Mechanical Performance of Fiber-Reinforced Cement Mortars: A Comparative Study on the Effect of Synthetic and Natural Fibers
Abstract
1. Introduction
2. Materials and Methods
2.1. Materials
2.1.1. Mortar Components
2.1.2. Synthetic and Natural Fibers
2.2. Mixture Formulation
2.3. Methods and Tests
2.3.1. Basic Physical Properties
2.3.2. Mechanical Properties
2.3.3. Ultrasonic Pulse Velocity
3. Results
3.1. Visual Inspection
3.2. Basic Physical Characterization
3.3. Flexural Strength
3.4. Compressive Strength
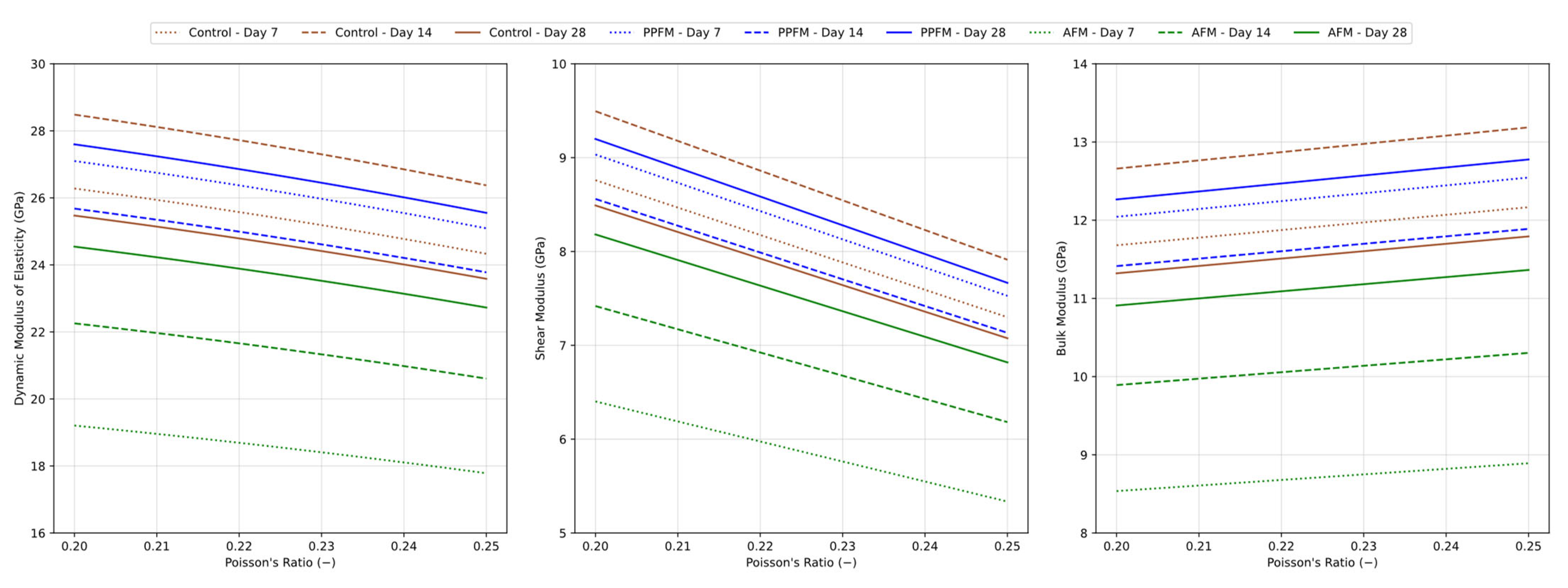
3.5. UPV Results
- , and are stiffness-related quantities (Pa).
- ρ is the bulk density after immersion (kg/m3).
- is the pulse velocity (m/s).
- is the Poisson’s ratio (-).
4. Discussion
4.1. Limitations of the Study
4.2. Future Research Lines
5. Conclusions
- PPF mortars exhibited the highest compressive strength values, confirming the superior performance of synthetic fibers in resisting axial loads. Nonetheless, AF mortars achieved satisfactory compressive strengths, above those of the CONTROL mixes, demonstrating that they may represent a suitable solution for certain building applications.
- Both fiber types improved flexural performance compared to the reference mix, with better energy absorption and visible joining effects. Fiber incorporation enhances the flexural resistance of the composites, promoting a more ductile failure mode compared to the brittle behavior observed in the non-reinforced, supporting their potential in crack control and toughness enhancement.
- Mortars reinforced with AF exhibited slightly lower UPV values compared to those containing PPF, suggesting a marginal increase in porosity or internal heterogeneities. This behavior is attributed to the inherent hydrophilic nature of natural fibers, as reflected in the results of the physical properties. Nevertheless, all UPV values remained within the acceptable range for good-quality mortars.
- Despite the somewhat lower mechanical performance, AF mortars offer a promising sustainable alternative. The use of treated alfa fibers contributes to circular economy strategies and reduces reliance on non-renewable synthetic materials.
