A New Continuous Strength Method for Prediction of Strain-Hardening Performance of High-Strength Aluminum Alloy Cylindrical Columns
Abstract
1. Introduction
2. Experimental Investigation
2.1. Test Specimens
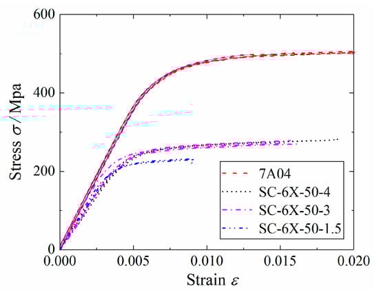
2.2. Material Properties
2.3. Stub Column Testing Procedure
2.4. Test Results
3. Numerical Modeling
3.1. FE Models
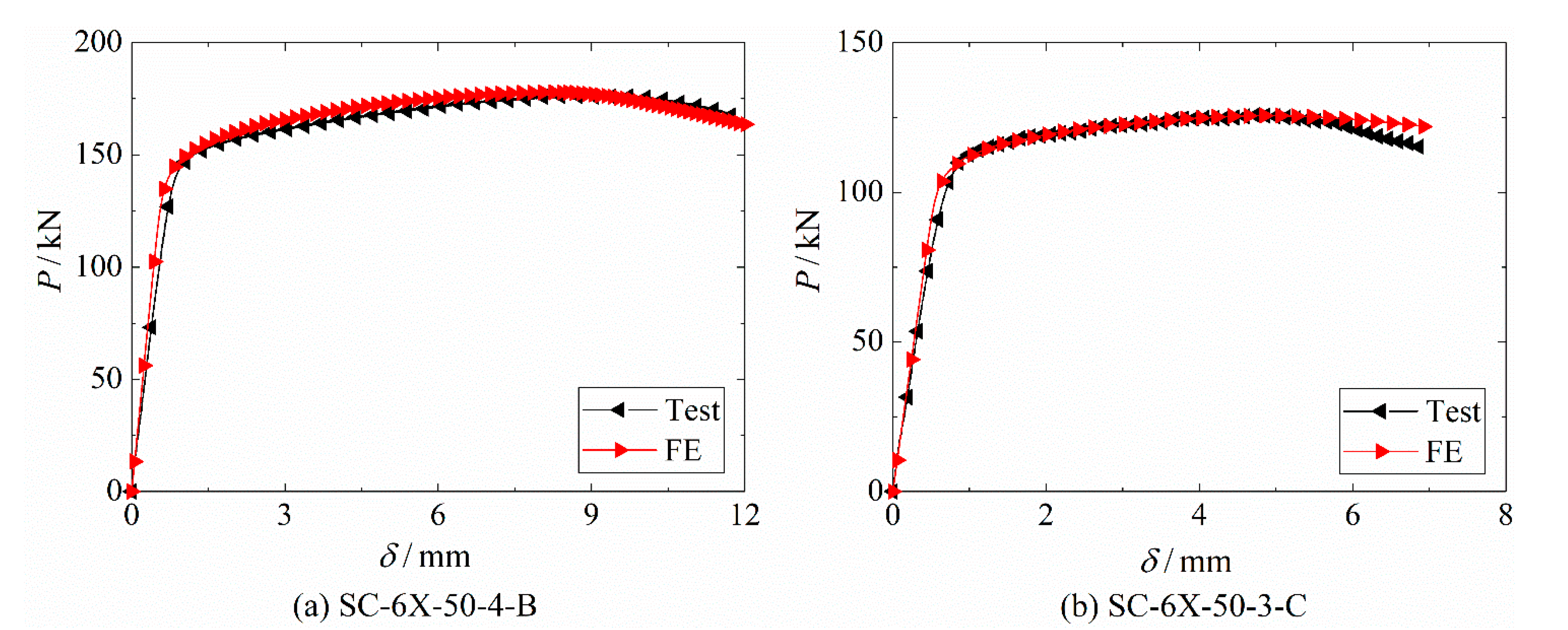
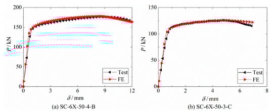
3.2. Validation of FE Models
3.3. Parametric Studies
4. Establishing Prediction Formula
4.1. Cross-Section Slenderness Limit
4.2. Base Curve
4.3. Material Models
4.4. Cross-Sectional Capacity
5. Reliability Analysis
6. Conclusions
- (1)
- The test results indicate that 11 high-strength aluminum alloy CHS stub column specimens failed due to yielding.
