Abstract
Transmission lines, crucial for power and urban infrastructure, are vulnerable to wind damage; this paper addresses research gaps in tower-line systems under multi-dimensional wind loads and aerodynamic damping. By incorporating multi-dimensional aerodynamic damping and conducting comprehensive multi-dimensional wind response analysis, it examines parameters like ground roughness and wind attack angles that significantly influence the tower responses, offering a holistic understanding of system behavior under real wind conditions. This study analyzes wind-induced responses of a large-span Chinese transmission line using a finite element model (FEM) with three spans and two towers. This paper conducts modal analyses of a single tower and the tower-line system, comparing their vibration characteristics under one- and multi-dimensional wind loads generated via harmonic superposition methods. Incorporating the multi-dimensional aerodynamic damping, the impact of wind velocity, ground roughness, and wind attack angle on the tower-line system is analyzed through time-history results and gust response factor. The findings reveal that under the premise of multi-dimensional aerodynamic damping, multi-dimensional wind loads significantly amplify responses compared to one-dimensional loads. As wind speed, ground roughness, and wind attack angle increase, responses are elevated, causing complex changes in gust response factors, underscoring the importance of considering multi-dimensional wind loads.
1. Introduction
Transmission lines play a vital role as critical infrastructure for power engineering in modern cities; however, transmission lines are highly susceptible to wind-induced vibrations, and wind damage poses a serious threat to continuous societal operations []. Large-span transmission tower-line systems are characterized by large spans, towering heights, and structural flexibility, making them highly sensitive to wind loads []. Under strong wind-induced vibrations, fatigue damage and buckling collapse can readily occur. Globally, over 80% of transmission line failures have been attributed to typhoons and hurricanes []. Disaster statistics from Chinese coastal regions also indicate that extreme wind events, especially typhoons, are the primary cause of line failures, with periodic case reports. The motions of the conductors can influence the dynamic response of transmission towers under wind, which cannot be overlooked [].
Scholars have undertaken extensive research on the wind-induced responses of transmission tower and tower-line systems using theoretical analysis, numerical simulation, and wind tunnel testing. Wang [] outlined steps to generate fluctuating wind speed time histories via harmonic superposition and proposed an empirical formula by fitting wind speed phase function data. Yan et al. [] used finite element modeling to find that the dynamic response of single towers and tower-line systems is greater than the quasi-static response. Savory et al. [] examined transmission tower failure modes under high winds by establishing annular vortex and wall jet wind field models to analyze tower dynamic stress and failure types. Battista et al. [] developed a 3D FEM to analyze the dynamic coupling behavior of transmission lines and towers, proposing a new model solved with the Runge–Kutta method. Guo et al. [] designed an aeroelastic model of a tower-line system using the discrete stiffness method and conducted wind tunnel tests on single towers and tower-line systems under various wind angles and turbulent speeds. Liu et al. [] found that complex terrain alters wind profiles and affects tower loads. They recommend reducing span and controlling differences in high wind areas and including terrain impact in analyses to avoid overestimating wind responses. Shen et al. [] developed a general finite element analysis method to address conductor failure problems and obtain transmission line design failure loads. Hung et al. [] studied large-amplitude wind-induced vibration responses of transmission lines, finding that gust-type vibrations comprise most field-measured responses, which can be large enough to damage lines. Fu et al. [] proposed a new vulnerability analysis method for large-span transmission tower-line systems under wind loads. Tian et al. [,] carried out a series of studies on the collapse mechanism and collapse resistance of a large-span transmission tower-line system under wind load. Take-uchi et al. [] identified the aerodynamic damping of a tower-line system and established a corresponding theoretical model according to the field monitoring. Lou et al. [,] analyzed the dynamic wind deflection response and related parameters of UHV transmission lines and summarized the variation law of wind deflection angle with different structural parameters. Yun et al. [] considered multiple parameters to establish a model for the ultimate bearing capacity of transmission towers under extreme wind speeds and loads, evaluating the vulnerability of actual transmission lines and towers during typhoons. Li et al. [,,] established numerical and full-scale models of transmission towers and identified the diagonal member as a potential weak link in post-elastic capacity. They also studied the response characteristics of bolts under seismic action. Li et al. [,] introduced and enhanced a nonlinear analysis method based on the Woodbury formula to address the inefficiency of traditional FEM in nonlinear analysis, applying it effectively to large-scale structures. Zhu et al. [] emphasize the uncertainty of transmission towers’ wind-resistance capacity and the stochastic effects of wind loads, highlighting the increased risk of collapse under varying wind attack angles and radial distances compared to conventional atmospheric boundary layer (ABL) winds. Li et al. [] highlight the limitations of linear elastic transmission tower design methods, emphasizing the need to account for geometric and material nonlinearity to accurately predict structural behavior and optimize material usage. Zhang et al. [] focused on the effects of wind loads, span lengths, pretension forces, and various arrangement methods of cables, aiming to improve the safety and stability of transmission lines under dynamic wind conditions.
Based on the above research, Zhang et al. [] analyzed the wind-induced vibration response of a 1100 kV transmission tower, studying the effects of wind direction and speed on the wind vibration coefficient and providing value recommendations. Wei et al. [] used finite element software to model the gust response factors of transmission tower-line systems with different span lengths and height differences under uniform wind loads. The results showed that height differences had a stronger effect on gust response factors at tower tops than at the bases. The factors decreased with longer spans but increased with greater height differences. However, since transmission lines cross diverse terrains, uniform wind conditions may not fully capture their behavior. Zhang et al. [] used finite element modeling and field data to analyze the dynamic response of transmission tower-line systems under varying wind speeds and directions. They found that higher wind speeds amplified the coupling effect, increasing the risk of premature failure. Unlike earlier studies that focused only on perpendicular downwind loads, this study considered the multi-dimensional nature of wind but did not include aerodynamic damping. Xie et al. [] developed aeroelastic models for a single tower and a tower-line system to compare their dynamic responses to longitudinal and lateral wind loads. They found that 70–90% of displacement and strain were due to the conductors. Frequency domain testing showed that the system’s dynamics were more sensitive to wind speed changes, with increasing wind speed causing the tower’s frequencies to decrease and the conductors’ frequencies to increase, both with reduced peak amplitudes. These findings highlight the crucial role of wires in transmission line design, though further research is needed on factors affecting tower response.
