Optimized bp Neural Network Based on Improved Dung Beetle Optimization Algorithm to Predict High-Performance Concrete Compressive Strength
Abstract
1. Introduction
2. Materials and Methods
2.1. BP Neural Network
2.2. Feature Selection in Extreme Gradient Boosting
2.3. Dung Beetle Algorithm
2.3.1. Ball-Rolling Dung Beetle
2.3.2. Brood Ball Dung Beetle
2.3.3. Small Dung Beetle
2.3.4. Thief Dung Beetle
2.4. Improved Dung Beetle Algorithm
2.4.1. Optimal Latin Hypercube Sampling (OLHS)
2.4.2. Global Exploration Strategy in the Osprey Optimization Algorithm
2.4.3. Variable Spiral Search Strategy
2.4.4. Adaptive T-Distribution Perturbation Strategy
2.5. OTDBO Algorithm Process
3. Algorithm Performance Test
3.1. CEC2017 Benchmark Functions
3.2. CEC2017 Statistical Results Analysis
3.3. CEC2017 Convergence Curve Comparison
4. Case Study Analysis
4.1. Experimental Data
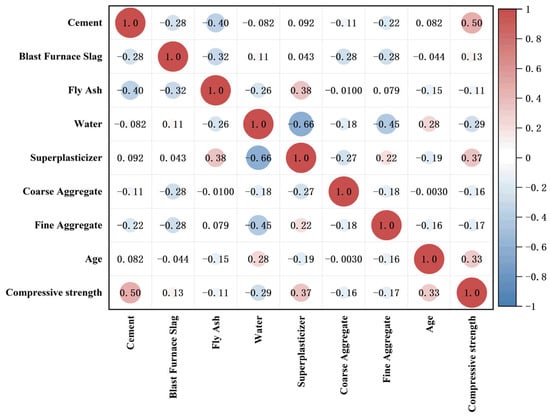
4.2. Input Variable Selection and Data Preprocessing
4.3. Parameter Settings of the XG-OTDBO-BPNN Model
4.4. The Prediction Process of the XG-OTDBO-BPNN Model for High-Performance Concrete Compressive Strength
4.5. Model Evaluation Index
4.6. Model Comparison
5. Analysis of High-Performance Concrete Compressive Strength Prediction Results
6. Conclusions
Author Contributions
Funding
Data Availability Statement
Conflicts of Interest
References
- Binici, B.; Yakut, A.; Kadas, K.; Demirel, O.; Akpinar, U.; Canbolat, A.; Yurtseven, F.; Oztaskin, O.; Aktas, S.; Canbay, E. Performance of RC Buildings after Kahramanmaraş Earthquakes: Lessons toward Performance Based Design. Earthq. Eng. Eng. Vib. 2023, 22, 883–894. [Google Scholar] [CrossRef]
- Akar, F.; Işık, E.; Avcil, F.; Büyüksaraç, A.; Arkan, E.; İzol, R. Geotechnical and Structural Damages Caused by the 2023 Kahramanmaraş Earthquakes in Gölbaşı (Adıyaman). Appl. Sci. 2024, 14, 2165. [Google Scholar] [CrossRef]
- Wang, S.; Xia, P.; Chen, K.; Gong, F.; Wang, H.; Wang, Q.; Zhao, Y.; Jin, W. Prediction and Optimization Model of Sustainable Concrete Properties Using Machine Learning, Deep Learning and Swarm Intelligence: A Review. J. Build. Eng. 2023, 80, 108065. [Google Scholar] [CrossRef]
- Liu, Y. High-Performance Concrete Strength Prediction Based on Machine Learning. Comput. Intell. Neurosci. 2022, 2022, 5802217. [Google Scholar] [CrossRef]
- Chou, J.-S.; Pham, A.-D. Enhanced Artificial Intelligence for Ensemble Approach to Predicting High Performance Concrete Compressive Strength. Constr. Build. Mater. 2013, 49, 554–563. [Google Scholar] [CrossRef]
- Gencel, O.; Kocabas, F.; Gok, M.S.; Koksal, F. Comparison of Artificial Neural Networks and General Linear Model Approaches for the Analysis of Abrasive Wear of Concrete. Constr. Build. Mater. 2011, 25, 3486–3494. [Google Scholar] [CrossRef]
- Nguyen, T.; Kashani, A.; Ngo, T.; Bordas, S. Deep Neural Network with High-Order Neuron for the Prediction of Foamed Concrete Strength. Comput.-Aided Civ. Infrastruct. Eng. 2019, 34, 316–332. [Google Scholar] [CrossRef]
- Wang, Z.; Chen, Q.; Wang, Z.; Xiong, J. The Investigation into the Failure Criteria of Concrete Based on the BP Neural Network. Eng. Fract. Mech. 2022, 275, 108835. [Google Scholar] [CrossRef]
