Theoretical Research and Numerical Analysis of a New Assembled Shuttle-Shaped Self-Centering Mild Steel Energy Dissipation Brace
Abstract
1. Introduction
2. Configuration of Self-Centering Energy Dissipation Brace
2.1. Structural Details
2.2. Working Principle
3. Restoring Force Model of Self-Centering Energy Dissipation Brace
3.1. Establishment of the Restoring Force Model
3.2. Finite Element Verification of Restoring Force Model
4. Seismic Analysis of ASSSEDB Frame Structures
4.1. Structural Model and Design Parameters
4.2. Seismic Waves Selection
4.3. Analysis of Structural Seismic Performance
5. Analysis of ASSSEDB Parameters on the Seismic Performance of Structure
5.1. Design of Initial Stiffness and Self-Centering Ratio of ASSSEDB
5.2. Analysis Results
6. Conclusions and Further Work
- (1)
- The ASSSEDB is composed of mild steel energy dissipation, a disc spring system, and structural steel. The plastic deformation of mild steel is fully utilized to dissipate energy, and the disc spring system provides a reset function. The structural form adopts a shuttle shape, which improves the bending stiffness of the mid-span section and reduces the waste of materials. It is an integral assembly structure, connected by bolts to facilitate the replacement of components.
- (2)
- A restoring force model for ASSSEDB is established and verified by numerical analysis. The restoring force model exhibits typical flag-shaped characteristics, and the tension–compression cycles are consistent. The hysteresis curve is full and symmetric, indicating that the designed ASSSEDB has stable energy dissipation and is suitable for engineering applications.
- (3)
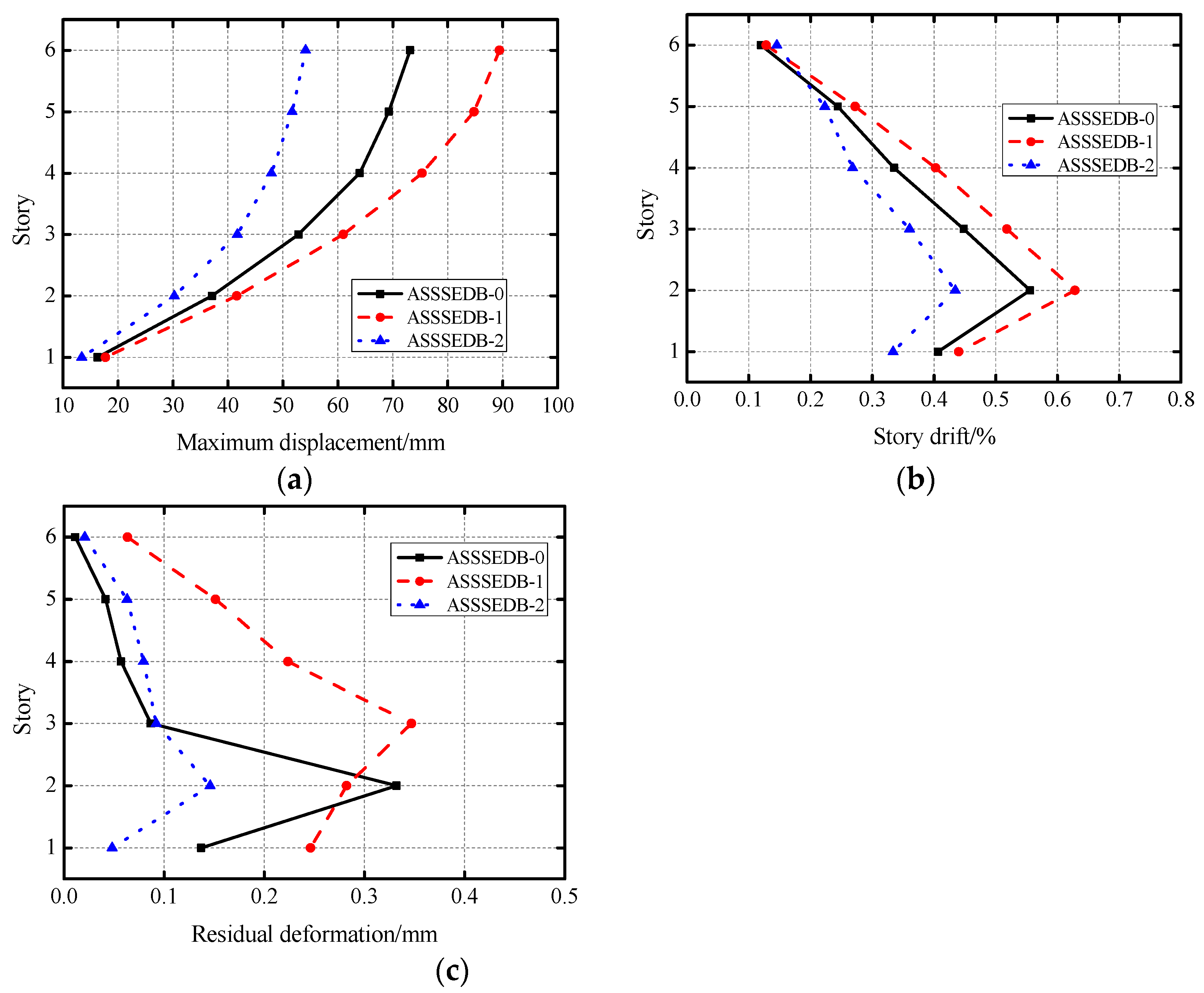
- The seismic analysis of a six-story steel frame structure shows that the maximum inter-story drift of the structure with the proposed ASSSEDB decreases under earthquake action. The corresponding residual deformation can decrease by up to 95.42%. Compared with the BRB structure, the maximum residual deformation of the structure with ASSSEDB is decreased by 93.41%.
