Energy-Efficient Architectural Design of a Banquet Hall with Integrated Tunnel Ventilation: Monitoring Performance During the Transitional Season in China
Abstract
1. Introduction
2. Materials and Methods
2.1. Experimental Principles and Framework
2.1.1. Principles of Stack-Driven Natural Ventilation and Associated Formula
- is the ventilation volume (m3/s);
- is the specific heat capacity of air (J/kg·°C);
- is the density of air (kg/m3);
- is the effective area of the vent or ventilator (m2);
- is the difference between indoor and outdoor temperatures (°C);
- is the height difference of ventilation (m).
2.1.2. Experimental Framework Design
2.2. Study Area
2.3. Instrument Commissioning
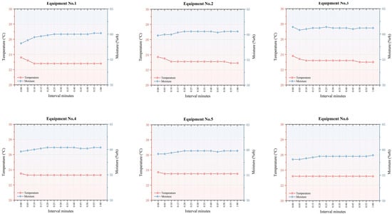
3. Results
4. Discussion
4.1. Analysis of Residual Heat Removal Efficiency and Its Key Influencing Factors
4.2. Discussion on the Dynamic Environmental Response Capability of the “Bottom Inlet + Top Outlet” Ventilation System
5. Conclusions
5.1. Key Findings
- Heat Removal Efficiency: The system effectively removes residual indoor heat, maintaining stable temperatures even when windows cannot be opened. At lower occupancy levels (up to 100 participants), the heat removal efficiency exceeds 490%. However, as occupancy increases to 200 participants, this efficiency drops to 240%, indicating that higher occupant density and external temperatures significantly affect the system’s performance.
- Adaptability Across Climate Zones: The system’s effectiveness varies by region, with temperature fluctuation reductions ranking from Guangzhou (56.7%), Chengdu, Harbin (50.1%), and Beijing, to Kunming. This demonstrates the system’s potential to reduce reliance on air conditioning or heating across different climatic conditions.
5.2. Limitations
- Influencing Variables: The study primarily focused on occupant density, neglecting wind speed as a factor. The high frequency of calm winds in the Guanghan area (around 40%) contributed to this decision [38]. Future studies should include additional variables for a more comprehensive assessment.
- Seasonal Analysis: The current research only examines transitional seasons, lacking insights into ventilation performance during extreme summer and winter conditions. Future investigations will analyze data throughout the year.
- Occupant Density Variability: The study considered only two occupancy scenarios (100 and 200 participants), which may not capture the full range of occupant densities in actual use. Future research should include simulations for a wider variety of densities.
- Applicability to Other Building Types: While the findings indicate good performance for banquet halls, the research does not include a cost-benefit analysis for different types of public or residential buildings. Future studies should broaden the scope to evaluate system performance across various building types.
Author Contributions
Funding
Data Availability Statement
Conflicts of Interest
References
- Liu, Z.; Pan, X.; He, W.; Li, Y. Simulation Study on Natural Ventilation Performance in a Low-Carbon Large-Space Public Building in Hot-Summer and Cold-Winter Region of China. Buildings 2023, 13, 2263. [Google Scholar] [CrossRef]
- Zhang, C.; Luo, H. Research on Carbon Emission Peak Prediction and Path of China’s Public Buildings: Scenario Analysis Based on LEAP Model. Energy Build 2023, 289, 113053. [Google Scholar] [CrossRef]
- Liu, K.; Tian, J.; Chen, J.; Wen, Y. Low-Carbon Retrofitting Path of Existing Public Buildings: A Comparative Study Based on Green Building Rating Systems. Energies 2022, 15, 8724. [Google Scholar] [CrossRef]
- The State Council of the People’s Republic of China. Notice of the State Council on Issuing the “2024–2025 Action Plan for Energy Conservation and Carbon Reduction. 2024. Available online: https://www.gov.cn/zhengce/content/202405/content_6954322.htm (accessed on 29 September 2024).
