Hysteresis Model of RC Column Considering Cumulative Damage Effect under Variable Axial Load
Abstract
1. Introduction
2. Quasi-Static Test of RC Columns under the Action of Variable Axial Load
2.1. Introduction of Test
| Test | Specimen | Axial load | Horizontal displacement load |
| Constant axis force | SC-1 | ![]() | ![]() Using displacement control, cycling once at displacement amplitudes of 5, 10, and 15 mm, twice at 20~90 mm, and once at 100~160 mm. |
| Variable axial load test 1 | SC-2 | ![]() | |
| Variable axial load test 2 | SC-3 | ![]() |
2.2. Finite Element Simulation
3. Study on Damage Value
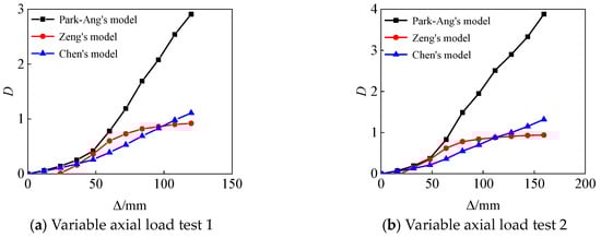
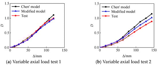
3.1. Modification of Damage Value
3.2. Establishment of Relationship between Stiffness Degradation and Damage Value
3.3. Establishment of the Relationship between Load-Bearing Capacity Degradation and Damage Value
4. Establishment of Hysteresis Model
4.1. Determination of Skeleton Curve
4.2. Calculation of Characteristic Points (Y, M, U)
- The yield load and displacement to correspond to the yield load:
- 2.
- The peak load and displacement to correspond to the peak load:
- 3.
- The ultimate bearing capacity and displacement correspond to the ultimate bearing capacity:
4.3. Determination of Hysteresis Rules
- When the specimen is loaded without reaching the yield state of the column, the loading and unloading paths are along the elastic section of the skeleton curve (OA and OD);
- After the force exceeds the yield strength, the loading path travels along the skeleton curve (AB). The unloading stiffness (BC, EF, HI, KL) from the skeleton curve is determined by Equation (7). The skeleton curves are calculated from the axial compression ratio, shear span ratio, and reinforcement ratio. Furthermore, the initial stiffness k0 and the parameters required to calculate the stiffness degradation coefficient γ are obtained.
- Reversed load cycles and reloading paths: The stiffness of the reloading and reversed load cycle sections at the initial stage is equivalent to the unloading stiffness of this stage. The inflexion point is located on the descending section of the skeleton curve that passes through the origin and is parallel to the current direction (the slope of ON and OL equals the calculated positive and negative skeleton curve strength descending segment slopes. The skeleton curves of the RC columns under variable axial loads are often asymmetrical, resulting indifferent slopes of strength descending segment). When the reverse load does not reach the yield state of the column in the other direction, the reversed load cycle path points from the inflexion point to the yield point in that direction (CD). When the displacement amplitude loaded exceeds the displacement amplitude of the yield state in the current loading direction, the loaded reference point needs to be distinguished and discussed. (i) If n ≥ 0.3 (take F-G-H as an example), first, it points to G (ΔB, 0.96PB) during loading, and then it points to point H (ΔH, 0.96PB + kP × η × (ΔH − ΔB)). The x-coordinate of H is the displacement amplitude corresponding to the current cycle, and the y-coordinate is the bearing capacity value calculated by Formula (10) on the skeleton curve. (ii) If n < 0.3 (take N-J-K as an example), first, it points to J (ΔE, 0.96PE) during loading, and then it points to K, NJ and JK are on the same line, and point K is on the skeleton curve.The hysteresis rule is explained with the route A-I, where i represents A-F, i + 1 represents F-I, and +,- represent positive and negative directions.
