Risk Assessment of Overturning of Freestanding Non-Structural Building Contents in Buckling-Restrained Braced Frames
Abstract
1. Introduction
2. Model Structure for Seismic Retrofitting Using Buckling-Restrained Braces
2.1. Outline of MRF Model Structure
2.2. Equivalent Linearization-Based Design of a Buckling-Restrained Brace
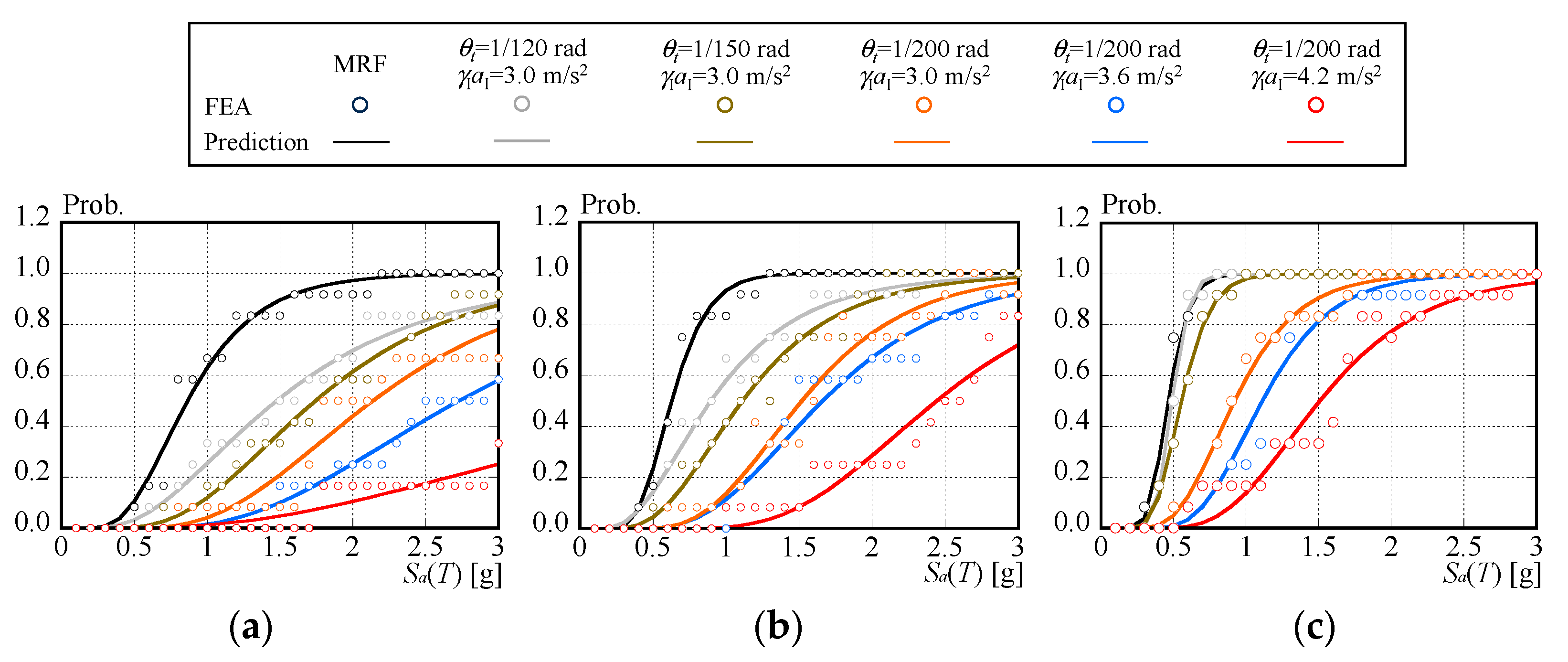
- θt = 1/120 rad with γIag = 3.0 m/s2 peak ground acceleration (PGA),
- θt = 1/150 rad with γIag = 3.0 m/s2 PGA,
- θt = 1/200 rad with γIag = 3.0 m/s2 PGA,
- θt = 1/200 rad with γIag = 3.6 m/s2 PGA, and
- θt = 1/200 rad with γIag = 4.2 m/s2 PGA.
- The equivalent damping factor is consistent between the SDOF and multi-story systems.
- The inter-story drift is uniform across all stories and equals the target story drift for the seismic force, calibrated according to the Ai distribution.
- The ductility of the BRB is uniform across all stories.
3. Outline of Nonlinear Response History Analyses and Fragility Assessment of Furniture Overturning
3.1. Outline of Nonlinear Response History Analyses
3.2. Fragility Assessment of Furniture Overturning
4. Computation of Artificial Seismic Waves Reflecting Ground Characteristics
5. Contribution of Seismic Retrofitting to Structural Response Reduction Based on Incremental Dynamic Analysis
6. Evaluation of Mean Annual Frequency of Furniture Overturning
6.1. Relationship between λc and Probability of Collapse
6.2. Deaggregation of λc
6.3. Hazard Curve Deaggregation of λc
6.4. Discussion
7. Conclusions
- (1)
- Peak story drift is effectively mitigated with more stringent BRB design criteria. However, when the target story drift is reduced, peak floor acceleration can increase in BRBFs compared to MRFs.
- (2)
- The fragility of furniture overturning decreases with more stringent design criteria due to an increased critical acceleration threshold.
- (3)
- The mean annual frequency of acceleration response spectra generally increases with shorter natural periods. Consequently, the mean annual frequency of furniture overturning can be higher in BRBFs compared to MRFs.
- (4)
- The risk of furniture overturning is influenced by the balance between the building’s performance and the specific hazard characteristics at the location. Particular attention should be given to the shape of the hazard curve, especially in cases where short-period vibrations are prominent.
- (5)
- The calculation flow outlined in this research provides engineers and researchers with a clear methodology to quantify the risk of furniture overturning in a precise and explicit manner.
