Abstract
As eco-friendly complexes develop, interest in eco-friendly facilities is also growing. Particularly, rainwater harvesting facilities have demonstrated positive effects by reducing runoff to mitigate urban flooding and recycling water for landscaping and cleaning purposes. In this study, we analyzed the quality of stored rainwater, which has improved by excluding initial runoff, and examined the temperature reduction effects of road sprinkling and mist spraying. Road sprinkling decreased the temperature of asphalt and permeable pavements by approximately 15 °C, with permeable pavements maintaining the reduced temperature for a longer time. The indoor experiments with mist spraying showed a temperature reduction effect of 3.4 °C. The quality analysis of the rainwater harvesting facilities revealed that the water quality was suitable for irrigation and landscaping by excluding the initial runoff. This study confirms the effectiveness of rainwater utilization in mitigating urban heat islands and improving water circulation within cities.
1. Introduction
As interest in the creation of eco-friendly complexes increases, eco-friendly facilities are being introduced as specialized measures in most development zones. The eco-friendly facilities introduced in large-scale land development projects such as new towns are generally implemented by project developers as part of their specialized measures for the development zones, or they are installed based on the requirements of the central government and local municipalities during the permit process. Due to the nature of being implemented as specialized measures for development zones, these facilities are often large-scale, resulting in high installation costs and difficulties in operation and maintenance. Even after the completion of the facilities, local municipalities are often reluctant to take over the facilities due to the challenges associated with maintenance. After the transfer, many facilities are in disrepair due to the lack of proper maintenance, turning them into burdens rather than assets [1].
Among these, rainwater harvesting facilities, a representative eco-friendly facility, reduce urban flooding by mitigating runoff during rainfall events. When used for landscaping, they improve water circulation through infiltration into porous surfaces. When used for cleaning and road sprinkling, they create a more pleasant urban environment, offering many positive effects [2].
However, despite increasing public interest, relevant regulations, and the rising number of installed facilities, the operation and management of rainwater harvesting facilities are insufficient. Only about 7% (152 locations) of the facilities have properly collected measurement data to understand the usage status of the facilities [3].
It is over 10 years since the legislation mandating the installation of rainwater harvesting facilities was established, and installing such facilities during new construction has now become a common practice [4]. However, the technology and awareness regarding the collection and utilization of rainwater have not significantly improved. There are still trials and difficulties in constructing and maintaining rainwater harvesting facilities. During the construction process, unclear division of responsibilities among various tasks often causes confusion on site. In the maintenance process, there are frequent limitations in appropriate usage and frequent breakdowns of related equipment, leading to the restricted use of rainwater [2].
As mentioned above, despite public interest and institutional frameworks regarding rainwater utilization, there are practical limitations in using rainwater on site. Therefore, it is necessary to consider institutional improvements and diverse utilization methods for rainwater to promote its use.
Research on rainwater reuse has been progressing with global efforts to promote sustainable water management. Preliminary studies have examined the quality of rainwater to assess its suitability for reuse and have analyzed the effectiveness of rainwater in reducing temperatures. One of the critical factors in determining the quality of rainwater is the selection of roofing materials. Studies have shown that choosing appropriate materials, such as metal or concrete, is crucial for ensuring the safe and suitable collection of rainwater for various applications [5].
It has been reported that rainwater is not suitable for potable use. Although the zinc concentration in rainwater was below the WHO drinking water standards, it can be considered ideal for non-potable reuse. The water quality extracted from the first flush device is also not appropriate for drinking purposes but is more suitable for non-potable applications [6,7].
Rainwater management can mitigate heatwaves and reduce urban heat island effects. Utilizing rainwater enhances urban climate resilience and strengthens the ability to cope with extreme heat events [8].
In this study, we propose various applications of rainwater for mitigating heatwaves, such as surface sprinkling and mist spraying. We also examine strategies to improve water quality through quality testing and enhancement measures. These methods can contribute to reducing heatwaves and promoting water resource management, which ultimately supports sustainable urban development [9].
