Paraphrase the Obstacles to the Recycling of Construction and Demolition Waste: A Perspective of the Evolutionary Game of Three Stakeholders
Abstract
1. Introduction
2. The Evolutionary Game Model
2.1. Three-Party Evolution Analysis of Stakeholders
2.2. Problem Description and Parameter Setting
2.3. The Establishment of Tripartite Evolutionary Game Model
3. Stability Analysis of Equilibrium
3.1. Equilibrium Point Analysis
3.2. Analysis of Evolutionary Stability Strategy
4. Numerical Simulation
4.1. Tripartite Participants’ Evolution Path Graph Industry Development
4.1.1. Initial Stage
4.1.2. Developmental Stage
4.1.3. Mid-Term Development Stage
4.1.4. Mature Stage
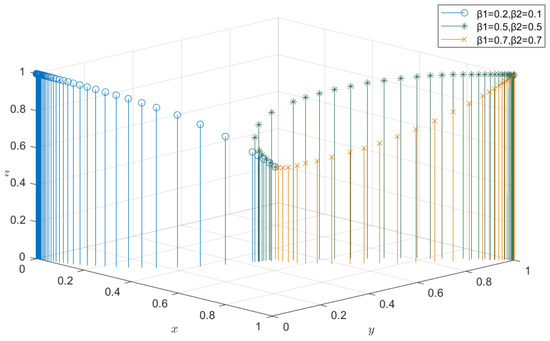
4.2. Sensitivity Analysis
4.2.1. Impact of Cost of Government Regulation on Evolutionary Results
4.2.2. Impact of Coefficient of Subsidies on Evolutionary Results
4.2.3. Impact of Coefficient of Penalties on Evolutionary Results
4.2.4. Impact of Revenue from Carbon Trading on Evolutionary Results
5. Conclusions and Policy Implications
- (1)
- Before the C&DW recycling market becomes mature, the government should increase the C&DW charging standard for landfills and implement measures such as fines, production suspension for rectification, and forced closure for enterprises that illegally dump waste, thus, forcing construction enterprises to participate in recycling. In addition, the government should reduce the recycling cost of building material production enterprises through subsidies and technical and facility support. For example, providing tax deductions and preferential loans for factory leasing and equipment procurement; establishing a government-led C&DW recycling technology research and development institution and holding relevant training and industry technology exchange meetings; in the face of the reality of lacking C&DW recycling facilities [43], actively plan and layout relevant infrastructure and recycling vehicles. At present, China’s C&DW recycling industry is still in its infancy [44]. In implementing these suggestions, the government may encounter some challenges, such as the unreasonable setting of subsidy and penalty proportions and some enterprises cheating on government subsidies. Therefore, before formulating policies, the government should conduct in-depth investigations on the operating conditions of building material production enterprises and the actual needs of construction enterprises in the recycling market. After the implementation of policies, the tracking and monitoring of C&DW treatment should be increased to ensure policy effects as much as possible. At the same time, the government can establish a C&DW recycling association with the participation of three parties to coordinate and communicate the demands of relevant stakeholders.
- (2)
- After the waste recycling market has matured, as the recycling industrial chain has been formed and enterprises can make profits through market mechanisms, the government should reduce subsidies. This can not only relieve the government’s financial pressure and supervision costs but also prevent enterprises from relying too much on government subsidies and ensure that recycling activities are dominated by market mechanisms. During this period, the government will mainly improve the laws and regulations of the recycling market and formulate industry standards for C&DW recycling, thereby promoting the healthy development of the C&DW recycling industry.
- (3)
- The government should propose targeted carbon emission-reduction policies including carbon quotas and trading according to the stage characteristics of the C&DW recycling market. For example, in the early stage, the government can grant sufficient carbon quotas to building materials production enterprises based on their recycling situations and make up for the relatively high recycling costs by increasing their carbon-trading income. In the mature period of the recycling market, the government can moderately reduce the carbon quota of enterprises to stimulate them to produce and sell more renewable products. In addition, consumers’ purchase intention has a great impact on the development of the C&DW industry [45]. The government can actively use recycled building materials in public construction projects to eliminate the public’s concerns about the quality of C&DW recycled products. The government can also effectively promote C&DW recycled building materials through public welfare lectures and helping enterprises hold exhibitions of renewable products, so as to enhance the public’s confidence and support for recycled building materials and stimulate market demand.
6. Limitations and Future Research
Author Contributions
Funding
Data Availability Statement
Conflicts of Interest
Appendix A
- ①
- When , if , (0, ), there , (0,) is the equilibrium point of system.