- The improved flexural behavior of AFM suggests the potential of AF not only as a sustainable alternative but also as a technically viable option for use in base layers, overlays and other cementitious components subjected to flexural or fatigue loads in pavement applications and transportation infrastructure designed based on moduli of rupture criteria.
- The UPV tests confirmed the directional dependence of the evaluated mortars, thus confirming the anisotropic nature of wave propagation in both fiber-reinforced and plain cement mortars. These findings highlight the inherent anisotropy of cement-based materials, which is driven by their internal structure, and underscore the critical importance of considering directional variability in constitutive modeling and engineering design.
Author Contributions
Funding
Data Availability Statement
Acknowledgments
Conflicts of Interest
Abbreviations
| NFs | Natural fibers |
| PPFs | Polypropylene fibers |
| AFs | Alfa fibers |
| PPFM | Mortar with polypropylene fibers |
| AFM | Mortar with alfa fibers |
| FC | Fiber content |
| FS | Flexural strength |
| CS | Compressive strength |
| UPV | Ultrasonic Pulse Velocity |
References
- Abdalla, J.A.; Hawileh, R.A.; Bahurudeen, A.; Jyothsna, G.; Sofi, A.; Shanmugam, V.; Thomas, B.S. A Comprehensive Review on the Use of Natural Fibers in Cement/Geopolymer Concrete: A Step towards Sustainability. Case Stud. Constr. Mater. 2023, 19, e02244. [Google Scholar] [CrossRef]
- Mastali, M.; Dalvand, A.; Sattarifard, A.R.; Abdollahnejad, Z. Effect of Different Lengths and Dosages of Recycled Glass Fibres on the Fresh and Hardened Properties of SCC. Mag. Concr. Res. 2018, 70, 1175–1188. [Google Scholar] [CrossRef]
- Ravichandran, D.; Prem, P.R.; Kaliyavaradhan, S.K.; Ambily, P.S. Influence of Fibers on Fresh and Hardened Properties of Ultra High Performance Concrete (UHPC)—A Review. J. Build. Eng. 2022, 57, 104922. [Google Scholar] [CrossRef]
- Wang, S.; Li, Z.; Fan, L.; Zhang, Z.; Yin, S.; Yuan, J.; He, H.; Lin, H.; Lin, W.; Dai, X.; et al. A Study on the Mechanical and Economic Performance Comparison of Ceramsite Concrete Based on Fiber Selection and Optimization. Sci. Rep. 2024, 14, 31939. [Google Scholar] [CrossRef]
- Shen, J.; Zhang, Y. Fiber-Reinforced Mechanism and Mechanical Performance of Composite Fibers Reinforced Concrete. J. Wuhan Univ. Technol. Mater. Sci. Ed. 2020, 35, 121–130. [Google Scholar] [CrossRef]
- Arvizu-Montes, A.; Martinez-Echevarria, M.J. Vegetable Fibers in Cement Composites: A Bibliometric Analysis, Current Status, and Future Outlooks. Materials 2025, 18, 333. [Google Scholar] [CrossRef]
- Pons Ribera, S.; Hamzaoui, R.; Colin, J.; Bessette, L.; Audouin, M. Valorization of Vegetal Fibers (Hemp, Flax, Miscanthus and Bamboo) in a Fiber Reinforced Screed (FRS) Formulation. Materials 2023, 16, 2203. [Google Scholar] [CrossRef]
- Ardanuy, M.; Claramunt, J.; Toledo Filho, R.D. Cellulosic Fiber Reinforced Cement-Based Composites: A Review of Recent Research. Constr. Build. Mater. 2015, 79, 115–128. [Google Scholar] [CrossRef]
- Abedi, M.; Hassanshahi, O.; Rashiddel, A.; Ashtari, H.; Seddik Meddah, M.; Dias, D.; Arjomand, M.A.; Keong Choong, K. A Sustainable Cementitious Composite Reinforced with Natural Fibers: An Experimental and Numerical Study. Constr. Build. Mater. 2023, 378, 131093. [Google Scholar] [CrossRef]
- Tian, H.; Zhang, Y.X.; Yang, C.; Ding, Y. Recent Advances in Experimental Studies of the Mechanical Behaviour of Natural Fibre-reinforced Cementitious Composites. Struct. Concr. 2016, 17, 564–575. [Google Scholar] [CrossRef]
- Shah, I.; Li, J.; Yang, S.; Zhang, Y.; Anwar, A. Experimental Investigation on the Mechanical Properties of Natural Fiber Reinforced Concrete. J. Renew. Mater. 2022, 10, 1307–1320. [Google Scholar] [CrossRef]