Loading path Bearing capacity Unloading path Unloading stiffness/ O→A Py+ / / A→B Py+ + (Δi − Δy+) × ks+ / / / / B→C until ON γi × k0+ C→D Py- / / D→E Py- + (Δi − Δy-)×ks- / / / / E→F until OF γi × k0− F→G 0.96PB / / G→H ks+ × η × (Δi+1 − Δi) + 0.96PB / / H→I until ON γi+1 × k0+ - When the displacement amplitude in a particular direction matches the displacement amplitude of the previous hysteresis loop, the unloading stiffness is equivalent to that of the previous loop (MN has the same unloading stiffness as the HI). The inflexion point of reversed load cycles and reloading points to the point where the maximum displacement amplitude of the previous cycle in this direction is 0.97 (through calculation, the peak bearing capacity at the second occurrence of a certain displacement amplitude was found to be approximately 0.97 times the peak bearing capacity at the first occurrence of that displacement amplitude) times the maximum load value of the previous cycle (PM = 0.97PH).
4.4. Test-Based Validation
5. Conclusions
- From the results of the numerical simulations, it can be inferred that the degradation of stiffness and strength follows an exponential or logarithmic function concerning damage development. Therefore, quantitatively describing the degradation of stiffness and strength is feasible and relatively accurate. Introducing stiffness and strength degradation functions into the hysteresis rule can effectively predict the seismic performance of RC pier columns under variable axial loads.
- According to the results of the numerical simulation, the characteristic points of the skeleton curve show power or linear relationships with the axial compression ratio, shear span ratio, and reinforcement ratio, and specific functional expressions can be obtained through a regression analysis. Specifically, the displacement at the peak load point only has a segmented increasing relationship with the shear span ratio. The equivalent axial compression ratio corresponding to the peak displacement is determined by analyzing the loading system of the horizontal displacement. By analyzing and calculating the basic parameters of the specimen, the shear-span ratio and reinforcement ratio can be determined. Subsequently, the skeleton curve of the specimen can be obtained.
- By integrating the characteristic points of the skeleton curve and introducing damage values to describe the hysteresis pattern of stiffness and strength degradation, this paper proposes a hysteresis model that can effectively reflect the seismic performance of RC piers under variable axial loads. However, due to the lack of comparable samples, its accuracy and scope of application still have certain limitations, and more reliable variable axial load tests need to be carried out for verification.
Author Contributions
Funding
Data Availability Statement
Acknowledgments
Conflicts of Interest
References
- Murray, J.A.; Sasani, M. Seismic shear-axial failure of reinforced concrete columns vs. system level structural collapse. Eng. Fail. Anal. 2013, 32, 382–401. [Google Scholar] [CrossRef]
- Chalioris, C.E.; Voutetaki, M.E.; Liolios, A.A. Structural health monitoring of seismically vulnerable RC frames under lateral cyclic loading. Earthq. Struct. 2020, 19, 29–44. [Google Scholar] [CrossRef]