Author Contributions
Funding
Data Availability Statement
Conflicts of Interest
References
- Kimura, K.; Yoshioka, K.; Takeda, T.; Furuya, N.; Takemoto, Y. An experimental study of braces encased in steel tube and mortar. In Proceedings of the Architectural Institute of Japan Annual Meeting, Hokkaido, Japan, 15–17 September 1976; pp. 1041–1042. [Google Scholar]
- Takeuchi, T.; Hajjar, J.F.; Matsui, R.; Nishimoto, K.; Aiken, I.D. Local buckling restraint condition for core plates in buckling restrained braces. J. Constr. Steel Res. 2010, 66, 139–149. [Google Scholar] [CrossRef]
- Takeuchi, T.; Ida, M.; Yamada, S.; Suzuki, K. Estimation of cumulative deformation capacity of buckling restrained braces. J. Struct. Eng. 2008, 134, 822–831. [Google Scholar] [CrossRef]
- Takeuchi, T.; Ozaki, H.; Matsui, R.; Sutoh, F. Out-of-plane stability of buckling-restrained braces including moment transfer capacity. Earthq. Eng. Struct. Dyn. 2014, 43, 851–869. [Google Scholar] [CrossRef]
- Architectural Instutite of Japan (AIJ). Recommended Provisions for Seismic Damping Systems Applied to Steel Structures; Maruzen Publishing Co., Ltd.: Tokyo, Japan, 2014. (In Japanese) [Google Scholar]
- American Instutite of Steel Construction (AISC). Seismic Provisions for Structural Steel Buildings; American Instutite of Steel Construction (AISC): Chicago, IL, USA, 2016. [Google Scholar]
- Kasai, K.; Fu, Y.; Watanabe, A. Passive control systems for seismic damage mitigation. J. Struct. Eng. 1998, 124, 501–512. [Google Scholar] [CrossRef]
- Kimura, Y.; Suzuki, A.; Kasai, K. Estimation of plastic deformation capacity for H-shaped beams on local buckling under compressive and tensile forces. J. Struct. Constr. Eng. (Trans. AIJ) 2016, 81, 2133–2142. (In Japanese) [Google Scholar] [CrossRef]
- Suzuki, A.; Kimura, Y.; Kasai, K. Plastic deformation capacity of h-shaped beams collapse with combined buckling under reversed axial forces. J. Struct. Constr. Eng. (Trans. AIJ) 2018, 83, 297–307. (In Japanese) [Google Scholar] [CrossRef]
- Suzuki, A.; Kimura, Y.; Kasai, K. Rotation capacity of I-shaped beams under alternating axial forces based on buckling-mode transitions. J. Struct. Eng. 2020, 146, 04020089. [Google Scholar] [CrossRef]
- Kimura, Y.; Fujak, M.S.; Suzuki, A. Elastic local buckling strength of I-beam cantilevers subjected to bending moment and shear force based on flange–web interaction. Thin-Walled Struct. 2021, 162, 107633. [Google Scholar] [CrossRef]
- Kimura, Y.; Sato, Y.; Suzuki, A. Effect of fork restraint of column on lateral buckling behavior for H-shaped steel beams with continuous braces under flexural moment gradient. J. Struct. Constr. Eng. (Trans. AIJ) 2022, 87, 316–327. (In Japanese) [Google Scholar] [CrossRef]
- Fujak, M.S.; Kimura, Y.; Suzuki, A. Estimation of elastoplastic local buckling capacities and novel classification of I-beams based on beam’s elastic local buckling strength. Structures 2022, 39, 765–781. [Google Scholar] [CrossRef]
- Suzuki, A.; Kimura, Y. Rotation capacity of I-shaped beam failed by local buckling in buckling-restrained braced frames with rigid beam-column connections. J. Struct. Eng. 2023, 149, 04022243. [Google Scholar] [CrossRef]
- Fujak, M.S.; Suzuki, A.; Kimura, Y. Estimation of ultimate capacities of moment-resisting frame’s subassemblies with mid-story pin connection based on elastoplastic local buckling. Structures 2023, 48, 410–426. [Google Scholar] [CrossRef]
- Suzuki, A.; Kimura, Y.; Matsuda, Y.; Kasai, K. Rotation capacity of I-shaped beams with concrete slab in buckling-restrained braced frames. J. Struct. Eng. 2024, 150, 04023204. [Google Scholar] [CrossRef]
- Suzuki, A.; Kimura, Y. Rotation capacity of I-beams under cyclic loading with different kinematic/isotropic hardening characteristics. J. Constr. Steel Res. 2024, 223, 109007. [Google Scholar] [CrossRef]
- Aiken, I.D.; Mahin, S.A.; Uriz, P. Large-scale testing of buckling restrained braced frames. In Proceedings of the Japan Passive Control Symposium; Tokyo Institute of Technology: Tokyo, Japan, 2002. [Google Scholar]
- Berman, J.W.; Bruneau, M. Cyclic testing of a buckling restrained braced frame with unconstrained gusset connections. J. Struct. Eng. 2009, 135, 1499–1510. [Google Scholar] [CrossRef]
- Fahnestock, L.A.; Sause, R.; Ricles, J.M. Seismic response anad performance of buckling-restrained braced frames. J. Struct. Eng. 2007, 133, 1195–1204. [Google Scholar] [CrossRef]
- Hsiao, P.C.; Lehman, D.E.; Roeder, C.W. Improved analytical model for special concentrically braced frames. J. Constr. Steel Res. 2012, 73, 80–94. [Google Scholar] [CrossRef]
- Jia, M.; Lu, D.; Guo, L.; Sub, L. Experimental research and cyclic behavior of buckling-restrained braced composite frame. J. Constr. Steel Res. 2014, 95, 90–105. [Google Scholar] [CrossRef]
- Lin, P.C.; Tsai, K.C.; Wang, K.J.; Yu, Y.J.; Wei, C.Y.; Wu, A.C.; Tsai, C.Y.; Lin, C.H.; Chen, J.C.; Schellenberg, A.H.; et al. Seismic design and hybrid tests of a full-scale three-story buckling-restrained braced frame using welded end connections and thin profile. Earthq. Eng. Struct. Dyn. 2012, 41, 1001–1020. [Google Scholar] [CrossRef]