- Kabir, M.M.; Wang, H.; Lau, K.T.; Cardona, F. Chemical Treatments on Plant-Based Natural Fibre Reinforced Polymer Composites: An Overview. Compos. B Eng. 2012, 43, 2883–2892. [Google Scholar] [CrossRef]
- Achour, A.; Ghomari, F.; Belayachi, N. Properties of Cementitious Mortars Reinforced with Natural Fibers. J. Adhes. Sci. Technol. 2017, 31, 1938–1962. [Google Scholar] [CrossRef]
- Santana, H.A.; Amorim Júnior, N.S.; Ribeiro, D.V.; Cilla, M.S.; Dias, C.M.R. Vegetable Fibers Behavior in Geopolymers and Alkali-Activated Cement Based Matrices: A Review. J. Build. Eng. 2021, 44, 103291. [Google Scholar] [CrossRef]
- de Andrade Silva, F.; Mobasher, B.; Filho, R.D.T. Cracking Mechanisms in Durable Sisal Fiber Reinforced Cement Composites. Cem. Concr. Compos. 2009, 31, 721–730. [Google Scholar] [CrossRef]
- El-Abbassi, F.E.; Assarar, M.; Ayad, R.; Bourmaud, A.; Baley, C. A Review on Alfa Fibre (Stipa Tenacissima L.): From the Plant Architecture to the Reinforcement of Polymer Composites. Compos. Part A Appl. Sci. Manuf. 2020, 128, 105677. [Google Scholar] [CrossRef]
- Belkadi, A.A.; Aggoun, S.; Amouri, C.; Geuttala, A.; Houari, H. Effect of Vegetable and Synthetic Fibers on Mechanical Performance and Durability of Metakaolin-Based Mortars. J. Adhes. Sci. Technol. 2018, 32, 1670–1686. [Google Scholar] [CrossRef]
- Garrouri, S.; Lakhal, W.; Benazzouk, A.; Sediki, E. Potential Use of Alfa Fibers in Construction Material: Physico-Mechanical and Thermal Characterisation of Reinforced Specimen. Constr. Build. Mater. 2022, 342, 127787. [Google Scholar] [CrossRef]
- Messas, T.; Achoura, D.; Abdelaziz, B.; Mamen, B. Experimental Investigation on the Mechanical Behavior of Concrete Reinforced with Alfa Plant Fibers. Fract. Struct. Integr. 2022, 16, 102–113. [Google Scholar] [CrossRef]
- Krobba, B.; Bouhicha, M.; Kenai, S.; Courard, L. Formulation of Low Cost Eco-Repair Mortar Based on Dune Sand and Stipa Tenacissima Microfibers Plant. Constr. Build. Mater. 2018, 171, 950–959. [Google Scholar] [CrossRef]
- Ling, Y.; Zhang, P.; Wang, J.; Chen, Y. Effect of PVA Fiber on Mechanical Properties of Cementitious Composite with and without Nano-SiO2. Constr. Build. Mater. 2019, 229, 117068. [Google Scholar] [CrossRef]
- Fode, T.A.; Jande, Y.A.C.; Kim, Y.-D.; Ham, M.-G.; Lee, J.; Kivevele, T.; Rahbar, N. Effects of Different Lengths and Doses of Raw and Treated Sisal Fibers in the Cement Composite Material. Sci. Rep. 2025, 15, 1603. [Google Scholar] [CrossRef]
- Asociacion Española de Normalización. UNE-EN 197-1:2011: Cement—Part 1: Composition, Specifications and Conformity Criteria for Common Cements, 1st ed.; AENOR: Madrid, Spain, 2011. [Google Scholar]
- Cai, M.; Takagi, H.; Nakagaito, A.N.; Katoh, M.; Ueki, T.; Waterhouse, G.I.N.; Li, Y. Influence of Alkali Treatment on Internal Microstructure and Tensile Properties of Abaca Fibers. Ind. Crops Prod. 2015, 65, 27–35. [Google Scholar] [CrossRef]
- Mayakun, J.; Klinkosum, P.; Chaichanasongkram, T.; Sarak, S.; Kaewtatip, K. Characterization of a New Natural Cellulose Fiber from Enhalus Acoroides and Its Potential Application. Ind. Crops Prod. 2022, 186, 115285. [Google Scholar] [CrossRef]
- Yan, L.; Chouw, N.; Yuan, X. Improving the Mechanical Properties of Natural Fibre Fabric Reinforced Epoxy Composites by Alkali Treatment. J. Reinf. Plast. Compos. 2012, 31, 425–437. [Google Scholar] [CrossRef]
- Laverde, V.; Marin, A.; Benjumea, J.M.; Rincón Ortiz, M. Use of Vegetable Fibers as Reinforcements in Cement-Matrix Composite Materials: A Review. Constr. Build. Mater. 2022, 340, 127729. [Google Scholar] [CrossRef]
- Arvizu-Montes, A.; Alcivar-Bastidas, S.; Martínez-Echevarría, M.J. Experimental Study on the Effect of Abaca Fibers on Reinforced Concrete: Evaluation of Workability, Mechanical, and Durability-Related Properties. Fibers 2025, 13, 75. [Google Scholar] [CrossRef]
