Research on the Geosynthetic-Encased Gravel Pile Composite Highway Foundation in Low-Temperature Stable Permafrost Regions
Abstract
1. Introduction
2. Materials and Methods
2.1. Thermal Properties and Mechanical Constitutive Model of Frozen Soil
2.2. Material and Model Size
2.2.1. Equipment, Materials, and Sample Size of Indoor Test
2.2.2. Model Size in FEM
2.2.3. Material Parameters in FEM
2.3. Boundary and Initial Conditions of FEM
2.3.1. Boundary and Initial Conditions in Verification Models
2.3.2. Boundary and Initial Conditions in Formal Analysis Models
- The permafrost was initially assumed to be in a completely frozen state. Applying gravity load on the embankment and composite foundation model, a static analysis yielded the first stress and displacement field, typically characterized by significant displacement values.
- Utilizing the initial temperature field from Table 6, another model was established incorporating a frozen soil constitutive model. The stress field obtained from the previous step served as the predefined field. Employing a small time increment (1e−11 months in this study) for static analysis, a new stress and displacement field was derived. This process was iterated until the maximum displacement value in the final field was sufficiently small, indicating geo-stress equilibrium.
- The stress field obtained in step 2 was then adopted as the initial stress field and used as the predefined field in subsequent calculation models.
3. Results and Discussion
3.1. Verification of FEM
3.1.1. Verification of Finite Element Gravel Pile Model
3.1.2. Verification of Finite Element Frozen Soil Model
3.1.3. Verification of Model Convergence
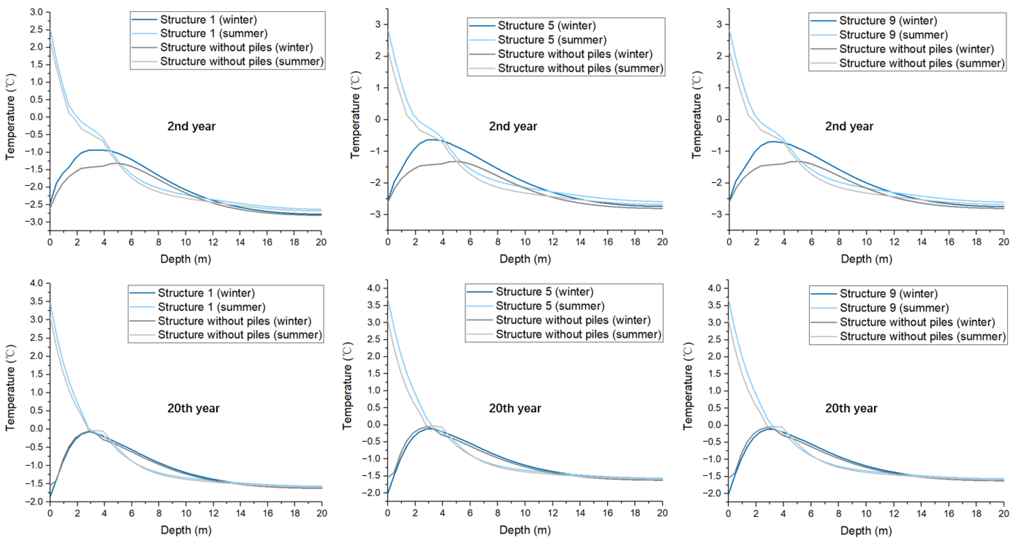
3.2. Temperature Field of Pile Composite Permafrost Foundation
3.3. Confining Pressure of Piles in Composite Foundation
3.4. Long-Term Settlement of Permafrost Foundation
3.5. Design of Geosynthetic-Encased Gravel Pile Composite Foundations
4. Conclusions
- (1)
- The geosynthetic-encased gravel pile composite foundation structure has a significant impact on the permafrost ground temperature. This effect is most pronounced in the first two years after construction and gradually diminishes over time, indicating that except for the geometrical characteristics of the piles, the initial temperature of pile materials and construction disturbance are also important factors that influence the permafrost temperature field. Among the geometrical factors that influence the temperature field in the composite foundation, pile length has the most significant effect, followed by the number of piles (pile spacing);
- (2)
- The freeze–thaw cycles of the frozen soil around piles result in volume changes that cause the confining pressure provided by the frozen soil to fluctuate significantly with the changing seasons. Over time, the fluctuation amplitude becomes progressively larger. However, with the encasement with the use of geosynthetics, the seasonal fluctuation in the confining pressure is no longer significant. Thus, the use of a geosynthetic ensures the stability of the bearing capacity of the gravel piles;
- (3)
- There is a strong correlation between the uneven foundation deformation value and the maximum foundation displacement value, while the maximum mean ground temperature (MMGT) shows a significant negative correlation with both of them. Therefore, in low-temperature stable permafrost areas, reducing uneven foundation settlement in geosynthetic-encased gravel pile composite highway foundations comes at the cost of increasing ground temperature and destroying permafrost. Since the correlation between foundation settlement and the maximum MMGT is nonlinear, the effect of reducing uneven settlement decreases with increasing ground temperature;
- (4)
- Pile length has the greatest influence on uneven foundation settlement, while pile diameter has the greatest influence on the pile–soil stress ratio. However, there is no significant correlation between the pile–soil stress ratio and the uneven foundation settlement. Therefore, pile length should be the main consideration to guarantee the piles are long enough. Pile diameter and the number of piles (pile spacing) have little effect on the reduction in long-term uneven settlement but can impact the permafrost temperature field;
- (5)
- When the geosynthetic-encased gravel pile composite foundation is properly designed, the MMGT of composite permafrost foundations will not be influenced significantly. It is suggested to adopt a 0.5 m pile diameter, 2 m pile spacing, and 11 m pile length.
