Mechanism of Wind and Buoyancy Driving on Ventilation and Pollutant Transport in an Idealized Urban Street Canyon
Abstract
1. Introduction
2. Validations of the CFD Model
3. Simulation Settings and Boundary Conditions
4. Results and Discussion
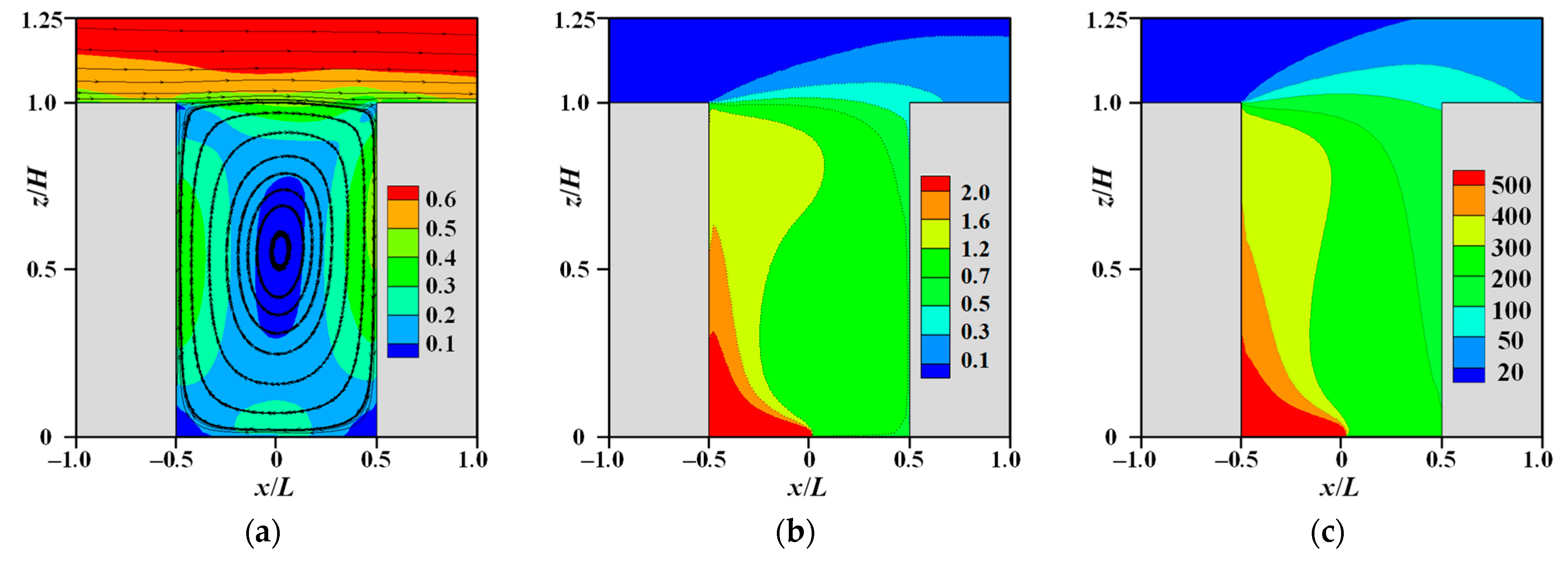
4.1. Effects of Facade Heating on Ventilation and Pollutant Transport
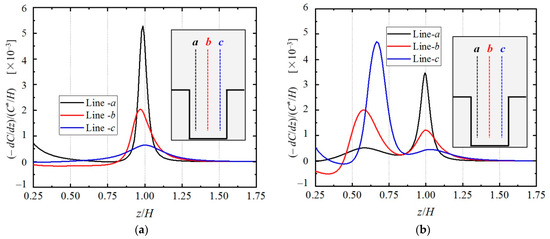
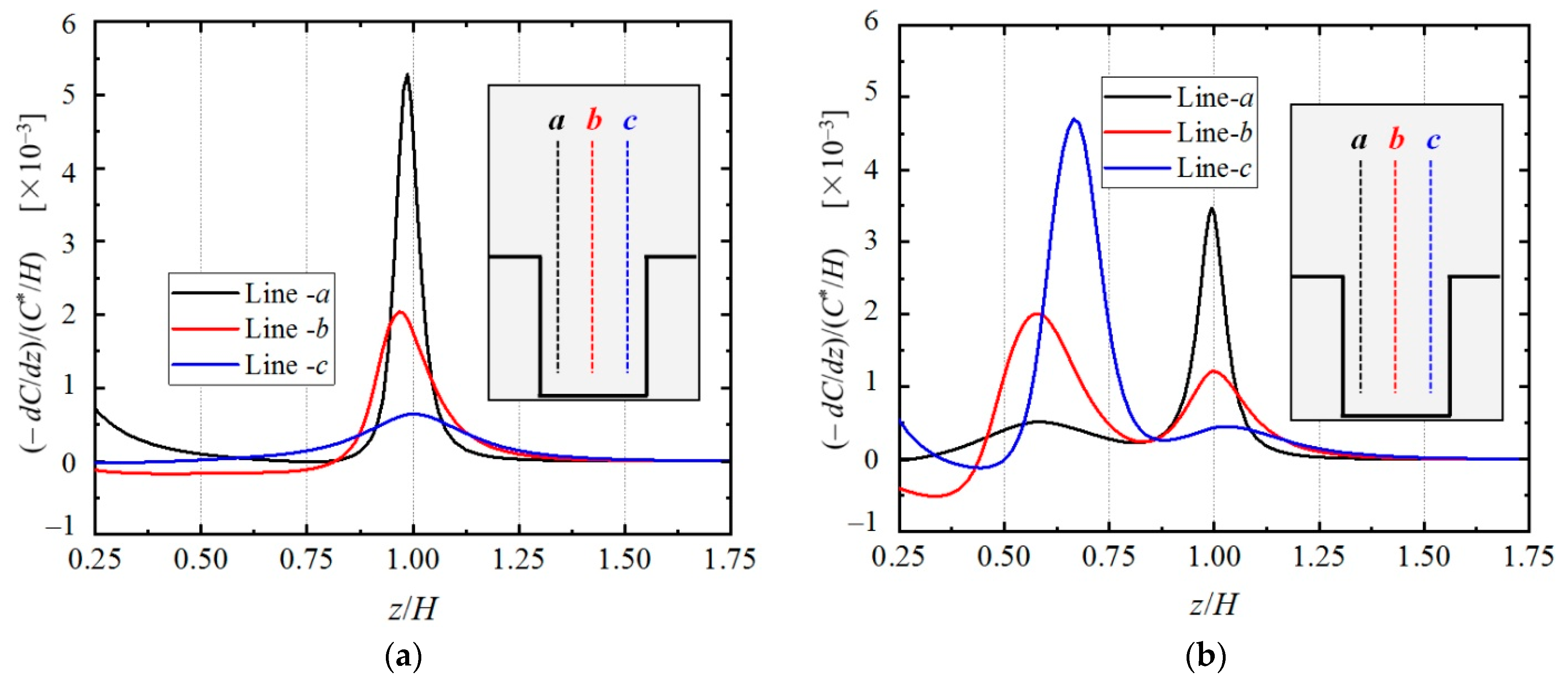
4.2. Analysis of the Pollutant Fluxes
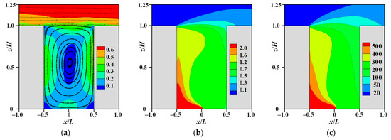
4.3. Dispersion of Hot Pollutant
5. Conclusions
Author Contributions
Funding
Data Availability Statement
Conflicts of Interest
References
- Niachou, K.; Livada, I.; Santamouris, M. Experimental study of temperature and airflow distribution inside an urban street canyon during hot summer weather conditions—Part I: Air and surface temperatures. Build. Environ. 2008, 43, 1383–1392. [Google Scholar] [CrossRef]
- Chen, G.; Rong, L.; Zhang, G. Numerical simulations on atmospheric stability conditions and urban airflow at five climate zones in China. Energy Built Environ. 2021, 2, 188–203. [Google Scholar] [CrossRef]
- Chen, G.; Yang, X.; Yang, H.; Hang, J.; Lin, Y.; Wang, X.; Wang, Q.; Liu, Y. The influence of aspect ratios and solar heating on flow and ventilation in 2D street canyons by scaled outdoor experiments. Build. Environ. 2020, 185, 107159. [Google Scholar] [CrossRef]
- Salim, S.M.; Cheah, S.C.; Chan, A. Numerical simulation of dispersion in urban street canyons with avenue-like tree plantings: Comparison between RANS and LES. Build. Environ. 2011, 46, 1735–1746. [Google Scholar] [CrossRef]
- Xue, F.; Li, X. The impact of roadside trees on traffic released PM10 in urban street canyon: Aerodynamic and deposition effects. Sustain. Cities Soc. 2017, 30, 195–204. [Google Scholar] [CrossRef]
- Wang, L.; Tian, W.; Zheng, P. Review of the Numerical Simulation of the Wind and Pollutant Diffusion in Urban Street Canyon under the Influence of Trees. Buildings 2023, 13, 1088. [Google Scholar] [CrossRef]
- Xie, X.; Huang, Z.; Wang, J. Impact of building configuration on air quality in street canyon. Atmos. Environ. 2005, 39, 4519–4530. [Google Scholar] [CrossRef]
