Next Article in Journal
A Bibliometric Analysis and Review on Applications of Industrial By-Products in Asphalt Mixtures for Sustainable Road Construction
Next Article in Special Issue
Study on the Correlation Between Mechanical Properties, Water Absorption, and Bulk Density of PVA Fiber-Reinforced Cement Matrix Composites
Previous Article in Journal
Research on Modular Space Design of Emergency Hospitals Based on BIM Technology Innovation
Previous Article in Special Issue
Impact of Shield Tunnel Construction on Adjacent Railway Bridge: Protective Measures and Deformation Control
 
 
Font Type:
Arial Georgia Verdana
Font Size:
Aa Aa Aa
Line Spacing:
Column Width:
Background:
Article

Analysis of Capillary Water Absorption within Unsaturated Concrete Based on the Principle of Stationary Action

1
Institute of Green and Low Carbon Technology, GIIT, Nanning 530000, China
2
Guangxi Road and Bridge Engineering Group Co., Ltd., Nanning 530000, China
3
School of Architecture and Civil Engineering, Taizhou University, Taizhou 318000, China
4
Institute of Road and Bridge Engineering, Taizhou University, Taizhou 318000, China
5
Engineering Research Institute, China Construction Eighth Engineering Division Corp., Ltd., Shanghai 200122, China
6
Zhejiang Construction Co., Ltd. of China Construction Eighth Engineering Division, Hangzhou 311200, China
7
China Construction Third Engineering Bureau Group Co., Ltd., Wuhan 430075, China
*
Authors to whom correspondence should be addressed.
Buildings 2024, 14(10), 3238; https://doi.org/10.3390/buildings14103238
Submission received: 6 September 2024 / Revised: 3 October 2024 / Accepted: 8 October 2024 / Published: 12 October 2024
(This article belongs to the Special Issue Construction in Urban Underground Space)

Abstract

Capillary water absorption plays a critical role in the ingress of corrosive elements during the construction of concrete structures in corrosive environments. This study presented a novel approach for analyzing capillary water flow within unsaturated concrete based on the principle of stationary action. The flow of water within the concrete capillary pores can be regarded as a variational problem, while the principle of stationary action provides a method for determining the path solution. The evolution and distribution characteristics of water content and wetting front were explicitly determined using the exponential and power hydraulic functions. A simplistic yet effective approach for determining these hydraulic parameters was put forward based on the relationship between the position of the wetting front and the diffusivity parameters. The proposed approach exhibited enhanced theoretical robustness and entailed fewer hypotheses compared to existing methodologies. Furthermore, the material hydraulic parameters in the proposed approach can be determined explicitly. The governing equations for capillary water flow were derived in accordance with the principle of stationary action. Numerical simulations were carried out to verify the effectiveness of the proposed approach. The results demonstrated that the proposed approach can accurately predict capillary water flow and diffusivity parameters within unsaturated concrete. The findings of this study contribute to developing more effective strategies to mitigate moisture-related damage in concrete structures.