- Mcmanus, P.S.; Maxmahon, A.; Puckett, J. Buckling restrained braced frame with all-bolted gusset connections. Eng. J. 2013, 50, 89–116. [Google Scholar] [CrossRef]
- Palmer, K.D.; Christopulos, A.S.; Lehman, D.E.; Roeder, C.W. Experimental evaluation of cyclically loaded, large-scale, planar and 3-D buckling restrained braced frames. J. Constr. Steel Res. 2014, 101, 415–425. [Google Scholar] [CrossRef]
- Qu, Z.; Xie, J.; Cao, Y.; Li, W.; Wang, T. Effect of strain rate on the hysteretic behavior of buckling-restrained braces. J. Struct. Eng. 2020, 146, 06019003. [Google Scholar] [CrossRef]
- Tsai, K.; Hsiao, K.P.; Wang, K.; Weng, Y.; Lin, M.; Lin, K.; Chen, C.; Lai, J.; Lin, S. Pseudo-dynamic tests of a full-scale CFT/BRB frame—Part I: Specimen design, experiment and analysis. Earthq. Eng. Struct. Dyn. 2008, 37, 1081–1098. [Google Scholar] [CrossRef]
- Tsai, K.; Hsiao, P. Pseudo-dynamic test of a full scale CFT/BRB frame–Part II: Seismic performance of buckling-restrained braces and connections. Earthq. Eng. Struct. Dyn. 2008, 37, 1099–1115. [Google Scholar] [CrossRef]
- Ozkilic, Y.O.; Bozkurt, M.B.; Topkaya, C. Evaluation of seismic response factors for BRBFs using FEMA P695 methodology. J. Constr. Steel Res. 2018, 151, 41–57. [Google Scholar] [CrossRef]
- Ozkilic, Y.O.; Bozkurt, M.B.; Topkaya, C. Mid-spliced end-plated replaceable links for eccentrically braced frames. Eng. Struct. 2021, 237, 112225. [Google Scholar] [CrossRef]
- Ozkilic, Y.O.; Bozkurt, M.B. Numerical validation on novel replaceable reduced beam section connections for moment-resisting frames. Structures 2023, 50, 63–79. [Google Scholar] [CrossRef]
- Lignos, D.G.; Krawinkler, H. Development and utilization of structural component databases for performance-based earthquake engineering. J. Struct. Eng. 2013, 139, 1382–1394. [Google Scholar] [CrossRef]
- Chenouda, M.; Ayoub, A. Probabilistic collapse analysis of degrading Multi Degree of Freedom structures under earthquake excitation. Eng. Struct. 2009, 31, 2909–2921. [Google Scholar] [CrossRef]
- Scozzese, F.; Tubaldi, E.; Dall’Asta, A. Assessment of the effectiveness of multiple-stripe analysis by using a stochastic earthquake input model. Bull. Earthq. Eng. 2020, 18, 3167–3203. [Google Scholar] [CrossRef]
- Bradley, C.R.; Fahnestock, L.A.; Hine, E.M.; Sizemore, J.G. Full-scale cyclilc testing of low-ductility concentrically braced frames. J. Struct. Eng. 2017, 143, 04017029. [Google Scholar] [CrossRef]
- Chida, H.; Takahashi, N. Study on image diagnosis of timber houses damaged by earthquake using deep learning. Jpn. Archit. Rev. 2021, 4, 420–430. [Google Scholar] [CrossRef]
- Chang, P.C.; Flatau, A.; Liu, S.C. Review paper: Health monitoring of civil infrastructure. Struct. Health Monit. 2003, 2, 257–267. [Google Scholar] [CrossRef]
- Carden, E.P.; Fanning, P. Vibration based condition monitoring: A review. Struct. Health Monit. 2004, 3, 355–377. [Google Scholar] [CrossRef]
- Ji, X.; Fenves, G.L.; Kajiwara, K.; Nakashima, M. Seismic damage detection of a full-scale shaking table test structure. J. Struct. Eng. 2011, 137, 14–21. [Google Scholar] [CrossRef]
- Okada, K.; Shiroishi, R.; Morii, Y.; Sagawa, R. Method of structural health monitoring after earthquake using limited accelerometer—Case study of large-scale shaking table test on six story RC building. Concr. J. 2017, 55, 138–145. (In Japanese) [Google Scholar] [CrossRef]
- Gislason, G.P.; Mei, Q.; Gul, M. Rapid and automated damage detection in buildings through ARMAX analysis of wind induced vibrations. Front. Built Environ. 2019, 5, 16. [Google Scholar] [CrossRef]
- Alampalli, S.; Fu, G.; Dillon, E.W. Signal versus noise in damage detection by experimental modal analysis. J. Struct. Eng. 1997, 123, 237–245. [Google Scholar] [CrossRef]
- Ju, M.; Dou, Z.; Li, J.; Qiu, X.; Shen, B.; Zhang, S.; Yao, F.; Gong, W.; Wang, K. Piezoelectric materials and sensors for structural health monitoring: Fundamental aspects, current status, future perspectives. Sensors 2023, 23, 543. [Google Scholar] [CrossRef]
- Kishiki, S.; Iwasaki, Y. Evaluation of residual strength based on local buckling deformation of steel column—Quick inspection method for steel structures based on the visible damage Part 3. J. Struct. Constr. Eng. (Trans. AIJ) 2017, 82, 735–743. (In Japanese) [Google Scholar] [CrossRef]
- Gong, F.; Maekawa, K. Multi-scale simulation of freeze-thaw damage to RC column and its restoring force characteristics. Eng. Struct. 2018, 156, 522–536. [Google Scholar] [CrossRef]
- Gong, F.; Wang, Z.; Xia, J.; Maekawa, K. Coupled thermos-hydro-mechanical analysis of reinforced concrete beams under the effect of frost damage and sustained load. Struct. Concr. 2021, 22, 3430–3445. [Google Scholar] [CrossRef]
- Shimoi, N.; Nishida, T.; Obata, A.; Nakasho, K.; Cuadra, C. Comparison of displacement measurements in an exposed type column base using piezoelectric vibration sensors and piezoelectric limit sensors. Akita Prefect. Univ. Web J. B 2019, 6, 27–36. [Google Scholar]
- Aabid, A.; Parveez, B.; Raheman, M.A.; Ibrahim, Y.E.; Anjum, A.; Hrairi, M.; Parveen, N.; Zayan, J.M. A review of piezoelectric material-based structural control and health monitoring techniques for engineering structures: Challenges and opportunities. Actuators 2021, 10, 101. [Google Scholar] [CrossRef]