- ②
- When , if , (), there , () is the equilibrium point of system.
- ③
- When , if , (), there , () is the equilibrium point of system.
- ④
- When , if , (1, ), there , (1, ) is the equilibrium point of system.
- ⑤
- When , if , (), there , () is the equilibrium point of system.
- ⑥
- When ,if , (), there , () is the equilibrium point of system. □
References
- Su, Y.; Si, H.; Chen, J.; Wu, G. Promoting the sustainable development of the recycling market of construction and demolition waste: A stakeholder game perspective. J. Clean. Prod. 2020, 277, 122281. [Google Scholar] [CrossRef]
- Wilson, D.C.; Rodic, L.; Modak, P.; Soos, R.; Carpintero, A.; Velis, K.; Iyer, M.; Simonett, O. Global Waste Management Outlook; UNEP: Nairobi, Kenya, 2015. [Google Scholar]
- Islam, R.; Nazifa, T.H.; Yuniarto, A.; Uddin, A.S.; Salmiati, S.; Shahid, S. An empirical study of construction and demolition waste generation and implication of recycling. Waste Manag. 2019, 95, 10–21. [Google Scholar] [CrossRef] [PubMed]
- Ma, M.; Tam, V.W.; Le, K.N.; Li, W. Challenges in current construction and demolition waste recycling: A China study. Waste Manag. 2020, 118, 610–625. [Google Scholar] [CrossRef] [PubMed]
- Duan, H.; Miller, T.R.; Liu, G.; Tam, V.W. Construction debris becomes growing concern of growing cities. Waste Manag. 2019, 83, 1–5. [Google Scholar] [CrossRef]
- Huang, B.; Wang, X.; Kua, H.; Geng, Y.; Bleischwitz, R.; Ren, J. Construction and demolition waste management in China through the 3R principle. Resour. Conserv. Recycl. 2018, 129, 36–44. [Google Scholar] [CrossRef]
- Li, G.; Liu, J.; Giordano, A. Robust optimization of construction waste disposal facility location considering uncertain factors. J. Clean. Prod. 2022, 353, 131455. [Google Scholar] [CrossRef]
- Seror, N.; Portnov, B.A. Identifying areas under potential risk of illegal construction and demolition waste dumping using GIS tools. Waste Manag. 2018, 75, 22–29. [Google Scholar] [CrossRef]
- Udawatta, N.; Zuo, J.; Chiveralls, K.; Zillante, G. Improving waste management in construction projects: An Australian study. Resour. Conserv. Recycl. 2015, 101, 73–83. [Google Scholar] [CrossRef]
- Wang, C.; Sheng, Y.; Wang, J.; Wang, Y.; Wang, P.; Huang, L. Air Pollution and Human Health: Investigating the Moderating Effect of the Built Environment. Remote Sens. 2022, 14, 3703. [Google Scholar] [CrossRef]
- Guo, F.; Wang, J.; Song, Y. How to promote sustainable development of construction and demolition waste recycling systems: Production subsidies or consumption subsidies? Sustain. Prod. Consum. 2022, 32, 407–423. [Google Scholar] [CrossRef]
- Zhao, X.; Ma, X.; Chen, B.; Shang, Y.; Song, M. Challenges toward carbon neutrality in China: Strategies and countermeasures. Resour. Conserv. Recycl. 2022, 176, 105959. [Google Scholar] [CrossRef]
- Gyurkó, Z.; Jankus, B.; Fenyvesi, O.; Nemes, R. Sustainable applications for utilization the construction waste of aerated concrete. J. Clean. Prod. 2019, 230, 430–444. [Google Scholar] [CrossRef]
- Li, L.; Liu, Q.; Huang, T.; Peng, W. Mineralization and utilization of CO2 in construction and demolition wastes recycling for building materials: A systematic review of recycled concrete aggregate and recycled hardened cement powder. Sep. Purif. Technol. 2022, 298, 121512. [Google Scholar] [CrossRef]
- Ding, T.; Xiao, J. Estimation of building-related construction and demolition waste in Shanghai. Waste Manag. 2014, 34, 2327–2334. [Google Scholar] [CrossRef] [PubMed]
- Wang, T.-K.; Wu, Z.; Luo, C. Multi-participant construction waste demolition and transportation decision-making system. Resour. Conserv. Recycl. 2021, 170, 105575. [Google Scholar] [CrossRef]
- Jin, R.; Li, B.; Zhou, T.; Wanatowski, D.; Piroozfar, P. An empirical study of perceptions towards construction and demolition waste recycling and reuse in China. Resour. Conserv. Recycl. 2017, 126, 86–98. [Google Scholar] [CrossRef]
