Subject to Bending. Thin-Walled Struct. 2013, 63, 44–50. [Google Scholar] [CrossRef]
- Gu, Z.; Wang, J.; Gao, D.; Zhao, J. Effects of Steel Fibers on the Flexural Behavior of Recycled Concrete Beam: Testing and Analysis. J. Build. Eng. 2024, 85, 108718. [Google Scholar] [CrossRef]
- Hou, C.-C.; Han, L.-H.; Wang, Q.-L.; Hou, C. Flexural Behavior of Circular Concrete Filled Steel Tubes (CFST) under Sustained Load and Chloride Corrosion. Thin-Walled Struct. 2016, 107, 182–196. [Google Scholar] [CrossRef]
- Montuori, R.; Piluso, V. Analysis and Modelling of CFT Members: Moment Curvature Analysis. Thin-Walled Struct. 2015, 86, 157–166. [Google Scholar] [CrossRef]
- İpek, S.; Erdoğan, A.; Güneyisi, E.M. Compressive Behavior of Concrete-Filled Double Skin Steel Tubular Short Columns with the Elliptical Hollow Section. J. Build. Eng. 2021, 38, 102200. [Google Scholar] [CrossRef]
- Qiu, W.; McCann, F.; Espinos, A.; Romero, M.L.; Gardner, L. Numerical Analysis and Design of Slender Concrete-Filled Elliptical Hollow Section Columns and Beam-Columns. Eng. Struct. 2017, 131, 90–100. [Google Scholar] [CrossRef]
- Liu, Z.; Lu, Y.; Li, S.; Zong, S.; Yi, S. Flexural Behavior of Steel Fiber Reinforced Self-Stressing Recycled Aggregate Concrete-Filled Steel Tube. J. Clean. Prod. 2020, 274, 122724. [Google Scholar] [CrossRef]
- Wang, R.; Han, L.-H.; Nie, J.-G.; Zhao, X.-L. Flexural Performance of Rectangular CFST Members. Thin-Walled Struct. 2014, 79, 154–165. [Google Scholar] [CrossRef]
- Chung, K.S.; Kim, J.H.; Yoo, J.H. Experimental and Analytical Investigation of High-Strength Concrete-Filled Steel Tube Square Columns Subjected to Flexural Loading. Steel Compos. Struct. 2013, 14, 133–153. [Google Scholar] [CrossRef]
- Hou, W.-Q.; Yang, J.-J.; Zhang, Z.-X.; Yuan, X.-Q. Experimental Study and Application of Manufactured Sand Self-Compacting Concrete in Concrete-Filled-Steel-Tube Arch Bridge: A Case Study. Case Stud. Constr. Mater. 2021, 15, e00718. [Google Scholar] [CrossRef]
- Javed, M.F.; Sulong, N.H.R.; Memon, S.A.; Rehman, S.K.U.; Khan, N.B. FE Modelling of the Flexural Behaviour of Square and Rectangular Steel Tubes Filled with Normal and High Strength Concrete. Thin-Walled Struct. 2017, 119, 470–481. [Google Scholar] [CrossRef]
- Younas, S.; Li, D.; Hamed, E.; Uy, B. Behaviour of High Strength Concrete-Filled Short Steel Tubes under Sustained Loading. Steel Compos. Struct. 2021, 39, 159–170. [Google Scholar]
- Ding, F.; Luo, L.; Zhu, J.; Wang, L.; Yu, Z. Mechanical Behavior of Stirrup-Confined Rectangular CFT Stub Columns under Axial Compression. Thin-Walled Struct. 2018, 124, 136–150. [Google Scholar] [CrossRef]
- Lian, W.; Dong, J.; Wang, Q. Axial Compressive Behavior of Concrete-Filled Steel Tube Columns with Stiffeners. Steel Compos. Struct. 2018, 29, 151–159. [Google Scholar]
- Peng, K.; Yu, T.; Hadi, M.N.S.; Huang, L. Compressive Behavior of Hybrid Double-Skin Tubular Columns with a Rib-Stiffened Steel Inner Tube. Compos. Struct. 2018, 204, 634–644. [Google Scholar] [CrossRef]