- Ly, H.-B.; Nguyen, M.H.; Pham, B.T. Metaheuristic Optimization of Levenberg–Marquardt-Based Artificial Neural Network Using Particle Swarm Optimization for Prediction of Foamed Concrete Compressive Strength. Neural Comput. Appl. 2021, 33, 17331–17351. [Google Scholar] [CrossRef]
- Kumar Tipu, R.; Panchal, V.R.; Pandya, K.S. An Ensemble Approach to Improve BPNN Model Precision for Predicting Compressive Strength of High-Performance Concrete. Structures 2022, 45, 500–508. [Google Scholar] [CrossRef]
- Du, G.; Bu, L.; Hou, Q.; Zhou, J.; Lu, B. Prediction of the Compressive Strength of High-Performance Self-Compacting Concrete by an Ultrasonic-Rebound Method Based on a GA-BP Neural Network. PLoS ONE 2021, 16, e0250795. [Google Scholar] [CrossRef] [PubMed]
- Trojovský, P.; Dehghani, M. Subtraction-Average-Based Optimizer: A New Swarm-Inspired Metaheuristic Algorithm for Solving Optimization Problems. Biomimetics 2023, 8, 149. [Google Scholar] [CrossRef] [PubMed]
- Dehghani, M.; Hubálovský, Š.; Trojovský, P. Northern Goshawk Optimization: A New Swarm-Based Algorithm for Solving Optimization Problems. IEEE Access 2021, 9, 162059–162080. [Google Scholar] [CrossRef]
- Heidari, A.A.; Mirjalili, S.; Faris, H.; Aljarah, I.; Mafarja, M.; Chen, H. Harris Hawks Optimization: Algorithm and Applications. Future Gener. Comput. Syst. 2019, 97, 849–872. [Google Scholar] [CrossRef]
- Mirjalili, S.; Mirjalili, S.M.; Lewis, A. Grey Wolf Optimizer. Adv. Eng. Softw. 2014, 69, 46–61. [Google Scholar] [CrossRef]
- Mirjalili, S.; Lewis, A. The Whale Optimization Algorithm. Adv. Eng. Softw. 2016, 95, 51–67. [Google Scholar] [CrossRef]
- Xue, J.; Shen, B. A Novel Swarm Intelligence Optimization Approach: Sparrow Search Algorithm. Syst. Sci. Control Eng. 2020, 8, 22–34. [Google Scholar] [CrossRef]
- Xue, J.; Shen, B. Dung Beetle Optimizer: A New Meta-Heuristic Algorithm for Global Optimization. J. Supercomput. 2023, 79, 7305–7336. [Google Scholar] [CrossRef]
- Zhu, F.; Li, G.; Tang, H.; Li, Y.; Lv, X.; Wang, X. Dung Beetle Optimization Algorithm Based on Quantum Computing and Multi-Strategy Fusion for Solving Engineering Problems. Expert Syst. Appl. 2024, 236, 121219. [Google Scholar] [CrossRef]
- Zhang, R.; Zhu, Y. Predicting the Mechanical Properties of Heat-Treated Woods Using Optimization-Algorithm-Based BPNN. Forests 2023, 14, 935. [Google Scholar] [CrossRef]
- Wang, Z.; Huang, L.; Yang, S.; Li, D.; He, D.; Chan, S. A Quasi-Oppositional Learning of Updating Quantum State and Q-Learning Based on the Dung Beetle Algorithm for Global Optimization. Alex. Eng. J. 2023, 81, 469–488. [Google Scholar] [CrossRef]
- Li, L.; Liu, L.; Shao, Y.; Zhang, X.; Chen, Y.; Guo, C.; Nian, H. Enhancing Swarm Intelligence for Obstacle Avoidance with Multi-Strategy and Improved Dung Beetle Optimization Algorithm in Mobile Robot Navigation. Electronics 2023, 12, 4462. [Google Scholar] [CrossRef]
- Shen, Q.; Zhang, D.; Xie, M.; He, Q. Multi-Strategy Enhanced Dung Beetle Optimizer and Its Application in Three-Dimensional UAV Path Planning. Symmetry 2023, 15, 1432. [Google Scholar] [CrossRef]