- Yu, S.; Awasthi, A.K.; Ma, W.; Wen, M.; Di Sarno, L.; Wen, C.; Hao, J.L. In support of circular economy to evaluate the effects of policies of construction and demolition waste management in three key cities in Yangtze River Delta. Sustain. Chem. Pharm. 2022, 26, 100625. [Google Scholar] [CrossRef]
- Chen, J.; Hua, C.; Liu, C. Considerations for better construction and demolition waste management: Identifying the decision behaviors of contractors and government departments through a game theory decision-making model. J. Clean. Prod. 2019, 212, 190–199. [Google Scholar] [CrossRef]
- Sarkis, J. A comparative analysis of DEA as a discrete alternative multiple criteria decision tool. Eur. J. Oper. Res. 2000, 123, 543–557. [Google Scholar] [CrossRef]
- Su, Y. Multi-agent evolutionary game in the recycling utilization of construction waste. Sci. Total Environ. 2020, 738, 139826. [Google Scholar] [CrossRef]
- Soltani, A.; Hewage, K.; Reza, B.; Sadiq, R. Multiple stakeholders in multi-criteria decision-making in the context of municipal solid waste management: A review. Waste Manag. 2015, 35, 318–328. [Google Scholar] [CrossRef] [PubMed]
- Marzouk, M.; Azab, S. Environmental and economic impact assessment of construction and demolition waste disposal using system dynamics. Resour. Conserv. Recycl. 2014, 82, 41–49. [Google Scholar] [CrossRef]
- Qiao, L.; Tang, Y.; Li, Y.; Liu, M.; Yuan, X.; Wang, Q.; Ma, Q. Life cycle assessment of three typical recycled products from construction and demolition waste. J. Clean. Prod. 2022, 376, 134139. [Google Scholar] [CrossRef]
- Patra, I.; Al-Awsi, G.R.L.; Hasan, Y.M.; Almotlaq, S.S.K. Mechanical properties of concrete containing recycled aggregate from construction waste. Sustain. Energy Technol. Assess. 2022, 53, 102722. [Google Scholar] [CrossRef]
- Abera, Y.S.A. Performance of concrete materials containing recycled aggregate from construction and demolition waste. Results Mater. 2022, 14, 100278. [Google Scholar] [CrossRef]
- Ma, L.; Zhang, L. Evolutionary game analysis of construction waste recycling management in China. Resour. Conserv. Recycl. 2020, 161, 104863. [Google Scholar] [CrossRef]
- Yuan, H.; Lu, W.; Hao, J.J. The evolution of construction waste sorting on-site. Renew. Sustain. Energy Rev. 2013, 20, 483–490. [Google Scholar] [CrossRef]
- Wang, Y.; Guo, C.-H.; Chen, X.-J.; Jia, L.-Q.; Guo, X.-N.; Chen, R.-S.; Zhang, M.-S.; Chen, Z.-Y.; Wang, H.-D. Carbon peak and carbon neutrality in China: Goals, implementation path and prospects. China Geol. 2021, 4, 720–746. [Google Scholar] [CrossRef]
- Eissa, R.; Eid, M.S.; Elbeltagi, E. Current applications of game theory in construction engineering and management research: A social network analysis approach. J. Constr. Eng. Manag. 2021, 147, 04021066. [Google Scholar] [CrossRef]
- Jiang, S.; Wei, X.; Jia, J.; Ma, G. Toward sustaining the development of green residential buildings in China: A tripartite evolutionary game analysis. Build. Environ. 2022, 223, 109466. [Google Scholar] [CrossRef]
- Babu, S.; Mohan, U. An integrated approach to evaluating sustainability in supply chains using evolutionary game theory. Comput. Oper. Res. 2018, 89, 269–283. [Google Scholar] [CrossRef]
- Yuan, H.; Shen, L.; Hao, J.J.; Lu, W. A model for cost–benefit analysis of construction and demolition waste management throughout the waste chain. Resour. Conserv. Recycl. 2011, 55, 604–612. [Google Scholar] [CrossRef]
- Di Maria, A.; Eyckmans, J.; Van Acker, K. Downcycling versus recycling of construction and demolition waste: Combining LCA and LCC to support sustainable policy making. Waste Manag. 2018, 75, 3–21. [Google Scholar] [CrossRef] [PubMed]
- Wang, P.; Yang, Y.; Ji, C.; Huang, L. Influence of built environment on building energy consumption: A case study in Nanjing, China. Environ Dev Sustain. 2024, 26, 5199–5222. [Google Scholar] [CrossRef]
- Chuai, X.; Huang, X.; Lu, Q.; Zhang, M.; Zhao, R.; Lu, J. Spatiotemporal changes of built-up land expansion and carbon emissions caused by the Chinese construction industry. Environ. Sci. Technol. 2015, 49, 13021–13030. [Google Scholar] [CrossRef]