- (4)
- The initial stiffness of ASSSEDB plays a key role in affecting the seismic performance of the structure. The self-centering ratio of ASSSEDB is crucial in controlling residual deformation of structure. To achieve optimal self-centering performance, the self-centering ratio of ASSSEDB should be greater than 1.0.
Author Contributions
Funding
Data Availability Statement
Conflicts of Interest
References
- Zhou, Y.; Lv, X.L. State-of-the-art on rocking and self-centering structures. J. Build. Struct. 2011, 32, 1–10. (In Chinese) [Google Scholar]
- Titirla, M.D. A State-of-the-art review of passive energy dissipation systems in steel braces. Buildings 2023, 13, 851. [Google Scholar] [CrossRef]
- Lin, X.Y.; Zhou, F.L. Theory and application of energy dissipation-seismic reduction technology. World Earthq. Eng. 2002, 18, 48–51. (In Chinese) [Google Scholar]
- Huang, W.; Shen, M.; Liu, J.; Wang, L.; Liu, X.; Zhou, Z. Study on seismic performance of an innovative single-tube self-centering buckling-restrained brace. J. Constr. Steel Res. 2023, 211, 108185. [Google Scholar] [CrossRef]
- Liu, J.; Qiu, C.; Zhang, Y.; Liu, H.; Du, X. Hysteretic model and seismic performance of a self-centering brace equipped with energy absorbing steel plate clusters. Structures 2023, 57, 105153. [Google Scholar] [CrossRef]
- Xu, Z.D.; Zhou, Z.; Zhao, H.T. Calculation model of viscoelastic damper. Eng. Mech. 2001, 18, 88–93. (In Chinese) [Google Scholar]
- Xing, S.T.; Guo, X. Study on mechanical behavior and effectiveness of a new type of mild steel damper. Earthq. Eng. Eng. Vib. 2003, 23, 179–186. (In Chinese) [Google Scholar]
- Wu, B.; Zhang, J.G.; Ou, J.P. Experimental research and numerical analysis of Pall-typed frictional dampers. J. Build. Struct. 2003, 24, 7–13. (In Chinese) [Google Scholar]
- Wu, C.X.; Zhou, Y.; Deng, X.F. Experimental study on steel-lead viscoelastic damper. Eng. Mech. 2012, 29, 150–155+162. [Google Scholar]
- Samani, H.R.; Mirtaheri, M.; Zandi, A.P. Experimental and numerical study of a new adjustable frictional damper. J. Constr. Steel Res. 2015, 112, 354–362. [Google Scholar] [CrossRef]
- Ren, W.J.; Wang, L.Q.; Ma, Z.C.; Yao, H.Z. Investigation on mechanical behavior of innovative shape memory alloy-friction damper. J. Build. Struct. 2013, 34, 83–90. (In Chinese) [Google Scholar]
- Monir, H.S.; Zeynali, K. A Modified friction damper for diagonal bracing of structures. J. Constr. Steel Res. 2013, 87, 17–30. [Google Scholar] [CrossRef]
- Hou, H.T.; Qiu, J.; Liu, X.F.; Luo, J. Quasi static test and finite element analysis of steel damper with U-shaped plate. Ind. Build. 2017, 47, 175–179+134. (In Chinese) [Google Scholar]
- Fan, J.; Wu, G.; Feng, D. Experimental study on hysteretic behavior of novel energy dissipation damper and finite element analysis. J. Southeast Univ. (Nat. Sci. Ed.) 2019, 49, 413–419. (In Chinese) [Google Scholar]
- Shang, Q.; Zhang, X.; Chen, X.; Wang, T. Design method of energy dissipation based on mechanical models of displacemen-based dampers. J. Build. Struct. 2022, 43, 62–71. (In Chinese) [Google Scholar]
- Zhao, Y.S.; Wang, W.; Fang, C. Mechanical behavior and experimental investigation of self-centering dampers with high strength steel friction ring springs. J. Build. Struct. 2020, 41, 108–115+142. (In Chinese) [Google Scholar]
- Li, C.; Zhang, J.H.; Wang, B.; Xue, Y. Research on mechanical performance and seismic energy dissipation effect of U-T slope variable friction damper. J. Build. Struct. 2024, 45, 97–106. (In Chinese) [Google Scholar]