- Jiang, Z.; Che, J.; He, M.; Yuan, F. A CGRU Multi-Step Wind Speed Forecasting Model Based on Multi-Label Specific XGBoost Feature Selection and Secondary Decomposition. Renew. Energy 2023, 203, 802–827. [Google Scholar] [CrossRef]
- Ya, L.; Zhen, X. An Improved BP Neural Network Algorithm. In Proceedings of the 2020 7th International Conference on Information Science and Control Engineering (ICISCE), Changsha, China, 18–20 December 2020; pp. 256–259. [Google Scholar] [CrossRef]
- Chen, H.; Zeng, Z. Deformation Prediction of Landslide Based on Improved Back-Propagation Neural Network. Cogn. Comput. 2013, 5, 56–62. [Google Scholar] [CrossRef]
- Jin, S.; Liu, F.; Yang, C.; Ma, Y.; Liu, Y. Feature Selection of the Rich Model Based on the Correlation of Feature Components. Secur. Commun. Netw. 2021, 2021, e6680528. [Google Scholar] [CrossRef]
- Zhang, W.; Wu, C.; Zhong, H.; Li, Y.; Wang, L. Prediction of Undrained Shear Strength Using Extreme Gradient Boosting and Random Forest Based on Bayesian Optimization. Geosci. Front. 2021, 12, 469–477. [Google Scholar] [CrossRef]
- Jin, S.; Cao, M.; Qian, Q.; Zhang, G.; Wang, Y. Study on an Assembly Prediction Method of RV Reducer Based on IGWO Algorithm and SVR Model. Sensors 2023, 23, 366. [Google Scholar] [CrossRef]
- Pholdee, N.; Bureerat, S. An Efficient Optimum Latin Hypercube Sampling Technique Based on Sequencing Optimisation Using Simulated Annealing. Int. J. Syst. Sci. 2015, 46, 1780–1789. [Google Scholar] [CrossRef]
- Dehghani, M.; Trojovský, P. Osprey Optimization Algorithm: A New Bio-Inspired Metaheuristic Algorithm for Solving Engineering Optimization Problems. Front. Mech. Eng. 2023, 8, 1126450. [Google Scholar] [CrossRef]
- Long, W.; Jiao, J.; Liang, X.; Tang, M. An Exploration-Enhanced Grey Wolf Optimizer to Solve High-Dimensional Numerical Optimization. Eng. Appl. Artif. Intell. 2018, 68, 63–80. [Google Scholar] [CrossRef]
- Gencel, O.; Karadag, O.; Oren, O.H.; Bilir, T. Steel Slag and Its Applications in Cement and Concrete Technology: A Review. Constr. Build. Mater. 2021, 283, 122783. [Google Scholar] [CrossRef]
- Gu, C.; Ye, G.; Sun, W. Ultrahigh Performance Concrete-Properties, Applications and Perspectives. Sci. China Technol. Sci. 2015, 58, 587–599. [Google Scholar] [CrossRef]
- Bui, D.-K.; Nguyen, T.; Chou, J.-S.; Nguyen-Xuan, H.; Ngo, T.D. A Modified Firefly Algorithm-Artificial Neural Network Expert System for Predicting Compressive and Tensile Strength of High-Performance Concrete. Constr. Build. Mater. 2018, 180, 320–333. [Google Scholar] [CrossRef]
- Yeh, I. Concrete Compressive Strength. UCI Machine Learning Repository. 1998. [Google Scholar] [CrossRef]
- Baak, M.; Koopman, R.; Snoek, H.; Klous, S. A New Correlation Coefficient between Categorical, Ordinal and Interval Variables with Pearson Characteristics. Comput. Stat. Data Anal. 2020, 152, 107043. [Google Scholar] [CrossRef]
- Singh, D.; Singh, B. Investigating the Impact of Data Normalization on Classification Performance. Appl. Soft. Comput. 2020, 97, 105524. [Google Scholar] [CrossRef]
- Hecht-Nielsen, R. Kolmogorov’s Mapping Neural Network Existence Theorem. Available online: https://api.semanticscholar.org/CorpusID:118526925 (accessed on 10 September 2024).










