Characterization of Three-Dimensional Strong Force Chain Properties of Mineral Aggregate Mixtures Based on the Discrete Element Method
Abstract
1. Introduction
2. Objective and Scope
- (1)
- To establish three-dimensional DEM models of MAMs with different single-particle sizes and different aggregate gradations, conduct uniaxial penetration tests via PFC3D software, and calibrate the mesoscopic parameters of the DEM models according to the corresponding laboratory test results;
- (2)
- Based on the existing two-dimensional force chain recognition criteria, the aim is to propose the three-dimensional SFC recognition criterion for MAMs and establish an SFC recognition algorithm;
- (3)
- To establish quantitative evaluation indexes for the geometric and mechanical properties of SFCs, evaluate the characteristics of the SFC structure among different MAMs, and analyze the correlation between the SFC structure and the loading capacity of mineral skeletons.
3. DEM Models and Micromechanical Parameters of MAM
3.1. DEM Models Assembly of MAM
- Calculate the number of balls.
- 2.
- Assemble DEM model.
- 3.
- Preload DEM model.
- 4.
- Prepare to insert DEM model.
3.2. Micromechanical Contact Models and Parameters of DEM Models for MAM
3.2.1. Micromechanical Contact Models
3.2.2. Micromechanical Contact Models
3.2.3. Micromechanical Parameters
3.3. Virtual Uniaxial Penetration Test Program
4. Recognition Criterion and Evaluation Indices of SFC
4.1. Recognition Criterion and Algorithm
4.2. Recognition Criterion and Algorithm
- (1)
- The number of SFCs
- (2)
- The length the SFC
- (3)
- The number of particles in the SFC
- (4)
- The linearity of the SFC
- (5)
- The orientation angle of the SFC
- (6)
- The strength of the SFC
5. Results and Discussions
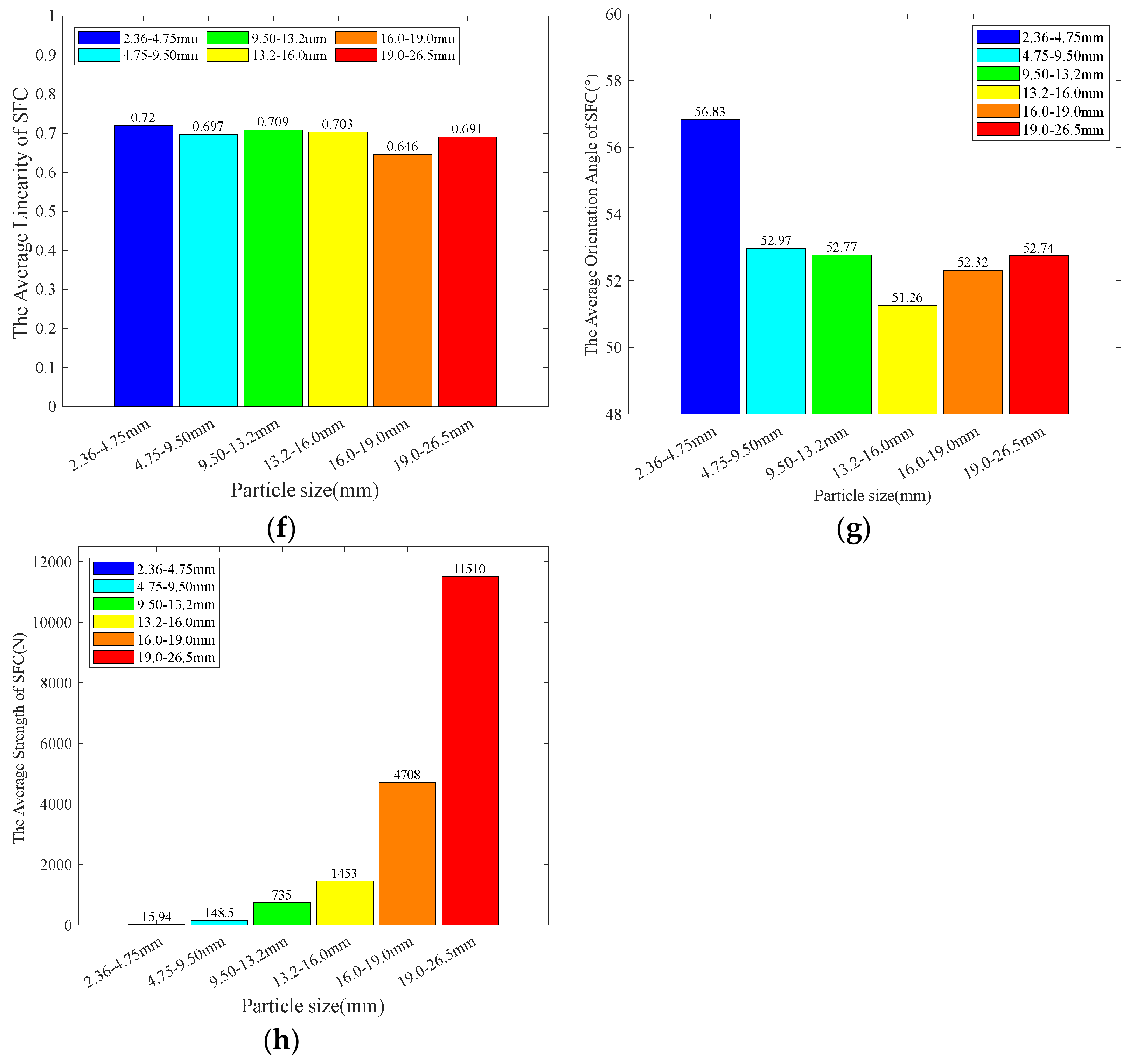
5.1. Single-Particle Size of MAM
5.2. Graded MAMs
6. Conclusions
- (1)
- The MAM formed by small particle size aggregate particles cannot form a stable mineral skeleton to effectively resist external load, while the MAM composed of a higher proportion of coarse aggregate can effectively improve the stability of the MAM, thereby increasing the strength of the mineral skeleton;
- (2)
- The SFC number, average length, and total length decrease with an increase in the aggregate size, while the average strength of SFC increases with the aggregate size increasing. And so, the skeleton composed of aggregates located on SFCs has better bearing and transferring loading capacity;
- (3)
- Compared to SMA-16 and OGFC-16, AC-16 exhibits a higher number and total length of SFCs, a smaller average length of SFCs, and a lower average strength of SFCs. The SFCs of AC-16 exhibits better linearity. However, the average aggregate number located in a single SFC is smaller than that of SMA-16 and OGFC-16. Consequently, SMA-16 and OGFC-16 have better load carrying and transfer capacity than AC-16;