- Harada, T.; Yokoyama, K.; Tanabe, K. Study of crack detection of civil infrastructure using PVDF film sensor. J. Struct. Eng. 2013, 59A, 47–55. [Google Scholar]
- Shimoi, N.; Cuadra, C.; Madokoro, H.; Nakasho, K. Comparison of displacement measurements and simulation on fillet weld of steel column base. Int. J. Mech. Eng. Appl. 2020, 8, 111–117. [Google Scholar] [CrossRef]
- Suzuki, A.; Liao, W.; Shibata, D.; Yoshino, Y.; Kimura, Y.; Shimoi, N. Structural damage detection technique of secondary building components using piezoelectric sensors. Buildings 2023, 13, 2368. [Google Scholar] [CrossRef]
- Matsumoto, Y.; Yamada, S.; Iyama, J.; Koyama, T.; Kishiki, S.; Shimada, Y.; Asada, H.; Ikenaga, M. Damage to steel educational facilities in the 2011 East Japan Earthquake: Part 1 Outline of the reconnaissance and damage to major structural components. In Proceedings of the 15th World Conference on Earthquake Engineering, Lisbon, Portugal, 24–28 September 2012. [Google Scholar]
- Suzuki, A.; Fujita, T.; Kimura, Y. Identifying damage mechanisms of gymnasium structure damaged by the 2011 Tohoku earthquake based on biaxial excitation. Structures 2022, 35, 1321–1338. [Google Scholar] [CrossRef]
- Kaneko, M.; Hayashi, Y. Proposal of a curve to describe overturning ratios of rigid bodies. J. Struct. Constr. Eng. (Trans. AIJ) 2000, 536, 55–62. (In Japanese) [Google Scholar] [CrossRef]
- Kaneko, M. Method to estimate overturning ratios of furniture during earthquakes. J. Struct. Constr. Eng. (Trans. AIJ) 2002, 551, 61–68. (In Japanese) [Google Scholar] [CrossRef]
- Zhang, J.; Makris, N. Rocking response of free-standing blocks under cycloidal pulses. J. Eng. Mech. 2001, 127, 473–483. [Google Scholar] [CrossRef]
- Kounadis, A.N. Parametric study in rocking instability of a rigid block under harmonic ground pulse: A unified approach. Soil Dyn. Earthq. Eng. 2013, 45, 125–143. [Google Scholar] [CrossRef]
- Vassiliou, M.F.; Mackie, K.R.; Stojadinovic, B. Dynamic response analysis of solitary flexible rocking bodies: Modeling and behavior under pulse-like ground excitation. Earthq. Eng. Struct. Dyn. 2014, 43, 1463–1481. [Google Scholar] [CrossRef]
- Fragiadakis, M.; Diamantopoulos, S. Fragility and risk assessment of freestanding building contents. Earthq. Eng. Struct. Dyn. 2020, 49, 1028–1048. [Google Scholar] [CrossRef]
- Avgenakis, E.; Psycharis, I. An integrated macroelement formulation for the dynamic response of inelastic deformable rocking bodies. Earthq. Eng. Struct. Dyn. 2020, 49, 1072–1094. [Google Scholar] [CrossRef]
- Egidio, A.D.; Leo, A.M. Improvement of the dynamic and seismic response of non-structural rocking bodies through the ability to change their geometrical configuration. Eng. Struct. 2023, 275, 115231. [Google Scholar] [CrossRef]
- Saito, K.; Higuchi, T.; Nakazawa, S. Study of seismic risk evaluation consideration of overturning furniture for middle and low-rise buildings such as office buildings. Steel Constr. Eng. 2016, 23, 77–88. (In Japanese) [Google Scholar]
- Ishikawa, Y.; Takeda, M.; Okumura, T.; Hayashi, Y.; Kanegawa, S. Procedure for seismic risk evaluation of buildings. AIJ J. Technol. Des. 2000, 6, 275–278. (In Japanese) [Google Scholar] [CrossRef]
- Elkady, A.; Lignos, S.G. Effect of gravity framing on the overstrength and collapse capacity of steel frame buildings with perimeter special moment frames. Earthq. Eng. Struct. Dyn. 2015, 44, 1289–1307. [Google Scholar] [CrossRef]
- Jisr, H.E.; Lignos, D.G. Fragility assessment of beam-slab connections for informing earthquake-induced repairs in composite-steel moment resisting frames. Front. Built Environ. 2021, 7, 691553. [Google Scholar]
- Jisr, H.E.; Kohrangi, M.; Lignos, D.G. Proposed nonlinear macro-model for seismic risk assessment of composite-steel moment resisting frames. Earthq. Eng. Struct. Dyn. 2022, 51, 1180–1200. [Google Scholar] [CrossRef]
- Paranonessso, M.; Lignos, D.G. Seismic design and performance of steel concentrically braced frames buildings with dissipative floor connectors. Earthq. Eng. Struct. Dyn. 2022, 51, 3505–3525. [Google Scholar] [CrossRef]
- Vamvatsikos, D.; Cornell, C.A. Incremental dynamic analysis. Earthq. Eng. Struct. Dyn. 2002, 31, 491–514. [Google Scholar] [CrossRef]
- Eads, L.; Miranda, E.; Krawinkler, H.; Lignos, D. An efficient method for estimating the collapse risk of structures in seismic regions. Earthq. Eng. Struct. Dyn. 2013, 42, 25–41. [Google Scholar] [CrossRef]
- Deylami, A.; Mahdavipour, M.A. Probabilistic seismic demand assessment of residual drift for buckling-restrained braced frames as a dual system. Struct. Saf. 2016, 58, 31–39. [Google Scholar] [CrossRef]
- Architectural Instutite of Japan (AIJ). AIJ Standard for Allowable Stress Design of Steel Structures; Maruzen Publishing Co., Ltd.: Tokyo, Japan, 2019. (In Japanese) [Google Scholar]
- European Committee for Standardization (CEN). Design of Structures for Earthquake Resistance—Part I: General Rules, Seismic Actions and Rules for Buildings. Eurocode 8. 2003. CEN. Available online: https://www.confinedmasonry.org/wp-content/uploads/2009/09/Eurocode-8-1-Earthquakes-general.pdf (accessed on 4 October 2024). Eurocode 8, CEN..