| Algorithm | Parameter | Value |
|---|---|---|
| SABO | r is a random number v is a random vector | [0, 1] [1, 2] |
| GWO | Convergence parameter (a) | Linear reduction from 2 to 0 |
| NGO | Convergence parameter (a) r1, r2 is a random vector | Linear reduction from 2 to 0 [0, −1] |
| WOA | Convergence parameter (a) r is a random vector l is a random number | Linear reduction from 2 to 0 [0, −1] [−1, 1] |
| HHO | Interval of E0 | [− 1 1] |
| DBO | Deviation coefficient K b is a random number S is a random number | 0.1 0.3 0.5 |
| OTDBO | Deviation coefficient K b is a random number S is a random number | 0.1 0.3 0.5 |
| OTDBO | DBO | SABO | GWO | NGO | WOA | HHO | ||
|---|---|---|---|---|---|---|---|---|
| F1 | Best | 1.46 × 103 | 5.42 × 106 | 6.92 × 109 | 1.91 × 108 | 1.21 × 106 | 1.88 × 109 | 6.56 × 107 |
| Std | 6.95 × 104 | 1.65 × 108 | 4.85 × 109 | 2.37 × 109 | 1.13 × 107 | 1.46 × 109 | 2.34 × 108 | |
| Mean | 4.59 × 104 | 2.67 × 108 | 1.36 × 1010 | 3.26 × 109 | 1.05 × 107 | 4.71 × 109 | 4.52 × 108 | |
| F3 | Best | 3.32 × 104 | 5.63 × 104 | 4.53 × 104 | 4.49 × 104 | 5.11 × 104 | 1.44 × 105 | 4.09 × 104 |
| Std | 1.10 × 103 | 3.35 × 104 | 8.30 × 103 | 1.11 × 104 | 1.10 × 104 | 6.99 × 104 | 6.35 × 103 | |
| Mean | 5.70 × 104 | 9.09 × 104 | 6.24 × 104 | 6.27 × 104 | 6.68 × 104 | 2.65 × 105 | 5.62 × 104 | |
| F4 | Best | 4.64 × 102 | 5.36 × 102 | 8.59 × 102 | 5.11 × 102 | 4.69 × 102 | 7.41 × 102 | 5.75 × 102 |
| Std | 2.03 × 101 | 1.10 × 102 | 1.52 × 103 | 1.13 × 102 | 2.62 × 101 | 3.19 × 102 | 1.20 × 102 | |
| Mean | 5.26 × 102 | 6.62 × 102 | 2.44 × 103 | 6.45 × 102 | 5.26 × 102 | 1.30 × 103 | 7.26 × 102 | |
| F5 | Best | 5.18 × 102 | 6.49 × 102 | 7.55 × 102 | 5.64 × 102 | 6.46 × 102 | 7.79 × 102 | 7.02 × 102 |
| Std | 3.02 × 101 | 4.95 × 101 | 4.33 × 101 | 3.96 × 101 | 3.16 × 101 | 5.41 × 101 | 3.31 × 101 | |
| Mean | 6.05 × 102 | 7.62 × 102 | 8.19 × 102 | 6.34 × 102 | 6.99 × 102 | 8.75 × 102 | 7.66 × 102 | |
| F6 | Best | 5.22 × 102 | 6.22 × 102 | 6.42 × 102 | 6.04 × 102 | 6.19 × 102 | 6.54 × 102 | 6.53 × 102 |
| Std | 3.95 × 100 | 1.23 × 101 | 1.63 × 101 | 4.86 × 100 | 1.06 × 101 | 1.37 × 101 | 6.05 × 100 | |
| Mean | 5.37 × 102 | 6.47 × 102 | 6.66 × 102 | 6.13 × 102 | 6.40 × 102 | 6.83 × 102 | 6.70 × 102 | |
| F7 | Best | 5.55 × 102 | 8.66 × 102 | 1.03 × 103 | 8.44 × 102 | 9.32 × 102 | 1.22 × 103 | 1.16 × 103 |
| Std | 2.52 × 101 | 1.03 × 102 | 5.15 × 101 | 6.18 × 101 | 4.88 × 101 | 5.78 × 101 | 6.92 × 101 | |