- (4)
- For any type of MAM, approximately 90% of SFCs can only transmit external loads downward through 3–5 aggregates. The average direction angle of SFCs formed by fine aggregates is significantly higher than those formed by coarse aggregates. This indicates that the load transfer range of MAMs composed of fine aggregates is noticeably larger, leading to lower loading transfer efficiency.
Author Contributions
Funding
Data Availability Statement
Conflicts of Interest
References
- Sun, Z.Q.; Han, J.N.; Liu, P.D.; Xu, S.L.; Yi, J.; Li, Y. Study on dimensionality reduction method for the micro calculation of asphalt mixtures based on stereology. J. Munic. Technol. 2023, 41, 8–17. [Google Scholar]
- Fang, M.; Park, D.; Singuranayo, J.L.; Chen, H.; Li, Y. Aggregate gradation theory, design and its impact on asphalt pavement performance: A review. Int. J. Pavement Eng. 2018, 20, 1408–1424. [Google Scholar] [CrossRef]
- Cai, X.; Wu, K.H.; Huang, W.K.; Wan, C. Study on the correlation between aggregate skeleton characteristics and rutting performance of asphalt mixture. Constr. Build. Mater. 2018, 179, 294–301. [Google Scholar] [CrossRef]
- Guo, H.; Zhao, Y.; Zhang, D.; Shang, M. Study of movement of coarse aggregates in the formation process of asphalt mixture in the laboratory. Constr. Build. Mater. 2016, 111, 743–750. [Google Scholar] [CrossRef]
- Wang, X.; Gu, X.; Jiang, J.; Deng, H. Experimental analysis of skeleton strength of porous asphalt mixtures. Constr. Build. Mater. 2018, 171, 13–21. [Google Scholar] [CrossRef]
- Sun, S.; Li, P.; Akhtar, J.; Su, J.; Dong, C. Analysis of deformation behavior and microscopic characteristics of asphalt mixture based on interface contact-slip test. Constr. Build. Mater. 2020, 257, 119601. [Google Scholar] [CrossRef]
- Sun, C.; Li, P.; Niu, B.; Xu, Y.; Zhang, W. Structure stability and shear failure behaviors of asphalt mixtures from the perspective of aggregate particle migration. Constr. Build. Mater. 2023, 408, 133653. [Google Scholar] [CrossRef]
- Ma, T.; Zhang, D.; Zhang, Y.; Hong, J. Micromechanical response of aggregate skeleton within asphalt mixture based on virtual simulation of wheel tracking test. Constr. Build. Mater. 2016, 111, 153–163. [Google Scholar] [CrossRef]
- Ding, X.; Ma, T.; Gao, W. Morphological characterization and mechanical analysis for coarse aggregate skeleton of asphalt mixture based on discrete-element modeling. Constr. Build. Mater. 2017, 154, 1048–1061. [Google Scholar] [CrossRef]
- Ding, X.; Ma, T.; Huang, X. Discrete-Element Contour-Filling Modeling Method for Micromechanical and Macromechanical Analysis of Aggregate Skeleton of Asphalt Mixture. J. Transp. Eng. B-Pave. 2019, 145, 04018056. [Google Scholar] [CrossRef]