- de Azevedo, A.R.G.; Marvila, M.T.; Tayeh, B.A.; Cecchin, D.; Pereira, A.C.; Monteiro, S.N. Technological Performance of Açaí Natural Fibre Reinforced Cement-Based Mortars. J. Build. Eng. 2021, 33, 101675. [Google Scholar] [CrossRef]
- Alcivar-Bastidas, S.; Petroche, D.M.; Martinez-Echevarria, M.J. The Effect of Different Treatments on Abaca Fibers Used in Cementitious Composites. J. Nat. Fibers 2023, 20. [Google Scholar] [CrossRef]
- Asociación Española de la Normalización. UNE-EN 196-1:2018: Methods of Testing Cement—Part 1: Determination of Strength, 1st ed.; AENOR: Madrid, Spain, 2018; ISBN UNE-EN 1015-3. [Google Scholar]
- Ferrández, D.; Zaragoza-Benzal, A.; Pastor Lamberto, R.; Santos, P.; Michalak, J. Optimizing Masonry Mortar: Experimental Insights into Physico-Mechanical Properties Using Recycled Aggregates and Natural Fibers. Appl. Sci. 2024, 14, 6226. [Google Scholar] [CrossRef]
- García, G.; Cabrera, R.; Rolón, J.; Pichardo, R.; Thomas, C. Natural Fibers as Reinforcement of Mortar and Concrete: A Systematic Review from Central and South American Regions. J. Build. Eng. 2024, 98, 111267. [Google Scholar] [CrossRef]
- Helaili, S.; Guizani, A.; Khadimallah, M.A.; Chafra, M. Natural Cellulosic Alfa Fiber (Stipa Tenacissima L.) Improved with Environment-Friendly Treatment Cementitious Composites with a Stable Flexural Strength. Civ. Eng. Archit. 2023, 11, 1632–1644. [Google Scholar] [CrossRef]
- Sathiparan, N.; Rupasinghe, M.N.; Bhasura, H.M.P. Performance of Coconut Coir Reinforced Hydraulic Cement Mortar for Surface Plastering Application. Constr. Build. Mater. 2017, 142, 23–30. [Google Scholar] [CrossRef]
- Rashmi Nayak, J.; Bochen, J.; Gołaszewska, M. Experimental Studies on the Effect of Natural and Synthetic Fibers on Properties of Fresh and Hardened Mortar. Constr. Build. Mater. 2022, 347, 128550. [Google Scholar] [CrossRef]
- de Azevedo, A.R.G.; Marvila, M.T.; Antunes, M.L.P.; Rangel, E.C.; Fediuk, R. Technological Perspective for Use the Natural Pineapple Fiber in Mortar to Repair Structures. Waste Biomass Valorization 2021, 12, 5131–5145. [Google Scholar] [CrossRef]
- Claramunt, J.; Ardanuy, M.; García-Hortal, J.A.; Filho, R.D.T. The Hornification of Vegetable Fibers to Improve the Durability of Cement Mortar Composites. Cem. Concr. Compos. 2011, 33, 586–595. [Google Scholar] [CrossRef]
- Tolêdo Filho, R.D.; Ghavami, K.; England, G.L.; Scrivener, K. Development of Vegetable Fibre–Mortar Composites of Improved Durability. Cem. Concr. Compos. 2003, 25, 185–196. [Google Scholar] [CrossRef]
- Safiuddin, M.; Abdel-Sayed, G.; Hearn, N. Flexural and Impact Behaviors of Mortar Composite Including Carbon Fibers. Materials 2022, 15, 1657. [Google Scholar] [CrossRef]
- Espinosa, A.B.; Revilla-Cuesta, V.; Skaf, M.; Faleschini, F.; Ortega-López, V. Utility of Ultrasonic Pulse Velocity for Estimating the Overall Mechanical Behavior of Recycled Aggregate Self-Compacting Concrete. Appl. Sci. 2023, 13, 874. [Google Scholar] [CrossRef]
- Al-jabali, H.M.; Edris, W.F.; Al-Tamimi, M.; Al Sayed, A.A.-K.A.; Selouma, T.I. Evaluation of the Degradation of Mortar with Volcanic Tuff Replacement via Destructive and Non-Destructive Testing. Case Stud. Constr. Mater. 2025, 22, e04308. [Google Scholar] [CrossRef]
- ASTM C642-21; Standard Test Method for Density, Absorption, and Voids in Hardened Concrete. 1st ed. ASTM International: West Conshohocken, PA, USA, 2022; ISBN ASTM C597-22.
- Asociación Española de la Normalización UNE. UNE-EN 1015-3: Methods of Test For Mortar For Masonry. Part 3: Determination of Consistence of Fresh Mortar (By Flow Table), 1st ed.; AENOR: Madrid, Spain, 2000. [Google Scholar]
- ASTM C597-22; Standard Test Method for Ultrasonic Pulse Velocity Through Concrete. 1st ed. ASTM International: West Conshohocken, PA, USA, 2022; ISBN ASTM C597-22.