- Architectural Instutite of Japan (AIJ). Recommendations for Loads on Buildings; Maruzen Publishing Co., Ltd.: Tokyo, Japan, 2015. (In Japanese) [Google Scholar]
- Dassault Systems. Simulia User Assistance 2024; Dassault Systems: Vélizy-Villacoublay, France, 2024. [Google Scholar]
- Architectural Instutite of Japan (AIJ). Design Recommendations for Composite Constructions; Maruzen Publishing Co., Ltd.: Tokyo, Japan, 2010. (In Japanese) [Google Scholar]
- Suzuki, A.; Kimura, Y. Cyclic behavior of component model of composite beam subjected to fully reversed cyclic loading. J. Struct. Eng. 2019, 145, 04019015. [Google Scholar] [CrossRef]
- Suzuki, A.; Abe, K.; Kimura, Y. Restraint performance of stud connection during lateral-torsional buckling under synchronized in-plane displacement and out-of-plane rotation. J. Struct. Eng. 2020, 146, 04020029. [Google Scholar] [CrossRef]
- Suzuki, A.; Abe, K.; Suzuki, K.; Kimura, Y. Cyclic behavior of perfobond shear connectors subjected to fully reversed cyclic loading. J. Struct. Eng. 2021, 147, 04020355. [Google Scholar] [CrossRef]
- Suzuki, A.; Suzuki, K.; Kimura, Y. Ultimate shear strength of perfobond shear connectors subjected to fully reversed cyclic loading. Eng. Struct. 2021, 248, 113240. [Google Scholar] [CrossRef]
- Suzuki, A.; Kimura, Y. Mechanical performance of stud connection in steel–concrete composite beam under reversed stress. Eng. Struct. 2021, 249, 113338. [Google Scholar] [CrossRef]
- Suzuki, A.; Hiraga, K.; Kimura, Y. Cyclic behavior of steel-concrete composite dowel by clothoid-shaped shear connectors under fully reversed cyclic stress. J. Adv. Concr. Technol. 2023, 21, 76–91. [Google Scholar] [CrossRef]
- Suzuki, A.; Hiraga, K.; Kimura, Y. Mechanical performance of puzzle-shaped shear connectors subjected to fully reversed cyclic stress. J. Struct. Eng. 2023, 149, 04023087. [Google Scholar] [CrossRef]
- Suzuki, A.; Hiraga, K.; Kimura, Y.; Takahashi, J.; Kikuchi, K. Evaluation of superiority mechanical shear connectors based on flexural stiffness of composite beam. AIJ J. Technol. Des. 2024, 30, 154–159. (In Japanese) [Google Scholar] [CrossRef]
- Ollgaard, J.G.; Slutter, R.G.; Fisher, J.W. Shear strength of stud connectors in lightweight and normal weight concrete. AISC Eng. J. 1971, 71, 55–64. [Google Scholar] [CrossRef]
- Hawkins, N.M.; Mitchell, D. Seismic response of composite shear connections. J. Struct. Eng. 1984, 110, 2120–2136. [Google Scholar] [CrossRef]
- Oehlers, D.J. Deterioration in strength of stud connectors in composite bridge beams. J. Struct. Eng. 1990, 116, 3417–3431. [Google Scholar] [CrossRef]
- Bursi, O.S.; Gramola, G. Behaviour of headed stud shear connectors under low-cycle high amplitude displacements. Mater. Struct. 1999, 32, 290–297. [Google Scholar] [CrossRef]
- Lin, W.; Yoda, T.; Taniguchi, N. Fatigue tests on straight steel-concrete composite beams subjected to hogging moment. J. Constr. Steel Res. 2013, 80, 42–56. [Google Scholar] [CrossRef]
- Lin, W.; Yoda, T.; Taniguchi, N.; Kasano, H.; He, J. Mechanical performance of steel-concrete composite beams subjected to a hogging moment. J. Struct. Eng. 2014, 140, 04013031. [Google Scholar] [CrossRef]
- Song, A.; Wan, S.; Jiang, Z.; Xu, J. Residual deflection analysis in negative moment regions of steel-concrete composite beams under fatigue loading. Constr. Build. Mater. 2018, 158, 50–60. [Google Scholar] [CrossRef]
- Japan Society of Civil Engineers (JSCE). Standard Specification for Hybrid Structures–2014; Maruzen Publishing Co., Ltd.: Tokyo, Japan, 2015. [Google Scholar]
- Oguejiofor, E.C.; Hosain, M.U. Behavior of perfobond rib shear connectors in composite beams. Can. J. Civ. Eng. 1992, 19, 1–10. [Google Scholar] [CrossRef]
- Oguejiofor, E.C.; Hosain, M.U. Numerical analysis of pushout specimens with perfobond rib connectors. Comput. Struct. 1997, 62, 617–624. [Google Scholar] [CrossRef]
- Kim, S.H.; Kim, K.S.; Park, S.; Ahn, J.H.; Lee, M.K. Y-type perfobond rib shear connectors subjected to fatigue loading on highway bridges. J. Constr. Steel Res. 2016, 122, 445–454. [Google Scholar] [CrossRef]
- Kim, S.H.; Kim, K.S.; Han, O.; Park, J.S. Influence of transverse rebar on shear behavior of Y-type perfobond rib shear connection. Constr. Build. Mater. 2018, 180, 254–264. [Google Scholar] [CrossRef]
- Kim, S.H.; Batbold, T.; Shah, S.H.A.; Yoon, S.; Han, O. Development of shear resistance formula for the Y-type perfobond rib shear connector considering probabilistic characteristics. Appl. Sci. 2021, 11, 3877. [Google Scholar] [CrossRef]
- Tanaka, T.; Sakai, J.; Kawano, A. Development of new mechanical shear connector using burring steel plate. J. Struct. Constr. Eng. (Trans. AIJ) 2013, 78, 2237–2245. [Google Scholar] [CrossRef][Green Version]