1. Introduction

Concrete, celebrated for its robust performance and cost-effectiveness, has emerged as a staple in the construction industry that underpins the fabric of modern infrastructure [1,2]. Its versatility and the economies of scale associated with its production have solidified its position as a preferred material for a myriad of construction applications. Nonetheless, the longevity of concrete structures presents several challenges, and the durability of these structures remains a pivotal concern for engineers and researchers. The service life of concrete is intrinsically linked to its interaction with the environment, particularly through the mechanisms of water absorption and moisture transport.
Water absorption in concrete is crucial to its durability, and several degradation processes in cementitious materials are closely related to water transfer [3,4,5]. Moisture transport can act as a carrier for chloride ions or other harmful substances [6,7,8], which can severely damage the concrete and cause the reinforcing steel to corrode. Therefore, investigating the capillary water absorption of concrete is essential for assessing the durability of reinforced concrete structures.
Numerous studies have been conducted to investigate the moisture transport properties of concrete through different technological and analytical tools, recognizing the critical role of moisture transport in the durability and performance of concrete. The exploration of the complexity of moisture transport in concrete has inspired a great deal of research. The weighing method is commonly utilized to determine the capillary water absorption characteristics of concrete [9]. However, it fails to observe the water migration process. Nondestructive testing techniques, such as nuclear magnetic resonance [10] and the X-ray projection method [11], have been developed to determine how moisture moves through concrete. Nevertheless, these techniques have limitations, including the need for sophisticated testing equipment, small sample sizes, and simple processes, as well as the lack of appropriate testing conditions in many laboratories. Obtaining complete test information, such as the distribution pattern of the infiltration field of concrete samples, is also time-consuming and challenging. Despite their utility, these methods are limited in terms of accuracy and applicability in real situations. Therefore, new and innovative approaches are required to more reliably and comprehensively predict capillary water flow in concrete.
For structures subjected to repeated wetting and drying regimes, concrete is rarely fully saturated, and capillary-driven water movement controls the solute penetration and accumulation [12]. The water uptake test is one of the well-established experiments used to determine water flow characteristics, such as water uptake coefficient [13,14,15] and water diffusivity [16,17,18,19]. This experiment requires a physical or theoretical model of capillary flow that considers the capillary force arising from the pore structure at all fractional saturations. This can be accurately achieved using the unsaturated flow theory, which is based on the extended Darcy equation or the Richards equation [20]. Although one-dimensional (1D) capillary absorption of water in an initially dry and homogeneous sample represents the simplest case of capillary transport, the results reveal valuable hydraulic properties of concrete materials [21,22,23,24,25]. In relevant contexts, the nonlinear diffusion equation, or a variant of Richards’s equation that excludes the gravity term can be employed to accurately depict 1D capillary moisture transfer. This approach is particularly useful in scenarios where gravitational effects are negligible or when the focus is on capillary-driven moisture movement within a porous medium. The equation provides a robust framework for understanding and modeling the complex interactions between moisture and the concrete matrix, thereby enhancing the precision of moisture transport predictions in engineering and construction applications. The nonlinear diffusion equation is expressed as
θ t = x D θ θ x
where θ is the water content, D is the unsaturated hydraulic diffusivity, t is the time, and x is the distance. The nonlinear diffusion equation in a semi-infinite region can be successfully transformed into an ordinary differential equation by utilizing the Boltzmann transformation method [21]. However, solving this ordinary differential equation still poses some difficulties. Although the solvability formulation of the diffusivity can be obtained by means of an ordinary differential equation, a high-precision integral must be calculated for solving it [26]. This drawback arises from the introduction of a similar variable that combines two independent variables.
Although the aforementioned studies have promoted the understanding of moisture transport in concrete, they simultaneously underscore the complexity of the issue and the necessity for more sophisticated analytical tools. The capillary absorption process is not only influenced by the intrinsic properties of the material but also by external factors such as environmental conditions and the presence of contaminants. These variables add additional layers of complexity that must be taken into account in any comprehensive model of moisture transport in concrete. To tackle these challenges, researchers have commenced exploring computational models that simulate the dynamic behavior of moisture in concrete under various conditions. These models, which are frequently based on numerical methods, can incorporate a wide range of variables and offer insights into the moisture dynamics that are difficult to be observed solely through experimental methods. However, the development of such models requires a profound understanding of the involved physical processes and access to robust computational resources.
The principle of stationary action is a fundamental tool for characterizing the motion of macroscopic objects. The core idea of this principle is that the action reaches an extreme value during the transition of an object from one state to another. It is a variational principle that necessitates finding the trajectory that minimizes the action among all possible trajectories. Although Li et al. [27,28,29] developed a new understanding method to characterize water infiltration in soils based on this principle, the applicability of this method to the water absorption of concrete materials requires further investigation. This study aimed to solve the moisture transfer problem that characterizes water absorption in capillary-active concrete materials by applying Li et al.’s method to solve the above problem.
To the best of our knowledge, this is currently the only known case where the principle of stationary action is utilized to describe water absorption in capillary-active concrete materials. In the process of solving, water absorption was treated as a free boundary problem, where the porous body was divided into nearly dry and saturated regions. The boundary between these two regions was determined as the location where diffusivity changes within the sample during the absorption process. The proposed model was verified by comparing the solution with numerical calculation results. The paper is structured as follows. Section 2 details the theory and methods, including the diffusion process and analytical expressions for water content distribution in concrete using the exponential and power-function diffusion coefficients, as well as the progression of wetting fronts. In Section 3, these solutions are applied to simulate water infiltration in different types of concrete, and the results are compared with numerical solutions. Section 4 engages in a discussion on the proposed methods and computational results. Section 5 provides a summary of the work.

2. Theory and Methods

2.1. Water Diffusivity Process Based on the Principle of Stationary Action

According to the findings of Li et al. [27,28,29], the behavior of water diffusivity within a porous medium, such as soil, adheres to the fundamental concept of the principle of stationary action. This principle suggests that the path taken by the diffusivity process minimizes the overall action. By establishing suitable initial and boundary conditions, the diffusivity process can be accurately and efficiently resolved using this principle. Moreover, this principle applies not only to soil but also to the diffusivity process of water in capillary-active concrete materials, which are characterized by their porous nature. The underlying mechanism can be mathematically expressed as follows:
δ T θ = δ s d t = δ s v 1 d s = 0
where δ represents a small change in water diffusivity path, T is the cumulative time of water diffusivity, and s is the water diffusivity path. Based on Equation (1), the water diffusivity rate can be expressed as
v = θ D θ x .
According to variational theory, the kernel function v 1 satisfies the special case of the Euler–Lagrange equation:
v 1 θ v 1 θ = C
where v 1 θ = v 1 θ , θ = θ x , and C is a constant.
If the initial conditions are set to satisfy
θ 0 , x = θ i , 0 x x f ( t ) ,
then the boundary conditions satisfy
θ t , 0 = θ 0 , t 0 .
where θ i is the initial water content, θ 0 is the water content at the boundary, and xf is the position of the wetting front.
In alignment with the methodology introduced by Li et al. [27,28,29], the distribution profile of water content within a given medium can be mathematically articulated as follows:
D θ = D θ 0 D θ 0 D θ i x x f .
Equation (7) encapsulates two vital insights. Firstly, it elucidates that diffusivity depends on the boundary diffusivity, the initial diffusivity, and the depth of water absorption, which is essentially the position of the wetting front during the water diffusion process. Secondly, the equation ingeniously incorporates the profile of water content distribution into the diffusivity. With the determination of the form of diffusivity and the position of the wetting front, the profile of water content distribution can be clearly depicted. Typically, if an inverse function of D exists concerning changes in water content, their functional dependence can be assumed to follow the pattern
θ = f η
where η = x x f .