- Thomas, J.; Sandeep, T.N. Experimental Study on Circular CFST Short Columns with Intermittently Welded Stiffeners. Steel Compos. Struct. 2018, 29, 659–667. [Google Scholar]
- Wang, Z.-B.; Tao, Z.; Yu, Q. Axial Compressive Behaviour of Concrete-Filled Double-Tube Stub Columns with Stiffeners. Thin-Walled Struct. 2017, 120, 91–104. [Google Scholar] [CrossRef]
- Du, Y.; Chen, Z.; Wang, Y.-B.; Richard Liew, J.Y. Ultimate Resistance Behavior of Rectangular Concrete-Filled Tubular Beam-Columns Made of High-Strength Steel. J. Constr. Steel Res. 2017, 133, 418–433. [Google Scholar] [CrossRef]
- Li, G.; Liu, D.; Yang, Z.; Zhang, C. Flexural Behavior of High Strength Concrete Filled High Strength Square Steel Tube. J. Constr. Steel Res. 2017, 128, 732–744. [Google Scholar] [CrossRef]
- Ramkumar, K.B.; Rajkumar, P.R.K.; Gunasekaran, K. Performance of Hybrid Steel Fiber-Reinforced Self-Compacting Concrete RC Beam under Flexure. Eng. Sci. Technol. 2023, 42, 101432. [Google Scholar]
- Silva, A.; Jiang, Y.; Castro, J.M.; Silvestre, N.; Monteiro, R. Experimental Assessment of the Flexural Behaviour of Circular Rubberized Concrete-Filled Steel Tubes. J. Constr. Steel Res. 2016, 122, 557–570. [Google Scholar] [CrossRef]
- Silva, A.; Jiang, Y.; Castro, J.M.; Silvestre, N.; Monteiro, R. Monotonic and Cyclic Flexural Behaviour of Square/Rectangular Rubberized Concrete-Filled Steel Tubes. J. Constr. Steel Res. 2017, 139, 385–396. [Google Scholar] [CrossRef]
- Silva, A.; Jiang, Y.; Macedo, L.; Castro, J.M.; Monteiro, R.; Silvestre, N. Seismic Performance of Composite Moment-Resisting Frames Achieved with Sustainable CFST Members. Front. Struct. Civ. Eng. 2016, 10, 312–332. [Google Scholar] [CrossRef]
- Xiong, M.-X.; Xiong, D.-X.; Liew, J.Y.R. Flexural Performance of Concrete Filled Tubes with High Tensile Steel and Ultra-High Strength Concrete. J. Constr. Steel Res. 2017, 132, 191–202. [Google Scholar] [CrossRef]
- Dong, M.; Elchalakani, M.; Karrech, A.; Hassanein, M.F.; Xie, T.; Yang, B. Behaviour and Design of Rubberised Concrete Filled Steel Tubes under Combined Loading Conditions. Thin-Walled Struct. 2019, 139, 24–38. [Google Scholar] [CrossRef]
- Duarte, A.P.C.; Silva, B.A.; Silvestre, N.; De Brito, J.; Júlio, E.; Castro, J.M. Finite Element Modelling of Short Steel Tubes Filled with Rubberized Concrete. Compos. Struct. 2016, 150, 28–40. [Google Scholar] [CrossRef]
- Ding, X.; Li, C.; Han, B.; Lu, Y.; Zhao, S. Effects of Different Deformed Steel-Fibers on Preparation and Fundamental Properties of Self-Compacting SFRC. Constr. Build. Mater. 2018, 168, 471–481. [Google Scholar] [CrossRef]
- Mou, T.M.; Zhou, X.J.; Fan, B.K.; Ding, Q.J. Frost Resistance of Steel Fiber Reinforced Micro-Expansive Concrete Filled Steel Tube. Appl. Mech. Mater. 2012, 204–208, 3956–3960. [Google Scholar] [CrossRef]
- Chen, J.; Liu, X.; Liu, H.; Zeng, L. Axial Compression Behavior of Circular Recycled Concrete-Filled Steel Tubular Short Columns Reinforced by Silica Fume and Steel Fiber. Steel Compos. Struct. 2018, 27, 193–200. [Google Scholar]