Previous research on wind response in tower-line systems primarily considered one-dimensional wind loads, overlooking turbulence excitation in other dimensions and lacking analysis of sensitivity parameters like ground roughness and wind attack angles. Moreover, studies focused only on longitudinal aerodynamic damping, ignoring vertical damping effects. This paper addresses these gaps by incorporating multi-dimensional aerodynamic damping and conducting a comprehensive wind response analysis, exploring a broader range of parameters that significantly influence transmission tower behavior under realistic wind conditions. Section 2 establishes a FEM based on an engineering example, focusing on the coupling vibration characteristics of single tower and tower-line systems, highlighting the significant impact of large-span wires and ground wires. Section 3 uses the harmonic superposition method to simulate fluctuating wind speed in a multi-dimensional wind field, confirming the accuracy of the simulation and offering more precise wind load data than field measurements. Section 4 derives a formula for multi-dimensional aerodynamic damping and demonstrates the importance of multi-dimensional wind load analysis by comparing the responses of one- and multi-dimensional systems. It also analyzes parameters of the wind-induced response. Section 5 applies the gust response factor to evaluate the effects of wind speed, ground roughness, and wind attack angle on each component. Finally, Section 6 presents the conclusions.
2. Research of Coupling Vibration Characteristics
As an example, this paper examines the 500 kV double-circuit Yuhuan Substation to the Yueqing Substation transmission line in Zhejiang Province, China. The Yueqing Bay section comprises the most critical portion of this 500 kV double-circuit project spanning from the Yuhuan Substation to the Yueqing Substation. It crosses Dalian Island in southern Yuhuan County before traversing Xiaowu Mountain and Dawu Mountain (Taohua Island) toward Zhongshan in Yueqing City. The total length of the Yueqing Bay section is 6480 m, divided into two tension sections. The tension section from Dalianyu to Dawushan has the largest span, with a total length of 3610 m and a maximum span of 2017 m, as shown in Figure 1 and Figure 2. The key parameter profoundly influencing the extra-long span design is the 42 m/s design reference wind speed, representing the 10-min average maximum wind speed at the water’s surface caused by typhoons, which affect this region in China’s southeast subtropical monsoon climate zone almost annually, with severe storms occurring every two to three years on average. The ground roughness class is A. The twin-tower model has a height of 254 m and a nominal height of 227 m.
Figure 1.
Cross-section diagram of Dalianyu to Dawushan.
Figure 2.
The 500 kV tangent tower from Dalianyu to Dawushan.
A comprehensive model of the transmission tower-line system is constructed using finite element software ANSYS 19.0, as shown in Figure 3. To improve the computational efficiency, the boundary conditions are simplified and the tension towers at both ends of the line are represented as articulated nodes. In addition, the Newton–Raphson iterative method is used to model conductors and ground wires and determine their circles []. Initially, split wires are treated as equivalent to single wires, and the Link10 [] element type is adopted. This element exhibits bilinear stiffness matrix characteristics, making it suitable for modeling tension or compression exclusively along the axial direction. By employing the tension-only mode, the stiffness dissipates during compression, effectively simulating the relaxation behavior of conductors and ground wires. This capability is crucial for conductor and ground wire simulation and dynamic analysis, with parameters such as the elastic modulus, cross-sectional area, and unit weight derived from the design data. The insulator is simulated using the Link8 [] element, designed to withstand uniaxial tension and compression while accommodating large deformation analysis, making it well-suited for simulating trusses, sagging cables, and related components. Finally, the Beam188 [] element was employed to simulate the various components of the transmission tower body. The tower body is constructed with 25-mm-thick Q345 steel tubes filled with C50 concrete. Bracing members use Q235 steel tubes. The conductor consists of JLHA1/EST-500/230 four-split wires, and the ground wire is an aluminum-clad steel-stranded wire, model JLB20-300. The detailed parameters and the overall tower model are illustrated in Figure 4. This paper utilizes the modal analysis function and adopts the block Lanczos method to calculate the modal of the transmission tower and tower-line system. The first six natural vibration characteristics of the tower-line system are shown in Table 1. The first six-order formation diagram of a single tower and the tower-line system are shown in Figure 5 and Figure 6, respectively.
Figure 3.
FEM of the tower-line system.
Figure 4.
FEM of the tower. (a) Detail parameters of the tower head; (b) Detail parameters of the tower body; (c) Single tower.
Table 1.
Natural vibration period comparison between single tower and tower-line system.
Figure 5.
The first six vibration modes of the single tower.
Figure 6.
The first six vibration modes of the tower-line system.
Ground wire mass and stiffness effects [] lead to a lower natural frequency for the tower-line system than the single tower. As with the single tower, the tower-line system exhibits alternating X-direction parallel motion, Y-direction parallel motion, and vertical torsional modes. The first-order X-direction frequency of the tower-line system is 6.87% less than that of the single tower. In comparison, the first-order Y-direction frequency is only 1.71% lower, which indicates that the increased mass effect of the ground wire on the tower-line system in the X direction outweighs the stiffness effect, whereas, in the Y direction, the stiffness effects and damping of conductors and ground wires counterbalance each other, resulting in minimal Y-direction frequency reduction. Thus, the existence of a large-span ground wire does not substantially diminish the natural frequency of the tower itself.
3. Simulation of Multi-Dimensional Wind Field
Field measurements of wind speed, wind direction, turbulence intensity, ground roughness, and horizontal span are subject to limitations, making it difficult to conduct parameter analysis of a single variable. Numerical simulation can compensate for these limitations. This section primarily employs the harmonic superposition method to simulate the multi-dimensional wind fields of monsoons. Wind load is a critical design and safety factor for structures. Field measurements have limitations in controlling wind speed, direction, turbulence, ground roughness, and horizontal span, complicating single-parameter analysis. Numerical simulation can overcome these limitations and provide more accurate results. Recent computational advances have increased the accuracy of wind load simulations. In this paper, the characteristic orthogonal decomposition method (POD) []—based on the cross-spectral density matrix in the harmonic superposition method—is used to synchronously simulate the multi-dimensional fluctuating wind speed time history of transmission lines and transmission towers under wind fields, where the average wind is simulated by the exponential wind profile.
3.1. Mean Wind
The variation in mean wind speed with height, known as the mean wind profile, is a key characteristic of wind and essential for wind simulation. When the height from the ground is less than 300 to 500 m, wind speed decreases due to surface friction. Beyond 500 m, wind speed is considered unaffected by the surface and flows freely under the pressure gradient, reaching the gradient velocity at the gradient wind height. The mean wind profile can generally be described by two models: the logarithmic wind profile and the exponential wind profile.