2.2. Explicit Solutions Using Exponential and Power Hydraulic Functions

Equation (7) serves as a critical tool for the precise determination of how water content varies both spatially and temporally within a medium, based on a specified hydraulic function. It is well established that the diffusivity of water within soil is not constant but varies nonlinearly as the water content changes. Despite the complexity of this relationship, empirical models have been developed to capture its essence. Among these models, the exponential functions proposed by Gummerson et al. [14] and the power function introduced by Lockington et al. [30] are particularly prominent and most commonly employed in the field. For the purpose of this research, these two empirical models were integrated into the previously described solution framework. Subsequently, the results obtained from this integration were meticulously compared with numerical calculations to evaluate the accuracy and effectiveness of the approach. This comparative analysis was crucial for validating the performance of these empirical models within the context of the developed solution, thereby enhancing the reliability of water content predictions in soil and related porous media.
The exponential function is
D θ = D 0 e n Θ .
The power function is
D θ = D 0 Θ n .
where D 0 is a limiting magnitude term, n is a shape parameter, and Θ is the reduced moisture content scaled between saturated ( θ s ) and residual ( θ r ) moisture contents and is defined as
Θ = θ θ r θ s θ r .
Substituting Equations (9) and (10) into Equation (7) yields Equations (12) and (13). By using the exponential function, the water content distribution is expressed as
θ = θ 0 θ i 1 n ln e n Θ 0 e n Θ 0 e n Θ i x x f + θ i .
Similarly, when employing the power function, the water content distribution is given by
θ = θ 0 θ i Θ 0 n Θ 0 n Θ i n x x f 1 n + θ i
where Θ 0 = θ 0 θ r θ s θ r , and Θ i = θ i θ r θ s θ r .
Equations (12) and (13) elucidate that the precise calculation of the water distribution profile within a porous medium is feasible, provided that the initial water content, the water content at the boundaries, and the position of the wetting front are known. These parameters are crucial for the accurate determination of the water distribution. However, in certain scenarios, identifying the exact position of the wetting front can be a challenging task due to the dynamic and often complex nature of water movement in such media. In cases where direct measurement of the wetting front is difficult or impractical, an alternative approach can be employed to estimate its position. This approximation method is detailed in the subsequent paragraph, which offers a viable solution for researchers and practitioners faced with the challenge of wetting front determination in their studies.

2.3. Advancement of the Wetting Front

Li et al. [28] developed an expression that quantitatively relates the position of the wetting front to the time. This relationship is mathematically formulated as follows:
x f t = 2 A 1 t A 2
where A 1 = D θ 0 f η η = 0 , A 2 = 0 1 f η d η θ i .
By incorporating Equations (9), (10), (12), and (13) into Equations (8) and (14), an expression that defines the position of wetting front in terms of its dependence on time was obtained. This integration of equations yields a functional relationship that allows us to determine the position of wetting front as it evolves over time, as follows:
The exponential function is
x f t = e n Θ 0 e n Θ i n Θ 0 1 e n Θ 0 n Θ i 1 e n Θ i 2 D 0 t .
The power function is
x f t = n + 1 Θ 0 Θ 0 n Θ i n n Θ 0 n + 1 Θ i n + 1 2 D 0 t .
In scenarios where the initial moisture content of the medium is assumed to be nearly equivalent to the residual moisture content and the moisture content at the boundary is considered to be nearly saturated, i.e., approaching the saturation moisture content, the conditions effectively simplify the problem. Under these specific circumstances, Equations (15) and (16) can be further refined to provide a more streamlined approximation. The revised forms of these equations, accounting for the close proximity of the initial and boundary moisture contents to their respective limits, are as follows:
The exponential function is
x f t = e n 1 n 1 e n + 1 2 D 0 t
The power function is
x f t = n + 1 n 2 D 0 t
In summary, for water absorption in unsaturated concrete, when the diffusivity is exponential, the water content distribution profile is explicitly expressed as
θ = θ 0 θ i 1 n ln e n Θ 0 e n Θ 0 e n Θ i x x f + θ i ,
with
x f t = e n 1 n 1 e n + 1 2 D 0 t .
When the diffusivity is in power form, the water content distribution profile is characterized by
θ = θ 0 θ i Θ 0 n Θ 0 n Θ i n x x f 1 n + θ i ,
with
x f t = n + 1 n 2 D 0 t .
The Equations (19) and (21) offer clear and practical analytical expressions for the water content distribution during the absorption process. Furthermore, once the water content is at specific positions, the boundary water content, the initial water content, and the position of the wetting front are experimentally ascertained, and the critical parameters D0 and n that define the diffusion coefficient can be accurately determined using advanced methods such as least squares analysis or alternative parameter estimation techniques.