2. Methods
2.1. Rainwater Collection Method
The rainwater collection process refers to gathering rainwater from catchment surfaces, such as roofs to storage tanks. Essential considerations in this process include securing a large catchment area and treating the often highly polluted initial runoff to collect high-quality rainwater. Initial runoff is defined as the first 5 mm or more of rainfall at the beginning of a rain event, and methods for excluding this initial runoff include using flow meters, separators, and floats [10].
The method using flow meters involves connecting a flow meter(a) with an automatic valve to divert the initial runoff to initial runoff treatment facilities or general drainage systems, allowing relatively cleaner water that follows to be transported to the storage tanks. The method using separators takes advantage of the property that, during the initial stages of rainfall, a small amount of rainwater flows along the inner walls of the gutter(b) without flowing through the center of the downspout. The method using floats(c) involves installing an initial runoff diversion pipe at the front of the storage tank to divert a specific amount of initial runoff, and, when the float rises due to the diverted initial runoff, it blocks the inlet of the diversion pipe, allowing subsequent rainwater to be conveyed to the storage tank (Figure 1).
Figure 1.
Various initial runoff exclusion methods (subfigure (c) source: Ref [11]).
Therefore, in this study, the rainwater collection process involves excluding initial runoff using a float-based initial runoff exclusion method.
This method is easy to manufacture and install and does not require power. Additionally, the ease of replacement in wear has been considered for consumable parts.
2.2. Verification of On-Site Application of Rainwater Collection Facilities
A building was selected as a test bed (Table 1) to verify the on-site applicability of rainwater harvesting facilities. The objective is to analyze the method of excluding initial runoff and the quality of the rainwater runoff from the roof. Additionally, this study aims to explore ways to reuse this rainwater in buildings to mitigate heatwaves and improve water reuse in construction.
Table 1.
Overview of on-site test bed for rainwater harvesting facilities.
2.2.1. Test Bed Operation
When installing a rainwater harvesting facility, an important consideration is determining the catchment area and the corresponding capacity of the storage tank.
The catchment surface is the canopy installed on the building at the LH Land and Housing Research Institute located in Yuseong-gu, Daejeon, Republic of Korea.
The catchment area of the canopy was calculated to be 56.2 m2. With a rainfall amount of 50 mm considered the catchment target, the storage tank capacity was estimated to be 3 m3 (Figure 2).
Figure 2.
Catchment area of the test bed for building.
The objectives of operating this test bed were to evaluate the method of initial runoff treatment, analyze the water quality after excluding the initial runoff, and assess the heatwave mitigation effect when the stored rainwater is sprinkled on road and parking lot surfaces.
2.2.2. Exclusion of Initial Runoff
The design of the rainwater storage facility, installed at the Land and Housing Research Institute as part of a building test bed, is illustrated in (Figure 3). Collected pipes and associated equipment were implemented to capture rainwater runoff from the canopy catchment surface. To mitigate the risk of contaminants entering the storage tank during the initial rainfall, a float-based initial runoff treatment facility was installed. Additionally, a small sedimentation facility was positioned in front of the storage tank to further minimize contaminant ingress. The incoming rainwater is directed through a J-shaped inlet pipe to prevent the resuspension of settled sediments caused by the inflowing water, thus maintaining the overall water quality in the storage tank. An actual example of this installation is shown in (Figure 4).
Figure 3.
Design of the rainwater storage facility for the building test bed.
Figure 4.
Photograph of the actual installation of the rainwater storage facility designed for the building test bed.
2.3. Analysis of Rainwater Quality
The apparent concentration of the rainwater runoff from the catchment surface becomes increasingly cleaner over time. This observed concentration reflects the condition where the highly contaminated initial runoff is excluded by the initial runoff treatment facility (Figure 5).
Figure 5.
Apparent variation in the contamination concentration of rainwater runoff from the rooftops.
The quality of rainwater varies depending on various factors, such as the degree of contaminant accumulation on the catchment surface, the number of preceding dry days, and the intensity of rainfall. Comparing the water quality of rainwater with other studies is meaningless; the focus is on securing water quality suitable for the intended use by excluding the initial runoff and observing changes in water quality over time. The sampling times have been revised as follows: first flush, 1 min, 2 min, 5 min, 10 min, 20 min, and 30 min, based on the time when runoff started from the rooftops.