The total wind speed is considered as the superposition of the average wind speed and the fluctuating wind speed. In structural wind engineering, an exponential wind profile is commonly employed to simulate the mean wind, offering simpler calculations versus the logarithmic law while producing minimally different results. The exponential law was originally proposed by Hellman in 1916 to represent the average wind speed over horizontal, uniform terrain. Later, Davenport compiled wind profiles for various sites from extensive observations, proposing that the exponential function can describe the law governing how the average wind speed changes with height:
where V10 is the basic wind speed; α represents the power-law exponent related to ground roughness. The power index should be taken according to the Chinese code GB50009-2012 [], as shown in Table 2.
Table 2.
Power-law exponents under typhoons with various exposure categories.
3.2. Fluctuating Wind
The wind speed field at any point in space can be decomposed into three mutually perpendicular wind speeds, as shown in Figure 7. The wind speed in each direction can be decomposed into the average part and the pulsating part at time t, as shown in Equation (2).
where are the longitudinal, transverse, and vertical average wind speeds, respectively, which do not change with time and are only related to the spatial position; u, v, and w are longitudinal, transverse, and vertical fluctuating wind speeds, respectively. They are functions of time and space and have the characteristics of zero-mean random processes. Auto-power spectral density function and spatial coherency function can be used to describe their statistical characteristics [].
Figure 7.
Multi-dimensional wind field at specific point.
- (1)
- Auto-power spectral density function
The auto-spectral density function of fluctuating wind speed reflects the distribution of wind field energy in the frequency domain, which is an important index for characterizing the fluctuation characteristics of the wind field. In this section, the Karman spectrum recommended by ESDU [] is used.
where is the number of simulated points; is the frequency; is the variance in fluctuating wind speed in three directions; is the turbulence integral scale in three directions; is the longitudinal average wind speed, given by the following:
where is the wind speed at 10 m height, that is the basic wind speed; is the ground roughness index. The horizontal and vertical average wind speeds and are determined by the wind attack angle, and the default is 15 degrees. Longitudinal turbulence is defined below []:
where is the height of the calculation point; is the ground roughness index; is the gradient wind height; is the truncation height. According to the definition of turbulence, the variance of longitudinal fluctuating wind speed can be expressed as follows:
where is the average wind speed. The variance in the vertical fluctuating wind speed and the variance in the transverse fluctuating wind speed are obtained by the following empirical formula []:
The turbulence integral scale is a measure of the average size of turbulent vortices in the airflow. The turbulence integral scales in three directions are determined using the following empirical formula []:
where z0 is the surface roughness length, taking 0.001 m.
- (2)
- Spatial coherence function
The spatial coherence function is in the form recommended by Davenport, where the longitudinal decay coefficient: , , ; the lateral decay coefficient: , , ; and the vertical decay coefficient: , , [].
- (3)
- Point coherence function
The fluctuating wind speed at different directions of space point A also exhibits correlation (i.e., the same point but different directions), which is expressed by the point coherence function. Solari [] found that there is no correlation between the transverse fluctuating wind speed v and the longitudinal fluctuating wind speed , as well as the vertical fluctuating wind speed , by analyzing measured data. Therefore, the point coherence function only needs to consider the correlation between the longitudinal fluctuating wind speed and the vertical fluctuating wind speed :
where is a point-coherent scaling factor, calculated as follows:
where is the friction velocity, calculated according to the following equation:
where is the longitudinal turbulence intensity factor, calculated as follows:
- (4)
- Space and point mutual coherence function
The comprehensive Equations (11) and (12) can be used to obtain the spatial and point mutual coherence function (i.e., different directions and different points) of two other points and three directions:
Among them, the three elements of the diagonal can be directly obtained by Equation (12), and the other three elements of the upper triangle are outlined below:
The space and point mutual coherence functions are symmetric matrices. Taking the following triangular element as an example, the proof process is as follows:
Similarly, , .
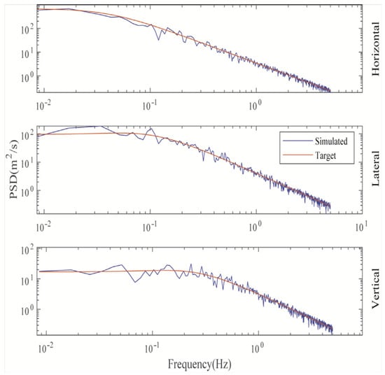
Using an appropriate orthogonal decomposition in the spectral representation method to simulate fluctuating wind speeds [] will not be discussed in depth here. The total simulation time is 600 s, corresponding to the statistical time interval of basic wind speeds in GB 50009-2012 (Chinese standard) []. The cutoff frequency is set at 5 Hz, with 2048 frequency segments, and a sampling frequency of 10 Hz. To verify the reliability of the simulation results, the simulation results of the loading point in the middle of a conductor are selected below. The wind speed time history and the self-spectral density function are compared with the target wind field, as shown in Figure 8 and Figure 9. The results show that the two are in good agreement, and the simulated multi-dimensional fluctuating wind speed time history can be used for the calculation of the wind-induced responses of transmission lines and transmission towers.
Figure 8.
Simulated fluctuating wind speeds.
Figure 9.
Comparison of target and simulated PSD.
Wind speed simulation points are placed at intervals of 20 m along the height of the tower, totaling 46 points across both towers. Similarly, along the transmission line, simulation points are located every 20 m to accommodate six conductors and two ground wires of different heights, simplified into one ground wire and two conductors for a total of 581 simulation points.
4. Wind-Induced Response Under Multi-Dimensional Wind Load
4.1. Comparison of Response
4.1.1. Aerodynamic Damping
Previous studies on the wind-induced response of transmission tower-line systems have typically focused on one-dimensional wind load. This means the wind load is assumed to act in a single direction; however, the wind is a multi-dimensional phenomenon, and the wind load applied to a transmission tower-line system can vary significantly in space due to the influence of terrain on wind flow.
One-dimensional wind load modeling typically involves assuming that the wind load acts in the direction of the average wind speed, which can be used to obtain a simple and approximate estimate of the wind-induced response of a transmission tower-line system. This can lead to inaccurate results, especially for transmission tower-line systems located in complex terrain areas without accounting for the spatial variability of wind load. By simulating wind load in three dimensions, we can more accurately predict the wind-induced response of transmission tower-line systems in complex wind fields, improving the accuracy and reliability of the design.