3. Calculation and Results

In this section, the previously outlined solutions were employed to conduct simulations of water infiltration processes in various types of concrete. The objective was to compare these simulation outcomes with the numerical solutions derived from Equation (1), which serves as the foundational equation for this study. The initial conditions for the simulations and the boundary conditions related to water infiltration were defined by Equations (5) and (6), respectively. These equations provided the necessary framework to establish the starting point and the constraints for the infiltration process.
The numerical solutions were computed using the MATLAB (2020b) routine PDEPE, a sophisticated tool designed for automatically solving 1D spatial parabolic and elliptic partial differential equations that vary with respect to time. At the infiltration boundary position of moisture, the water content of concrete takes the saturated water content. At the other end of the boundary, the initial water content is taken. The theoretical solution presented in this paper is obtained by solving Equation (7). It is instrumental in explicitly delineating the distribution profiles of water content within the concrete and offers a clear visualization of how water is distributed over space. Furthermore, Equations (12) and (13) were demonstrated to be effective in estimating the capillary water flow behavior within concrete, provided that the diffusivity function was characterized by either an exponential or a power function. These empirical models are commonly used to describe the nonlinear relationship between diffusivity and water content in concrete. In addition, Equations (15) and (16) were employed to approximate the temporal evolution of the position of the wetting front. These equations provided a means to estimate the movement of the wetting front over time, which is a critical aspect of understanding the infiltration dynamics in concrete. By incorporating these equations into the simulation, the research is able to offer a more comprehensive analysis of water infiltration behavior in different concrete materials.
Table 1 lists the values of physical parameters for three types of concrete, which were extracted from the report by Leech et al. [31]. The length of test specimen is 100 mm in this study. As required, the sizes of the spatial grid and the discrete temporal grid were set to 0.001 and less than 1 s, respectively.
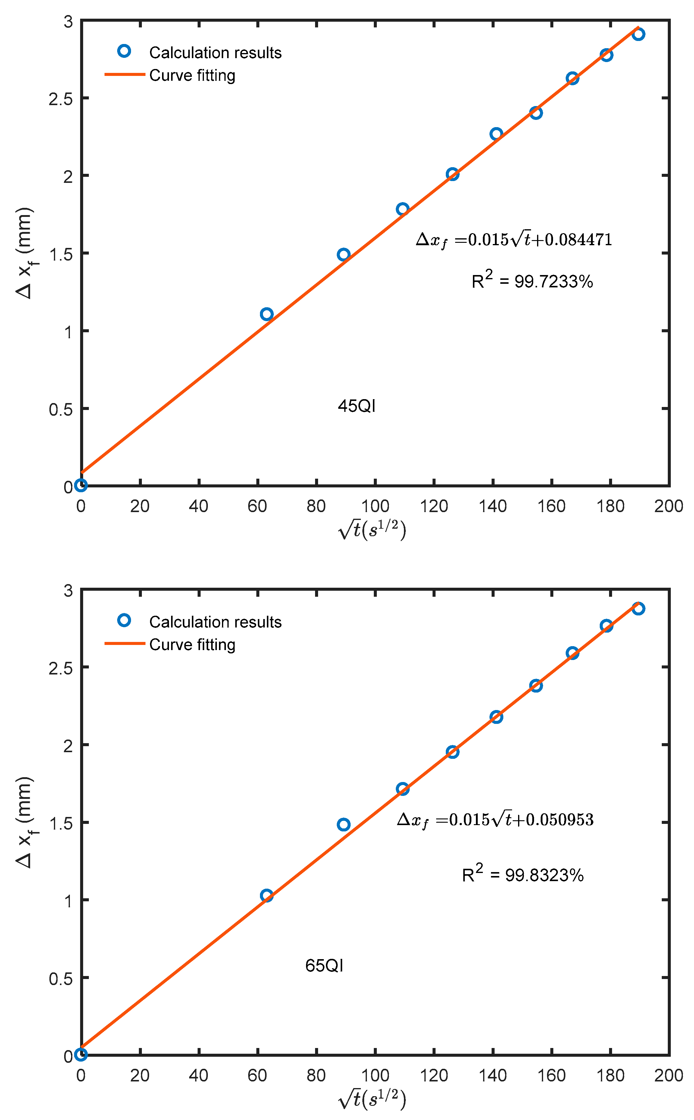
Figure 1 compares the spatial variations in the water content profiles calculated using the proposed approach (Equation (19)) and the PDEPE. The two methods yielded similar results, but with differences near the wetting front. Figure 2 shows the temporal variation in the difference in wetting front distance Δ x f = x f * x f for three types of concrete. The wetting front xf was calculated using Equation (20), and xf* was calculated with PDEPE. The relationship between their differences and the square root of time was regressed using the least-squares method. Figure 2 illustrated that the difference increased linearly with the square root of time. The R2 values were greater than 99%. The best fitting was observed for the 35QI concrete, with an R2 statistic of 99.94%. This comprehensive analysis underscores the reliability and accuracy of the proposed approach in predicting moisture dynamics in concrete structures.
Figure 3 provides a visual comparison between the calculated data for concrete and the outcomes derived from the power diffusivity model. The figure illustrated a high degree of concordance between the two sets of water content profiles. Notably, the discrepancy between the calculated data and the results from the power diffusivity model was most pronounced in the vicinity of the wetting front. Despite this, the numerical estimation of the position of the wetting front was found to be slightly less than that obtained through Equation (22).
Furthermore, when plotting the discrepancy between the numerical and calculated positions of the wetting front against the square root of time, a linear pattern was observed, as demonstrated in Figure 4. The correlation coefficients, represented by R2 values, were remarkably high, exceeding 98% for all tested concrete types. The strongest correlation was observed for the 45QI concrete, which achieved an extraordinarily high R2 value of 99.87%, indicating an almost perfect linear relationship between the discrepancy and the square root of time for this particular concrete type. This strong agreement and observed linear trend offer valuable insights into the accuracy and reliability of the power diffusivity model in predicting water content profiles and the behavior of the wetting front in concrete.