- Huang, Y.; Hu, X.; Zeng, N. Impact of wedge-shaped roofs on airflow and pollutant dispersion inside urban street canyons. Build. Environ. 2009, 44, 2335–2347. [Google Scholar] [CrossRef]
- Cheng, W.; Liu, C.; Leung, D. Computational formulation for the evaluation of street canyon ventilation and pollutant removal performance. Atmos. Environ. 2008, 42, 9041–9051. [Google Scholar] [CrossRef]
- Li, X.; Liu, C.; Leung, D. Numerical investigation of pollutant transport characteristics inside deep urban street canyons. Atmos. Environ. 2009, 43, 2410–2418. [Google Scholar] [CrossRef]
- Liu, C.; Leung, D.; Barth, M. On the prediction of air and pollutant exchange rates in street canyons of different aspect ratios using large-eddy simulation. Atmos. Environ. 2005, 39, 1567–1574. [Google Scholar] [CrossRef]
- Liu, C.; Cheng, W.; Leung, T.; Leung, D. On the mechanism of air pollutant re-entrainment in two-dimensional idealized street canyons. Atmos. Environ. 2011, 45, 4763–4769. [Google Scholar] [CrossRef]
- Liu, C.; Wong, C. On the pollutant removal, dispersion, and entrainment over two-dimensional idealized street canyons. Atmos. Res. 2014, 135–136, 128–142. [Google Scholar] [CrossRef]
- Kim, J.; Baik, J. Urban street-canyon flows with bottom heating. Atmos. Environ. 2001, 35, 3395–3404. [Google Scholar] [CrossRef]
- Xie, X.; Liu, C.; Leung, D.; Leung, M. Characteristics of air exchange in a street canyon with ground heating. Atmos. Environ. 2006, 40, 6396–6409. [Google Scholar] [CrossRef]
- Cheng, W.; Liu, C.; Leung, D. On the correlation of air and pollutant exchange for street canyons in combined wind-buoyancy-driven flow. Atmos. Environ. 2009, 43, 3682–3690. [Google Scholar] [CrossRef]
- Cheng, W.; Liu, C. Large-eddy simulation of turbulent transports in urban street canyons in different thermal stabilities. J. Wind Eng. Ind. Aerodyn. 2011, 99, 434–442. [Google Scholar] [CrossRef]
- Li, X.; Britter, R.; Norford, L.; Koh, T.; Entekhabi, D. Flow and pollutant transport in urban street canyons of different aspect ratios with ground heating: Large-eddy simulation. Bound.-Layer Meteorol. 2012, 142, 289–304. [Google Scholar] [CrossRef]