- Wang, Q.; Zhang, L.; Zhang, A. The Performance of Sulfoaluminate Cement Mortar with Secondary Aluminum Dross. Coatings 2025, 15, 459. [Google Scholar] [CrossRef]
- Kaptan, K.; Cunha, S.; Aguiar, J. The Effect of Activation Methods on the Mechanical Properties of Cement Mortars with Recycled Powder from Concrete Waste as a Cement Partial Replacement: A Review. Sustainability 2025, 17, 4502. [Google Scholar] [CrossRef]
- Sun, H.; Zou, H.; Ren, J.; Xu, G.; Xing, F. Synthesis of a Novel Graphene Oxide/Belite Cement Composite and Its Effects on Flexural Strength and Interfacial Transition Zone of Ordinary Portland Cement Mortars. Constr. Build. Mater. 2023, 402, 133009. [Google Scholar] [CrossRef]
- Naenudon, S.; Vilaivong, A.; Zaetang, Y.; Tangchirapat, W.; Wongsa, A.; Sata, V.; Chindaprasirt, P. High Flexural Strength Lightweight Fly Ash Geopolymer Mortar Containing Waste FIber Cement. Case Stud. Constr. Mater. 2022, 16, e01121. [Google Scholar] [CrossRef]
- Abdulrahman, P.I.; Bzeni, D.K.; Ahmed, S.M. Pull-off and Slant-Shear Tests for Evaluating Bond Strength in Polymer-Modified Cement Mortar Reinforced with Polypropylene Fibers. J. Build. Eng. 2025, 104, 112259. [Google Scholar] [CrossRef]
- Aminul Haque, M.; Chen, B.; Riaz Ahmad, M.; farasat ali shah, S. Mechanical Strength and Flexural Parameters Analysis of Micro-Steel, Polyvinyl and Basalt Fibre Reinforced Magnesium Phosphate Cement Mortars. Constr. Build. Mater. 2020, 235, 117447. [Google Scholar] [CrossRef]
- Polo-Mendoza, R.; Martinez-Arguelles, G.; Peñabaena-Niebles, R.; Duque, J. Development of a Machine Learning (ML)-Based Computational Model to Estimate the Engineering Properties of Portland Cement Concrete (PCC). Arab J. Sci. Eng. 2024, 49, 14351–14365. [Google Scholar] [CrossRef]
- Pineda, A.; Peñabaena-Niebles, R.; Martínez-Arguelles, G.; Polo-Mendoza, R. Development of OptiCon: A Mathematical Model with a Graphical User Interface for Designing Sustainable Portland Cement Concrete Mixes with Budget Constraint. Inventions 2025, 10, 22. [Google Scholar] [CrossRef]
- Abdelli, K.; Deboucha, W.; Leklou, N.; Alengaram, U.J.; Oudjit, M.N. Effect of Curing Temperature on the Early and Later Ages Behaviour of Metakaolin Blended Cement Mortars: Hydration Heat and Compressive Strength. Aust. J. Civ. Eng. 2024, 22, 94–107. [Google Scholar] [CrossRef]
- Al Safi, A.A. Blast Furnace Slag-Based Geopolymer Mortars Cured at Different Conditions: Modeling and Optimization of Compressive Strength. Eur. J. Environ. Civ. Eng. 2021, 25, 1949–1961. [Google Scholar] [CrossRef]
- Li, T.; Liu, X.; Zhang, J.; Shi, F.; Zhao, M.; Shen, X.; Zhu, J.; Lyu, K.; Shah, S.P.; Bao, T. Effect of Air Void Structure and Mechanical Properties of High Strength Fiber Reinforced Mortar Composed with Different Construction Sand Species Based on X-CT Technology. Mech. Adv. Mater. Struct. 2024, 31, 2873–2888. [Google Scholar] [CrossRef]
- Frayyeh, Q.; Swaif, A. Mechanical Properties of Fly Ash Geopolymer Mortar Reinforced with Carbon Fibers. MATEC Web Conf. 2018, 162, 02028. [Google Scholar] [CrossRef][Green Version]
- Choucha, S.; Benyahia, A.; Ghrici, M.; Said Mansour, M. Correlation between Compressive Strength and Other Properties of Engineered Cementitious Composites with High-Volume Natural Pozzolana. Asian J. Civ. Eng. 2018, 19, 639–646. [Google Scholar] [CrossRef]
- Mohammed, A.S.; Abdalla, A.A.; Kurda, R.; Qadir, W.S.; Mahmood, W.; Ghafor, K. Soft Computing Techniques to Estimate the Uniaxial Compressive Strength of Mortar Incorporated with Cement Kiln Dust. Innov. Infrastruct. Solut. 2023, 8, 300. [Google Scholar] [CrossRef]
- Lee, T.; Lee, J. Setting Time and Compressive Strength Prediction Model of Concrete by Nondestructive Ultrasonic Pulse Velocity Testing at Early Age. Constr. Build. Mater. 2020, 252, 119027. [Google Scholar] [CrossRef]
- Sathiparan, N.; Jayasundara, W.G.B.S.; Samarakoon, K.S.D.; Banujan, B. Prediction of Characteristics of Cement Stabilized Earth Blocks Using Non-Destructive Testing: Ultrasonic Pulse Velocity and Electrical Resistivity. Materialia 2023, 29, 101794. [Google Scholar] [CrossRef]
- Ndagi, A.; Umar, A.A.; Hejazi, F.; Jaafar, M.S. Non-Destructive Assessment of Concrete Deterioration by Ultrasonic Pulse Velocity: A Review. IOP Conf. Ser. Earth Environ. Sci. 2019, 357, 012015. [Google Scholar] [CrossRef]