4. Discussion

4.1. Determination of Hydraulic Parameters

In addition to laboratory and field tests, mathematical-physical simulation modeling has proved to be a more effective method for studying water transport issues in concrete. Given the nonlinearity of hydraulic function in concrete materials and the complexity of initial boundary conditions, solving the governing equations often necessitates the use of complex numerical methods. This limitation somewhat restricts the applicability of the method. This study explicitly obtained volumetric water content distribution profiles in unsaturated concrete for exponential and power function hydraulic diffusion functions by considering suitable initial boundary conditions. It also tracked the progression of the wetting front over time. Equations (12)–(18) demonstrated that the water content distribution profile in concrete could be easily derived by identifying initial water content in concrete and boundary water content, as well as saturated and residual water contents. Furthermore, based on the least squares method as well as the recorded wetting front distance and corresponding absorption time, important parameters D0 and shape parameter n of the exponential and power function diffusion functions could be obtained effortlessly, as suggested by Equations (15) and (16).
Figure 5 presents a comparative analysis between the predicted diffusivity function derived from the current study and the diffusion function reported by Leech et al. [31]. The predicted diffusivity function was obtained by utilizing the parameters D0 and n, which were calculated through the Equations (15) and (16). The position of the wetting front that serves as a critical aspect of the diffusion process was ascertained by conducting a numerical simulation of the Richards Equation (RE) via the Matlab PDEPE routine, a specialized tool for solving partial differential equations. The diffusivity functions reported by Leech et al. [31] were established using Lockington’s method, and their accuracy was substantiated through a series of experimental data. The parameters associated with these functions are meticulously detailed in Table 2 to provide a clear reference for comparison.
As depicted in Figure 5 and further corroborated by the data presented in Table 2, the predicted diffusivity results aligned closely with the findings of Leech et al. [31]. This consistency between the predicted and reported results serves to validate the methodological approach proposed in this study, thus enhancing the reliability and applicability of techniques and equations employed for predicting diffusivity functions in concrete materials. The alignment of these results not only confirms the validity of the current study’s methodology but also contributes to the knowledge about water diffusion in concrete, enhancing the understanding of this complex phenomenon in the field.

4.2. Future Outlook

This study employed the principle of stationary action to transform water infiltration problem of concrete into a functional extremum problem with analytical solutions and physical meaning. However, some problems still need to be addressed.
The results of this study offer insights into the dynamics of moisture movement, which is of great significance for engineers and researchers engaged in the design and maintenance of concrete structures. Moreover, this study serves as a foundation for further research in this field, including the exploration of the impacts of other environmental factors such as temperature and humidity on the behavior of capillary water flow in concrete. Additionally, the research in this paper is premised on the assumption that concrete is homogeneous. For nonhomogeneous concrete, the theoretical model still requires further verification and study through laboratory tests and numerical simulations.
The question of whether the functional extremum is the best solution among all possible paths is not entirely clear. The subsequent task involves identifying the most plausible action variable for infiltration under various boundary conditions. The solution necessitates establishing the relationship between the diffusivity coefficient and the position of the wetting front, which can be solved using the time-as-action variable in the diffusivity equation. Nevertheless, the diffusivity coefficient assumed in this study may not be accurate and may require laboratory determination. Therefore, the follow-up research will aim to discuss the relationship between the different types of diffusivity coefficients and the optimal path.
In summary, this study lays the groundwork for future research in this field and deepens the understanding of the complex behavior of moisture movement in concrete. The findings of this study allow for the development of more accurate and reliable models of moisture transport in concrete structures, which have significant implications for design and maintenance of such structures, ultimately improving their durability and sustainability.