In multi-dimensional wind-induced response analysis, aerodynamic damping is calculated differently than in one-dimensional analysis by considering the relative velocity of the wind and the conductor in the vertical direction. Aerodynamic damping, derived from the coupling effect between the conductor and wind, plays a dominant role in the total damping of the conductor. By calculating the wind load on the conductor using the relative velocity of the incoming flow and the conductor, the influence of aerodynamic damping on the conductor’s wind vibration can be implicitly considered []. At high wind speeds, the conductor’s wind deflection angle may become too large, causing its movement to no longer be parallel to the wind direction. Therefore, when calculating the aerodynamic damping of the conductor, the relative motion of the conductor and wind in both along-wind and vertical directions should be considered.
In Figure 10, , are the components of the average wind speed applied to the conductor in the x- and y-directions. , are the components of the fluctuating wind speed applied to the conductor in the x- and y-directions. , are the components of the velocity of the wire in the x- and y-directions. It is assumed that the wind load applied to the conductor is .
Figure 10.
The wind speed applied to the conductor.
The angle between the relative velocity and the horizontal plane is calculated by Equation (21)
The wind load components and in these two directions can be obtained by projecting the wind load of the conductor segment to the horizontal and vertical directions, respectively (as shown in Figure 11).
where is the speed of relative motion between the wind and the conductor.
Figure 11.
The velocity component of the conductor.
4.1.2. Comparison of Response Between One- and Multi-Dimensional Wind Load
Taking 42 m/s as the basic wind speed, and 0.15 as the power-law exponent. For one-dimensional wind load, applying the wind load simulation method outlined in Section 3 involves directing the acquired wind loads along the X direction—specifically, perpendicular to the overhead wire and parallel to the ground—onto the diverse load points within the tower-line system. For multi-dimensional wind load, the equivalent wind load of the section along the X direction and the vertical Z direction is applied to the nodes on the conductors and ground wires, and the wind attack angle defaults to 15 degrees up horizontally. The wind load in the X direction and Y direction is applied to the transmission tower with the same wind attack, which is 15 degrees. In addition, before the dynamic analysis, to eliminate the transient effect caused by the sudden wind load, the process of 100 s simulated wind speed increasing from uniform to average wind speed is added, and the total wind speed is 700 s. In addition, before the dynamic analysis, to eliminate the transient effect caused by the sudden wind load, the process of 100 s simulated wind speed increasing from uniform to average wind speed is added, and the total wind speed is 700 s. The time history analysis of the wind-induced vibration responses of the large-span transmission tower-line system model for 700 s was carried out using the input load calculated above. The time history analysis takes the nonlinear static analysis results under the action of self-weight as the initial state and carries out dynamic analysis on this basis. The detailed information on the tower body loading nodes, axial force feature elements, and displacement feature nodes are shown in Figure 12:
Figure 12.
Feature nodes and elements. (a) Loading nodes of tower body; (b) Feature elements of axial force; (c) Feature nodes of displacement.
Following dynamic analysis, the displacement time history, the base bending moment’s time history, the axial force time history of the tower body, and the axial force time history along the wind direction of the insulator are acquired. The corresponding power spectral density is obtained through the Fourier transform. Specifically, at a wind speed of 42 m/s and a power-law exponent of 0.15, the comparison of the simulated fluctuating wind speed time history, displacement response time history of the highest feature point in the tower-line system under wind load, the axial force time history of the bottommost leg element, the reaction force along the wind time history of the lower insulator, and the base bending moment time history between one and three dimensional wind load are extracted and presented in Figure 13.
Figure 13.
Comparison of response between one- and multi-dimensional wind load. (a) Simulated fluctuating wind speeds; (b) Displacement of the highest node; (c) Vertical reaction force of insulator; (d) Longitudinal reaction force of insulator; (e) Axial force of the bottommost leg element; (f) Base bending moment.
Different from Yan et al.’s conclusion that the transmission lines will increase the stability of the tower-line system with the presence of the coupling effect [], the dynamic response of the tower-line will increase to varying degrees under the premise of considering multi-dimensional aerodynamic damping. The mean displacement at the highest point of the transmission tower’s cage increased by 11%. The base bending moment remained almost unchanged. The vertical reaction force on the insulator decreased by 83% but the longitudinal reaction force on the insulator increased by 12%. The absolute amplitude of the axial force at the leg member of the tower body’s base increased by 57%. Overall, multi-dimensional wind loads increase in wind-induced response, thus necessitating further detailed analysis.
4.2. Analysis of Parameters
Across the country, transmission lines are constructed and span diverse locations, including urban centers, peripheries, and remote areas. Owing to variations in surface roughness and climate among different regions, the characteristics of the wind field also differ. Measured data indicate significant influences of wind speed, ground roughness, and ground height on the GRF. This section conducts a parameter analysis, delving into their impact on the mean and root mean square of the response.
4.2.1. Basic Wind Speed
This section examines the tower-line system’s response to wind speed variations when the power-law exponent is 0.12, and the attack angle is 15 degrees. The calculation results are plotted for the base bending moment in the principal direction, the vertical and longitudinal reaction forces on the insulator, tower body displacements in the principal and secondary directions, and the mean and root mean square (RMS) responses of axial forces in the tower body’s leg members. From Figure 14a–d,g–j, it is observed that most responses increase with rising wind speed, except for the sub-directional displacement and axial force of the tower body. The abnormal secondary displacement response occurs at 40 m/s wind speed. When wind speed is below or equal to 35 m/s, the tower body undergoes small oscillations in the wind direction, resulting in positive displacements due to the relatively low wind speed. However, above 35 m/s, larger oscillations in both directions lead to positive and negative displacements alternately, decreasing the absolute mean response. As wind speed further increases, the absolute mean response rises again. The axial force response is extracted from the windward leg members. Above 100 m, the response increases with wind speed; however, below 100 m, an abnormal response is observed. At lower wind speeds, the tower’s self-weight significantly affects the lower members, resulting in a negative response. As wind load becomes more dominant, the tensile force increases, decreasing the absolute response until it becomes positive. Subsequently, the response continues to rise with increasing wind speed.


Figure 14.
Response analysis of basic wind speed. (a) Mean value of base bending moment in principal direction; (b) RMS of base bending moment in principal direction; (c) Mean value of displacement in principal direction; (d) RMS of displacement in principal direction; (e) Mean value of displacement in secondary direction; (f) RMS of displacement in secondary direction; (g) Mean value of longitudinal reaction force on insulator; (h) RMS of longitudinal reaction force on insulator; (i) Mean value of vertical reaction force on insulator; (j) RMS of vertical reaction force on insulator; (k) Mean value of axial force; (l) RMS of axial force.