Author Contributions
Funding
Data Availability Statement
Conflicts of Interest
Appendix A. Thermal Parameters of Frozen Soil
Appendix B. Constitutive Model of Frozen Soil

References
- Tai, B.; Wu, Q.; Jiang, G. Effects of complex environment on soil thermal regime alteration under crushed-rock embankment structures in the permafrost region on the Roof of the World. Cold Reg. Sci. Technol. 2024, 217, 104023. [Google Scholar] [CrossRef]
- He, Y.; Gao, J.; Wang, H. Variation in Subgrade Temperature of Highway in Seasonal Frozen Soil Region. J. Cold Reg. Eng. 2023, 37, 5023003. [Google Scholar] [CrossRef]
- Hjort, J.; Streletskiy, D.; Doré, G.; Wu, Q.; Bjella, K.; Luoto, M. Impacts of permafrost degradation on infrastructure. Nat. Rev. Earth Environ. 2022, 3, 24–38. [Google Scholar] [CrossRef]
- Cheng, G.; He, P. Linearity engineering in permafrost areas. J. Glaciol. Geocryol. 2001, 3, 213–217. [Google Scholar]
- Khrustalyov, L.N. Selection of principles for the use of permafrost materials as a foundation for buildings and structures. Int. Conf. Permafr. Proc. 1983, 4, 606–611. [Google Scholar]
- Wu, Q.; Niu, F. Permafrost changes and engineering stability in Qinghai-Xizang Plateau. Chin. Sci. Bull. 2013, 58, 115–130. [Google Scholar] [CrossRef]
- Wang, G. Performances of Highway Geosynthetic Encased Lime Columns Foundations in Degraded Permafrost Regions. Master’s Thesis, Harbin Institute of Technology, Harbin, China, 2020. [Google Scholar]
- Wang, K.; Cao, J.; Ye, J.; Qiu, Z.; Wang, X. Discrete element analysis of geosynthetic-reinforced pile-supported embankments. Constr. Build. Mater. 2024, 449, 138448. [Google Scholar] [CrossRef]
- Qiu, H.; Wang, H.; Ayasrah, M.M.; Zhou, Z.; Li, B. Study on Horizontal Bearing Capacity of Pile Group Foundation Composed of Inclined and Straight Piles. Buildings 2023, 13, 690. [Google Scholar] [CrossRef]
- Wang, J.; Zhang, C. Field Investigation on Thermo-Mechanical Behaviors of Pre-melting Lime Pile in Permafrost Regions. In Proceedings of the China-Europe Conference on Geotechnical Engineering; Springer: Cham, Switzerland, 2018; pp. 1416–1419. [Google Scholar]
- Wei, S.; Tao, Y.; Ying, G.; Chengcheng, Z.; Zhaoguang, H.; Yuzhuo, W. Thermohydromechanical coupling analysis and engineering verification of gravel pile groups for strengthening permafrost marshland highway foundations. B Eng. Geol. Environ. 2022, 81, 294. [Google Scholar] [CrossRef]
- Pei, Q.; Xue, X. Research on bearing capacity and settlement of CFG pile raft composite foundation in permafrost region. Highw. Eng. 2017, 42, 202–206. [Google Scholar]
- You, Y.; Yu, Q.; Wang, X.; Guo, L.; Chen, K.; Wu, Q. Effects of thermosyphons on the thermal regime and stability of cast-in-place piles in permafrost regions on the Qinghai-Tibet Plateau. Permafr. Periglac. 2022, 33, 277–285. [Google Scholar] [CrossRef]
- Jia, Y.; Guo, H.; Guo, Q. Finite element analysis of bored pile-frozen soil interactions in permafrost. Chin. J. Rock. Mech. Eng. 2007, S1, 3134–3140. [Google Scholar]
- Huang, Y.; Niu, F.; Chen, J.; He, P.; Yuan, K.; Su, W. Express highway embankment distress and occurring probability in permafrost regions on the Qinghai-Tibet Plateau. Transp. Geotechnol. 2023, 42, 101069. [Google Scholar] [CrossRef]