5. Conclusions

In porous and capillary-active concrete materials, the water diffusivity conforms to the principle of stationary action, a principle similar to that observed in soil. This study delved into the behavior of capillary water flow in concrete. It emphasized the significance of incorporating the diffusivity function when modeling the position of the wetting front over time, thereby providing valuable insights.
(1)
Water content profiles and wetting front can be explicitly determined by using exponential and power hydraulic functions. A simple approach based on the position of the wetting front has been developed for determining hydraulic parameters.
(2)
For the highly nonlinear moisture migration process in unsaturated concrete, the explicit solution of the moisture distribution profile is consistent with the numerical solution of PDEPE. The numerical difference between the two shows a linear variation relationship.
(3)
Utilizing the explicit solution of the moisture distribution profile enables the accurate back-calculation of the key parameters in the exponential and power function diffusion coefficients. When compared with the existing parameter prediction results, the maximum relative error is 7.73%, thus making the language expression of the sentence more fluent and natural after refinement.
The findings of this study are of great value to engineers and researchers involved in the design and maintenance of concrete structures. They offer a more comprehensive understanding of the dynamics of moisture movement and the risks associated with moisture intrusions. Furthermore, this study lays a solid foundation for future investigations into the influence of other environmental factors, such as temperature and humidity, on the behavior of capillary water flow in concrete.

Author Contributions

Conceptualization, J.H., C.W., C.Z. and Y.Z.; Methodology, J.L., S.Z. and J.W.; Validation, M.S. and Y.L.; Formal analysis, J.L., S.Z. and J.W.; Investigation, J.H., C.W., C.Z., F.W. and Y.Z.; Resources, J.L., S.Z., F.W. and J.W.; Data curation, J.L., S.Z. and J.W.; Writing—original draft, J.L., M.S. and Y.L.; Writing—review & editing, J.H. and C.W.; Visualization, C.Z. and Y.Z.; Supervision, C.W., C.Z. and Y.Z.; Project administration, C.W., C.Z. and Y.Z.; Funding acquisition, J.H., C.W. and J.L. All authors have read and agreed to the published version of the manuscript.

Funding

This study received financial support from the Guangxi Science and Technology Major Program (Grant No. GUIKE AA23062054) and the Natural Science Foundation of the Zhejiang Province (Grant No. LY 19E080008).

Data Availability Statement

Some or all data, models, or code that support the findings of this study are available from the corresponding author upon reasonable request.

Conflicts of Interest

Author Chengliang Wang was employed by the company Guangxi Road and Bridge Engineering Group Co., Ltd. Authors Yonggang Zhang, Jianqiu Wu and Min Sun were employed by the company China Construction Eighth Engineering Division Corp., Ltd. Author Yun Li was employed by the company Zhejiang Construction Co., Ltd. of China Construction Eighth Engineering Division. Author Fan Wang was employed by the company China Construction Third Engineering Bureau Group Co., Ltd. The remaining authors declare that the research was conducted in the absence of any commercial or financial relationships that could be construed as a potential conflict of interest.