- Lu, Y.; Li, N.; Li, S.; Liang, H. Behavior of Steel Fiber Reinforced Concrete-Filled Steel Tube Columns under Axial Compression. Constr. Build. Mater. 2015, 95, 74–85. [Google Scholar] [CrossRef]
- Lu, Y.; Liu, Z.; Li, S.; Hu, J. Axial Compression Behavior of Hybrid Fiber Reinforced Concrete Filled Steel Tube Stub Column. Constr. Build. Mater. 2018, 174, 96–107. [Google Scholar] [CrossRef]
- Guler, S.; Yavuz, D. Post-Cracking Behavior of Hybrid Fiber-Reinforced Concrete-Filled Steel Tube Beams. Constr. Build. Mater. 2019, 205, 285–305. [Google Scholar] [CrossRef]
- Li, C.; Geng, H.; Deng, C.; Li, B.; Zhao, S. Experimental Investigation on Columns of Steel Fiber Reinforced Concrete with Recycled Aggregates under Large Eccentric Compression Load. Materials 2019, 12, 445. [Google Scholar] [CrossRef] [PubMed]
- Choi, C.S.; Jung, H.S.; Choi, H.K. Behaviour of Concrete Filled Steel Square-Tube Stub Column with Steel-Fiber Reinforced High Strength Concrete. Adv. Mater. Res. 2013, 663, 125–129. [Google Scholar] [CrossRef]
- Ding, X.; Li, C.; Li, Y.; Lu, Y.; Song, C.; Zhao, S. Experimental and Numerical Study on Stress-Strain Behavior of Self-Compacting SFRC under Uniaxial Compression. Constr. Build. Mater. 2018, 185, 30–38. [Google Scholar] [CrossRef]
- Hou, Z.; Nordin, N. Flexural Behavior of Inverted Steel Fiber-Reinforced Concrete T-Beams Reinforced with High-Yield Steel Bars. Buildings 2024, 14, 891. [Google Scholar] [CrossRef]
- GB/T 50081-2019; Standard for Test Methods of Concrete Physical and Mechanical Properties. China Building Industry Press: Beijing, China, 2019.
- JG/T 472-2015; Steel Fiber Reinforced Concrete. Standards Press of China: Beijing, China, 2015.
- GB 50666-2011; Code for Construction of Concrete Structures. China Building Industry Press: Beijing, China, 2011.
- GB 50661-2011; Code for Welding of Steel Structures. China Building Industry Press: Beijing, China, 2011.
- DG/TJ08-2089-2012; Technical Specification for Lightweight Steel Building Structures. Tong Ji University Press: Shanghai, China, 2012.
- GB/T 228.1-2021; Metallic Materials—Tensile Testing—Part 1: Method of Test at Room Temperature. Standards Press of China: Beijing, China, 2021.
- GB 50936-2014; Technical Code for Concrete Filled Steel Tubular Structures. China Building Industry Press: Beijing, China, 2014.
- DBJ/T13-51-2010; Technical Specification for Concrete-Filled Steel Tubular Structures. Fujian Province Department of Housing and Urban-Rural Development: Fujian, China, 2010.
- AIJ-SRC (2001); The Standard for Structure Calculation of Steel Reinforced Concrete Structures. Architectural Institute of Japan: Tokyo, Japan, 2001.
- ANSI/AISC 360-16; Specification for Structural Steel Buildings. American Institute of Steel Construction: Detroit, MI, USA, 2016.
- Euro Code 4 (2004); Design of Composite Steel and Concrete Structures. British Standards Institution: London, UK, 2004.
- BS5400(2005); Steel, Concrete and Composite Bridges Part 4: Code of Practice for Design of Concrete Bridges. British Standard Institution: London, UK, 2005.