- Liu, J.; Jia, Y. Temperature analysis of CFG pile composite foundation in high latitudes and low altitude island permafrost. Int. J. Struct. Integr. 2019, 10, 85–101. [Google Scholar] [CrossRef]
- Wang, J. Influence of temperature history on compressive strength of early age concrete. J. Northwest A F Univ. 2014, 42, 228–234. [Google Scholar]
- Zhang, X.; Cai, G.; Xu, Y. Research on antifreeze performance of CFG pile improved by rubber particles instead of fly ash. Highway 2022, 67, 93–99. [Google Scholar]
- Ma, T.; Tang, T.; Huang, X.; Ding, X.; Zhang, Y.; Zhang, D. Thermal stability investigation of wide embankment with asphalt pavement for Qinghai-Tibet expressway based on finite element method. Appl. Therm. Eng. 2017, 115, 874–884. [Google Scholar] [CrossRef]
- Zhang, Y.; Michalowski, R.L. Thermal-Hydro-Mechanical Analysis of Frost Heave and Thaw Settlement. J. Geotech. Geoenviron. 2015, 141, 4015027. [Google Scholar] [CrossRef]
- Zhao, R.; Wang, S.; Huang, X.; Ma, T.; Chen, J.; Luo, H. Research on the deformation and damage process of crushed-rock highway embankment in permafrost areas. Comput. Part. Mech. 2024. [Google Scholar] [CrossRef]
- Lu, D.; Liang, J.; Du, X.; Ma, C.; Gao, Z. Fractional elastoplastic constitutive model for soils based on a novel 3D fractional plastic flow rule. Comput. Geotech. 2019, 105, 277–290. [Google Scholar] [CrossRef]
- Lu, D.; Ma, C.; Du, X.; Jin, L.; Gong, Q. Development of a New Nonlinear Unified Strength Theory for Geomaterials Based on the Characteristic Stress Concept. Int. J. Geomech. 2017, 17, 4016058. [Google Scholar] [CrossRef]
- Fukuda, M.; Kim, H.S.; Kim, Y.C. Preliminary results of frost heave experiments using standard test sample provided by TC8. In International Symposium on Ground Freezing and Frost Action in Soils; Balkema, A.A., Ed.; Brookfield: Toronto, ON, Canada, 1997; pp. 25–30. [Google Scholar]
- Qi, J.; Hu, W.; Ma, W. Experimental study of a pseudo-preconsolidation pressure in frozen soils. Cold Reg. Sci. Technol. 2010, 60, 230–233. [Google Scholar] [CrossRef]
- Mo, H. Study on Bearing Deformation Mechanism of Composite Foundation with Floating Geosynthetic Encased Stone Columns. Master’s Thesis, Guangzhou University, Guangzhou, China, 2020. [Google Scholar]
- Liu, J.R.; Zheng, J.; Fu, D.; Wang, P. Orthogonal test and experimental study on fire floating pump. IOP Conf. Ser. Mater. Sci. Eng. 2013, 52, 32010. [Google Scholar] [CrossRef]
- Liu, S.; Guo, P.; Li, X.; Wang, K.; Tang, R.; Wang, Y. Settlement Behavior of Composite Foundation with Deep Mixed Piles Supporting Highway Subgrades in Water-Rich Flood Plains. Water 2023, 15, 2048. [Google Scholar] [CrossRef]
- Gao, J.; Zhang, Y.; Wang, C.; Yuan, C. Behavior characteristics of geosynthetic-encased stone column under cyclic loading. Transp. Geotechnol. 2021, 28, 100554. [Google Scholar] [CrossRef]
- Yu, J.; Zhou, J.; Gong, X.; Xu, R.; Li, J.; Xu, S. Centrifuge study on behavior of rigid pile composite foundation under embankment in soft soil. Acta Geotechnol. 2021, 16, 1909–1921. [Google Scholar] [CrossRef]