- Miller, D.J.; Fahnestock, L.A.; Eatherton, M.R. Development and experimental validation of a nickel–titanium shape memory alloy self-centering buckling-restrained brace. Eng. Struct. 2012, 40, 288–298. [Google Scholar] [CrossRef]
- Abou-Elfath, H. Evaluating the ductility characteristics of self-centering buckling-restrained shape memory alloy braces. Smart Mater. Struct. 2017, 26, 055020. [Google Scholar] [CrossRef]
- Sun, T.; Li, H.N. Experimental investigation of an innovative multidimensional SMA damper. Eng. Mech. 2018, 35, 178–185. (In Chinese) [Google Scholar]
- Ghowsi, A.F.; Sahoo, D.R. Near-field earthquake performance of SC-BRBs with optimal design parameters of SMA. J. Constr. Steel. Res. 2020, 175, 106321. [Google Scholar] [CrossRef]
- Ma, H.; Xu, J.; Li, S. An experimental study of an SMA-based self-centering damper. Int. J. Steel Struct. 2022, 22, 610–621. [Google Scholar] [CrossRef]
- Hashemi, S.V.; Miri, M.; Rashki, M.; Etedali, S. Multi-objective optimal design of SC-BRB for structures subjected to different near-fault earthquake pulses. Structures 2022, 36, 1021–1031. [Google Scholar] [CrossRef]
- Nazarimofrad, E.; Shokrgozar, A. Seismic performance of steel braced frames with self-centering buckling-restrained brace utilizing super elastic shape memory alloys. Struct. Des. Tall Spec. Build. 2019, 28, e1666. [Google Scholar] [CrossRef]
- Ghowsi, A.F.; Sahoo, D.R. Seismic response of SMA-based self-centering buckling-restrained braced frames under near-faultground motions. Soil Dyn. Earthq. Eng. 2020, 139, 106397. [Google Scholar] [CrossRef]
- Zhang, C.; Zong, S.; Sui, Z.; Guo, X. Seismic performance of steel braced frames with innovative assembled self-centering buckling restrained braces with variable post-yield stiffness. J. Build. Eng. 2023, 64, 105667. [Google Scholar] [CrossRef]
- Lin, Y.; Zhou, Z.; Shen, M.; Liu, J.; Huang, W. Experimental study of a new self-centering BRB and its application in seismic resistance of frame structure. Buildings 2024, 14, 850. [Google Scholar] [CrossRef]
- Shi, Y.J.; Xiong, J.; Wang, Y.Q.; Liu, G. Experimental studies on seismic performance of multi-storey steel frame with eccentric brace. J. Build. Struct. 2010, 31, 29–34. [Google Scholar]
- Papadopoulos, P.K.; Salonikios, T.N.; Dimitrakis, S.; Papadopoulos, A. Experimental investigation of a new steel friction device with link element for seismic strengthening of structures. Struct. Eng. Mech. 2013, 46, 487–504. [Google Scholar] [CrossRef]
- Hao, X.-Y.; Li, H.N.; Li, G.; Makino, T. Experimental investigation of steel structure with innovative H-type steel unbuckling braces. Struct. Des. Tall Spec. Build. 2014, 24, 421–439. [Google Scholar]
- Chou, C.C.; Chung, P.T.; Cheng, Y.T. Experimental evaluation of large-scale dual core self-centering braces and sandwiched buckling-restrained braces. Eng. Struct. 2016, 116, 12–25. [Google Scholar] [CrossRef]
- Kim, Y.C.; Lee, H.W.; Hu, J.W. Experimental performance evaluation of elastic friction damper. Case Stud. Constr. Mater. 2023, 18, e01823. [Google Scholar] [CrossRef]
- Rayegani, A.; Soureshjani, O.K.; Alaee, S.A.M. Seismic performance of buildings equipped with four-joint rotational friction dampers in mainshock–aftershock sequences. J. Struct. Eng. 2024, 150, 04023235. [Google Scholar] [CrossRef]
- Qin, Y.; Guo, Z.W.; Ke, L.; Zhao, K.X. Finite element analysis and hysteretic model of self-centering steel connection with dual energy dissipation mechanism. Eng. Struct. 2024, 300, 117238. [Google Scholar] [CrossRef]
- Unal, A.; Kaltakci, M.Y.; Wang, W.; Zhou, Q.; Chen, Y.; Tong, L.; Chan, T. Experimental and numerical investigation on full-scale tension-only concentrically braced steel beam-through frames. J. Construct. Steel Res. 2013, 80, 369–385. [Google Scholar]