4.2.2. Ground Roughness
This section examines the impact of ground roughness on the tower-line system at a wind speed of 42 m/s and a 15-degree wind attack angle. The analysis focuses on the base bending moment in the principal direction, the vertical and longitudinal reaction forces on the insulator, tower displacements in both principal and secondary directions, and the mean and RMS responses of axial forces in the tower’s leg members. Figure 15 shows that all responses increase with ground roughness. When the roughness coefficient is 0.12, the response change rate is smaller than at 0.15. However, a significant change occurs when the coefficient reaches 0.22. Notably, the average axial force in the tower’s leg members at the base is the most sensitive to ground roughness, showing a 265% increase compared to a coefficient of 0.15.

Figure 15.
Response analysis of ground roughness. (a) Mean value of base bending moment in principal direction; (b) RMS of base bending moment in principal direction; (c) Mean value of displacement in principal direction; (d) RMS of displacement in principal direction; (e) Mean value of displacement in secondary direction; (f) RMS of displacement in secondary direction; (g) Mean value of longitudinal reaction force on insulator; (h) RMS of longitudinal reaction force on insulator; (i) Mean value of vertical reaction force on insulator; (j) RMS of vertical reaction force on insulator; (k) Mean value of axial force; (l) RMS of axial force.
4.2.3. Wind Attack Angle
This section explores the influence of varying wind attack angles on the tower-line system response when the design power-law exponent is 0.15 at a design wind speed of 42 m/s. For wires, the attack angle is 0 degrees horizontally, positive upward, and negative downward. For the transmission tower, the direction along the cross-arm is the main direction, and the perpendicular direction is the sub-direction.
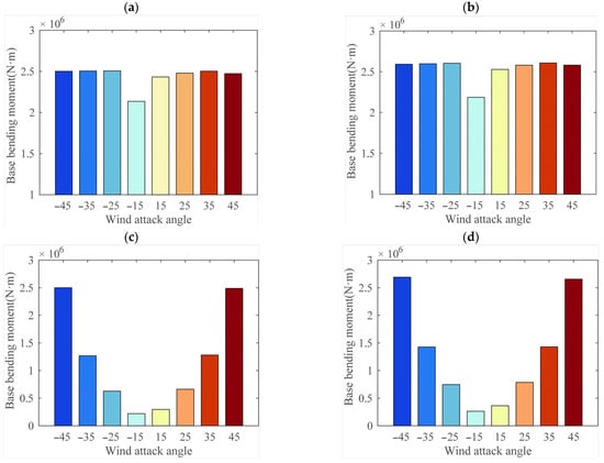
As shown in Figure 16a–d, except at −15 degrees, the wind attack angle has little effect on the base bending moment in the principal direction. However, increasing the absolute attack angle value amplifies the base bending moment response in the secondary direction. Figure 16e–h indicate that while the wind attack angle has little influence on the tower body’s main direction displacement, increasing the absolute attack angle value augments the displacement response in the secondary direction. Figure 16i–l indicate that escalating the absolute wind attack angle value augments the insulator’s longitudinal reaction response, with greater sensitivity to positive angles. Conversely, decreasing the wind attack angle substantially increases the insulator’s vertical reaction response, potentially causing insulator damage. Figure 16m–n illustrate that since the axial force response derives from the leg member on the windward side in the principal direction and the leeward side in the secondary direction, increasing the absolute attack angle value causes responses in the two directions to counteract, diminishing the total response. Therefore, further analysis focuses on leg members at the same height under simultaneous tension when the wind attack angle is −45 degrees, yielding the minimum total response. Figure 16o shows that the maximum internal force difference between two leg members with distinct mechanical characteristics at the same height can reach 7.4 × 106 N, while the maximum internal force of leg members can attain 107 N, indicating the axial force of the leg members are highly susceptible to wind attack angle changes.


Figure 16.
Response analysis of wind attack angle. (a) Mean value of base bending moment in principal direction; (b) RMS of base bending moment in principal direction; (c) Mean value of base bending moment in secondary direction; (d) RMS of base bending moment in secondary direction; (e) Mean value of displacement in principal direction; (f) RMS of displacement in principal direction; (g) Mean value of displacement in secondary direction; (h) RMS of displacement in secondary direction; (i) Mean value of longitudinal reaction force on insulator; (j) RMS of longitudinal reaction force on insulator; (k) Mean value of vertical reaction force on insulator; (l) RMS of vertical reaction force on insulator; (m) Mean value of axial force; (n) RMS of axial force; (o) Comparison of axial force mean values.
5. Analysis of Gust Response Factors
The gust response factors (GRF) quantify the dynamic amplification of wind loads on structures arising from atmospheric turbulence []. Defined as the ratio between the maximum expected response and a structure’s average response, the GRF typically exceeds unity, signifying greater wind-induced vibrational influence than under steady wind conditions. As such, the GRF represents a structure’s dynamic traits. For the design of wind-sensitive structures like transmission towers and high-rises, GRF constitutes an important consideration that can be determined from measured gust responses per Equation (24) []:
where is the total displacement; is the average displacement; g represents the peak factor, which has a value of 2.5; and is the standard deviation of the displacement.
5.1. Basic Wind Speed
This section further utilizes the results in Section 4.2.1 for the GRF analysis. The results are plotted for the base bending moment, vertical and longitudinal reaction forces on the insulator, tower body displacements in the principal and secondary directions, and axial forces in the tower body’s leg members.
As shown in Figure 17a–f, except for Figure 17f, the insulator’s vertical reaction force GRF shows an abnormal decrease at a wind speed of 45 m/s, whereas other figures show this decrease at 40 m/s. This anomaly may be due to higher wind speeds above 40 m/s causing significant tower sway, with alternating positive and negative values reducing the GRF. However, the overall trend shows an increase in GRF with rising wind speed.
Figure 17.
GRF analysis of basic wind speed. (a) GRF of base bending moment in principal direction; (b) GRF of axial force; (c) GRF of displacement in principal direction; (d) GRF of displacement in secondary direction; (e) GRF of longitudinal reaction force on insulator; (f) GRF of vertical reaction force on insulator.