- Xinhua News Agency. Opinions of the Central Committee of the Communist Party of China and the State Council on Fully, Accurately, and Comprehensively Implementing the New Development Philosophy to Achieve Carbon Peak and Carbon Neutrality. 2021. Available online: https://www.gov.cn/zhengce/2021-10/24/content_5644613.htm (accessed on 29 September 2024).
- Shen, Z. Exploration on energy conservation of near zero energy consumption buildings under the goal of “carbon peaking and carbon neutrality. New Build. Mater. 2022, 49, 14–18. [Google Scholar]
- China Building Energy Efficiency Association; Chongqing University Urban and Rural Construction; Development Research Institute. China Building Energy Consumption and Carbon Emissions Research Report (2023). Constr. Archit. 2024, 2, 46–59. (In Chinese) [Google Scholar]
- Huang, H.; Cheng, F.; Su, Y.; Yao, L.; Hu, J. Energy-Saving Potential Analysis and Countermeasures for Carbon Peaking in China. Strateg. Study CAE 2021, 23, 81–91. [Google Scholar] [CrossRef]
- Zhang, S.; Wang, K.; Xu, W. Research on Carbon Emission Control Index of Low⁃carbon, Nearly Zero⁃carbon and Zero⁃carbon Public Buildings. Build. Sci. 2023, 39, 35. [Google Scholar] [CrossRef]
- Chen, X.; Kwan, M.-P.; Li, Q.; Chen, J. A Model for Evacuation Risk Assessment with Consideration of Pre- and Post-Disaster Factors. Comput. Environ. Urban Syst. 2012, 36, 207–217. [Google Scholar] [CrossRef]
- Huang, L.; Xu, X.; Luo, K. Design of Cultural Architecture Refuge Space from the Combination of Normal Conditions and Calamity: Taking Case of a Northeastern University Libraries. Archit. Cult. 2022, 2, 30–31. [Google Scholar] [CrossRef]
- Group Discussions: Contemporary City, New Human Habitat, and Architectural Design. Archit. J. 2020, Z1, 2–27. [CrossRef]
- Wang, Y.; Hua, J.; Ouyang, Q.; Li, X.; Zhu, Y. Human thermal comfort under simulated natural wind with different turbulence intensities. Heat. Vent. Air Cond. 2013, 43, 91–96. [Google Scholar]
- Xu, J.; Chen, H.; Xiong, Y. Comparison of Natural Ventilation of Buildings in China and Abroad Based on Bibliometric Analyses. South Archit. 2021, 6, 114–123. (In Chinese) [Google Scholar]
- Sui, X.; Tian, Z.; Yu, S.; Yan, B. Measurement and Analysis of Ventilation Rate and Indoor Air Quality of Two Typical Newly-built Residential Buildings in Xi’An in Winter: Natural and Mechanical Ventilation Scenarios. Build. Sci. 2024, 40, 120–130. [Google Scholar] [CrossRef]
- Zhang, B.; Yan, Z. Simulation study on influence of residential building orientation on building energy consumption based on natural ventilation: Taking Ankang as an example. Heat. Vent. Air Cond. 2023, 53, 78–84. [Google Scholar] [CrossRef]
- Ding, Y.; Hu, Y. Analysis of Key Influencing Factors of Indoor Natural Ventilation Effect in Residential Buildings: Taking Chongqing as an Example. Archit. Tech. 2021, 27, 106–108. [Google Scholar] [CrossRef]
- Xu, J.; Wang, Q.; Yin, Z. Analysis of Energy Saving Potential of Natural Ventilation for Public: Buildings in Chaobei Area. J. Lanzhou Inst. Technol. 2021, 28, 46–51. [Google Scholar]
- Chen, J.; Ye, X. A Study on Natural Ventilation Patterns of Public Buildings in Hongkong. Inter. Des. Constr. 2021, 7, 112–113. (In Chinese) [Google Scholar]