In this study, the primary uses of rainwater were for road sprinkling to mitigate heatwaves and landscaping. Therefore, the compliance with relevant standards specified in the “Enforcement Rules of the Act on the Promotion and Support of Water Reuse” was examined.
The water quality standards for cleaning and sprinkling water include a total coliform count of 1000 or less, a turbidity (NTU) of 2 or less, a BOD (Biochemical Oxygen Demand) of 5 or less, and a pH range of 5.8 to 8.5. NTU (Nephelometric Turbidity Unit) measures the water’s turbidity, indicating how much light is scattered by particles in the water, with lower values indicating more transparent water. BOD measures the oxygen microorganisms require to break down organic matter in water, with higher BOD values indicating more organic pollution.
The water quality standards for landscaping water are the same, with an additional standard of chloride concentration at 250 mg Cl/L [12].
The water quality tests conducted in this study complied with the relevant laws and regulations of the Republic of Korea, where the tests were intended to be applied. According to South Korean law, Annex 1 of the Enforcement Rule of the Act on the Promotion and Support of Water Reuse provides the standards for rainwater reuse. The methods for water quality testing followed Article 6, paragraph 1, subparagraph 5 of the Act on Testing and Inspection of Environmental Fields (Environmental Pollution Process Test Standards—Water Pollution) [12] and the National Institute of Environmental Research Notification No. 2022-12 [13]. Additionally, as the precision and accuracy requirements are specified in the relevant regulations, the water quality tests were conducted based on these legal standards, ensuring the reliability of the measured results.
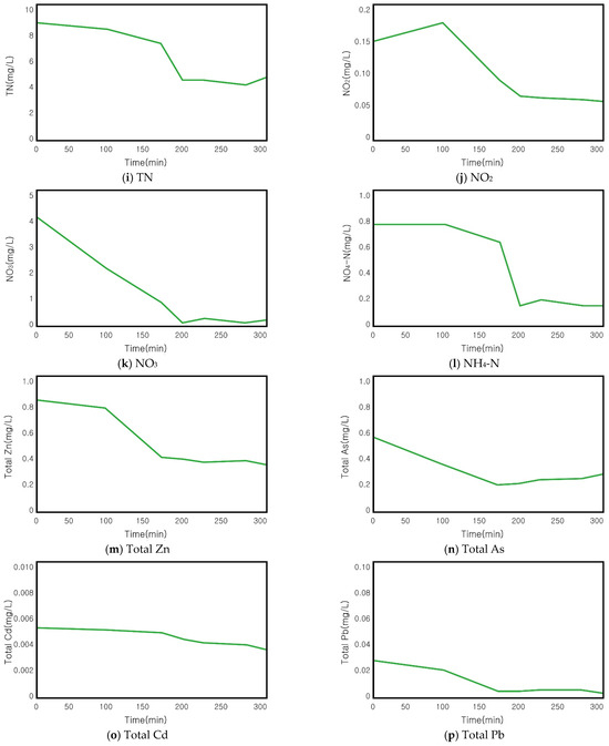
Among the water quality parameters for using rainwater as sprinkling or landscaping water, turbidity was the only parameter that exceeded the standard. All other parameters were below the standard. Notably, coliform bacteria were not detected, indicating that rainwater could be used for purposes involving contact with the human body (Figure 6).


Figure 6.
Quality of rainwater runoff from rooftops.
Although the turbidity parameter exceeded the standard, this measurement was taken during the rainwater collection. Additional treatment effects from sedimentation in the storage tank before using rainwater can be expected. Therefore, it was determined that there would be no significant issues in using the water as sprinkling water or landscaping water. Considering the above analysis results, securing water quality that meets the relevant standards is possible by installing only an initial runoff treatment facility when collecting rainwater possible to secure water quality sprinkling or landscaping water.
2.4. Devices and Methods for Temperature Measurement
A digital temperature and humidity meter were used to measure the cooling effect, and a thermal imaging camera was used to measure the influence range of the spray device (nozzle) (Table 2).
Table 2.
Equipment used in the indoor experiment of the mist spray system.