- Taslimi, A.; Tehranizadeh, M.; Shamlu, M. Seismic fragility analysis of RC frame-core wall buildings under the combined vertical and horizontal ground motions. Earthq. Struct. 2021, 20, 175–185. [Google Scholar] [CrossRef]
- Takeda, T.; Sozen, M.A.; Nielsen, N.N. Reinforced Concrete Response to Simulated Earthquakes. J. Struct. Div. 1970, 96, 2557–2573. [Google Scholar] [CrossRef]
- Xu, S.Y.; Zhang, J. Axial-shear-flexure interaction hysteretic model for RC columns under combined actions. Eng. Struct. 2012, 34, 548–563. [Google Scholar] [CrossRef]
- Wu, B.Y.; Sun, G.J.; Li, H.J.; Wang, S.Y. Effect of variable axial load on seismic behavior of reinforced concrete columns. Eng. Struct. 2022, 250, 113388. [Google Scholar] [CrossRef]
- Karalar, M.; Dicleli, M. Effect of pile orientation on the fatigue performance of jointless bridge H-piles subjected to cyclic flexural strains. Eng. Struct. 2023, 276, 115385. [Google Scholar] [CrossRef]
- Liu, Q.; Wang, M.F. Seismic reliability analysis of structures based on cumulative damage failure mechanism. Earthq. Struct. 2020, 18, 519–526. [Google Scholar] [CrossRef]
- Teran-Gilmore, A.; Jirsa, J.O. A damage value for practical seismic design that accounts for low cycle fatigue. Earthq. Spectra 2015, 21, 803–832. [Google Scholar] [CrossRef]
- Deng, Y.H.; Yan, C.W.; Niu, P.K. Hysteretic model of reinforced concrete bridge piers based on earthquake damage and corrosion from saline soil. Soil Dyn. Earthq. Eng. 2023, 166, 107732. [Google Scholar] [CrossRef]
- Zheng, S.S.; Yu, F.; Wang, B.; Zhang, H.R.; Hu, Y. Research on hysteretic model of SRHSHPC frame joints considering accumulative damage. Key Eng. Mater. 2010, 450, 227–230. [Google Scholar] [CrossRef]
- Chen, B.; Sun, G.J.; Wang, C.; Wang, P.P.; Wu, B.Y.; Li, H.J. Effect of variable axial load with different amplitude, frequency and phase on seismic behavior of RC columns: Experimental study and numerical simulation. Structures 2024, 59, 105806. [Google Scholar] [CrossRef]
- Jin, L.; Wan, S.Y.; Li, D.; Miao, L.Y.; Du, X.L. Influence of concrete strength and aggregate size on the size effect of shear capacity of RC beam-column joints under monotonic loading: Mesoscale numerical tests. Structures 2022, 37, 671–685. [Google Scholar] [CrossRef]
- Akduman, S.; Karalar, M.; Mert, N.; Öztürk, H. Investigation of the Post-Fire Behavior of Different End-Plated Beam–Column Connections. Buildings 2024, 14, 1013. [Google Scholar] [CrossRef]
- Stel’makh, S.A.; Shcherban’, E.M.; Beskopylny, A.N.; Mailyan, L.R.; Veremeenko, A.; Shilov, A.V.; Ananova, O.; Karalar, M.; Aksoylu, C.; Özkılıç, Y.O. Modeling and Calculation of Improved Centrifuged Reinforced Concrete Columns with Variotropic Structure. Buildings 2023, 13, 2005. [Google Scholar] [CrossRef]
- Mander, J.B.; Priestley, M.J.; Park, R. Theoretical stress-strain model for confined concrete. J. Struct. Eng. 1988, 114, 1804–1826. [Google Scholar] [CrossRef]
- Menegotto, M.; Pinto, P.E. Method of analysis for cyclically loaded RC plane frames including changes in geometry and non-elastic behaviour of elements under combined normal force and bending. In Proceedings of the IABSE Symposium on Resistance and Ultimate Deformability of Structures Acted on by Well-Defined Repeated Loads, Lisbon; International Association of Bridge and Structural Engineering: Zürich, Switzerland, 1973; pp. 15–22. [Google Scholar]