- Xie, X.; Liu, C.; Leung, D. Impact of building facades and ground heating on wind flow and pollutant transport in street canyons. Atmos. Environ. 2007, 41, 9030–9049. [Google Scholar] [CrossRef]
- Cai, X. Effects of differential wall heating in street canyons on dispersion and ventilation characteristics of a passive scalar. Atmos. Environ. 2012, 51, 268–277. [Google Scholar] [CrossRef]
- Chen, L.; Hang, J.; Chen, G.; Liu, S.; Lin, Y.; Mattsson, M.; Sandberg, M.; Ling, H. Numerical investigations of wind and thermal environment in 2D scaled street canyons with various aspect ratios and solar wall heating. Build. Environ. 2021, 190, 107525. [Google Scholar] [CrossRef]
- Yang, H.; Lam, C.; Lin, Y.; Chen, L.; Mattsson, M.; Sandberg, M.; Hayati, A.; Claesson, L.; Hang, J. Numerical investigations of Re-independence and influence of wall heating on flow characteristics and ventilation in full-scale 2D street canyons. Build. Environ. 2021, 189, 107510. [Google Scholar] [CrossRef]
- Cintolesi, C.; Barbano, F.; Di Sabatino, S. Large-Eddy Simulation Analyses of Heated Urban Canyon Facades. Energies 2021, 14, 3078. [Google Scholar] [CrossRef]
- Cui, P.; Ji, R.; He, L.; Zhang, Z.; Luo, Y.; Yang, Y.; Huang, Y. Influence of GI configurations and wall thermal effects on flow structure and pollutant dispersion within urban street canyons. Build. Environ. 2023, 243, 110646. [Google Scholar] [CrossRef]
- Uehara, K.; Murakami, S.; Oikawa, S.; Wakamatsu, S. Wind tunnel experiments on how thermal stratification affects flow in and above urban street canyons. Atmos. Environ. 2000, 34, 1553–1562. [Google Scholar] [CrossRef]
- Marucci, D.; Carpentieri, M. Dispersion in an array of buildings in stable and convective atmospheric conditions. Atmos. Environ. 2020, 222, 117100. [Google Scholar] [CrossRef]
- Hu, T.; Yoshie, R. Effect of atmospheric stability on air pollutant concentration and its generalization for real and idealized urban block models based on field observation data and wind tunnel experiments. J. Wind Eng. Ind. Aerodyn. 2020, 207, 104380. [Google Scholar] [CrossRef]
- Kim, J.; Baik, J. Effects of street-bottom and building-roof heating on flow in three-dimensional street canyons. Adv. Atmos. Sci. 2010, 27, 513–527. [Google Scholar] [CrossRef]