References

  1. Basheer, L.; Kropp, J.; Cleland, D.J. Assessment of the durability of concrete from its permeation properties: A review. Constr. Build. Mater. 2001, 15, 93–103. [Google Scholar] [CrossRef]
  2. Sidiq, A.; Gravina, R.; Giustozzi, F. Is concrete healing really efficient? A review. Constr. Build. Mater. 2019, 205, 257–273. [Google Scholar] [CrossRef]
  3. Feng, C.; Roels, S.; Janssen, H. Towards a more representative assessment of frost damage to porous building materials. Build. Environ. 2019, 164, 106343. [Google Scholar] [CrossRef]
  4. Golewski, G.L. The Effect of the Addition of Coal Fly Ash (CFA) on the Control of Water Movement within the Structure of the Concrete. Materials 2023, 16, 5218. [Google Scholar] [CrossRef]
  5. Havinga, L.; Schellen, H. The impact of convective vapour transport on the hygrothermal risk of the internal insulation of post-war lightweight prefab housing. Energy Build. 2019, 204, 109418. [Google Scholar] [CrossRef]
  6. Bastidas-Arteaga, E.; Chateauneuf, A.; Sánchez-Silva, M.; Bressolette, P.; Schoefs, F. A comprehensive probabilistic model of chloride ingress in unsaturated concrete. Eng. Struct. 2011, 33, 720–730. [Google Scholar] [CrossRef]
  7. Hall, C.; Hoff, W.D. Water Transport in Brick, Stone and Concrete; Spon Press: London, UK, 2012. [Google Scholar]
  8. van der Zanden, A.; Taher, A.; Arends, T. Modelling of water and chloride transport in concrete during yearly wetting/drying cycles. Constr. Build. Mater. 2015, 81, 120–129. [Google Scholar] [CrossRef]
  9. Zhao, J.; Plagge, R. Characterization of hygrothermal properties of sandstones—Impact of anisotropy on their thermal and moisture behaviors. Energy Build. 2015, 107, 479–494. [Google Scholar] [CrossRef]
  10. Edelmann, M.; Zibold, T.; Grunewald, J. Generalised NMR-moisture correlation function of building materials based on a capillary bundle model. Cem. Concr. Res. 2019, 119, 126–131. [Google Scholar] [CrossRef]
  11. Ren, P.; Feng, C.; Janssen, H. Hygric properties of porous building materials (V): Comparison of different methods to determine moisture diffusivity. Build. Environ. 2019, 164, 106344. [Google Scholar] [CrossRef]
  12. Leech, C.A. Water Movement in Unsaturated Concrete: Theory, Experiments, Models. Ph.D. Thesis, The University of Queensland, Brisbane, QLD, Australia, 2003. [Google Scholar]
  13. Feng, C.; Janssen, H. The influence of temperature on the capillary absorption coefficient-a confrontation of two recent papers in building and environment. Build. Environ. 2017, 116, 257–258. [Google Scholar] [CrossRef]
  14. Gummerson, R.J.; Hall, C.; Hoff, W.D.; Hawkes, R.; Holland, G.N.; Moore, W.S. Unsaturated water flow within porous materials observed by NMR imaging. Nature 1979, 281, 56–57. [Google Scholar] [CrossRef]
  15. Gummerson, R.; Hall, C.; Hoff, W. Water movement in porous building materials—II. Hydraulic suction and sorptivity of brick and other masonry materials. Build. Environ. 1980, 15, 101–108. [Google Scholar] [CrossRef]
  16. Carmeliet, J.; Hens, H.; Roels, S.; Adan, O.; Brocken, H.; Cerny, R.; Pavlik, Z.; Hall, C.; Kumaran, K.; Pel, L. Determination of the liquid water diffusivity from transient moisture transfer experiments. J. Therm. Envel. Build. Sci. 2004, 27, 277–305. [Google Scholar] [CrossRef]
  17. Krus, M. Moisture Transport and Storage Coefficients of Porous Mineral Building Materials—Theoretical Principles and New Test Methods; Fraunhofer IRB Verlag: Stuttgart, Germany, 1996. [Google Scholar]
  18. Pel, L.; Ketelaars, A.; Adan, O.; Van Well, A. Determination of moisture diffusivity in porous media using scanning neutron radiography. Int. J. Heat Mass Transf. 1993, 36, 1261–1267. [Google Scholar] [CrossRef]
  19. Zhang, M.; Tong, L.; Wang, Q. Geotechnical Characteristic Assessments of Floodplain Soils Using SCPTU Data in Nanjing, China. Adv. Civ. Eng. 2022, 2022, 1669511. [Google Scholar] [CrossRef]
  20. Richards, L.A. Capillary conduction of liquids through porous mediums. Physics 1931, 1, 318–333. [Google Scholar] [CrossRef]
  21. Hall, C. Water sorptivity of mortars and concretes: A review. Mag. Concr. Res. 1989, 41, 51–61. [Google Scholar] [CrossRef]
  22. Hall, C.; Yau, M.H.R. Water movement in porous building materials the water absorption and sorptivity of concretes. Build. Environ. 1987, 22, 77–82. [Google Scholar] [CrossRef]
  23. Kaufmann, K.; Studer, W. One-dimensional water transport in covercrete application of non-destructive methods. Mater. Struct. 1995, 28, 115–124. [Google Scholar] [CrossRef]
  24. Parrott, L.J. Water absorption in cover concrete. Mater. Struct. 1992, 25, 284–292. [Google Scholar] [CrossRef]
  25. Van Belleghem, B.; Montoya, R.; Dewanckele, J.; Steen, N.V.D.; De Graeve, I.; Deconinck, J.; Cnudde, V.; Van Tittelboom, K.; De Belie, N. Capillary water absorption in cracked and uncracked mortar–A comparison between experimental study and finite element analysis. Constr. Build. Mater. 2016, 110, 154–162. [Google Scholar] [CrossRef]
  26. Zhou, C. General solution of hydraulic diffusivity from sorptivity test. Cem. Concr. Res. 2014, 58, 152–160. [Google Scholar] [CrossRef]
  27. Li, J.; Jin, H.; Wang, C.; Wang, H. A new method of estimating soil water diffusivity based on variation in the wetting front position and on the principle of stationary action. J. Hydrol. 2022, 612, 128290. [Google Scholar] [CrossRef]
  28. Li, J.; Wang, H.; Wei, C.; Lin, F.; Liu, Z.; Zhu, Z. A generalized approximate analytical solution of horizontal infiltration in unsaturated soil. Acta Geotech. 2021, 17, 1803–1814. [Google Scholar] [CrossRef]
  29. Li, J.; Zhu, Y.; Jin, H.; Zhou, B.; Han, L.; Wang, H.; Wei, C. Approximate water vertical infiltration extremum path in unsaturated soils. J. Hydrol. 2023, 625, 129989. [Google Scholar] [CrossRef]
  30. Lockington, D.; Parlange, J.-Y.; Dux, P. Sorptivity and the estimation of water penetration into unsaturated concrete. Mater. Struct. 1999, 32, 342–347. [Google Scholar] [CrossRef]
  31. Leech, C.A.; Lockington, D.; Dux, P. Unsaturated diffusivity functions for concrete derived from NMR images. Mater. Struct. 2003, 36, 413–418. [Google Scholar] [CrossRef]
Figure 1. Comparison of intrusion profiles with an exponential diffusivity: the dashed line represents the distribution of water content calculated numerically at different moments for different types of concrete; the solid line represents the results of the proposed method (Equation (19)); different colors represent different times.
Figure 1. Comparison of intrusion profiles with an exponential diffusivity: the dashed line represents the distribution of water content calculated numerically at different moments for different types of concrete; the solid line represents the results of the proposed method (Equation (19)); different colors represent different times.
Buildings 14 03238 g001aBuildings 14 03238 g001b
Figure 2. Temporal variations of the wetting front distance difference Δ x f using exponential diffusivity.
Figure 2. Temporal variations of the wetting front distance difference Δ x f using exponential diffusivity.
Buildings 14 03238 g002aBuildings 14 03238 g002b
Figure 3. Comparison of intrusion profiles with power diffusivity: the dashed line represents the distribution of water content calculated numerically at different moments for different types of concrete; the solid line represents the results of the proposed method (Equation (21)); different colors represent different times.
Figure 3. Comparison of intrusion profiles with power diffusivity: the dashed line represents the distribution of water content calculated numerically at different moments for different types of concrete; the solid line represents the results of the proposed method (Equation (21)); different colors represent different times.
Buildings 14 03238 g003
Figure 4. Temporal variations of wetting front distance difference Δ x f using power diffusivity.
Figure 4. Temporal variations of wetting front distance difference Δ x f using power diffusivity.
Buildings 14 03238 g004aBuildings 14 03238 g004b
Figure 5. Prediction and comparison of different diffusivity functions [31].
Figure 5. Prediction and comparison of different diffusivity functions [31].
Buildings 14 03238 g005
Table 1. Water absorption parameters of concrete (from Leech et al. [31]).
Table 1. Water absorption parameters of concrete (from Leech et al. [31]).
No.w/cCC
(kg/m3)
θ s
(mm3/mm3)
θ i
(mm3/mm3)
nD0 (mm2/s)
ExponentialPowerExponentialPower
35QI0.623000.13610−4751.58 × 10−40.127
45QI0.553400.12810−4864.36 × 10−50.194
65QI0.44900.12610−4973.56 × 10−50.1108
Note: CC represents the concrete content, θ s represents the dynamic saturated moisture content, θ i represents the initial moisture content and D0 is the limiting magnitude term of diffusivity.
Table 2. Prediction of diffusivity parameters.
Table 2. Prediction of diffusivity parameters.
ItemsParametersValuePredicted ValueReported ValueRelative Error
Boundary reduced water content Θ 0 (−)1
Initial reduced water content Θ i (−)0.05
Exponential function diffusivity D 0 (mm2/s)6.40046.40.0062%
n   ( ) 2.37 × 10−42.2 × 10−47.73%
Power function diffusivity D 0 (mm2/s)0.10480.114.73%
n   ( ) 4.90314.74.32%
Disclaimer/Publisher’s Note: The statements, opinions and data contained in all publications are solely those of the individual author(s) and contributor(s) and not of MDPI and/or the editor(s). MDPI and/or the editor(s) disclaim responsibility for any injury to people or property resulting from any ideas, methods, instructions or products referred to in the content.