To maximize the control of external variables during mist spraying, an indoor laboratory was set up with the indoor temperature set at 28 °C. The spray rate of the nozzle was 108 mL/min, and measurements were taken every minute for 10 min using a thermal imaging camera. We analyzed the mist’s vertical and horizontal impact ranges to determine the optimal mist spray interval and nozzle spacing. The vertical impact range of the fog was found to be 1.4 m, and the horizontal impact range was 1.5 m, suggesting that a nozzle spacing of 1.5 m is appropriate for mist spraying. After 10 min of mist spraying, a temperature reduction of about 2 °C was observed, indicating that a mist spray interval of 10 min is appropriate.
3. Results
3.1. Rainwater Storage Facility Water Quality
3.1.1. Water Quality and Assurance Measures of Rainwater Storage Facilities
The Ministry of Environment (2010) [14] proposed rainwater treatment methods considering the relationship between the collection site and usage purposes. The treatment methods can be categorized into sedimentation, filtration, and disinfection. Sedimentation is a process that removes settleable solids in rainwater through gravitational settling, which can improve the water quality within rainwater storage facilities by preventing disturbances to the inflowing rainwater and periodically managing the sediments. Filtration facilities remove dust, animal feces, soil particles, and fertilizer components in rainwater. Depending on the type of catchment surface and economic feasibility, filter media, such as sand, membranes, and screens, may be installed. Disinfection devices are installed to remove harmful bacteria in water, providing hygienic and safe water. Chlorination is used when residual chlorine is required for toilet water. At the same time, UV disinfection equipment can be installed for landscaping, stream maintenance, and industrial water to control the total coliform count (Figure 7) [15].
Figure 7.
Rainwater collection sites and treatment methods by usage (source: [11]).
As described in (Figure 3), the water quality treatment process for the rainwater storage facility installed at the test bed was conducted as follows(Figure 8): To ensure high-quality rainwater storage and supply, an initial runoff treatment facility (a) was installed to manage the first flush, and a J-shaped inlet (b) was implemented to prevent the resuspension of sediments due to the inflow of water. The collected rainwater was then directed through a filtration facility (c) filled with soil-based filter media before entering the storage tank. To guarantee sufficient water quality for usage, a pump with filtration capabilities (d) was installed. Additionally, to maintain the stability of the water resource, the system was connected to a supplementary water source, allowing the continuous operation of the rainwater harvesting facility. This process was followed for the water quality treatment in this study.
Figure 8.
Water quality treatment of the rainwater utilization facility applied to the building test bed [2].
When the collected rainwater enters the storage tank, the water body can be disturbed by the flow velocity and drop. In such cases, contaminants that have settled on the bottom may resuspend, deteriorating the overall water quality in the storage tank. To prevent this, a J-shaped inlet pipe should be installed to allow the rainwater to enter the storage tank in an upward flow direction (Figure 9).
Figure 9.
J-shaped inlet pipe for preventing water flow disturbance in the storage tank.
3.1.2. Water Quality of the Rainwater Storage Tank in the Test Bed
Since the rainwater stored in the storage tank can be used for various purposes, such as landscaping water and cleaning water, regular water quality management and maintenance are necessary. Although the stored rainwater excludes highly polluted initial runoff, continuous monitoring of the water quality in the storage facility is needed for various uses.
The water quality parameters in the rainwater storage tank installed at the Land and Housing Research Institute, which serves as a building test bed, were compared with the water quality concentrations of major domestic rainwater utilization facilities (Table 3). This study’s water quality analysis results were based on the water quality at the stabilization point within the storage tank, which was judged after four days.
Table 3.
Comparison of water quality in major domestic rainwater utilization facilities and water quality analysis results of this study.
Since the rainwater quality varies depending on different factors, such as the degree of contaminant accumulation on the catchment surface, the number of preceding dry days, and the rainfall intensity, comparing the water quality across different rainwater utilization facilities is meaningless [10]. However, the main focus is whether the water quality meets the relevant standards for most rainwater utilization facilities, including this study. The analysis results of this study and most existing studies indicate that the water quality is suitable for use as sprinkling water and landscaping water. It is determined that, when collecting rainwater runoff from rooftops for use as sprinkling water or landscaping water, it is possible to secure water quality that meets the relevant standards by installing only an initial runoff treatment facility.