5.2. Ground Roughness
This section further utilizes the results in Section 4.2.2 for the GRF analysis. The results are plotted for the base bending moment, the vertical and longitudinal reaction forces on the insulator, tower body displacements in the principal and secondary directions, and axial forces in the tower body’s leg members. It can be seen from all the results that except for the displacement GRF in the secondary direction, all others increase with the increase in the power-law exponent. As evident from Figure 18d, when the power-law exponent is 0.15, the GRF of the tower body’s displacement in the secondary direction exhibits an abrupt increase, and the shape of the GRF curve along the tower height direction also changes. This is because the small ground roughness results in minimal wind speed variation over time, leading to the tower body displacement’s stability being almost entirely positive. However, when the ground roughness is large, the wind speed fluctuates significantly over time, rendering the tower displacement unstable, with both positive and negative values, consequently increasing the GRF.
Figure 18.
GRF analysis of ground roughness. (a) GRF of base bending moment in principal direction; (b) GRF of base bending moment in secondary direction; (c) GRF of displacement in principal direction; (d) GRF of displacement in secondary direction; (e) GRF of longitudinal reaction force on insulator; (f) GRF of axial force.
5.3. Wind Attack Angle
This section further utilizes the results in Section 4.2.3 for the GRF analysis. The results are plotted for the base bending moment, the vertical and longitudinal reaction forces on the insulator, tower body displacements in the principal and secondary directions, and axial forces in the tower body’s leg members. According to the results. Figure 19a,b illustrate that the GRF of the base bending moment in the principal direction decreases as the absolute wind attack angle value increases. The GRF of the base bending moment in the secondary direction remains similar, except for a sudden reduction when the wind attack angle is −15 degrees. Figure 19c,d show that the GRF of the tower body’s principal direction displacement exhibits minor variations with changing wind attack angle, without a discernible pattern. However, the secondary direction displacement’s GRF produces larger values when the absolute wind attack angle is small, with dramatic changes along the tower height direction, but stabilizes as the absolute angle value increases. From Figure 19e,f, the GRF of the insulator’s longitudinal reaction amplifies with increasing the absolute wind attack angle value. Conversely, the GRF of the insulator’s vertical reaction diminishes with increasing absolute wind attack angle, eventually stabilizing around 1. Figure 19g demonstrates that the GRF of the tower members’ axial force escalates with increasing absolute wind attack angle value.

Figure 19.
GRF analysis of wind attack angle. (a) GRF of Base bending moment in principal direction; (b) GRF of Base bending moment in secondary direction; (c) GRF of displacement in principal direction; (d) GRF of displacement in secondary direction; (e) GRF of longitudinal reaction force on insulator; (f) GRF of vertical reaction force on insulator; (g) GRF of axial force.
6. Summary and Conclusions
Utilizing the maximum span stretch section from Dalian Yu to Dawushan of the Yuhuan–Yueqing 500 kV double-circuit transmission line as an example, FEMs of a single tower and a three-span double tower have been established to investigate the vibration characteristics of the single tower and tower-line coupling system. Wind speed time history samples were obtained through the harmonic superposition method, and the influence of different environments and operating conditions on the mean and root mean square of the wind-induced response of the tower-line system was analyzed. Based on these findings, the gust response factors were analyzed and compared, leading to the following main conclusions:
(1) The natural frequency of the tower-line system is slightly smaller than that of a single tower due to the mass and stiffness effects of the conductors and ground wires. The frequency reduction in the X direction is greater than in the Y direction, indicating that the mass effect in the X direction outweighs the stiffness effect. In contrast, in the Y direction, these effects cancel out, leaving the natural frequency largely unchanged. Under strong wind conditions, the vibration of the tower-line system is primarily concentrated in the low-frequency region, with the first mode contributing most significantly. The conductors’ and ground wires’ unique flexibility results in highly dense natural frequencies, and the power spectral density of the insulator reaction force reflects their influence on the wind-induced vibration of the transmission tower;
(2) A comparative analysis between one-dimensional and multi-dimensional wind loads applied to the tower-line system reveals a significant increase in wind-induced responses under multi-dimensional wind loads considering multi-dimensional aerodynamic damping. Specifically, the average displacement at the highest point of the transmission tower’s cage increased by 11%, the longitudinal reaction on the insulator increased by 12%, and the absolute amplitude of the axial force at the tower foundation leg escalated by 57%. The multi-dimensional wind load significantly amplifies the wind-induced response, which emphasizes the importance of analyzing the response factors of the tower-line system;
(3) The influence of varying wind speeds on the tower-line system response is examined when the power-law exponent is 0.12 and the attack angle is 15 degrees. While an increasing trend in most responses is observed with rising wind speeds, anomalies are identified in the tower body’s displacement in the secondary direction and the axial force.
The anomaly in secondary direction displacement is found to occur at 40 m/s wind speeds, where larger wind speeds cause alternating positive and negative oscillations of the tower body. For the axial force anomaly below 100 m, this is attributed to the significant influence of self-weight at lower wind speeds, with the axial force gradually becoming positive as the wind load becomes dominant.
An abnormal decrease at 40 m/s wind speed is revealed by the GRF analysis for all responses, except the insulator’s vertical reaction force. This decrease is caused by substantial sway amplitudes of the tower body induced by higher wind speeds. However, the overall GRF trend indicates an increase with rising wind speed;
(4) The influence of varying ground roughness on the tower-line system response is investigated when the design wind speed is 42 m/s and the wind attack angle is 15 degrees.
All responses increase with increasing ground roughness. When the coefficient is 0.22, a substantial change occurs in the corresponding factors compared to 0.15. Notably, the average axial force of the leg members at the tower bottom exhibits the highest sensitivity, with a 265% increase compared to when the coefficient is 0.15.
The GRF analysis reveals that, except for the sub-directional displacement GRF, all other GRFs increase with increasing ground roughness. The GRF of the tower’s displacement in the secondary direction exhibits an abrupt increase and curve shape change at a coefficient of 0.15 due to minimal wind speed variation over time, leading to stable positive displacements. However, at larger coefficients, significant wind speed fluctuations render the displacement unstable, with positive and negative values, consequently, increasing the GRF.
(5) Through the analysis of varying wind attack angles on the tower-line system response with a 0.15 design power-law exponent and 42 m/s design wind speed, it is found that increasing the absolute attack angle value amplifies the secondary direction base bending moment response and the insulator’s longitudinal reaction response, while exerting minimal effect on the main direction bending moment, except at −15 degrees. It augments the tower body’s secondary direction displacement but has minimal effect on the principal direction. Decreasing the attack angle substantially elevates the insulator’s vertical reaction, risking damage.