- Guo, P.; Wang, S.; Xu, B.; Meng, Q.; Wang, Y. Reduced-Scale Experimental Model and Numerical Investigations to Buoyance-Driven Natural Ventilation in a Large Space Building. Build. Environ 2018, 145, 24–32. [Google Scholar] [CrossRef]
- Weng, J.; Wang, H. Application of Tunnel Ventilation Cooling Technology in the Rural Residences for Hot-summer and Cold-winter Areas. J. Hum. Settl. West China 2013, 2, 114–117. [Google Scholar] [CrossRef]
- Wang, J. Application of underground tunnel ventilation to air conditioning system for Mogao Grottoes’ Tourist Service Center. Heat. Vent. Air Cond. 2011, 41, 15–17, 33. [Google Scholar]
- Dai, X.; Su, H. Review on the influence of tunnel air system on indoor thermal environment. Shanxi Archit. 2022, 48, 156–159. [Google Scholar] [CrossRef]
- Gui, L. Utilization of Air through Tunnel in Ventilation and Air Conditioning System of Buildings. Master’s Thesis, Nanjing University of Science and Technology, Nanjing, China, 2010. [Google Scholar]
- Chi, X. Study on the Developability of Hotel Ballroom Design. Inter. Archit. China 2022, 2, 175–176. (In Chinese) [Google Scholar]
- Zhou, W.; Peng, C.; Liu, S.; Hao, B. Analysis on Factors Influencing the Energy Consumption of Hotel Building. Build. Sci. 2015, 31, 31–37. [Google Scholar] [CrossRef]
- Wang, Y.; Tang, Y.; Liang, S. Influences of Different Ventilation Modes on Public Buildings’ Base Room Temperature and Energy Consumption in Mianyang. Build. Sci. 2012, 28, 82–85, 95. [Google Scholar] [CrossRef]
- Pei, F.; Liu, Y.; Wu, T.; Zhu, J. Bi-level Optimal Control Strategy for Heating, Ventilation, and Air Conditioning System with Collaborative Consideration of Air Quality and Thermal Comfort. Autom. Electr. Power Syst. 2024, 48, 151–160. [Google Scholar]
- Tian, S.; Zhou, X.; An, J.; Yan, D.; Wu, R.; Sun, H.; Shi, X.; Jin, X.; Jiang, X. Comparing and Verifying the Capability of DeST in Calculating the Performance of Space—Cooling and Space—Heating Equipment Based on ASHARE Standard 140. Build. Sci. 2020, 36, 19–30. [Google Scholar] [CrossRef]
- Yang, G.; Fu, Y.; Yan, M.; Zhang, J. Exploring the Distribution of Energy Consumption in a Northeast Chinese City Based on Local Climate Zone Scheme: Shenyang City as a Case Study. Energy Explor. Exploit. 2020, 38, 2079–2094. [Google Scholar] [CrossRef]
- Shi, L.; Zhang, H.; Li, Z.; Luo, Z.; Liu, J. Optimizing the Thermal Performance of Building Envelopes for Energy Saving in Underground Office Buildings in Various Climates of China. Tunn. Undergr. Space Technol. 2018, 77, 26–35. [Google Scholar] [CrossRef]
- Peng, B.; Hsieh, S.-J. Cyber-Enabled Optimization of HVAC System Control in Open Space of Office Building. Sensor 2023, 23, 4857. [Google Scholar] [CrossRef]
- Elshafei, G.; Vilcekova, S.; Zelenakova, M.; Negm, A.M. Towards an Adaptation of Efficient Passive Design for Thermal Comfort Buildings. Sustainability 2021, 13, 9570. [Google Scholar] [CrossRef]
- Li, Z.; Zhao, X. Principles of natural ventilation and its application in building design. Sci. Technol. Innov. 2009, 3, 256. (In Chinese) [Google Scholar]
- Ministry of Natural Resources, People’s Republic of China. Standard Map Service System. Available online: http://211.159.153.75/ (accessed on 18 October 2024).