Share and Cite

MDPI and ACS Style

He, J.; Wang, C.; Zhang, C.; Zhang, Y.; Li, J.; Zou, S.; Wu, J.; Sun, M.; Li, Y.; Wang, F. Analysis of Capillary Water Absorption within Unsaturated Concrete Based on the Principle of Stationary Action. Buildings 2024, 14, 3238. https://doi.org/10.3390/buildings14103238

AMA Style

He J, Wang C, Zhang C, Zhang Y, Li J, Zou S, Wu J, Sun M, Li Y, Wang F. Analysis of Capillary Water Absorption within Unsaturated Concrete Based on the Principle of Stationary Action. Buildings. 2024; 14(10):3238. https://doi.org/10.3390/buildings14103238

Chicago/Turabian Style

He, Jianqiao, Chengliang Wang, Chaoxuan Zhang, Yonggang Zhang, Jiwei Li, Shengquan Zou, Jianqiu Wu, Min Sun, Yun Li, and Fan Wang. 2024. "Analysis of Capillary Water Absorption within Unsaturated Concrete Based on the Principle of Stationary Action" Buildings 14, no. 10: 3238. https://doi.org/10.3390/buildings14103238

APA Style

He, J., Wang, C., Zhang, C., Zhang, Y., Li, J., Zou, S., Wu, J., Sun, M., Li, Y., & Wang, F. (2024). Analysis of Capillary Water Absorption within Unsaturated Concrete Based on the Principle of Stationary Action. Buildings, 14(10), 3238. https://doi.org/10.3390/buildings14103238

Note that from the first issue of 2016, this journal uses article numbers instead of page numbers. See further details here.

Article Metrics

Back to TopTop