As the axial force response originates from opposing leg members, responses counteract each other, diminishing the total response as the absolute attack angle increases. At −45 degrees, yielding the minimum total, analysis reveals a maximum 7.4 × 106 N internal force differential and 107 N maximum internal force, indicating high axial force susceptibility to attack angle fluctuations.
The GRF analysis shows a decreasing main direction base bending moment GRF with the increasing absolute attack angle, while the secondary direction GRF remains largely unaffected, except for a sudden −15-degree reduction. The tower body’s principal direction displacement GRF exhibits no pattern but the secondary direction GRF produces larger values at small attack angles with dramatic changes with height. The insulator’s longitudinal reaction force GRF amplifies, while the vertical reaction GRF gradually diminishes, eventually stabilizing around 1. The tower members’ axial force GRF escalates with increasing absolute attack angle.
Author Contributions
Conceptualization, W.X.; Methodology, W.D.; Validation, X.F.; Writing—original draft, Z.L. All authors have read and agreed to the published version of the manuscript.
Funding
This research is supported by the National Natural Science Foundation of China (grant no. 52078104), which is gratefully acknowledged.
Data Availability Statement
The original contributions presented in the study are included in the article, further inquiries can be directed to the corresponding author.
Conflicts of Interest
Author Wenping Xie was employed by the company Electric Power Research Institute of Guangdong Power Grid Co., Ltd. The remaining authors declare that the research was conducted in the absence of any commercial or financial relationships that could be construed as a potential conflict of interest.
References
- Huang, G.; Yan, B.; Liu, J.; Wu, C.; Lv, Z. Experimental study on torsional behavior of twin bundle conductor lines. IEEE Trans. Power Deliv. 2019, 35, 1423–1431. [Google Scholar] [CrossRef]
- Luo, K.R.; Yu, L.; Shu, G.; Li, B.; Ning, S.P. Analysis of Wind-Induced Response of a 500 kV Long-Span Transmission Tower-Line System Crossing the Yangtze River. Ind. Archit. 2022, 52, 1–8. [Google Scholar]
- Hamada, A.; El Damatty, A.A. Failure analysis of guyed transmission lines during F2 tornado event. Eng. Struct. 2015, 85, 11–25. [Google Scholar] [CrossRef]
- Yuan, Z.F.; Cheng, H. Influence of Conductors on Dynamic Characteristics of Transmission Tower. World Build. Mater. 2017, 38, 73–77. [Google Scholar]
- Wang, Z.H. Simulation study of wind load. J. Build. Struct. 1994, 15, 44–52. [Google Scholar]
- Yan, C.Y.; Wang, L.J.; Zhang, W.Z.; Li, W.; Zhou, X. Dynamic response analysis of transmission tower line system under random fluctuating wind field. Electr. Power Eng. Technol. 2024, 43, 116–126. [Google Scholar]
- Savory, E.; Parke, G.A.R.; Zeinoddini, M.; Toy, N.; Disney, P. Modelling of tornado and microburst-induced wind loading and failure of a lattice transmission tower. Eng. Struct. 2001, 23, 365–375. [Google Scholar] [CrossRef]
- Battista, R.C.; Rodrigues, R.S.; Pfeil, M.S. Dynamic behavior and stability of transmission line towers under wind forces. J. Wind Eng. Ind. Aerodyn. 2003, 91, 1051–1067. [Google Scholar] [CrossRef]
- Guo, Y.; Sun, B.N.; Ye, Y.; Shen, G.H.; Lou, W.J. Wind tunnel test on aeroelastic model of long span transmission line system. J. Zhejiang Univ. (Eng.) 2007, 41, 1482–1486. [Google Scholar]
- Liu, M.L.; Lv, H.K.; Luo, K.; Wang, M.J.; Fan, J.R.; Chi, W. Wind induced response numerical simulation of a transmission tower-line system in real mountainous terrain. J. Vib. Shock 2020, 39, 232–239. [Google Scholar]
- Shen, G.H.; Cai, C.S.; Sun, B.; Lou, W.-J. Study of dynamic impacts on transmission-line systems attributable to conductor breakage using the finite-element method. J. Perform. Constr. Facil. 2011, 25, 130–137. [Google Scholar] [CrossRef]
- Hung, P.-V.; Yamaguchi, H.; Isozaki, M.; Gull, J.H. Large amplitude vibrations of long-span transmission lines with bundled conductors in gusty wind. J. Wind Eng. Ind. Aerodyn. 2014, 126, 48–59. [Google Scholar] [CrossRef]
- Fu, X.; Li, H.N.; Tian, L.; Wang, J.; Cheng, H. Fragility analysis of transmission line subjected to wind loading. J. Perform. Constr. Facil. 2019, 33, 04019044. [Google Scholar] [CrossRef]
- Tian, L.; Pan, H.Y.; Qiu, C.X.; Ma, R.; Yu, Q. Wind-induced collapse analysis of long-span transmission tower-line system considering the member buckling effect. Adv. Struct. Eng. 2019, 22, 3041. [Google Scholar] [CrossRef]
- Tian, L.; Zhang, X.; Fu, X. Fragility analysis of a long-span transmission tower-line system under wind loads. Adv. Struct. Eng. 2020, 23, 2110–2120. [Google Scholar] [CrossRef]
- Mayumi, T.; Maeda, J.; Ishida, N. Aerodynamic Damping Properties of Two Transmission Towers Estimated by Combining Several Identification Methods. J. Wind Eng. Ind. Aerodyn. 2010, 98, 872–880. [Google Scholar]
- Lou, W.J.; Bai, H.; Yang, X.H.; Luo, G. Dynamic wind-induced swing response and parameters’ influence analysis of UHV transmission lines. China Civ. Eng. J. 2019, 52, 41–49. [Google Scholar]
- Lou, W.J.; Shen, G.H.; Zhang, S.G.; Lou, W.J.; Wang, Y.W.; Song, G. Calculation of aerodynamic coefficient and windage of hard jumper considering wind attack angle. J. Vib. Shock 2021, 40, 1–8. [Google Scholar]
- Cai, Y.Z.; Jia, W.W. Wind-Resistant Capacity Modeling for Electric Transmission Line Towers Using Kriging Surrogates and Its Application to Structural Fragility. Appl. Sci. 2021, 11, 4714. [Google Scholar] [CrossRef]