- Ye, K.; Li, Y.; Long, T.; Zheng, D.; Zhang, S. Experimental study on the natural ventilation of earth-to-air heat exchanger combined with solar chimney on the indoor thermal environment. J. Chongqing Univ. 2023. (In Chinese) [Google Scholar]
- Li, X.; Huang, K.; Feng, G.; Zhang, D. Analysis of Night Ventilation Energy Saving Potential for Ultra-Low Energy Consumption Buildings in Severe Cold Area. J. Shenyang Jianzhu Univ. (Nat. Sci.) 2022, 38, 520–527. [Google Scholar]
- Chengdu Institute of Planning & Design. Interpretation of Chengdu’s Wind Environment. Available online: https://www.cdipd.org.cn/index.php?m=content&c=index&a=show&catid=82&id=138 (accessed on 15 October 2024).












| Test Parameters | Test Devices | Measurement Accuracy | Sampling Frequency |
|---|---|---|---|
| indoor temperature | YOWEXA Air Quality and Environment Tester | ±0.2 °C | for 5 min each time |
| air inlet temperature | YOWEXA Air Quality and Environment Tester | ±0.2 °C | for 5 min each time |
| air outlet temperature | YOWEXA Air Quality and Environment Tester | ±0.2 °C | for 5 min each time |
| Category | Name | Heat Transfer Coefficient W/(m2·k) | Notes |
|---|---|---|---|
| Exterior Wall | 24 Brick walls + polystyrene board internal insulation | 0.564 | / |
| Interior Wall | Ceramic concrete interior wall | 1.515 | / |
| Exterior Window | Inert gas filled + low-e film coated hollow | 2.000 | / |
| Outer Door | Single solid wood exterior doors | 0.35 | / |
| Air Ventilation | Room interoperability wind | / | 3 times/h |
| Room and exterior ventilation | / | 3 times/h |
Disclaimer/Publisher’s Note: The statements, opinions and data contained in all publications are solely those of the individual author(s) and contributor(s) and not of MDPI and/or the editor(s). MDPI and/or the editor(s) disclaim responsibility for any injury to people or property resulting from any ideas, methods, instructions or products referred to in the content. |
© 2024 by the authors. Licensee MDPI, Basel, Switzerland. This article is an open access article distributed under the terms and conditions of the Creative Commons Attribution (CC BY) license (https://creativecommons.org/licenses/by/4.0/).
Share and Cite
Xiong, J.; Wu, J.; Cao, J.; Tian, Z.; Yang, Q. Energy-Efficient Architectural Design of a Banquet Hall with Integrated Tunnel Ventilation: Monitoring Performance During the Transitional Season in China. Buildings 2024, 14, 3335. https://doi.org/10.3390/buildings14113335
Xiong J, Wu J, Cao J, Tian Z, Yang Q. Energy-Efficient Architectural Design of a Banquet Hall with Integrated Tunnel Ventilation: Monitoring Performance During the Transitional Season in China. Buildings. 2024; 14(11):3335. https://doi.org/10.3390/buildings14113335
Chicago/Turabian StyleXiong, Jianwu, Jing Wu, Jifan Cao, Zexuan Tian, and Qianru Yang. 2024. "Energy-Efficient Architectural Design of a Banquet Hall with Integrated Tunnel Ventilation: Monitoring Performance During the Transitional Season in China" Buildings 14, no. 11: 3335. https://doi.org/10.3390/buildings14113335
APA StyleXiong, J., Wu, J., Cao, J., Tian, Z., & Yang, Q. (2024). Energy-Efficient Architectural Design of a Banquet Hall with Integrated Tunnel Ventilation: Monitoring Performance During the Transitional Season in China. Buildings, 14(11), 3335. https://doi.org/10.3390/buildings14113335