- Shang, Y.; Niu, F.; Wu, X.; Liu, M. A novel refrigerant system to reduce refreezing time of cast-in-place pile foundation in permafrost regions. Appl. Therm. Eng. 2018, 128, 1151–1158. [Google Scholar] [CrossRef]
- Biggar, K.; Sego, D. The Curing and Strength Characteristics of Cold Setting Ciment Fondu Grout. In Proceedings of the 5th Canadian Permafrost Conference, Quebec City, QC, Canada, 5–8 June 1990; pp. 349–355. [Google Scholar]
- Wu, Y.; Guo, J.; Guo, C.; Ma, W.; Wang, X. Exothermic process of cast-in-place pile foundation and its thermal agitation of the frozen ground under a long dry bridge on the Qinghai-Tibet Railway. J. Zhejiang Univ. Sci. A 2010, 11, 88–96. [Google Scholar] [CrossRef]
- Wang, X.; Liu, C.; Liu, S.; Yan, C.; Zhang, J.; Li, H. Compressive strength of pile foundation concrete in permafrost environment in China. Constr. Build. Mater. 2020, 247, 118431. [Google Scholar] [CrossRef]
- Gao, Q.; Wen, Z.; Ming, F.; Liu, J.; Zhang, M.; Wei, Y. Applicability evaluation of cast-in-place bored pile in permafrost regions based on a temperature-tracking concrete hydration model. Appl. Therm. Eng. 2019, 149, 484–491. [Google Scholar] [CrossRef]
- Yu, F.; Qi, J.; Yao, X.; Liu, Y. Degradation process of permafrost underneath embankments along Qinghai-Tibet Highway: An engineering view. Cold Reg. Sci. Technol. 2013, 85, 150–156. [Google Scholar] [CrossRef]
- Yu, F.; Qi, J.; Yao, X.; Liu, Y. Comparison of permafrost degradation under natural ground surfaces and embankments of the Qinghai–Tibet Highway. Cold Reg. Sci. Technol. 2015, 114, 1–8. [Google Scholar] [CrossRef]
- Zhao, Y. Study on Bearing Characteristics of Concrete Pipe Pile Composite Foundation in Island Permafrost Area based on Pile-soil Interaction Mechanism. Ph.D. Thesis, Chang’an University, Xi’an, China, 2022. [Google Scholar]
- Wu, Q.; Zhang, Z.; Liu, Y. Long-term thermal effect of asphalt pavement on permafrost under an embankment. Cold Reg. Sci. Technol. 2010, 60, 221–229. [Google Scholar] [CrossRef]
- Xu, X.; Wang, J.; Zhang, L. Physics of Frozen Soil; Science Press: Beijing, China, 2001. [Google Scholar]























| Number | Elastic Modulus (MPa) | Pile Diameter (m) | a (m) | b (m) | Pile Number | Pile Length (m) | 
|---|---|---|---|---|---|---|
| 1 | 40 | 0.5 | 2.72 | 1.78 | 9 | 5 | 
| 2 | 40 | 0.6 | 1.6 | 1.1 | 13 | 8 | 
| 3 | 40 | 0.7 | 0.95 | 0.65 | 17 | 11 | 
| 4 | 50 | 0.5 | 1.57 | 1.21 | 13 | 11 | 
| 5 | 50 | 0.6 | 0.92 | 0.76 | 17 | 5 | 
| 6 | 50 | 0.7 | 2.75 | 1.55 | 9 | 8 | 
| 7 | 60 | 0.5 | 0.89 | 0.87 | 17 | 8 | 
| 8 | 60 | 0.6 | 2.73 | 1.67 | 9 | 11 | 
| 9 | 60 | 0.7 | 1.62 | 0.99 | 13 | 5 | 
| Material | Density (kg/m3) | Elastic Modulus (MPa) | Poisson’s Ratio | Friction Angle (°) | Dilation Angle (°) | Cohesion Stress (kPa) | 
|---|---|---|---|---|---|---|
| Geosynthetic-encased gravel pile | 1500 | 50 | 0.27 | 42.9 | 0 | 0 | 
| Soft soil | 1900 | 0.7 | 0.3 | 0 | 0 | 3.5 | 
| Layer | Embankment | Nature Ground Layer I | Nature Ground Layer II | Nature Ground Layer III | 
|---|---|---|---|---|
| 710 | 730 | 750 | 750 | |
| 790 | 840 | 840 | 840 | |
| 2090 | 2090 | 2090 | 2090 | |
| 4182 | 4182 | 4182 | 4182 | |
| 1800 | 1700 | 1300 | 1500 | |