- Amadeo, B.C. A brace-type seismic damper based on yielding the walls of hollow structural sections. Eng. Struct. 2010, 32, 1113–1122. [Google Scholar]
- Ministry of Housing and Urban-Rural Development of the People’s Republic of China. Standard for Design of Steel Structures; China Architecture and Building Press: Beijing, China, 2017. (In Chinese) [Google Scholar]
- China Engineering Construction Standardization Association. Technical Specification for Application of Buckling Restrained Brace; China Architecture and Building Press: Beijing, China, 2021. (In Chinese) [Google Scholar]
- Rahgozar, N.; Pouraminian, M.; Rahgozar, N. Reliability-based seismic assessment of controlled rocking steel cores. J. Build. Eng. 2021, 44, 102623. [Google Scholar] [CrossRef]















| Members | Cross-Section H × B × tw × tf (mm) |
|---|---|
| 1–3 story columns | 450 × 450 × 16 × 24 |
| 4–6 story columns | 350 × 350 × 12 × 21 |
| Beams | 450 × 300 × 12 × 18 |
| No. | Earthquake Site | Time | Near/ Far Field | Soil Type | Time Interval | Time Duration | Recording Station | Selected Component |
|---|---|---|---|---|---|---|---|---|
| 1 | Imperial Valley | 19 May 1940 | Near field | II | 0.02 s | 53.76 s | 117 El Centro Array#9 | I-ELC180 |
| 2 | Chi-Chi, Taiwan | 20 September 1999 | 0.005 s | 90 s | CHY028 | CHY028-N | ||
| 3 | Imperial Valley | 15 October 1979 | 0.02 s | 23 s | 5054 Bonds Corner | H-BCR230 | ||
| 4 | Duzce, Turkey | 12 November 1999 | 0.02 s | 45 s | Bolu | BOL000 | ||
| 5 | San Fernando | 9 February 1971 | 0.02 s | 12 s | 135 LA-Hollywood Store Lot | PEL090 | ||
| 6 | Erzincan, Turkey | 13 March 1992 | 0.01 s | 40 s | 95 Erzincan | ERZ-EW |
| Brace NO. | Parameters |
|---|---|
| ASSSEDB-0 | Benchmark |
| ASSSEDB-1 | Initial stiffness 0.5 |
| ASSSEDB-2 | Initial stiffness 1.5 |
| ASSSEDB-3 | Self-centering ratio 0.5 |
| ASSSEDB-4 | Self-centering ratio 1.5 |
Disclaimer/Publisher’s Note: The statements, opinions and data contained in all publications are solely those of the individual author(s) and contributor(s) and not of MDPI and/or the editor(s). MDPI and/or the editor(s) disclaim responsibility for any injury to people or property resulting from any ideas, methods, instructions or products referred to in the content. |
© 2024 by the authors. Licensee MDPI, Basel, Switzerland. This article is an open access article distributed under the terms and conditions of the Creative Commons Attribution (CC BY) license (https://creativecommons.org/licenses/by/4.0/).
Share and Cite
Chen, Y.; Liu, Z.; Zhao, J. Theoretical Research and Numerical Analysis of a New Assembled Shuttle-Shaped Self-Centering Mild Steel Energy Dissipation Brace. Buildings 2024, 14, 3285. https://doi.org/10.3390/buildings14103285
Chen Y, Liu Z, Zhao J. Theoretical Research and Numerical Analysis of a New Assembled Shuttle-Shaped Self-Centering Mild Steel Energy Dissipation Brace. Buildings. 2024; 14(10):3285. https://doi.org/10.3390/buildings14103285
Chicago/Turabian StyleChen, Yao, Zhonghua Liu, and Jianchao Zhao. 2024. "Theoretical Research and Numerical Analysis of a New Assembled Shuttle-Shaped Self-Centering Mild Steel Energy Dissipation Brace" Buildings 14, no. 10: 3285. https://doi.org/10.3390/buildings14103285
APA StyleChen, Y., Liu, Z., & Zhao, J. (2024). Theoretical Research and Numerical Analysis of a New Assembled Shuttle-Shaped Self-Centering Mild Steel Energy Dissipation Brace. Buildings, 14(10), 3285. https://doi.org/10.3390/buildings14103285