- Tanaka, T.; Sakai, J.; Kawano, A. Experimental study on elastic-plastic flexural behavior of composite beam by burring shear connector and perfobond-rib shear connector. Steel Constr. Eng. 2014, 21, 111–123. [Google Scholar]
- Tanaka, T.; Norimatsu, K.; Sakai, J.; Kawano, A. Development of innovative shear connector in steel-concrete joint and establishment of rational design method. Proc. Jpn. Concr. Inst. 2013, 35, 1237–1242. [Google Scholar]
- Lorenc, W.; Kozuch, M.; Rowinski, S. The behaviour of puzzle-shaped composite dowels—Part I: Experimental study. J. Constr. Steel Res. 2014, 101, 482–499. [Google Scholar] [CrossRef]
- Lorenc, W.; Kozuch, M.; Rowinski, S. The behaviour of puzzle-shaped composite dowels—Part II: Theoretical investigations. J. Constr. Steel Res. 2014, 101, 500–518. [Google Scholar] [CrossRef]
- Kopp, M.; Wolters, K.; Classen, M.; Hegger, J.; Gundel, M.; Gallwoszus, J.; Heinemeyer, S.; Feldmann, M. Composite dowels as shear connectors for composite beams—Background to the design concept for static loading. J. Constr. Steel Res. 2018, 147, 488–503. [Google Scholar] [CrossRef]
- Lorenc, W. Concrete failure of composite dowels under cyclic loading during full-scale tests of beams for the “Wierna Rzeka” bridge. Eng. Struct. 2020, 209, 110199. [Google Scholar] [CrossRef]
- Classen, M.; Hegger, J. Shear-slip behaviour and ductility of composite dowel connectors with pry-out failure. Eng. Struct. 2017, 150, 428–437. [Google Scholar] [CrossRef]
- Lorenc, W.; Kurz, W.; Seidl, G. Hybrid steel-concrete sections for bridges: Definition and basis for design. Eng. Struct. 2022, 270, 114902. [Google Scholar] [CrossRef]
- Christou, G.; Hegger, J.; Classen, M. Fatigue of clothoid shaped rib shear connectors. J. Constr. Steel Res. 2020, 171, 106133. [Google Scholar] [CrossRef]
- Classen, M.; Gallwoszus, J. Concrete fatigue in composite dowels. Struct. Concr. 2016, 17, 63–73. [Google Scholar] [CrossRef]
- Classen, M.; Gallwoszus, J.; Stark, A. Anchorage of composite dowels in UHPC under fatigue loading. Struct. Concr. 2016, 17, 183–193. [Google Scholar] [CrossRef]
- Kim, H.Y.; Jeong, Y.J. Experimental investigation on behaviour of steel-concrete composite bridge decks with perfobond ribs. J. Constr. Steel Res. 2006, 62, 463–471. [Google Scholar] [CrossRef]
- Christou, G.; Classen, M.; Wolters, K.; Broschart, Y. Fatigue of composite constructions with composite dowels. In Proceedings of the 14th Nordic Steel Construction Conference, Copenhagen, Denmark, 18–20 September 2019; pp. 277–282. [Google Scholar]
- Kopp, M.; Christou, G.; Stark, A.; Hegger, J.; Feldmann, M. Integrated slab system for the steel and composite construction. Bauingenieur 2018, 87, 136–148. [Google Scholar]
- Japan Society of Steel Construction (JSSC). Guideline of Standard Push-Out Tests of Headed Stud and Current Situation of Research on Stud Shear Connectors; Japan Society of Steel Construction (JSSC): Tokyo, Japan, 1996. [Google Scholar]
- Ahmed, S.E. Ultimate Shear Resistance of Plate Girders Part 2—Hoglund Theory. Int. J. Civ. Environ. Eng. 2013, 7, 918–926. [Google Scholar]
- Alinia, M.M.; Shakiba, M.; Habashi, H.R. Shear Failure Characteristics of Steel Plate Girders. Thin-Walled Struct. 2009, 47, 1498–1506. [Google Scholar] [CrossRef]
- Anthimos, A.; Marius, M.; Victor, G. Prediction of available rotation capacity and ductility of wide-flange beams part 2 applications. J. Constr. Steel Res. 2012, 68, 176–191. [Google Scholar]
- Basler, K. Strength of plate girders in shear. J. Struct. Div. 1961, 87, 151–180. [Google Scholar] [CrossRef]
- Cheng, X.; Chen, Y.; Pan, L. Experimental study of steel beam-columns composed of slender H-sections under cyclic bending. J. Constr. Steel Res. 2013, 88, 279–288. [Google Scholar] [CrossRef]
- Elkady, A.; Lignos, D.G. Full-scale testing of deep wide-flange steel columns under multiaxis cyclic loading. J. Struct. Eng. 2018, 144, 2018. [Google Scholar] [CrossRef]
- Gioncu, V.; Marius, M.; Anthimos, A. Prediction of available rotation capacity and ductility of wide-flange beams part 1 DUCTROT-M computer program. J. Constr. Steel Res. 2012, 69, 8–19. [Google Scholar] [CrossRef]
- Glassman, D.J.; Garlock, M.E. A compression model for ultimate postbuckling shear strength. Thin-Walled Struct. 2016, 102, 258–272. [Google Scholar] [CrossRef]
- Gulen, O.; Harris, J.; Uang, C. Observations from cyclic tests on deep, wide-flange beam-columns. Eng. J. 2017, 54, 45–59. [Google Scholar]
- Hanna, M.T. Failure loads of web panels loaded in pure shear. J. Constr. Steel Res. 2015, 105, 39–48. [Google Scholar] [CrossRef]
- Ikarashi, K.; Suekuni, R.; Shinohara, T.; Wang, T. Evaluation of plastic deformation capacity of H-shaped steel beams with newly proposed limitation value of plate slenderness. J. Struct. Constr. Eng. (Trans. AIJ) 2011, 76, 1865–1872. (In Japanese) [Google Scholar] [CrossRef]