- Zhang, Z.; Wang, B. Research on the life-cycle CO2 emission of China’s construction sector. Energy Build. 2016, 112, 244–255. [Google Scholar] [CrossRef]
- Guo, J.; Li, C. Does China’s carbon emissions trading policy improve enterprise green Innovation? Financ. Res. Lett. 2024, 69, 106214. [Google Scholar] [CrossRef]
- Friedman, D. Evolutionary games in economics. Econom. J. Econom. Soc. 1991, 59, 637–666. [Google Scholar] [CrossRef]
- Li, X.; Alam, K.M.; Wang, S. Trend analysis of Pakistan railways based on industry life cycle theory. J. Adv. Transp. 2018, 2018, 2670346. [Google Scholar] [CrossRef]
- Zheng, J.; Tan, R.; Yu, M.; Tang, Z.; Zhang, J. Optimal decisions of construction and demolition waste recycling based on reference green effect under different subsidy models. Comput. Ind. Eng. 2024, 196, 110479. [Google Scholar] [CrossRef]
- Su, Y.; Xu, Y.; Bao, Z.; Ng, S.T.; Gao, Q. Stakeholder interactions of government intervention in construction and demolition waste recycling market: A game theory approach. Dev. Built Environ. 2024, 18, 100391. [Google Scholar] [CrossRef]
- Jia, S.; Yan, G.; Shen, A.; Zheng, J. Dynamic simulation analysis of a construction and demolition waste management model under penalty and subsidy mechanisms. J. Clean. Prod. 2017, 147, 531–545. [Google Scholar] [CrossRef]
- Ma, W.; Hao, J.L.; Zhang, C.; Guo, F.; Di Sarno, L. System dynamics-life cycle assessment causal loop model for evaluating the carbon emissions of building refurbishment construction and demolition waste. Waste Biomass Valorization 2022, 13, 4099–4113. [Google Scholar] [CrossRef]
- Xu, Y.; Liu, C.; Wei, F.; Zhao, S.; Mao, H. The influence of government subsidies on remanufacturers’ production decisions, considering product quality, customer purchase intention, and carbon emissions. J. Clean. Prod. 2024, 443, 141130. [Google Scholar] [CrossRef]









| Parameters | Descriptions |
|---|---|
| The cost for construction enterprises to participate in C&DW recycling | |
| The benefits for construction enterprises to participate in C&DW recycling | |
| The effort level of the construction enterprises in the implementation of waste recycling | |
| K | The sorting cost of legally disposing of C&DW by the construction enterprises |
| The construction enterprises profits from shipping C&DW to landfills for disposal | |
| When the construction enterprises choose to “implement C&DW recycling”, while the building materials production enterprises choose “non-implement”, the possible income of the construction enterprises. | |
| Construction enterprises and building materials production enterprises choose the income distribution coefficient of “implement C&DW recycling”. | |
| C&DW recovery cost of building materials production enterprises | |
| Earnings of building materials production enterprises participating in C&DW recycling | |
| C | Total cost of C&DW sorting recycling |
| R | Total income of construction enterprises and building materials production enterprises choosing “implementation” strategy. |
| When the construction enterprise chooses “non-implement” and the building materials production enterprise chooses “implement”, the building materials production enterprise suffers the loss. | |
| Profits of building materials production enterprises using natural materials to produce building materials. | |
| Ct | The cost of upgrading equipment or investing in technology in order to recycle C&DW by building materials manufacturers. |
| φP | φ is used to represent the carbon trading quota brought by the production of recycled products, and P is the carbon trading revenue. |
| The government regulates the cost of C&DW recycling. | |
| The government regulates the proceeds from C&DW recycling. | |
| The government does not regulate the proceeds of C&DW recycling | |
| Although the government’s supervision has not effectively avoided the discharge of C&DW, the government has won a good reputation. | |