| Identifier | Dosage of Raw Materials (kg/m3) | ||||||
|---|---|---|---|---|---|---|---|
| Cement | Slag Powder | Water | River Sand | Crushed Stone | Steel Fiber | Water Reducer | |
| SC50/1.2 | 470.7 | 0 | 193 | 655.8 | 1022.4 | 94.2 | 3.3 |
| SC60/1.2 | 583.3 | 0 | 175 | 754.4 | 865.9 | 94.2 | 5.9 |
| CC80/0 | 535.6 | 133.9 | 170 | 587.3 | 1000.0 | 0 | 0.3 |
| SC80/0.8 | 544.0 | 136.0 | 170 | 732.8 | 949.2 | 62.8 | 0.3 |
| SC80/1.2 | 544.0 | 136.0 | 170 | 775.3 | 892.5 | 94.2 | 0.3 |
| SC80/1.6 | 544.0 | 136.0 | 170 | 835.5 | 816.6 | 125.6 | 0.3 |
| Identifier | vf (%) | fcu (MPa) | fc (MPa) | θ | Hole Spacing (mm) | Stiffener Type |
|---|---|---|---|---|---|---|
| PS-120-SC80/1.2 | 1.2 | 85.0 | 53.0 | 0.47 | 120 | Perfobond stiffener |
| PS-90-SC80/1.2 | 1.2 | 67.0 | 42.7 | 0.59 | 90 | |
| PS-60-SC80/1.2 | 1.2 | 65.3 | 41.7 | 0.6 | 60 | |
| PS-60-SC80/0.8 | 0.8 | 81.0 | 50.8 | 0.49 | 60 | |
| PS-60-SC80/1.6 | 1.6 | 78.3 | 49.3 | 0.51 | 60 | |
| PS-60-SC50/1.2 | 1.2 | 46.0 | 30.2 | 0.83 | 60 | |
| PS-60-SC60/1.2 | 1.2 | 54.0 | 34.8 | 0.72 | 60 | |
| PS-60-CC80/0 | 0 | 80.0 | 50.2 | 0.50 | 60 | |
| SS-0-SC80/1.2 | 1.2 | 88.0 | 54.6 | 0.46 | -- | Steel plate stiffener |
| NS-0-SC80/1.2 | 1.2 | 77.0 | 48.5 | 0.51 | -- | No stiffener |
| Identifier | δu (mm) | Bsi (kN·m2) | Bss (kN·m2) | Pu (kN) | Mc,t (kN·m) | Mc,c (kN) | Mc,t/Mc,c |
|---|---|---|---|---|---|---|---|
| PS-120-SC80/1.2 | 3.0 | 8588.2 | 8035.9 | 1189.8 | 148.7 | -- | -- |
| PS-90-SC80/1.2 | 5.6 | 11,683.6 | 10,483.7 | 1952.2 | 244.0 | 252.9 | 0.965 |
| PS-60-SC80/1.2 | 5.5 | 11,445.4 | 10,921.3 | 2020.4 | 252.6 | 250.2 | 1.010 |
| PS-60-SC80/0.8 | 4.8 | 12,976.9 | 11,812.2 | 2103.2 | 262.9 | 250.3 | 1.050 |
| PS-60-SC80/1.6 | 5.7 | 12,713.3 | 12,062.6 | 2148.8 | 268.6 | 260.0 | 1.033 |
| PS-60-SC50/1.2 | 4.6 | 9687.5 | 9373.0 | 1698.7 | 212.3 | 208.3 | 1.019 |
| PS-60-SC60/1.2 | 5.1 | 11,119.6 | 10,121.1 | 1806.8 | 225.9 | 231.2 | 0.977 |
| PS-60-CC80/0 | 5.2 | 11,666.6 | 10,958.9 | 1959.0 | 244.9 | 246.4 | 0.994 |
| SS-0-SC80/1.2 | 6.6 | 11,594.0 | 10,323.6 | 1925.5 | 240.7 | 252.7 | 0.953 |
| NS-0-SC80/1.2 | 7.6 | 9000.8 | 8257.6 | 1614.8 | 201.9 | -- | -- |
| Code Number | Recommended Formula | Elastic Modulus Value |
|---|---|---|
| GB50936 (2014) | Bs = EcIc + EsIs | Es = 205,800 MPa; MPa |
| DBJ/T13-51-2010 | Bs = EcIc + 0.8EsIs | Es = 206,000 MPa; MPa |
| AIJ-SRC (2001) | Bs = EcIc + 0.2EsIs | Es = 205,800 MPa; MPa |
| AISC-360 (2016) | Bs = EcIc + 0.85EsIs | Es = 210,000 MPa; MPa |
| Europe 4 (2004) | Bs = EcIc + 0.6EsIs | Es = 206,000 MPa; MPa |
| BS5400 (2005) | Bs = EcIc + EsIs | Es = 206,000 MPa; MPa |
| Identifier | B1 (kN·m2) | B2 (kN·m2) | B3 (kN·m2) | B4 (kN·m2) | B5 (kN·m2) | B6 (kN·m2) |
|---|---|---|---|---|---|---|
| PS-120-SC80/1.2 | 13,010.0 | 11,001.1 | 7095.9 | 11,103.5 | 10,028.0 | 12,994.9 |
| PS-90-SC80/1.2 | 12,751.1 | 10,414.7 | 6504.1 | 10,517.2 | 9646.9 | 11,639.6 |
| PS-60-SC80/1.2 | 12,720.7 | 10,354.2 | 6443.0 | 10,456.6 | 9606.5 | 11,511.6 |