- Nazarian, N.; Kleissl, J. Realistic solar heating in urban areas: Air exchange and street-canyon ventilation. Build. Environ. 2016, 95, 75–93. [Google Scholar] [CrossRef]
- Jiang, G.; Yoshie, R. Large-eddy simulation of flow and pollutant dispersion in a 3D urban street model located in an unstable boundary layer. Build. Environ. 2018, 142, 47–57. [Google Scholar] [CrossRef]
- Jiang, G.; Hu, T.; Yang, H. Effects of Ground Heating on Ventilation and Pollutant Transport in Three-Dimensional Urban Street Canyons with Unit Aspect Ratio. Atmosphere 2019, 10, 286. [Google Scholar] [CrossRef]
- Mei, S.; Yuan, C. Urban buoyancy-driven air flow and modelling method: A critical review. Build. Environ. 2022, 210, 108708. [Google Scholar] [CrossRef]
- Jiang, G.; Yoshie, R. Side ratio effects on flow and pollutant dispersion around an isolated high-rise building in a turbulent boundary layer. Build. Environ. 2020, 180, 107078. [Google Scholar] [CrossRef]
- Mochida, A.; Tominaga, Y.; Murakami, S.; Yoshie, R.; Ishihara, T.; Ooka, R. Comparison of various k-ε models and DSM applied to flow around a high-rise building—Report on AIJ cooperative project for CFD prediction of wind environment. Wind Struct. 2002, 5, 227–244. [Google Scholar] [CrossRef] [PubMed]
- Yoshie, R.; Mochida, A.; Tominaga, Y.; Kataoka, H.; Harimoto, K.; Nozu, T.; Shirasawa, T. Cooperative project for CFD prediction of pedestrian wind environment in the Architectural Institute of Japan. J. Wind Eng. Ind. Aerodyn. 2007, 95, 1551–1578. [Google Scholar] [CrossRef]
- Tominaga, Y.; Mochida, A.; Murakami, S.; Sawaki, S. Comparison of various revised k-ε models and LES applied to flow around a high-rise building model with 1:1:2 shape placed within the surface boundary layer. J. Wind Eng. Ind. Aerodyn. 2008, 96, 389–411. [Google Scholar] [CrossRef]
- Tominaga, Y.; Mochida, A.; Yoshie, R.; Kataoka, H.; Nozu, T.; Yoshikawa, M.; Shirasawa, T. AIJ guidelines for practical applications of CFD to pedestrian wind environment around buildings. J. Wind Eng. Ind. Aerodyn. 2008, 96, 1749–1761. [Google Scholar] [CrossRef]
- GB 50009-2012; Load Code for the Design of Building Structures. National Standard of People’ Republic of China: 2012. Beijing, China.