| Mean | 1.01 × 102 | 1.04 × 103 | 1.13 × 103 | 9.24 × 102 | 1.03 × 103 | 1.33 × 103 | 1.31 × 103 | |
| F8 | Best | 6.02 × 102 | 9.29 × 102 | 1.03 × 103 | 8.61 × 102 | 9.22 × 102 | 9.95 × 102 | 9.30 × 102 |
| Std | 2.15 × 101 | 5.01 × 101 | 3.63 × 101 | 2.37 × 101 | 2.24 × 101 | 5.80 × 101 | 3.05 × 101 | |
| Mean | 8.54 × 102 | 1.02 × 103 | 1.10 × 103 | 9.09 × 102 | 9.64 × 102 | 1.09 × 103 | 9.94 × 102 | |
| F9 | Best | 2.35 × 103 | 2.38 × 103 | 4.18 × 103 | 1.29 × 103 | 3.14 × 103 | 5.54 × 103 | 5.55 × 103 |
| Std | 1.84 × 102 | 1.89 × 103 | 1.88 × 103 | 1.54 × 103 | 5.08 × 102 | 5.07 × 103 | 1.19 × 103 | |
| Mean | 2.45 × 103 | 6.45 × 103 | 7.67 × 103 | 2.86 × 103 | 4.00 × 103 | 1.28 × 104 | 8.43 × 103 | |
| F10 | Best | 3.40 × 103 | 4.23 × 103 | 8.15 × 103 | 3.99 × 103 | 4.87 × 103 | 6.10 × 103 | 5.15 × 103 |
| Std | 8.74 × 102 | 9.23 × 102 | 3.45 × 102 | 1.45 × 103 | 3.38 × 102 | 7.78 × 102 | 6.57 × 102 | |
| Mean | 5.31 × 103 | 6.07 × 103 | 8.96 × 103 | 5.22 × 103 | 5.57 × 103 | 7.60 × 103 | 6.32 × 103 | |
| F11 | Best | 1.18 × 103 | 1.25 × 103 | 2.87 × 103 | 1.48 × 103 | 1.23 × 103 | 2.78 × 103 | 1.32 × 103 |
| Std | 6.51 × 101 | 8.33 × 102 | 1.47 × 103 | 1.46 × 103 | 3.43 × 101 | 4.34 × 103 | 1.74 × 102 | |
| Mean | 1.31 × 103 | 2.01 × 103 | 5.15 × 103 | 2.98 × 103 | 1.27 × 103 | 9.05 × 103 | 1.59 × 103 | |
| F12 | Best | 1.11 × 105 | 1.76 × 106 | 1.01 × 108 | 3.93 × 106 | 2.83 × 105 | 9.54 × 107 | 8.68 × 106 |
| Std | 1.61 × 106 | 8.06 × 107 | 6.42 × 108 | 8.64 × 107 | 1.59 × 106 | 3.54 × 108 | 7.69 × 107 | |
| Mean | 2.05 × 106 | 5.31 × 107 | 9.11 × 108 | 8.04 × 107 | 2.18 × 106 | 5.03 × 108 | 6.37 × 107 | |
| F13 | Best | 2.77 × 103 | 1.90 × 104 | 4.11 × 106 | 6.05 × 104 | 2.59 × 103 | 1.02 × 106 | 3.53 × 105 |
| Std | 8.15 × 103 | 1.62 × 107 | 2.66 × 108 | 5.01 × 107 | 1.68 × 104 | 2.68 × 107 | 4.95 × 105 | |
| Mean | 1.85 × 104 | 8.09 × 106 | 1.69 × 108 | 2.85 × 107 | 2.19 × 104 | 1.66 × 107 | 1.03 × 106 | |
| F14 | Best | 2.08 × 103 | 1.01 × 104 | 6.81 × 104 | 3.79 × 103 | 4.14 × 103 | 4.71 × 104 | 6.46 × 104 |
| Std | 1.38 × 104 | 1.22 × 106 | 6.28 × 105 | 8.26 × 105 | 2.87 × 104 | 2.45 × 106 | 1.45 × 106 | |
| Mean | 1.79 × 103 | 5.83 × 105 | 7.66 × 105 | 8.08 × 105 | 2.90 × 104 | 2.31 × 106 | 1.50 × 106 | |
| F15 | Best | 1.77 × 103 | 4.02 × 103 | 1.25 × 105 | 3.54 × 104 | 1.89 × 103 | 2.37 × 105 | 2.92 × 104 |