| PS-60-SC80/0.8 | 12,960.8 | 10,881.0 | 6974.7 | 10,983.4 | 9951.2 | 12,693.7 |
| PS-60-SC80/1.6 | 12,925.2 | 10,797.6 | 6890.6 | 10,900.0 | 9897.6 | 12,490.4 |
| PS-60-SC50/1.2 | 12,258.4 | 9597.5 | 5679.4 | 9700.0 | 9085.3 | 10,058.3 |
| PS-60-SC60/1.2 | 12,481.1 | 9915.0 | 5999.8 | 10,017.5 | 9308.1 | 10,660.7 |
| PS-60-CC80/0 | 12,947.8 | 10,847.8 | 6941.2 | 10,950.2 | 9929.9 | 12,618.4 |
| SS-0-SC80/1.2 | 13,044.4 | 11,086.8 | 7182.5 | 11,189.3 | 10,082.4 | 13,220.8 |
| NS-0-SC80/1.2 | 12,214.1 | 10,207.6 | 6802.1 | 10,297.0 | 9500.1 | 11,687.7 |
| Identifier | δhy (mm) | δu (mm) | DI | θlimit | θp | Rc |
|---|---|---|---|---|---|---|
| PS-120-SC80/1.2 | 2.13 | 3 | 0.41 | 0.018850 | 0.002598 | 6.26 |
| PS-90-SC80/1.2 | 2.13 | 5.6 | 1.63 | 0.035186 | 0.003133 | 10.23 |
| PS-60-SC80/1.2 | 2.13 | 5.5 | 1.58 | 0.034558 | 0.003310 | 9.44 |
| PS-60-SC80/0.8 | 2.13 | 4.8 | 1.25 | 0.030159 | 0.003039 | 8.92 |
| PS-60-SC80/1.6 | 2.13 | 5.7 | 1.68 | 0.035814 | 0.003169 | 10.30 |
| PS-60-SC50/1.2 | 2.13 | 4.6 | 1.16 | 0.028903 | 0.003288 | 7.79 |
| PS-60-SC60/1.2 | 2.13 | 5.1 | 1.39 | 0.032044 | 0.003047 | 9.52 |
| PS-60-CC80/0 | 2.13 | 5.2 | 1.44 | 0.032673 | 0.003148 | 9.38 |
| SS-0-SC80/1.2 | 2.13 | 6.6 | 2.10 | 0.041469 | 0.003114 | 12.32 |
| NS-0-SC80/1.2 | 2.13 | 7.6 | 2.57 | 0.047752 | 0.003364 | 13.20 |
Disclaimer/Publisher’s Note: The statements, opinions and data contained in all publications are solely those of the individual author(s) and contributor(s) and not of MDPI and/or the editor(s). MDPI and/or the editor(s) disclaim responsibility for any injury to people or property resulting from any ideas, methods, instructions or products referred to in the content. |
© 2024 by the authors. Licensee MDPI, Basel, Switzerland. This article is an open access article distributed under the terms and conditions of the Creative Commons Attribution (CC BY) license (https://creativecommons.org/licenses/by/4.0/).
Share and Cite
Liu, S.; Ji, Z.; Li, S.; Li, X.; Liu, Y.; Zhao, S. Bending Test of Rectangular High-Strength Steel Fiber-Reinforced Concrete-Filled Steel Tubular Beams with Stiffeners. Buildings 2024, 14, 3678. https://doi.org/10.3390/buildings14113678
Liu S, Ji Z, Li S, Li X, Liu Y, Zhao S. Bending Test of Rectangular High-Strength Steel Fiber-Reinforced Concrete-Filled Steel Tubular Beams with Stiffeners. Buildings. 2024; 14(11):3678. https://doi.org/10.3390/buildings14113678
Chicago/Turabian StyleLiu, Shiming, Zhaoyang Ji, Shangyu Li, Xiaoke Li, Yongjian Liu, and Shunbo Zhao. 2024. "Bending Test of Rectangular High-Strength Steel Fiber-Reinforced Concrete-Filled Steel Tubular Beams with Stiffeners" Buildings 14, no. 11: 3678. https://doi.org/10.3390/buildings14113678
APA StyleLiu, S., Ji, Z., Li, S., Li, X., Liu, Y., & Zhao, S. (2024). Bending Test of Rectangular High-Strength Steel Fiber-Reinforced Concrete-Filled Steel Tubular Beams with Stiffeners. Buildings, 14(11), 3678. https://doi.org/10.3390/buildings14113678