- Li, J.X.; Cheng, J.P.; Zhang, Z.Q.; Zhang, C. Seismic response study of tower-line system considering bolt slippage under foundation displacement. Steel Compos. Struct. 2024, 52, 135–143. [Google Scholar]
- Li, J.X.; Cheng, J.P.; Zhang, Z.Q.; Qu, C.-X.; Zhang, X.-H.; Jiang, W.-Q. Seismic response study of a steel lattice transmission tower considering the hysteresis characteristics of bolt joint slippage. Eng. Struct. 2023, 281, 115754. [Google Scholar] [CrossRef]
- Li, J.X.; Zhang, X.H.; McClure, G. Numerical and full-scale test case studies on post-elastic performance of transmission towers. Eng. Struct. 2022, 259, 114133. [Google Scholar] [CrossRef]
- Yu, D.H.; Li, G. A novel Woodbury solution method for nonlinear seismic response analysis of large-scale structures. Earthq. Eng. Struct. Dyn. 2024, 53, 261–278. [Google Scholar] [CrossRef]
- Li, G.; Jia, S.; Yu, D.H.; Li, H.N. Woodbury Approximation Method for Structural Nonlinear Analysis. ASCE-J. Eng. Mech. 2018, 144, 04018052. [Google Scholar] [CrossRef]
- Zhu, C.; Yang, Q.; Wang, D.; Huang, G.; Liang, S. Fragility Analysis of Transmission Towers Subjected to Downburst Winds. Appl. Sci. 2023, 13, 9167. [Google Scholar] [CrossRef]
- Li, R.; Qi, L.; Dong, Y.R.; Wang, H. Nonlinear Performance of Steel Tube Tower in Ultra-High Voltage Transmission Lines under Wind Loads. Buildings 2024, 14, 140. [Google Scholar] [CrossRef]
- Zhang, M.; Feng, G.; Zhang, X.; Zhao, G. Study on Wind-Induced Response and Wind Deflection Control of Overhead Sealing Net Structure Spanning Transmission Lines. Buildings 2023, 13, 2947. [Google Scholar] [CrossRef]
- Zhang, S.; Sun, Q.; Wu, T.; Wang, H.C. Research on Wind-induced Response Analysis and Vibration Coefficient of ±1100kV Transmission Tower. Spec. Struct. 2018, 35, 52–59. [Google Scholar]
- Chun, M.W.; Bin, M.; Su, T.T. Research on the Wind-induced Vibration Coefficient of Transmission Tower-line System. Phys. Procedia 2012, 24, 149–154. [Google Scholar]
- Zhang, M.; Zhao, G.; Wang, L.; Li, J. Wind-Induced Coupling Vibration Effects of High-Voltage Transmission Tower-Line Systems. Shock Vib. 2017, 2017, 1205976. [Google Scholar] [CrossRef]
- Xie, Q.; Cai, Y.; Xue, S. Wind-induced vibration of UHV transmission tower line system: Wind tunnel test on aero-elastic model. J. Wind Eng. Ind. Aerodyn. 2017, 171, 219–229. [Google Scholar] [CrossRef]
- Fu, X.; Zhang, X.H.; Li, H.N.; Li, G.; Liu, H.-J. A high-efficiency simulation method of wind field and its application on transmission line. Wind Struct. 2021, 33, 277–288. [Google Scholar]
- Wang, X.F.; Lai, Y.X.; Miao, T.C.; Fu, F.R.; Feng, X.D. Effect of the Dynamic Characteristic of Long-Span Transmission Tower on High Voltage Transmission Line. Appl. Mech. Mater. 2014, 687–691, 3423–3426. [Google Scholar]
- Zhou, Y.; Liu, Q.Q.; Zou, L.H.; Li, F. An improved Multi-Particle Model for Dynamic Characteristics Evaluation of Transmission Tower-line Coupling System. Spec. Struct. 2020, 37, 87–88. [Google Scholar]
- Li, T.H. Study on Aerodynamic Characteristics and Wind-Induced Swing of Transmission Lines; Zhejiang University: Hangzhou, China, 2016. [Google Scholar]
- GB50009-2012; Load Code for the Design of Building Structures. China Construction Industry Press: Beijing, China, 2012.
- Du, W.L.; Fu, X.; Li, H.N.; Li, G.; Liu, C.G. Time-frequency buffeting responses of transmission lines excited by two-dimensional turbulent wind: Closed-form solution. J. Eng. Mech. 2023, 149, 04023101. [Google Scholar] [CrossRef]
- Anon. Characteristics of Atmospheric Turbulence Near the Ground-3. Variations in Space and Time for Strong Winds (Neutral Atmosphere). Engineering Sciences Data Unit (ESDU): Item Number 86010. 1975. Available online: https://www.esdu.com/cgi-bin/ps.pl?t=doc&p=esdu_86010e (accessed on 17 October 2024).
- Solari, G.; Piccardo, G. Probabilistic 3-D turbulence modeling for gust buffeting of structures. Probabilistic Eng. Mech. 2001, 16, 73–86. [Google Scholar] [CrossRef]
- Yang, L. Experiment Study and Nonlinear Dynamic Investigation on Galloping of Iced Transmission Line; Zhejiang University: Hangzhou, China, 2014. [Google Scholar]
- Bao, X.M.; Chun, X.L. Application of Time-Frequency Interpolation and Proper Orthogonal Decomposition in Nonstationary Wind-Field Simulation. J. Eng. Mech. 2020, 146, 04020034. [Google Scholar] [CrossRef]
- Matheson, M.J.; Holmes, J.D. Simulation of the dynamic response of transmission lines in strong winds. Eng. Struct. 1981, 3, 105–110. [Google Scholar] [CrossRef]
- Fu, X.; Du, W.L.; Li, H.N.; Li, G. A closed-form solution for the wind-induced responses of transmission lines considering the failure of adjacent towers. J. Wind Eng. Ind. Aerodyn. 2022, 228, 105110. [Google Scholar] [CrossRef]
- Liu, H.J.; Li, H.N.; Fu, X. Wind-resistant Performance and Failure Modes for a Semi-submersible Offshore Platform during Jacking Closure. Ocean Eng. 2021, 241, 110102. [Google Scholar] [CrossRef]
Disclaimer/Publisher’s Note: The statements, opinions and data contained in all publications are solely those of the individual author(s) and contributor(s) and not of MDPI and/or the editor(s). MDPI and/or the editor(s) disclaim responsibility for any injury to people or property resulting from any ideas, methods, instructions or products referred to in the content. |
© 2024 by the authors. Licensee MDPI, Basel, Switzerland. This article is an open access article distributed under the terms and conditions of the Creative Commons Attribution (CC BY) license (https://creativecommons.org/licenses/by/4.0/).