- do Nascimento Moura, M.A.; Moreno, A.L.; dos Santos Ferreira, G.C. Ultrasonic Testing on Evaluation of Concrete Residual Compressive Strength: A Review. Constr. Build. Mater. 2023, 373, 130887. [Google Scholar] [CrossRef]
- Setiawan, M.R.; Fatkhan; Latief, F.D.E.; Fauzi, U. Characterization of Diabase Core Anisotropy: Integrating Ultrasonic Measurements and Digital Rock Physics. J. Appl. Geophys. 2025, 238, 105698. [Google Scholar] [CrossRef]
- Wang, L.; Zhang, Q.; Yi, J.; Zhang, J. Effects of Coral Aggregate Properties on the Ultrasonic Pulse Velocity of Concrete. J. Build. Eng. 2023, 80, 107935. [Google Scholar] [CrossRef]
- Wang, C.; Chen, B.; Vo, T.L.; Rezania, M. Mechanical Anisotropy, Rheology and Carbon Footprint of 3D Printable Concrete: A Review. J. Build. Eng. 2023, 76, 107309. [Google Scholar] [CrossRef]
- Cortez, J.; Browning, J.; Marquardt, C.; Clunes, M.; Carmona, N.; Benson, P.; Koor, N. Variable Elastic Anisotropy Controls Stress in Shallow Crown Pillars. Rock Mech. Bull. 2025, 100212. [Google Scholar] [CrossRef]
- Liu, B.; Liu, X.; Li, G.; Geng, S.; Li, Z.; Weng, Y.; Qian, K. Study on Anisotropy of 3D Printing PVA Fiber Reinforced Concrete Using Destructive and Non-Destructive Testing Methods. Case Stud. Constr. Mater. 2022, 17, e01519. [Google Scholar] [CrossRef]
- Liu, B.; Chen, Y.; Li, D.; Wang, Y.; Geng, S.; Qian, K. Study on the Fracture Behavior and Anisotropy of 3D-Printing PVA Fiber-Reinforced Concrete. Constr. Build. Mater. 2024, 447, 138051. [Google Scholar] [CrossRef]
- Nguyen, G.D.; Korsunsky, A.M. Development of an Approach to Constitutive Modelling of Concrete: Isotropic Damage Coupled with Plasticity. Int. J. Solids Struct. 2008, 45, 5483–5501. [Google Scholar] [CrossRef]
- Kurumatani, M.; Terada, K.; Kato, J.; Kyoya, T.; Kashiyama, K. An Isotropic Damage Model Based on Fracture Mechanics for Concrete. Eng. Fract. Mech. 2016, 155, 49–66. [Google Scholar] [CrossRef]
- Jiang, Q.; Liu, Q.; Wu, S.; Zheng, H.; Sun, W. Modification Effect of Nanosilica and Polypropylene Fiber for Extrusion-Based 3D Printing Concrete: Printability and Mechanical Anisotropy. Addit. Manuf. 2022, 56, 102944. [Google Scholar] [CrossRef]
- Meza de Luna, A.; Shaikh, F.U.A. Anisotropy and Bond Behaviour of Recycled Polyethylene Terephthalate (PET) Fibre as Concrete Reinforcement. Constr. Build. Mater. 2020, 265, 120331. [Google Scholar] [CrossRef]
- Słota-Valim, M. Static and Dynamic Elastic Properties, the Cause of the Difference and Conversion Methods—Case Study. Nafta-Gaz 2015, 71, 816–826. [Google Scholar] [CrossRef]
- Tang, C.-W. Effect of Presoaking Degree of Lightweight Aggregate on the Properties of Lightweight Aggregate Concrete. Comput. Concr. 2017, 19, 69–78. [Google Scholar] [CrossRef]
- Nik Hasni, N.A.H.; Alisibramulisi, A.; Hassan, R.; Saari, N.; Krishnamoorthy, R.R.; Adnan, S.H. Numerical Analysis of Splitting Tensile Strength of Steel Fibre Reinforced Concrete under Static Loading. J. Adv. Ind. Technol. Appl. 2022, 3, 64–77. [Google Scholar] [CrossRef]
- Guerrero-Bustamante, O.; Guillen, A.; Moreno-Navarro, F.; Rubio-Gámez, M.C.; Sol-Sánchez, M. Suitable Granular Road Base from Reclaimed Asphalt Pavement. Materials 2025, 18, 854. [Google Scholar] [CrossRef]
- Thapa, K.; Sedai, S.; Paudel, J.; Gyawali, T.R. Investigation on the Potential of Eulaliopsis Binata (Babiyo) as a Sustainable Fiber Reinforcement for Mortar and Concrete. Case Stud. Constr. Mater. 2024, 20, e03115. [Google Scholar] [CrossRef]
- de Azevedo, A.; Cruz, A.; Marvila, M.; de Oliveira, L.; Monteiro, S.; Vieira, C.; Fediuk, R.; Timokhin, R.; Vatin, N.; Daironas, M. Natural Fibers as an Alternative to Synthetic Fibers in Reinforcement of Geopolymer Matrices: A Comparative Review. Polymer 2021, 13, 2493. [Google Scholar] [CrossRef]
- Abdollahiparsa, H.; Shahmirzaloo, A.; Teuffel, P.; Blok, R. A Review of Recent Developments in Structural Applications of Natural Fiber-Reinforced Composites (NFRCs). Compos. Adv. Mater. 2023, 32, 26349833221147540. [Google Scholar] [CrossRef]
- Stochino, F.; Majumder, A.; Frattolillo, A.; Valdes, M.; Martinelli, E. Jute Fiber Reinforcement for Masonry Walls: Integrating Structural Strength and Thermal Insulation in Sustainable Upgrades. J. Build. Eng. 2025, 104, 112210. [Google Scholar] [CrossRef]
- ASTM C270-25; Standard Specification for Mortar for Unit Masonry. 1st ed. ASTM International: West Conshohocken, PA, USA, 2025; ISBN ASTM C597-22.