3.2. Temperature Reduction Effect of Parking Lot Surface Sprinkling
The temperature change was analyzed after sprinkling water on the parking lot at the Land and Housing Research Institute. The parking lot surface was divided into asphalt and permeable pavement, and temperature changes were monitored. This compares the temperature reduction effect and duration between permeable and asphalt pavement. The experiment was conducted on 8 July (Summer), from 2 PM. Water was sprinkled using a fire hose to wet the surface sufficiently.
The temperature of the parking lot surface was 53.8 °C for asphalt pavement and 53.4 °C for permeable pavement, and it dropped sharply to approximately 39.5 °C and 38.7 °C, respectively, immediately after sprinkling (Figure 10). The surface temperature, which dropped below 40 °C, remained for more than 2 h, slightly exceeding 40 °C until the experiment ended at 4:45 PM. Until the experiment’s end, the permeable pavement’s surface temperature was about 3 °C lower than the asphalt pavement (Figure 11). This is considered to be due to the moisture retention effect of the permeable pavement, which maintained the temperature reduction for a more extended period.
Figure 10.
Road surface condition and thermal camera images before and after sprinkling.
Figure 11.
Temperature changes over time after road surface sprinkling.
By comparing and analyzing the temperature reduction effects of general asphalt pavement and permeable pavement, we aimed to maximize the temperature reduction effect through permeable pavement. The monitoring results showed that permeable pavement was more effective in reducing temperature than general asphalt pavement, which is attributed to the moisture retention of the permeable pavement. When performing surface sprinkling for heatwave reduction in the future, it is considered adequate to prioritize the application of permeable pavement. Changing to permeable pavement should also be considered for areas where continuous surface sprinkling is necessary for heatwave reduction.
Generally, asphalt-sprinkled water does not penetrate the surface but instead flows into storm drains through side gutters. If not properly drained, it can cause water splash when vehicles pass, causing inconvenience to drivers and pedestrians. Therefore, applying permeable pavement to roads designated for surface sprinkling is expected to suppress water splash and reduce temperature.
3.3. Indoor Temperature Reduction Effect through Mist Spraying
To analyze the cooling effect of spraying stored rainwater in mist form at ambient temperature, this study aimed to assess this effect. However, spraying mist may cause complaints from pedestrians regardless of water quality; thus, it is rare to use mist spraying. Therefore, this study was focused on analyzing the cooling effect by spraying mist in restricted areas where direct contact with humans does not occur, such as rooftops, walls, and the floor of drinking fountains.
Although the study intended to analyze the cooling effect of mist spraying, conducting outdoor experiments took time due to the influence of wind and other factors that could affect accurate results. Consequently, an indoor experimental setup was constructed to monitor temperature changes (Figure 12).
Figure 12.
Indoor experimental site for analyzing mist spraying effects.
3.3.1. Measurement of Temperature and Humidity Changes Due to Mist Spraying
We conducted indoor experiments using a temperature and humidity meter to measure the changes in temperature and humidity due to mist spraying and to determine the optimal time interval and nozzle spacing for mist spraying. To analyze the impact of ambient temperature, we measured temperature and humidity at a height of 1 m and a horizontal distance of 2 m from the spray device (nozzle) every minute (Figure 13).
Figure 13.
Indoor experiment for mist spraying and temperature/humidity measurement.
We aimed to analyze the effective range of mist spraying by spraying mist through nozzles and capturing images with a thermal imaging camera. After spraying the mist, photos were taken every minute with a thermal and regular imaging camera. These images were then compared and analyzed to determine the mist’s impact range (Figure 14). Based on the analysis results of the mist impact range, we aimed to determine the optimal distance between nozzles.
Figure 14.
Thermal image showing temperature changes around the area due to mist spray.
3.3.2. Temperature and Humidity Measurement Results
The mist was sprayed to determine the optimal distance for the mist nozzles, and images were captured using thermal and regular cameras at 1 min intervals. The images were then analyzed to determine the influence range of the mist nozzles. Before mist spraying, the temperature was 33.7 °C. After 6 min of mist spraying, the temperature decreased by 1 °C. After 10 min, it further decreased by 2 °C, showing a cooling effect. Over a span of 15 min, the temperature consistently decreased, reaching a reduction of 3.4 °C (Figure 15).