- Kasai, K.; Popov, E.P. General behavior of WF steel shear link beams. J. Struct. Eng. 1986, 112, 362–382. [Google Scholar] [CrossRef]
- Kasai, K.; Popov, E.P. Cyclic Web Buckling Control for Shear Link Beams. J. Struct. Eng. 1986, 112, 505–523. [Google Scholar] [CrossRef]
- Kato, B. Rotation capacity of H-section members as determined by local buckling. J. Constr. Steel Res. 1989, 13, 95–109. [Google Scholar] [CrossRef]
- Lee, C.S.; Davidson, J.S.; Yoo, C.H. Shear buckling coefficients of plate girder web panels. Comput. Struct. 1996, 59, 789–795. [Google Scholar] [CrossRef]
- Lee, C.D.; Lee, D.; Yoo, C.H. Flexure and Shear Interaction in Steel I-girders. J. Struct. Eng. 2013, 139, 1882–1894. [Google Scholar] [CrossRef]
- MacRae, G.A. The Seismic Response of Steel Frames. Ph.D. Thesis, University of Canterbury, Christchurch, New Zealand, 1999. [Google Scholar]
- Miguel, A.; Luis, M.; Jose, M.C. Evaluation of the rotation capacity limits of steel members defined in EC8-3. J. Constr. Steel Res. 2017, 135, 11–29. [Google Scholar]
- Nakashima, M.; Takanashi, K.; Kato, H. Test of steel beam-columns subject to sidesway. J. Struct. Eng. 1990, 116, 2516–2531. [Google Scholar] [CrossRef]
- Nowell, J.D.; Uang, C. Cyclic behavior of steel wide-flange columns subjected to large drift. J. Struct. Eng. 2008, 134, 1334–1342. [Google Scholar] [CrossRef]
- Shahabedding, T.; Schafer, B.W. Role of local slenderness in the rotation capacity of structural steel members. J. Constr. Steel Res. 2014, 95, 32–43. [Google Scholar]
- Shokouhian, M.; Shi, Y. Classification of I-section flexural members based on member ductility. J. Constr. Steel Res. 2014, 95, 198–210. [Google Scholar] [CrossRef]
- Suzuki, T.; Ikarashi, K.; Tsuneki, Y. A study of collapse mode and plastic deformation capacity of H-shaped steel beams under shear bending. J. Struct. Constr. Eng. (Trans. AIJ) 2001, 547, 185–191. (In Japanese) [Google Scholar] [CrossRef]
- Torsten, H. Simply supported long thin plate I-girders without web stiffeners subjected to distributed transverse load. IABSE Rep. Work. Comm. 1971, 85–97. [Google Scholar]
- Torsten, H. Shear buckling resistance of steel and aluminium plate girders. Thin-Walled Struct. 1997, 29, 13–30. [Google Scholar]
- Wael, F.R. Local buckling of welded steel I-beams considering flange–web interaction. Thin-Walled Struct. 2015, 97, 241–249. [Google Scholar]
- Yiyi, C.; Xin, C.; Nethercot, N.D.A. An overview study on cross-section classification of steel H-sections. J. Constr. Steel Res. 2013, 80, 386–393. [Google Scholar]
- The Headquarters for Earthquake Research Promotion. National Seismic Hazard Map for Japan. Available online: https://www.jishin.go.jp/evaluation/seismic_hazard_map/ (accessed on 5 September 2024).
- Japan Seismic Hazard Information Station (J-SHIS). Available online: https://www.j-shis.bosai.go.jp/ (accessed on 5 September 2024).
- Kamae, K.; Irikura, K. Prediction of site-specific strong ground motion using semi-empirical methods. In Proceeding of the 10th World Conference on Earthquake Engineering, Madrid, Spain, 19–24 July 1992; pp. 801–806. [Google Scholar]
- Boore, D.M. Stochastic simulation of high-frequency ground motions based on seismological models of the radiated spectra. Bull. Seismol. Soc. Am. 1983, 73, 1865–1984. [Google Scholar]
- Satoh, T.; Kawase, H.; Sato, T. Statistical spectral model of earthquakes in the eastern Tohoku district, Japan, based on the surface and borehole records observed in Sendai. Bull. Seismol. Soc. Am. 1997, 87, 446–462. [Google Scholar] [CrossRef]
- Sendai City. A distribution map of seismic intensity in JMA in the expected off Miyagi earthquake. Investig. Rep. Earthq. Damage Estim. 2002. [Google Scholar]
- Ohsaki, Y.; Hara, A.; Kiyota, Y. Stress-strain model for soils for seismic analysis. In Proceedings of the 5th Japan Earthquake Engineering Symposium, Tokyo, Japan, 28–30 November 1978; pp. 697–704. [Google Scholar]
- Fujiwara, H.; Morikawa, N.; Maeda, T.; Iwaki, A.; Senna, S.; Kawai, S.; Azuma, H.; Xiansheng, K.H.; Imoto, M.; Wakamatsu, K.; et al. Improved Hazard Assessment after the 2011 Great East Japan Earthquake (Part 2); National Research Institute for Earth Science and Disaster Resilience: Tsukuba, Japan, 2023. (In Japanese) [Google Scholar]
- Subcommittee on Strong Motion Evaluation of the Earthquake Research Committee. Seismic Hazard of Response Spectra (Prototype Version); National Research Institute for Earth Science and Disaster Resilience: Tsukuba, Japan. Available online: https://www.jishin.go.jp/evaluation/seismic_hazard_map/sh_response_spectrum/ (accessed on 4 October 2024). (In Japanese).