- ASTM C1329-05; Standard Specification for Mortar Cement. 1st ed. ASTM International: West Conshohocken, PA, USA, 2012; ISBN ASTM C597-22.
- Lertwattanaruk, P.; Suntijitto, A. Properties of Natural Fiber Cement Materials Containing Coconut Coir and Oil Palm Fibers for Residential Building Applications. Constr. Build. Mater. 2015, 94, 664–669. [Google Scholar] [CrossRef]
- Juárez-Alvarado, C.A.; Magniont, C.; Escadeillas, G.; Terán-Torres, B.T.; Rosas-Diaz, F.; Valdez-Tamez, P.L. Sustainable Proposal for Plant-Based Cementitious Composites, Evaluation of Their Mechanical, Durability and Comfort Properties. Sustainability 2022, 14, 14397. [Google Scholar] [CrossRef]
- Ramli, M.; Kwan, W.H.; Abas, N.F. Strength and Durability of Coconut-Fiber-Reinforced Concrete in Aggressive Environments. Constr. Build. Mater. 2013, 38, 554–566. [Google Scholar] [CrossRef]
- Zakaria, M.; Ahmed, M.; Hoque, M.; Shaid, A. A Comparative Study of the Mechanical Properties of Jute Fiber and Yarn Reinforced Concrete Composites. J. Nat. Fibers 2020, 17, 676–687. [Google Scholar] [CrossRef]
- Okeola, A.A.; Abuodha, S.O.; Mwero, J. Experimental Investigation of the Physical and Mechanical Properties of Sisal Fiber-Reinforced Concrete. Fibers 2018, 6, 53. [Google Scholar] [CrossRef]
- Teixeira, R.S.; Santos, S.F.; Christoforo, A.L.; Payá, J.; Savastano, H.; Lahr, F.A.R. Impact of Content and Length of Curauá Fibers on Mechanical Behavior of Extruded Cementitious Composites: Analysis of Variance. Cem. Concr. Compos. 2019, 102, 134–144. [Google Scholar] [CrossRef]
- Boulos, L.; Foruzanmehr, M.R.; Tagnit-Hamou, A.; Robert, M. The Effect of a Zirconium Dioxide Sol-Gel Treatment on the Durability of Flax Reinforcements in Cementitious Composites. Cem. Concr. Res. 2019, 115, 105–115. [Google Scholar] [CrossRef]
- Padavala, S.S.A.B.; Noolu, V.; Paluri, Y.; Harinder, D.; Akula, U.K. Performance Evaluation of Concrete Blended with Industrial and Agricultural Wastes Reinforced with Hybrid Fibres—A Feasibility Study. Sci. Rep. 2025, 15, 6662. [Google Scholar] [CrossRef]
- Chen, H.; Chow, C.L.; Lau, D. Developing Green and Sustainable Concrete in Integrating with Different Urban Wastes. J. Clean. Prod. 2022, 368, 133057. [Google Scholar] [CrossRef]
- Guerrero-Bustamante, O.; Camargo, R.; Duque, J.; Martinez-Arguelles, G.; Polo-Mendoza, R.; Acosta, C.; Murillo, M. Designing Sustainable Asphalt Pavement Structures with a Cement-Treated Base (CTB) and Recycled Concrete Aggregate (RCA): A Case Study from a Developing Country. Designs 2025, 9, 65. [Google Scholar] [CrossRef]
- Kabir, H.; Aghdam, M.M. A Generalized 2D Bézier-Based Solution for Stress Analysis of Notched Epoxy Resin Plates Reinforced with Graphene Nanoplatelets. Thin-Walled Struct. 2021, 169, 108484. [Google Scholar] [CrossRef]
- Duarte, C.A.; Hamzeh, O.N.; Liszka, T.J.; Tworzydlo, W.W. A Generalized Finite Element Method for the Simulation of Three-Dimensional Dynamic Crack Propagation. Comput. Methods Appl. Mech. Eng. 2001, 190, 2227–2262. [Google Scholar] [CrossRef]
















| Length (mm) | Diameter (mm2) | Tensile Strength (MPa) | Water Absorption (%) |
|---|---|---|---|
| 30 ± 3 | 0.08 ± 0.02 | 250.4 ± 35.9 | 78.6 ± 4.2 |
| Fiber | Fiber Content | Key Findings | Ref. |
|---|---|---|---|
| Abaca | 0.2, 0.3 and 0.4% based on the total weight of solids | Abaca fibers treated with 3% NaOH solution, 30 mm in length and 0.2% content presented the best results. This mixture improved mechanical strength and ensured adequate fiber integration in the mortar matrix. | [30] |
| Açai | 1.5, 3 and 5% over cement mass | Açaí fibers are feasible reinforcements for cement composites, including plastering mortars, but require alkaline treatment to ensure durability (3% NaOH solution recommended). Benefits were observed up to 5% fiber content; higher contents may affect packing and filling. | [29] |