| Std | 3.62 × 103 | 7.20 × 105 | 2.43 × 106 | 1.01 × 107 | 4.66 × 103 | 2.27 × 107 | 6.65 × 104 | |
| Mean | 1.01 × 103 | 2.50 × 105 | 2.06 × 106 | 2.98 × 106 | 5.55 × 103 | 9.92 × 106 | 1.16 × 105 | |
| F16 | Best | 1.52 × 103 | 2.45 × 103 | 3.36 × 103 | 1.93 × 103 | 2.31 × 103 | 3.43 × 103 | 2.83 × 103 |
| Std | 3.73 × 102 | 4.57 × 102 | 2.97 × 102 | 3.06 × 102 | 2.36 × 102 | 6.43 × 102 | 4.58 × 102 | |
| Mean | 2.58 × 103 | 3.37 × 103 | 4.08 × 103 | 2.60 × 103 | 2.82 × 103 | 4.39 × 103 | 3.64 × 103 | |
| F17 | Best | 1.75 × 103 | 2.00 × 103 | 2.44 × 103 | 1.80 × 103 | 1.79 × 103 | 2.15 × 103 | 2.17 × 103 |
| Std | 1.23 × 102 | 3.09 × 102 | 2.46 × 102 | 1.93 × 102 | 1.29 × 102 | 2.53 × 102 | 2.57 × 102 | |
| Mean | 1.38 × 103 | 2.59 × 103 | 2.90 × 103 | 2.10 × 103 | 2.03 × 103 | 2.71 × 103 | 2.62 × 103 | |
| F18 | Best | 3.85 × 104 | 5.72 × 104 | 6.84 × 105 | 1.07 × 105 | 4.32 × 104 | 2.23 × 105 | 1.46 × 105 |
| Std | 2.53 × 105 | 5.49 × 106 | 6.39 × 106 | 2.67 × 106 | 2.56 × 105 | 2.77 × 107 | 3.75 × 106 | |
| Mean | 3.08 × 105 | 4.32 × 106 | 7.54 × 106 | 2.32 × 106 | 3.10 × 105 | 1.74 × 107 | 3.02 × 106 | |
| F19 | Best | 2.01 × 103 | 2.18 × 103 | 2.68 × 105 | 2.04 × 104 | 2.08 × 103 | 1.24 × 106 | 1.58 × 104 |
| Std | 3.09 × 103 | 6.89 × 106 | 1.08 × 107 | 1.32 × 106 | 3.48 × 103 | 1.81 × 107 | 1.74 × 106 | |
| Mean | 1.16 × 103 | 3.25 × 106 | 6.85 × 106 | 1.42 × 106 | 6.28 × 103 | 2.62 × 107 | 1.89 × 106 | |
| F20 | Best | 2.02 × 103 | 2.35 × 103 | 2.76 × 103 | 2.13 × 103 | 2.31 × 103 | 2.55 × 103 | 2.46 × 103 |
| Std | 1.67 × 101 | 2.27 × 102 | 1.56 × 102 | 1.85 × 102 | 9.96 × 101 | 2.22 × 102 | 1.41 × 102 | |
| Mean | 2.42 × 103 | 2.74 × 103 | 3.13 × 103 | 2.52 × 103 | 2.48 × 103 | 3.05 × 103 | 2.82 × 103 | |
| F21 | Best | 2.21 × 103 | 2.46 × 103 | 2.55 × 103 | 2.36 × 103 | 2.40 × 103 | 2.54 × 103 | 2.50 × 103 |
| Std | 1.44 × 101 | 4.93 × 101 | 2.78 × 101 | 1.67 × 101 | 2.59 × 101 | 4.79 × 101 | 5.17 × 101 | |
| Mean | 2.14 × 103 | 2.55 × 103 | 2.60 × 103 | 2.40 × 103 | 2.46 × 103 | 2.64 × 103 | 2.58 × 103 | |
| F22 | Best | 2.30 × 103 | 2.36 × 103 | 2.83 × 103 | 2.45 × 103 | 2.31 × 103 | 3.24 × 103 | 3.20 × 103 |
| Std | 1.77 × 101 | 2.70 × 103 | 1.06 × 103 | 2.01 × 103 | 4.81 × 101 | 1.62 × 103 | 9.43 × 102 | |
| Mean | 2.18 × 103 | 5.03 × 103 | 4.45 × 103 | 5.01 × 103 | 2.33 × 103 | 8.35 × 103 | 7.47 × 103 | |
| F23 | Best | 2.58 × 103 | 2.94 × 103 | 3.05 × 103 | 2.73 × 103 | 2.76 × 103 | 2.96 × 103 | 2.89 × 103 |