- Jiang, Q.; Xuan, D.C.; Chong, X.; Shen, J.; Fan, Y.L.; Su, W.J. Seismic performance of RC interior wide beam-column joints. Structures 2023, 48, 373–389. [Google Scholar] [CrossRef]
- Ci, M.Y.; Sun, H.Y.; Qiao, D.H.; Feng, W.H.; Wang, R.C.; Wang, S.J. Effect of axial-load ratio and shear-span ratio on seismic behavior of the prefabricated structures for cast-in-place RC boundary elements confined uniform hollow panels. J. Build. Eng. 2023, 80, 108053. [Google Scholar] [CrossRef]
- Zhou, X.W.; Zhang, R.C.; Zhao, K.; Zhang, G.X.; Wu, B.Y. An experimental study of impact performance of RC piers with different reinforcement ratios. Građevinar 2019, 71, 465–479. [Google Scholar] [CrossRef]
- Park, Y.J.; Ang AH, S. Mechanistic seismic damage value for reinforced concrete. J. Struct. Eng. 1985, 111, 722–729. [Google Scholar] [CrossRef]
- Chen, L.Z. Study on Performance Based Seismic Damage Control of Reinforce Concrete Frame Structures. Ph.D. Thesis, Tongji University, Shanghai, China, 2010. (In Chinese). [Google Scholar]
- Zeng, W.H.; Wang, F.C.; Zhou, W.D. Transformation and energy-based seismic damage value of reinforced concrete bridge pier. J. Huaqiao Univ. (Nat. Sci.) 2016, 37, 441–446. (In Chinese) [Google Scholar]
- Amiri, G.G.; Rajabi, E. Maximum damage prediction for regular reinforced concrete frames under consecutive earthquakes. Earthq. Struct. 2018, 14, 129–142. [Google Scholar] [CrossRef]
- Saadeghvaziri, M.A.; Foutch, D.A. Behavior of RC columns under non-proportionally varying axial load. J. Struct. Eng. 1990, 116, 1835–1856. [Google Scholar] [CrossRef]
- Zhang, B.F. Study on Seismic Performance and Earthquake Damage Model of Fiber Lightweight Aggregate Concrete Columns. Master’s Thesis, Chang’an University, Xi’an, China, 2022. [Google Scholar] [CrossRef]
- Wang, M.L.; Shah, S.P. Reinforced concrete hysteresis model based in the damage concept. Earthq. Eng. Struct. Dyn. 1987, 15, 993–1003. [Google Scholar] [CrossRef]
- Zhang, G.J.; Lv, X.L.; Liu, B.Q. Research on restoring force models of frame columns with ultra-limited axial compression ratio. J. Build. Struct. 2006, 27, 90–98. [Google Scholar] [CrossRef]






















| Direction | Δy/mm | Py/kN | Δm/mm | Pm/kN | Δu/mm | Pu/kN | |
|---|---|---|---|---|---|---|---|
| SC-2 | + | 24.5 | 217.1 | 50 | 250.9 | 119.6 | 213.3 |
| - | 33.6 | 191.2 | 60 | 215.4 | 190 | 183.1 | |
| SC-3 | + | 18.3 | 201.8 | 50 | 241.3 | 164 | 205.1 |
| - | 42 | 216.4 | 60 | 235.2 | 154.8 | 199.9 |
| Direction | 20 | 30 | 40 | 50 | 60 | 70 | 80 | 90 | 100 | 110 | 130 | 150 | 170 | |
|---|---|---|---|---|---|---|---|---|---|---|---|---|---|---|
| SC-2 | + | 332.9 | 1037.5 | 2129.6 | 3537.5 | 5134.9 | 6847.2 | 8808.3 | 10,917.2 | 13,212.7 | 15,573.2 | 20,821.4 | 25,982.9 | 30,347.8 |
| - | 136.1 | 759.2 | 1787.2 | 3358.1 | 4831.7 | 6579.6 | 8905.6 | 10,835.7 | 13,006.2 | 15,295.6 | 20,568.5 | 25,082.7 | 28,657.9 | |
| SC-3 | + | 78.9 | 704.9 | 1701.5 | 3100.7 | 4664.6 | 6401.7 | 8188.2 | 10,086.3 | 12,307.1 | 14,422.5 | 19,293.8 | 23,764.2 | 27,945.9 |
| - | 744.2 | 1681.9 | 3336.7 | 5563.5 | 7901.5 | 10,266.8 | 12,434.8 | 15,286.8 | 18,267.1 | 20,545.6 | 26,435.8 | 32,263.9 | 36,032.6 |
| Variable Axial Load Test 1 | Variable Axial Load Test 2 | ||
|---|---|---|---|
| Displacement | Damage Value | Displacement | Damage Value |