| Enterprises do not participate in C&DW recycling, and the government needs to pay the environmental governance cost. | |
| Construction enterprises that do not participate in C&DW recycling will be fined. | |
| The building materials production enterprises that do not participate in C&DW recycling shall be fined. | |
| Subsidy coefficient for construction enterprises involved in C&DW recycling. | |
| The subsidy coefficient of the construction materials production enterprises involved in C&DW recycling. |
| Game Players | Construction Enterprises (x) | Construction Enterprises (1 − x) | |
|---|---|---|---|
| Government (z) | Building materials production enterprises (y) | G: | G: |
| C: | C: | ||
| B: | B: | ||
| Building materials production enterprises (1 − y) | G: | G: | |
| C: | C: | ||
| B: | B: | ||
| Government (1 − z) | Building materials (y) | G:() | G: |
| C: | C: | ||
| B: | B: | ||
| Building materials (1 − y) | G: | G: | |
| C: | C: | ||
| B: | B: |
| Equilibrium Points | Eigenvalue 1 | Eigenvalue 2 | Eigenvalue 3 |
|---|---|---|---|
| O (0,0,0) | |||
| A (0,0,1) | |||
| B (0,1,0) | )] | ||
| C (0,1,1) | |||
| D (1,0,0) | |||
| E (1,0,1) | |||
| F (1,1,0) | |||
| G (1,1,1) |
| Equilibrium Points | Stable Condition | Stability | ||
|---|---|---|---|---|
| O (0,0,0) | Asymptotic stability point | |||
| A (0,0,1) | Asymptotic stability point | |||
| B (0,1,0) | Unstable point | |||
| C (0,1,1) | Asymptotic stability point | |||
| D (1,0,0) | Asymptotic stability point | |||
| E (1,0,1) | Asymptotic stability point | |||
| F (1,1,0) | Asymptotic stability point | |||
| G (1,1,1) | Asymptotic stability point |
| Parameters | |||||||||||||||||
|---|---|---|---|---|---|---|---|---|---|---|---|---|---|---|---|---|---|
| Initial stage | 35 | 0.2 | 0.1 | 0.2 | 0.1 | 20 | 55 | 18 | −5 | −1 | 7 | 13 | 18 | 0.2 | 20 | 13 | 0.5 |
| Developmental stage | 20 | 0.3 | 0.2 | 0.3 | 0.2 | 20 | 55 | 18 | −5 | −1 | 7 | 13 | 18 | 0.2 | 20 | 13 | 0.5 |
| Mid-term development stage | 18 | 0.6 | 0.6 | 0.5 | 0.5 | 20 | 55 | 18 | −5 | −1 | 7 | 13 | 18 | 0.2 | 20 | 13 | 0.5 |
| Mature stage | 18 | 0.6 | 0.6 | 0.7 | 0.7 | 20 | 44 | 18 | −5 | −2 | 7 | 13 | 24 | 0.2 | 13 | 10 | 0.5 |
Disclaimer/Publisher’s Note: The statements, opinions and data contained in all publications are solely those of the individual author(s) and contributor(s) and not of MDPI and/or the editor(s). MDPI and/or the editor(s) disclaim responsibility for any injury to people or property resulting from any ideas, methods, instructions or products referred to in the content. |
© 2024 by the authors. Licensee MDPI, Basel, Switzerland. This article is an open access article distributed under the terms and conditions of the Creative Commons Attribution (CC BY) license (https://creativecommons.org/licenses/by/4.0/).
Share and Cite
Chen, Z.; Li, K.; Tan, H.; Liu, J.; Wu, X.; Wang, P. Paraphrase the Obstacles to the Recycling of Construction and Demolition Waste: A Perspective of the Evolutionary Game of Three Stakeholders. Buildings 2024, 14, 3664. https://doi.org/10.3390/buildings14113664
Chen Z, Li K, Tan H, Liu J, Wu X, Wang P. Paraphrase the Obstacles to the Recycling of Construction and Demolition Waste: A Perspective of the Evolutionary Game of Three Stakeholders. Buildings. 2024; 14(11):3664. https://doi.org/10.3390/buildings14113664
Chicago/Turabian StyleChen, Zhangli, Keying Li, Haowen Tan, Jiawen Liu, Xizhen Wu, and Peng Wang. 2024. "Paraphrase the Obstacles to the Recycling of Construction and Demolition Waste: A Perspective of the Evolutionary Game of Three Stakeholders" Buildings 14, no. 11: 3664. https://doi.org/10.3390/buildings14113664
APA StyleChen, Z., Li, K., Tan, H., Liu, J., Wu, X., & Wang, P. (2024). Paraphrase the Obstacles to the Recycling of Construction and Demolition Waste: A Perspective of the Evolutionary Game of Three Stakeholders. Buildings, 14(11), 3664. https://doi.org/10.3390/buildings14113664