| 25 | 30 | 30 | 30 | |
| −0.20 | −0.10 | −0.19 | −0.05 | |
| b | 0.610 | 0.733 | 0.574 | 0.474 | 
| 1.98 | 2.69 | 1.22 | 1.82 | |
| 1.92 | 1.95 | 0.87 | 1.47 | |
| 9.35 | 46.6 | 373 | 3.44 | |
| 334.56 | 334.56 | 334.56 | 334.56 | 
| Thickness (cm) | Material | Density (kg·m−3) | Heat Conductivity Coefficient (J·h−1·m−1·K−1) | Specific Heat Capacities (J·kg−1·K−1) | Elastic Modulus | Poisson’s Ratio | 
|---|---|---|---|---|---|---|
| 4 | Asphalt concrete-13 | 2300 | 4140 | 1670 | 1550 | 0.25 | 
| 5 | Asphalt concrete-20 | 2320 | 4320 | 1670 | 1500 | 0.25 | 
| 12 | ATP-25 | 2350 | 2916 | 1260 | 1200 | 0.25 | 
| 24 | Cement-treated macadam | 2200 | 5616 | 960 | 1400 | 0.25 | 
| 20 | Graded gravel | 2000 | 6048 | 1100 | 250 | 0.25 | 
| 150 | Crushed-rock interlayer | 1490 | 1426 | 839 | 200 | 0.35 | 
| λ | κ | P0 (kPa) | Pr (kPa) | M | α1 | α2 | β | w* | w0 | T0 (°C) | a (°C−1) | α3 | e0 | 
|---|---|---|---|---|---|---|---|---|---|---|---|---|---|
| 0.323 | 0.062 | 687 | 100 | 0.7 | 0.4 | 1.8 | 0.18 | 0. 083 | 0.306 | 0 | 0.131 | 0.6 | 0.43 | 
| Depth (m) | 0.5 | 1.0 | 1.5 | 2.0 | 2.5 | 3.0 | 3.5 | 4.0 | 4.5 | 5.0 | 
| Temperature (°C) | 5.27 | 1.78 | −0.29 | −1.24 | −2.19 | −2.41 | −2.7 | −2.87 | −2.87 | −2.93 | 
| Depth (m) | 5.5 | 6.0 | 6.5 | 7.0 | 7.5 | 8.0 | 8.5 | 9.0 | 9.5 | 10.0 | 
| Temperature (°C) | −2.96 | −2.94 | −2.99 | −2.84 | −3 | −3 | −3 | −3 | −3 | −2.84 | 
| Elastic Modulus (MPa) | Column Diameter (m) | Column Number | Column Length (m) | 
|---|---|---|---|
| 50 | 0.5 | 9 | 11 | 
| Disclaimer/Publisher’s Note: The statements, opinions and data contained in all publications are solely those of the individual author(s) and contributor(s) and not of MDPI and/or the editor(s). MDPI and/or the editor(s) disclaim responsibility for any injury to people or property resulting from any ideas, methods, instructions or products referred to in the content. | 
© 2024 by the authors. Licensee MDPI, Basel, Switzerland. This article is an open access article distributed under the terms and conditions of the Creative Commons Attribution (CC BY) license (https://creativecommons.org/licenses/by/4.0/).
Share and Cite
Tian, R.; Huang, X.; Zhao, R.; Luo, H. Research on the Geosynthetic-Encased Gravel Pile Composite Highway Foundation in Low-Temperature Stable Permafrost Regions. Buildings 2024, 14, 3612. https://doi.org/10.3390/buildings14113612
Tian R, Huang X, Zhao R, Luo H. Research on the Geosynthetic-Encased Gravel Pile Composite Highway Foundation in Low-Temperature Stable Permafrost Regions. Buildings. 2024; 14(11):3612. https://doi.org/10.3390/buildings14113612
Chicago/Turabian StyleTian, Rongyan, Xiaoming Huang, Runmin Zhao, and Haoyuan Luo. 2024. "Research on the Geosynthetic-Encased Gravel Pile Composite Highway Foundation in Low-Temperature Stable Permafrost Regions" Buildings 14, no. 11: 3612. https://doi.org/10.3390/buildings14113612
APA StyleTian, R., Huang, X., Zhao, R., & Luo, H. (2024). Research on the Geosynthetic-Encased Gravel Pile Composite Highway Foundation in Low-Temperature Stable Permafrost Regions. Buildings, 14(11), 3612. https://doi.org/10.3390/buildings14113612
 
        



 
       