- Wang, S.; Miao, Y.; Wang, L. Investigation of the force evolution in aggregate blend compaction process and the effect of elongated and flat particles using DEM. Constr. Build. Mater. 2020, 258, 119674. [Google Scholar] [CrossRef]
- Cai, X.; Tang, H.Z.; Yang, X.C.; Nie, G.H.; Liu, X.Y.; Wu, K.H.; Huang, W.K. Identification of stress transfer in asphalt mixtures based on a reconstruction analysis of the simplified coarse aggregate skeleton. Constr. Build. Mater. 2023, 370, 130605. [Google Scholar] [CrossRef]
- Chang, M.; Huang, P.; Pei, J.; Zhang, J.; Zheng, B. Quantitative Analysis on Force Chain of Asphalt Mixture under Haversine Loading. Adv. Mater. Sci. Eng. 2017, 2017, 7128602. [Google Scholar] [CrossRef]
- Chang, M.; Pei, J.; Zhang, J.; Xing, X.; Xu, S.; Xiong, R.; Sun, J. Quantitative distribution characteristics of force chains for asphalt mixtures with three skeleton structures using discrete element method. Granul. Matter 2020, 22, 87. [Google Scholar] [CrossRef]
- Shi, L.W.; Wang, D.Y.; Xiao, X.; Qin, X. Meso-structural characteristics of asphalt mixture main skeleton based on meso-scale analysis. Constr. Build. Mater. 2020, 232, 117263. [Google Scholar] [CrossRef]
- Shi, L.W.; Xiao, X.; Wang, X.; Liang, H.H.; Wang, D.Y. Mesostructural characteristics and evaluation of asphalt mixture contact chain complex networks. Constr. Build. Mater. 2022, 340, 127753. [Google Scholar] [CrossRef]
- Jin, C.; Wan, X.; Yang, X.; Liu, P.; Oeser, M. Three-Dimensional Characterization and Evaluation of Aggregate Skeleton of Asphalt Mixture Based on Force-Chain Analysis. J. Eng. Mech. 2021, 147, 04020147. [Google Scholar] [CrossRef]
- Jin, C.; Wang, S.; Liu, P.; Yang, X.; Oeser, M. Virtual modeling of asphalt mixture beam using density and distributional controls of aggregate contact. Comput. Aided Civ. Infrastruct. Eng. 2023, 38, 2242–2256. [Google Scholar] [CrossRef]
- Liu, G.; Pan, Y.; Zhao, Y.; Zhou, J.; Li, J.; Han, D. Research on Asphalt Mixture Force Chains Identification Criteria Based on Computational Granular Mechanics. Can. J. Civ. Eng. 2020, 48, 763–775. [Google Scholar] [CrossRef]
- Liu, G.; Han, D.; Zhao, Y.; Zhang, J. Effects of Asphalt Mixture Structure Types on Force Chains Characteristics Based on Computational Granular Mechanics. Int. J. Pavement Eng. 2020, 223, 1008–1024. [Google Scholar] [CrossRef]
- Liu, G.; Han, D.; Zhu, C.; Wang, F.; Zhao, Y. Asphalt-Mixture Force Chains Length Distribution and Skeleton Composition Investigation Based on Computational Granular Mechanics. J. Mater. Civ. Eng. 2021, 33, 04021033. [Google Scholar] [CrossRef]
- JTG F40-2004; Technical Specification for Construction of Highway Asphalt Pavement. Ministry-of-Transport-of-the-People’s-Republic-of-China: Beijing, China, 2004.