Figure 15.
Changes in temperature and humidity due to mist spray.
4. Discussion
This study comprehensively analyzed water quality improvement in rainwater storage facilities and the temperature reduction effects achieved through such facilities. Based on the experimental results, we discuss the current state of rainwater storage facilities and propose improvement measures. We also evaluate the temperature reduction effects and limitations of the mist spraying system and present future research challenges and additional improvement strategies.
4.1. Water Quality of Rainwater Storage Facilities and Improvement Measures
The water quality of rainwater storage facilities is mainly determined by the exclusion of initial runoff and the long-term maintenance of the stored water’s quality. This study confirmed that even with the exclusion of initial runoff, the water quality was sufficient for use in irrigation and landscaping. In particular, as highly polluted initial runoff was excluded during the rainwater harvesting process, the pollution level of the stored water gradually decreased over time.
However, additional improvement measures are necessary to maintain the water quality of rainwater storage facilities in the long term. First, pollutants that have settled in the stored water may become resuspended over time. Regular water quality monitoring and sediment removal operations are required to prevent this. Second, to address the issue of microbial growth inside the rainwater storage facilities, ultraviolet (UV) disinfection systems can be installed inside the tanks, or chemical disinfectants can be used appropriately. By implementing these measures, it is expected that a high-quality rainwater storage system capable of long-term use can be established.
4.2. Discussion on Temperature Reduction Effect
This study analyzed the effect of temperature reduction through road sprinkling and mist spraying using rainwater. The experimental results showed that asphalt and permeable pavements reduced temperature to close to 15 °C. In particular, permeable pavement exhibited a more sustained cooling effect than asphalt pavement, interpreted as being due to the porous pavement’s ability to absorb water and reduce surface temperature over a more extended period through evaporation.
In the indoor mist spraying experiment, a temperature reduction of 1 °C was observed after approximately 6 min, 2 °C after 10 min, and 3.4 °C after 15 min. This cooling effect occurred because the mist formed tiny droplets in the air, and these droplets absorbed heat as they evaporated—a gas-to-liquid phase transition being the primary cooling mechanism. These results suggest that mist spraying can help mitigate urban heat island effects and reduce heat stress during heatwave periods.
4.3. Effectiveness and Limitations of the Mist Spraying System
The mist spraying system is highly efficient in reducing temperature with relatively small amounts of water. Moreover, it leverages the physical process of water evaporation absorbing heat, making it an energy-saving cooling method that can be used continuously. However, the mist spraying system has some limitations.
First, the effectiveness of mist spraying varies depending on the surrounding humidity. In environments with high relative humidity, the evaporation rate of the droplets slows down, significantly reducing the cooling effect. Second, if the mist equipment’s nozzle spacing and spray rate are not optimized, excessive water use could lead to the wastage of water resources in some areas. To address these issues, it is necessary to thoroughly analyze the installation locations and weather conditions of the mist spraying system to apply the most efficient system design.
4.4. Proposals for Further Research and Improvement of Rainwater Utilization
The rainwater utilization technologies discussed in this study are considered important alternatives for sustainable water management and energy conservation in urban environments. However, since this study only dealt with results under limited experimental conditions, future research should additionally consider the following measures.
First, an effective monitoring system must be developed to track long-term changes in the water quality of rainwater storage facilities and maintain them. Second, the cooling effects of mist spraying systems in various urban environments must be verified, and efficiency changes must be analyzed according to meteorological factors such as relative humidity, wind, and solar radiation. Third, rainwater reuse facilities’ economic feasibility and maintenance costs should also be evaluated. These steps will help establish the foundation for the widespread application of rainwater reuse technologies in large-scale urban environments.
Finally, long-term case studies in natural urban settings and experiments are necessary to demonstrate further the positive impacts of rainwater utilization technologies on mitigating urban heat island effects and managing water resources. This will help increase rainwater utilization in urban environments and contribute to sustainable urban development.