| Std | 4.24 × 101 | 7.35 × 101 | 9.40 × 101 | 6.50 × 101 | 4.54 × 101 | 9.13 × 101 | 1.29 × 102 | |
| Mean | 2.30 × 103 | 3.05 × 103 | 3.18 × 103 | 2.80 × 103 | 2.83 × 103 | 3.13 × 103 | 3.28 × 103 | |
| F24 | Best | 2.03 × 103 | 3.00 × 103 | 3.15 × 103 | 2.89 × 103 | 2.93 × 103 | 3.08 × 103 | 3.19 × 103 |
| Std | 1.35 × 101 | 9.31 × 101 | 8.86 × 101 | 5.65 × 101 | 2.66 × 101 | 8.85 × 101 | 1.58 × 102 | |
| Mean | 3.11 × 103 | 3.19 × 103 | 3.28 × 103 | 2.95 × 103 | 2.97 × 103 | 3.25 × 103 | 3.46 × 103 | |
| F25 | Best | 2.89 × 103 | 2.92 × 103 | 3.13 × 103 | 2.95 × 103 | 2.92 × 103 | 3.08 × 103 | 2.94 × 103 |
| Std | 2.20 × 101 | 6.48 × 101 | 1.70 × 102 | 4.57 × 101 | 2.23 × 101 | 8.67 × 101 | 3.28 × 101 | |
| Mean | 2.91 × 103 | 2.99 × 103 | 3.43 × 103 | 3.01 × 103 | 2.95 × 103 | 3.21 × 103 | 3.00 × 103 | |
| F26 | Best | 2.80 × 103 | 5.78 × 103 | 6.21 × 103 | 3.41 × 103 | 2.85 × 103 | 5.36 × 103 | 4.29 × 103 |
| Std | 1.00 × 103 | 6.62 × 102 | 7.31 × 102 | 4.66 × 102 | 1.62 × 103 | 1.10 × 103 | 1.34 × 103 | |
| Mean | 4.70 × 103 | 7.18 × 103 | 8.12 × 103 | 4.95 × 103 | 5.03 × 103 | 8.03 × 103 | 8.16 × 103 | |
| F27 | Best | 3.20 × 103 | 3.27 × 103 | 3.32 × 103 | 3.22 × 103 | 3.21 × 103 | 3.34 × 103 | 3.33 × 103 |
| Std | 1.35 × 101 | 5.86 × 101 | 9.36 × 101 | 2.72 × 101 | 1.72 × 101 | 1.23 × 102 | 1.76 × 102 | |
| Mean | 3.31 × 103 | 3.34 × 103 | 3.46 × 103 | 3.27 × 103 | 3.24 × 103 | 3.49 × 103 | 3.52 × 103 | |
| F28 | Best | 3.21 × 103 | 3.32 × 103 | 3.59 × 103 | 3.33 × 103 | 3.24 × 103 | 3.47 × 103 | 3.34 × 103 |
| Std | 2.16 × 101 | 7.04 × 102 | 3.28 × 102 | 5.40 × 101 | 3.10 × 101 | 2.27 × 102 | 8.22 × 101 | |
| Mean | 3.27 × 103 | 3.65 × 103 | 4.21 × 103 | 3.44 × 103 | 3.32 × 103 | 3.92 × 103 | 3.46 × 103 | |
| F29 | Best | 3.30 × 103 | 3.72 × 103 | 4.94 × 103 | 3.59 × 103 | 3.66 × 103 | 4.46 × 103 | 4.20 × 103 |
| Std | 1.24 × 102 | 2.73 × 102 | 5.97 × 102 | 1.71 × 102 | 1.41 × 102 | 3.75 × 102 | 5.06 × 102 | |
| Mean | 3.20 × 103 | 4.37 × 103 | 5.79 × 103 | 3.93 × 103 | 4.05 × 103 | 5.35 × 103 | 4.81 × 103 | |
| F30 | Best | 6.79 × 103 | 3.20 × 104 | 9.75 × 106 | 1.28 × 106 | 8.33 × 103 | 1.18 × 107 | 8.69 × 105 |
| Std | 1.76 × 105 | 5.03 × 106 | 3.22 × 107 | 1.52 × 107 | 3.13 × 104 | 7.17 × 107 | 7.33 × 106 | |
| Mean | 8.60 × 104 | 3.70 × 106 | 4.26 × 107 | 1.68 × 107 | 3.58 × 104 | 8.27 × 107 | 9.31 × 106 |