| 0.0 | 0.00 | 0.0 | 0.00 |
| 12.0 | 0.02 | 16.0 | 0.03 |
| 24.0 | 0.10 | 31.9 | 0.09 |
| 36.0 | 0.22 | 47.9 | 0.17 |
| 48.0 | 0.32 | 63.8 | 0.26 |
| 60.0 | 0.43 | 79.8 | 0.40 |
| 72.0 | 0.56 | 95.7 | 0.53 |
| 84.0 | 0.70 | 111.7 | 0.66 |
| 96.0 | 0.83 | 127.6 | 0.78 |
| 108.0 | 0.92 | 143.6 | 0.89 |
| 120.0 | 1.00 | 159.5 | 1.00 |
| Displacement (mm) | 0.5-4.0-1.84 | 0.4-4.5-1.64 | 0.3-3.5-2.05 | 0.2-4.0-1.84 | 0.1-4.5-1.64 | |||||
|---|---|---|---|---|---|---|---|---|---|---|
| D+ | D− | D+ | D− | D+ | D− | D+ | D− | D+ | D− | |
| 20 | 0.22 | 0.21 | 0.19 | 0.19 | 0.18 | 0.18 | 0.12 | 0.12 | 0.07 | 0.07 |
| 30 | 0.33 | 0.33 | 0.29 | 0.29 | 0.28 | 0.27 | 0.18 | 0.18 | 0.11 | 0.11 |
| 40 | 0.45 | 0.44 | 0.39 | 0.38 | 0.37 | 0.37 | 0.24 | 0.24 | 0.15 | 0.15 |
| 50 | 0.57 | 0.56 | 0.49 | 0.49 | 0.47 | 0.46 | 0.31 | 0.31 | 0.19 | 0.19 |
| 60 | 0.69 | 0.67 | 0.59 | 0.59 | 0.57 | 0.56 | 0.37 | 0.37 | 0.22 | 0.22 |
| 70 | 0.80 | 0.79 | 0.69 | 0.69 | 0.67 | 0.66 | 0.44 | 0.44 | 0.27 | 0.26 |
| 80 | 0.92 | 0.90 | 0.79 | 0.79 | 0.76 | 0.75 | 0.50 | 0.50 | 0.31 | 0.30 |
| 90 | 1.04 | 1.02 | 0.90 | 0.89 | 0.86 | 0.84 | 0.57 | 0.57 | 0.35 | 0.34 |
| 100 | 1.16 | 1.17 | 0.99 | 0.99 | 0.96 | 0.94 | 0.63 | 0.63 | 0.39 | 0.38 |
| 110 | 1.28 | 1.25 | 1.10 | 1.09 | 1.06 | 1.04 | 0.70 | 0.70 | 0.43 | 0.42 |
| 130 | 1.52 | 1.49 | 1.30 | 1.29 | 1.26 | 1.23 | 0.83 | 0.83 | 0.51 | 0.50 |
| 150 | 1.76 | 1.73 | 1.51 | 1.50 | 1.46 | 1.43 | 0.96 | 0.96 | 0.59 | 0.58 |
| 170 | 2.00 | 1.96 | 1.72 | 1.70 | 1.66 | 1.62 | 1.09 | 1.09 | 0.67 | 0.66 |
| 190 | 2.24 | 2.20 | 1.92 | 1.91 | 1.86 | 1.81 | 1.23 | 1.22 | 0.75 | 0.74 |
| Unity state | 0.98 | 0.97 | 0.96 | 0.96 | 0.99 | 0.98 | 0.99 | 0.99 | 1 | 1 |
| Direction | n | l | r | |
|---|---|---|---|---|
| SC-2 | + | 0.3 | 3.75 | 1.84 |
| - | 0.1 | 3.75 | 1.84 | |
| SC-3 | + | 0.2 | 3.75 | 1.84 |
| - | 0.2 | 3.75 | 1.84 |
Disclaimer/Publisher’s Note: The statements, opinions and data contained in all publications are solely those of the individual author(s) and contributor(s) and not of MDPI and/or the editor(s). MDPI and/or the editor(s) disclaim responsibility for any injury to people or property resulting from any ideas, methods, instructions or products referred to in the content. |
© 2024 by the authors. Licensee MDPI, Basel, Switzerland. This article is an open access article distributed under the terms and conditions of the Creative Commons Attribution (CC BY) license (https://creativecommons.org/licenses/by/4.0/).
Share and Cite
Shen, J.; Chen, B.; Sun, G. Hysteresis Model of RC Column Considering Cumulative Damage Effect under Variable Axial Load. Buildings 2024, 14, 3219. https://doi.org/10.3390/buildings14103219
Shen J, Chen B, Sun G. Hysteresis Model of RC Column Considering Cumulative Damage Effect under Variable Axial Load. Buildings. 2024; 14(10):3219. https://doi.org/10.3390/buildings14103219
Chicago/Turabian StyleShen, Jie, Bo Chen, and Guangjun Sun. 2024. "Hysteresis Model of RC Column Considering Cumulative Damage Effect under Variable Axial Load" Buildings 14, no. 10: 3219. https://doi.org/10.3390/buildings14103219
APA StyleShen, J., Chen, B., & Sun, G. (2024). Hysteresis Model of RC Column Considering Cumulative Damage Effect under Variable Axial Load. Buildings, 14(10), 3219. https://doi.org/10.3390/buildings14103219