- Bantilas, K.E.; Naoum, M.C.; Kavvadias, I.E.; Karayannis, C.G.; Elenas, A. Structural pounding effect on the seismic performance of a multistorey reinforced concrete frame structure. Infrastructures 2023, 8, 122. [Google Scholar] [CrossRef]
- Garcia, J.R.; Miranda, E. Performance-Based Assessment of Existing Structures Accounting for Residual Displacements; Stanford University: Stanford, CA, USA, 2005. [Google Scholar]

















| Θt | 1/120 rad | 1/150 rad | 1/200 rad | 1/200 rad | 1/200 rad | ||||||
|---|---|---|---|---|---|---|---|---|---|---|---|
| γIag | 3.0 m/s2 | 3.0 m/2 | 3.0 m/s2 | 3.6 m/s2 | 4.2 m/s2 | ||||||
| Story | Kfi | Kai | Fai | Kai | Fai | Kai | Fai | Kai | Fai | Kai | Fai |
| R | 194.5 | — | — | — | — | — | — | 90.00 | 450.2 | 249.2 | 1246 |
| 4 | 249.2 | — | — | 2.800 | 18.60 | 186.2 | 936.9 | 378.8 | 1906 | 631.1 | 3175 |
| 3 | 323.1 | — | — | 32.20 | 216.1 | 275.2 | 1385 | 530.4 | 2669 | 864.6 | 4350 |
| 2 | 211.8 | 198.5 | 2253 | 270.2 | 2556 | 475.2 | 3371 | 690.5 | 4898 | 972.4 | 6898 |
| Type | B [mm] | H [mm] | Fb [Hz] | ![]() |
| I (low) | 45.0 | 120 | 0.883 | |
| II (medium) | 45.0 | 150 | 0.859 | |
| III (tall) | 45.0 | 200 | 0.814 |
| Site | Longitude | Latitude | Case | Direction | PGA | PGV |
|---|---|---|---|---|---|---|
| Aobayama | 38°15′18″ N | 140°50′18″ E | Case 1 | NS | 7.77 | 0.64 |
| EW | 6.55 | 0.58 | ||||
| Case2 | NS | 10.1 | 0.65 | |||
| EW | 11.3 | 1.64 | ||||
| Katahira | 38°15′14″ N | 140°52′26″ E | Case 1 | NS | 4.27 | 0.51 |
| EW | 4.48 | 0.43 | ||||
| Case2 | NS | 6.23 | 0.48 | |||
| EW | 6.42 | 1.21 | ||||
| Nagamachi | 38°13′26″ N | 140°52′49″ E | Case 1 | NS | 5.63 | 0.54 |
| EW | 5.25 | 0.52 | ||||
| Case2 | NS | 6.71 | 0.73 | |||
| EW | 5.89 | 1.32 |
| Location | J-SHIS Mesh Code | Longitude | Latitude | Elevation |
|---|---|---|---|---|
| Hokkaido | 6441427814 | 43.0615 N | 141.3547 E | 21 m |
| Miyagi | 5740362921 | 38.2677 N | 140.8703 E | 46 m |
| Tokyo | 5339452532 | 35.6885 N | 139.6922 E | 38 m |
| Ishikawa | 5436657223 | 36.5615 N | 136.6578 E | 27 m |
| Aichi | 5236671243 | 35.1823 N | 136.9078 E | 10 m |
| Hyogo | 5235012543 | 34.6906 N | 135.1953 E | 6 m |
| Hiroshima | 5132436612 | 34.3844 N | 132.4547 E | 2 m |
| Kumamoto | 4930156623 | 32.8031 N | 130.7078 E | 13 m |
Disclaimer/Publisher’s Note: The statements, opinions and data contained in all publications are solely those of the individual author(s) and contributor(s) and not of MDPI and/or the editor(s). MDPI and/or the editor(s) disclaim responsibility for any injury to people or property resulting from any ideas, methods, instructions or products referred to in the content. |
© 2024 by the authors. Licensee MDPI, Basel, Switzerland. This article is an open access article distributed under the terms and conditions of the Creative Commons Attribution (CC BY) license (https://creativecommons.org/licenses/by/4.0/).
Share and Cite
Suzuki, A.; Ohno, S.; Kimura, Y. Risk Assessment of Overturning of Freestanding Non-Structural Building Contents in Buckling-Restrained Braced Frames. Buildings 2024, 14, 3195. https://doi.org/10.3390/buildings14103195
Suzuki A, Ohno S, Kimura Y. Risk Assessment of Overturning of Freestanding Non-Structural Building Contents in Buckling-Restrained Braced Frames. Buildings. 2024; 14(10):3195. https://doi.org/10.3390/buildings14103195
Chicago/Turabian StyleSuzuki, Atsushi, Susumu Ohno, and Yoshihiro Kimura. 2024. "Risk Assessment of Overturning of Freestanding Non-Structural Building Contents in Buckling-Restrained Braced Frames" Buildings 14, no. 10: 3195. https://doi.org/10.3390/buildings14103195
APA StyleSuzuki, A., Ohno, S., & Kimura, Y. (2024). Risk Assessment of Overturning of Freestanding Non-Structural Building Contents in Buckling-Restrained Braced Frames. Buildings, 14(10), 3195. https://doi.org/10.3390/buildings14103195