| HPC Components | Maximum | Minimum | Mean | Std Deviation |
|---|---|---|---|---|
| Cement | 540 | 102 | 281.2 | 104.5 |
| Blast furnace slag | 359.4 | 0 | 73.9 | 86.27 |
| Fly ash | 200.1 | 0 | 54.2 | 63.99 |
| Water | 247 | 121.8 | 181.6 | 21.35 |
| Superplasticizer | 32.2 | 0 | 6.2 | 5.97 |
| Coarse aggregate | 1145 | 801 | 972.9 | 77.75 |
| Fine aggregate | 992.6 | 594 | 773.6 | 80.17 |
| Age | 365 | 1 | 45.7 | 63.16 |
| Compressive strength | 82.6 | 2.3 | 35.8 | 16.7 |
| Index | Model | |||||
|---|---|---|---|---|---|---|
| XG-BPNN | DBO-BPNN | OTDBO-BPNN | XG-NGO-BPNN | XG-DBO-BPNN | XG-OTDBO-BPNN | |
| MAE | 5.731 | 4.912 | 4.027 | 5.324 | 4.700 | 3.227 |
| RMSE | 7.210 | 6.235 | 5.369 | 6.835 | 5.912 | 4.032 |
| R2 | 0.901 | 0.915 | 0.932 | 0.926 | 0.932 | 0.954 |
Disclaimer/Publisher’s Note: The statements, opinions and data contained in all publications are solely those of the individual author(s) and contributor(s) and not of MDPI and/or the editor(s). MDPI and/or the editor(s) disclaim responsibility for any injury to people or property resulting from any ideas, methods, instructions or products referred to in the content. |
© 2024 by the authors. Licensee MDPI, Basel, Switzerland. This article is an open access article distributed under the terms and conditions of the Creative Commons Attribution (CC BY) license (https://creativecommons.org/licenses/by/4.0/).
Share and Cite
Wang, Z.; Cai, J.; Liu, X.; Zou, Z. Optimized bp Neural Network Based on Improved Dung Beetle Optimization Algorithm to Predict High-Performance Concrete Compressive Strength. Buildings 2024, 14, 3465. https://doi.org/10.3390/buildings14113465
Wang Z, Cai J, Liu X, Zou Z. Optimized bp Neural Network Based on Improved Dung Beetle Optimization Algorithm to Predict High-Performance Concrete Compressive Strength. Buildings. 2024; 14(11):3465. https://doi.org/10.3390/buildings14113465
Chicago/Turabian StyleWang, Zhipeng, Jie Cai, Xiaoxiao Liu, and Zikang Zou. 2024. "Optimized bp Neural Network Based on Improved Dung Beetle Optimization Algorithm to Predict High-Performance Concrete Compressive Strength" Buildings 14, no. 11: 3465. https://doi.org/10.3390/buildings14113465
APA StyleWang, Z., Cai, J., Liu, X., & Zou, Z. (2024). Optimized bp Neural Network Based on Improved Dung Beetle Optimization Algorithm to Predict High-Performance Concrete Compressive Strength. Buildings, 14(11), 3465. https://doi.org/10.3390/buildings14113465