5. Conclusions
This study analyzed the effects of rainwater utilization facilities on water quality and temperature reduction. The experiments confirmed that water quality could be secured by excluding initial runoff alone to meet the relevant legal standards. Additionally, road sprinkling and mist spraying methods were effective in reducing heatwaves. This research proves the potential of rainwater reuse and provides an essential foundation for mitigating urban heat island effects and efficiently utilizing water resources.
5.1. Summary of Research Results
Improvement of Rainwater Quality: After excluding highly polluted initial runoff through the initial rainwater treatment system, the stored rainwater achieved water quality suitable for use in landscaping and irrigation. The critical water quality parameters, such as turbidity, BOD, and pH, met the relevant standards, and no coliform bacteria were detected.
Temperature Reduction Effect: In the road sprinkling experiment, asphalt and permeable pavements showed a temperature reduction of about 15 °C, with permeable pavement maintaining the lower temperature for a longer duration. The indoor mist spraying experiment also demonstrated a temperature reduction of 3.4 °C; a fog spraying for 10 min was optimal.
5.2. Future Research Directions and Suggestions
Long-term Water Quality Management of Rainwater Storage Facilities: While the study confirmed short-term improvements in water quality, further research is needed to address long-term changes in water quality and ways to maintain it. This includes tackling the issue of microbial growth inside rainwater storage tanks and improving sediment removal systems to establish long-term water quality management measures.
Application in Various Environments: Additional research is required to explore how rainwater utilization technologies can be applied in different urban environments. It is essential to analyze how weather conditions, humidity, and wind affect temperature reduction and derive the most suitable installation and operation plans based on this analysis.
Analysis of Economic Feasibility and Maintenance Costs: Rainwater utilization facilities’ economic feasibility and maintenance costs must be evaluated. This research will contribute to laying the foundation for the sustainable operation of rainwater reuse facilities in large-scale urban environments.
Case Studies on Practical Applications: In addition to laboratory research, long-term case studies in actual urban environments are necessary to verify the effectiveness of rainwater utilization technologies. This will allow us to contribute to improving urban water circulation and mitigating heat island effects.
Author Contributions
Conceptualization: Y.C.; Methodology: J.L. (JungMin Lee) and J.C.; Software: Y.C.; Validation: J.L. (JungMin Lee) and J.L. (JaeHyeon Lee); Formal Analysis: J.C.; Visualization: J.C.; Data Curation: J.C. and M.K.; Writing—Original Draft: J.C.; Writing—Review and Editing: M.K. and J.L. (JaeHyeon Lee); Project Administration: M.K. and J.L. (JaeHyeon Lee); Funding Acquisition: J.L. (JungMin Lee). All authors have read and agreed to the published version of the manuscript.
Funding
This work was supported by the National Research Foundation of Korea (NRF) grant funded by the Korean government (MSIT) (No. NRF-RS-2023-00259995).
Data Availability Statement
The data used to support the findings of this study are available from the corresponding author upon request.
Conflicts of Interest
The authors declare no conflicts of interest.
References
- Choi, J.S. A Study on Introduction Plan of Water Circulation Facilities Considering Site-Condition; LH Land and Housing Institute: Daejeon, Republic of Korea, 2016; Available online: https://www.codil.or.kr/filebank/original/RK/OTKCRK170404/OTKCRK170404.pdf?stream=T (accessed on 2 December 2023). (In Korean)
- Choi, J.S.; Lee, J.M.; Kang, M.S.; Lim, S.H. A Study on the Promoting Rainwater Utilization in Apartments; LH Land and Housing Institute: Daejeon, Republic of Korea, 2020; Available online: https://www.codil.or.kr/filebank/original/RK/OTKCRK200515/OTKCRK200515.pdf?stream=T (accessed on 2 December 2023). (In Korean)