| Alfa grass | 1, 2 and 5% by volume | The increase in the volume fraction of alfa fibers leads to a reduction in workability and flexural and compressive strengths, while density remains practically the same as the control mixture. | [34] |
| Coir | 0.125, 0.25, 0.5 and 0.75% by total solid weight | While compressive and flexural strengths did not significantly improve, post-crack properties including ductility, residual strength and toughness increased with higher coir fraction. | [35] |
| Jute | 1 and 2% of cement weight | Jute fibers reduced shrinkage and enhanced compressive and flexural strengths without impairing flow rate or air content, demonstrating a good fiber–matrix bond and potential advantages over synthetic fibers. | [36] |
| Pineapple | 2.5 and 5% in relation to cement mass | While fibers impaired the consistency of fresh mortars, NaOH-treated fibers exceeded the reference mixture in hardened state properties, including compressive, flexural and tensile strengths, water absorption and capillarity. The 2.5% treated fiber mix showed the best durability. | [37] |
| Sisal | 1, 1.5 and 2% to the mass of cement | Sisal fibers reduced fresh bulk density and workability. Treated fibers, in particular, improved compressive and flexural strengths as well as durability in aggressive chemical solutions. However, both treated and raw fibers reduced mortar strength at elevated temperatures. | [22] |
| Designation | Fibers (g) | Cement (g) | Sand (g) | Water |
|---|---|---|---|---|
| CONTROL | - | 540 | 1620 | Flow rate of 110 ± 5% |
| PPFM | 8.64 | 540 | 1620 | |
| AFM | 8.64 | 540 | 1620 |
| Test | Tested Specimens Per Mixture | Dimensions (mm) | Age of Testing (Days) |
|---|---|---|---|
| Density, water absorption and voids | 5 | 50 × 50 × 50 | 28 |
| Flexural strength | 3 | 40 × 40 × 160 | 7, 14 and 28 |
| Compressive strength | 6 | 40 × 40 × 40 * | 7, 14 and 28 |
| UPV | 5 | 50 × 50 × 50 | 7, 14 and 28 |
Disclaimer/Publisher’s Note: The statements, opinions and data contained in all publications are solely those of the individual author(s) and contributor(s) and not of MDPI and/or the editor(s). MDPI and/or the editor(s) disclaim responsibility for any injury to people or property resulting from any ideas, methods, instructions or products referred to in the content. |
© 2025 by the authors. Licensee MDPI, Basel, Switzerland. This article is an open access article distributed under the terms and conditions of the Creative Commons Attribution (CC BY) license (https://creativecommons.org/licenses/by/4.0/).
Share and Cite
Arvizu-Montes, A.; Guerrero-Bustamante, O.; Polo-Mendoza, R.; Martinez-Echevarria, M.J. Mechanical Performance of Fiber-Reinforced Cement Mortars: A Comparative Study on the Effect of Synthetic and Natural Fibers. Buildings 2025, 15, 2352. https://doi.org/10.3390/buildings15132352
Arvizu-Montes A, Guerrero-Bustamante O, Polo-Mendoza R, Martinez-Echevarria MJ. Mechanical Performance of Fiber-Reinforced Cement Mortars: A Comparative Study on the Effect of Synthetic and Natural Fibers. Buildings. 2025; 15(13):2352. https://doi.org/10.3390/buildings15132352
Chicago/Turabian StyleArvizu-Montes, A., Oswaldo Guerrero-Bustamante, Rodrigo Polo-Mendoza, and M. J. Martinez-Echevarria. 2025. "Mechanical Performance of Fiber-Reinforced Cement Mortars: A Comparative Study on the Effect of Synthetic and Natural Fibers" Buildings 15, no. 13: 2352. https://doi.org/10.3390/buildings15132352
APA StyleArvizu-Montes, A., Guerrero-Bustamante, O., Polo-Mendoza, R., & Martinez-Echevarria, M. J. (2025). Mechanical Performance of Fiber-Reinforced Cement Mortars: A Comparative Study on the Effect of Synthetic and Natural Fibers. Buildings, 15(13), 2352. https://doi.org/10.3390/buildings15132352