- Boussinesq, J. Théorie de l’Écoulement Tourbillant. Mem. Présentés Par Divers Savants Acad. Sci. Inst. Fr. 1877, 23, 46–50. [Google Scholar]















| Cases | Wall Heating Position | Type of Released Pollutant |
|---|---|---|
| Case 1 | No heating | Cold pollutant (25 °C) |
| Case 2 | Leeward wall | Cold pollutant (25 °C) |
| Case 3 | Ground | Cold pollutant (25 °C) |
| Case 4 | Windward wall | Cold pollutant (25 °C) |
| Case 5 | No heating | Hot pollutant (60 °C) |
| References | Aspect Ratio H/L | Scale | Turbulence Models | Recirculation Number |
|---|---|---|---|---|
| This study | 1.67 | Full | Standard k-ε | 1 |
| Xie et al. [7] | 1 | Reduced | Standard k-ε | 1 |
| Huang et al. [8] | 1 | Reduced | Standard k-ε | 1 |
| Cheng et al. [9] | 1 2 | Reduced | RNG k-ε | 1 2 |
| Cheng et al. [16] | 1 | Reduced | RNG k-ε | 1 |
| Cheng and Liu [17] | 1 | Reduced | LES | 1 |
| Li et al. [18] | 1 2 | Reduced | LES | 1 2 |
| Xie et al. [19] | 1 2 | Reduced | RNG k-ε | 1 2 |
| Chen et al. [21] | 1.1 | Reduced | RNG k-ε | 1 |
| Cintolesi et al. [23] | 1 | Reduced | LES | 1 |
Disclaimer/Publisher’s Note: The statements, opinions and data contained in all publications are solely those of the individual author(s) and contributor(s) and not of MDPI and/or the editor(s). MDPI and/or the editor(s) disclaim responsibility for any injury to people or property resulting from any ideas, methods, instructions or products referred to in the content. |
© 2024 by the authors. Licensee MDPI, Basel, Switzerland. This article is an open access article distributed under the terms and conditions of the Creative Commons Attribution (CC BY) license (https://creativecommons.org/licenses/by/4.0/).
Share and Cite
Jiang, G.; Wu, M.; Li, H.; Wu, Y. Mechanism of Wind and Buoyancy Driving on Ventilation and Pollutant Transport in an Idealized Urban Street Canyon. Buildings 2024, 14, 3168. https://doi.org/10.3390/buildings14103168
Jiang G, Wu M, Li H, Wu Y. Mechanism of Wind and Buoyancy Driving on Ventilation and Pollutant Transport in an Idealized Urban Street Canyon. Buildings. 2024; 14(10):3168. https://doi.org/10.3390/buildings14103168
Chicago/Turabian StyleJiang, Guoyi, Ming Wu, Hongbo Li, and Yujin Wu. 2024. "Mechanism of Wind and Buoyancy Driving on Ventilation and Pollutant Transport in an Idealized Urban Street Canyon" Buildings 14, no. 10: 3168. https://doi.org/10.3390/buildings14103168
APA StyleJiang, G., Wu, M., Li, H., & Wu, Y. (2024). Mechanism of Wind and Buoyancy Driving on Ventilation and Pollutant Transport in an Idealized Urban Street Canyon. Buildings, 14(10), 3168. https://doi.org/10.3390/buildings14103168