- Kim, D.J.; Ham, D.H.; Choi, J.S.; Lee, J.M.; Lee, J.H. Analysis on Cost-Benefit of Rainwater Storage Facility through Water Balance Analysis. J. Korean Soc. Hazard Mitig. 2020, 20, 361–367. (In Korean) [Google Scholar] [CrossRef]
- Law on the Promotion and Support of Water Reuse; National Law Information Center: Sejong-si, Republic of Korea, 2020. Available online: https://www.law.go.kr/lsInfoP.do?lsiSeq=259257&efYd=20240724#0000 (accessed on 10 March 2024). (In Korean)
- Mendez, C.B.; Klenzendorf, J.B.; Afshar, B.R.; Simmons, M.T.; Barrett, M.E.; Kinney, K.A.; Kirisits, M.J. The effect of roofing material on the quality of harvested rainwater. Water Res. 2011, 45, 2049–2059. [Google Scholar] [CrossRef] [PubMed]
- Yaziz, M.I.; Gunting, H.; Sapari, N.; Ghazali, A.W. Variations in rainwater quality from roof catchments. Water Res. 1989, 23, 761–765. [Google Scholar] [CrossRef]
- Gikas, G.D.; Tsihrintzis, V.A. Assessment of first-flush roof runoff water quality and rainwater harvested. J. Environ. Manag. 2012, 94, 123–134. [Google Scholar] [CrossRef]
- Patzold, F.; Hofmann, M.; Schlünzen, K.H. Heat waves: A hot topic in climate change research. Theor. Appl. Climatol. 2021, 146, 781–800. [Google Scholar]
- Raimondi, A.; Quinn, R.; Gnecco, I.; Ostfeld, A. New Advances in Rainwater Harvesting and Treatment. Water 2020, 12, 1075. [Google Scholar] [CrossRef]
- Oh, Y.T.; Baek, W.O.; Choi, J.S. Demonstration of Reduction of Living Pollutants Using Urban Water Circulation and IoT Technology; Ministry of Environment: Sejong-si, Republic of Korea, 2021. Available online: https://ecoplus.keiti.re.kr:9443/pms/rin/main/rin_0102.jsp?PROJ_RQST_NO=ARQ201902127&PROJ_ANN=2&prevUrl=pop (accessed on 10 March 2024). (In Korean)
- Kim, I.H.; Kim, Y.M.; Lee, J.H.; Moon, J.S.; Park, J.B.; Kim, H.N.; Lee, T.G. Development of Technology for Design and Management of Rainwater Facility; Korea Institute of Civil Engineering and Building Technology: Goyang-si, Republic of Korea, 2011; Available online: https://scienceon.kisti.re.kr/srch/selectPORSrchReport.do?cn=TRKO201200001768 (accessed on 2 April 2024). (In Korean)
- Ministry of Environment. Enforcement Rules of the Act on the Promotion and Support of Water Reuse; National Law Information Center: Sejong-si, Republic of Korea, 2020. Available online: https://www.law.go.kr/lsInfoP.do?lsiSeq=264363&efYd=20240724#0000 (accessed on 12 April 2024). (In Korean)
- Ministry of Environment. Administrative Rules Related to Water Reuse. Available online: https://www.law.go.kr/admRulLsInfoP.do?chrClsCd=&admRulSeq=2100000209158 (accessed on 23 September 2024). (In Korean)
- Ministry of Environment. Rainwater Utilization Facility Installation and Management Guidebook. 2010. Available online: https://www.korea.kr/archive/expDocView.do?docId=26266#expDoc (accessed on 13 April 2024). (In Korean)
- Choi, J.S.; Lee, W.T.; Kim, I.T. Water Reuse Technology for Smart Water Microgrid; Korea Institute of Construction Technology: Goyang-si, Republic of Korea, 2013; Available online: https://scienceon.kisti.re.kr/srch/selectPORSrchReport.do?cn=TRKO201600004135 (accessed on 28 April 2024). (In Korean)
- Ministry of Environment. Guidelines for Design and Maintenance of Water Reuse Facilities. 2013. Available online: https://news.seoul.go.kr/env/archives/33838 (accessed on 28 April 2024). (In Korean)
Disclaimer/Publisher’s Note: The statements, opinions and data contained in all publications are solely those of the individual author(s) and contributor(s) and not of MDPI and/or the editor(s). MDPI and/or the editor(s) disclaim responsibility for any injury to people or property resulting from any ideas, methods, instructions or products referred to in the content. |
© 2024 by the authors. Licensee MDPI, Basel, Switzerland. This article is an open access article distributed under the terms and conditions of the Creative Commons Attribution (CC BY) license (https://creativecommons.org/licenses/by/4.0/).