- Liu, G.; Han, D.; Jia, Y.; Zhao, Y. Asphalt mixture skeleton main force chains composition criteria and characteristics evaluation based on discrete element methods. Constr. Build. Mater. 2022, 323, 126313. [Google Scholar] [CrossRef]
- Liu, G.; Zhu, C.; Han, D.; Zhao, Y. Asphalt mixture force chains morphological characteristics and bearing capacities investigation using discrete element method. Int. J. Pavement Eng. 2023, 24, 2168660. [Google Scholar] [CrossRef]
- Wang, H.; Zhou, Z.H.; Huang, W.L.; Dong, X.Y. Investigation of asphalt mixture permanent deformation based on three-dimensional discrete element method. Constr. Build. Mater. 2021, 272, 9. [Google Scholar] [CrossRef]
- Hu, J.Y.; Ma, T.; Ma, K.; Xu, J. Three-dimensional discrete element simulation on degradation of air voids in double-layer porous asphalt pavement under traffic loading. Constr. Build. Mater. 2021, 313, 13. [Google Scholar] [CrossRef]
- Zhu, J.Q.; Ma, T.; Lin, Z.H.; Zhu, H.R. Effect of aggregate structure on load-carrying capacity and deformation resistance of porous asphalt concrete based on discrete-element modelling. Int. J. Pavement Eng. 2022, 23, 4023–4033. [Google Scholar] [CrossRef]
- JTG E40-2007; Test Methods of Soils for Highway Engineering. Ministry-of-Transport-of-the-People’s-Republic-of-China: Beijing, China, 2007.
- JTG E20-2011; Standard Test Methods of Bitumen and Bituminous Mixtures for Highway Engineering. Ministry-of-Transport-of-the-People’s-Republic-of-China: Beijing, China, 2011.
- Chen, J.; Li, H.; Wang, L.; Wu, J.; Huang, X. Micromechanical characteristics of aggregate particles in asphalt mixtures. Constr. Build. Mater. 2015, 91, 80–85. [Google Scholar] [CrossRef]
- Zhang, W.; Zhou, J.; Zhang, X.; Zhang, Y.; Liu, K. Quantitative investigation on force chain lengths during high velocity compaction of ferrous powder. Mod. Phys. Lett. B 2019, 33, 1950113. [Google Scholar] [CrossRef]
- Wang, J.-a.; Yang, L.; Li, F.; Wang, C. Force chains in top coal caving mining. Int. J. Rock Mech. Min. Sci. 2020, 127, 104218. [Google Scholar] [CrossRef]
























| Cell Type | Particle Size (mm) | Mesoscopic Parameter | Correlation Coefficient | ||
|---|---|---|---|---|---|
| (N/m) | (N/m) | ||||
| Wall | — | 5.00 × 1011 | 5.00 × 1011 | 0.4 | — |
| Ball | 19.0–26.5 mm | 6.50 × 106 | 6.50 × 106 | 0.4 | 0.99066 |
| 16.0–19.0 mm | 4.50 × 106 | 4.50 × 106 | 0.4 | 0.98537 | |
| 13.2–16.0 mm | 2.00 × 106 | 2.00 × 106 | 0.4 | 0.97941 | |
| 9.50–13.2 mm | 1.25 × 105 | 1.25 × 105 | 0.4 | 0.98484 | |
| 4.75–9.50 mm | 3.00 × 105 | 3.00 × 105 | 0.4 | 0.99039 | |
| 2.36–4.75 mm | 6.00 × 104 | 6.00 × 104 | 0.4 | 0.96855 | |
Disclaimer/Publisher’s Note: The statements, opinions and data contained in all publications are solely those of the individual author(s) and contributor(s) and not of MDPI and/or the editor(s). MDPI and/or the editor(s) disclaim responsibility for any injury to people or property resulting from any ideas, methods, instructions or products referred to in the content. |
© 2024 by the authors. Licensee MDPI, Basel, Switzerland. This article is an open access article distributed under the terms and conditions of the Creative Commons Attribution (CC BY) license (https://creativecommons.org/licenses/by/4.0/).
Share and Cite
Gao, Y.; Liu, G.; Jiang, N. Characterization of Three-Dimensional Strong Force Chain Properties of Mineral Aggregate Mixtures Based on the Discrete Element Method. Buildings 2024, 14, 3289. https://doi.org/10.3390/buildings14103289
Gao Y, Liu G, Jiang N. Characterization of Three-Dimensional Strong Force Chain Properties of Mineral Aggregate Mixtures Based on the Discrete Element Method. Buildings. 2024; 14(10):3289. https://doi.org/10.3390/buildings14103289
Chicago/Turabian StyleGao, Yuan, Guoqiang Liu, and Nan Jiang. 2024. "Characterization of Three-Dimensional Strong Force Chain Properties of Mineral Aggregate Mixtures Based on the Discrete Element Method" Buildings 14, no. 10: 3289. https://doi.org/10.3390/buildings14103289
APA StyleGao, Y., Liu, G., & Jiang, N. (2024). Characterization of Three-Dimensional Strong Force Chain Properties of Mineral Aggregate Mixtures Based on the Discrete Element Method. Buildings, 14(10), 3289. https://doi.org/10.3390/buildings14103289