- (2)
- A FE model is established and validated using the experimental results from this paper. The agreement between the FE results and the test results in terms of cross-sectional resistance, failure modes, and load-end shortening responses is excellent.
- (3)
- (4)
- The accuracy and consistency of the cross-sectional resistance predictions presented in this paper are significantly improved compared to the results from EC9 and Buchanan et al. [34]. The prediction formulas proposed in this paper show an 11% and 5% improvement in accuracy over EC9 and Buchanan et al. [34], respectively, while the scatter is reduced by 8.4% and 2%.
Author Contributions
Funding
Data Availability Statement
Conflicts of Interest
References
- Melchers, R.E. Corrosion uncertainty modelling for steel structures. J. Constr. Steel Res. 1999, 52, 3–19. [Google Scholar] [CrossRef]
- Mazzolani, F.M. 3D aluminium structures. Thin-Walled Struct. 2012, 61, 258–266. [Google Scholar] [CrossRef]
- Georgantzia, E.; Gkantou, M.; Kamaris, G.S. Aluminium alloys as structural material: A review of research. Eng. Struct. 2021, 227, 111372. [Google Scholar] [CrossRef]
- Goggins, J.M.; Broderick, B.M.; Elghazouli, A.Y.; Lucas, A.S. Behaviour of tubular steel members under cyclic axial loading. J. Constr. Steel Res. 2006, 62, 121–131. [Google Scholar] [CrossRef]
- Gusella, F.; Lavacchini, G.; Orlando, M.; Spinelli, P. Axial response of cold-formed steel bracing members with holes. J. Constr. Steel Res. 2019, 161, 70–85. [Google Scholar] [CrossRef]
- Dutta, D. Structures with Hollow Sections; Wiley VCH: Weinheim, Germany, 2002. [Google Scholar]
- GB 50429; Code for Design of Aluminium Structures. China Planning Press: Beijing, China, 2007.
- BS EN 1999-1-1; Eurocode 9: Design of Aluminium Structures. European Committee for Standardization: Brussels, Belgium, 2007.
- AS/NZS 1664.1; Australian/New Zealand Standard (AS/NZS) Aluminium Structures. Australian/New Zealand Standard: Sydney, Australia, 1997.
- Aluminum Association. Aluminum Design Manual; Aluminum Association: Washington, DC, USA, 2020. [Google Scholar]
- Yang, B.; Zhu, Q.; Nie, S.; Elchalakani, M.; Xiong, G. Experimental and model investigation on residual stresses in Q460GJ thick-walled I-shaped sections. J. Constr. Steel Res. 2018, 145, 489–503. [Google Scholar] [CrossRef]
- Gardner, L.; Yun, X.; Walport, F. The Continuous Strength Method—Review and outlook. Eng. Struct. 2023, 275, 114924. [Google Scholar] [CrossRef]
- Gardner, L.; Nethercot, D.A. Experiments on stainless steel hollow sections—Part 1: Material and cross-sectional behaviour. J. Constr. Steel Res. 2004, 60, 1291–1318. [Google Scholar] [CrossRef]
- Ashraf, M.; Gardner, L.; Nethercot, D.A. Structural stainless steel design: Resistance based on deformation capacity. J. Struct. Eng. 2008, 134, 402–411. [Google Scholar] [CrossRef]
- Gardner, L. The continuous strength method. Proc. Inst. Civ. Eng. Struct. Build. 2008, 161, 127–133. [Google Scholar] [CrossRef]
- Liew, A.; Gardner, L. Ultimate capacity of structural steel cross-sections under compression, bending and combined loading. Structures 2015, 1, 2–11. [Google Scholar] [CrossRef]
- Yun, X.; Gardner, L.; Boissonnade, N. The continuous strength method for the design of hot-rolled steel cross-sections. Eng. Struct. 2018, 157, 179–191. [Google Scholar] [CrossRef]
- Yun, X.; Gardner, L.; Boissonnade, N. Ultimate capacity of I-sections under combined loading—Part 2: Parametric studies and CSM design. J. Constr. Steel Res. 2018, 148, 265–274. [Google Scholar] [CrossRef]
- Yun, X.; Wang, Z.; Gardner, L. Structural performance and design of hot-rolled steel SHS and RHS under combined axial compression and bending. Structures 2020, 27, 1289–1298. [Google Scholar] [CrossRef]
- Afshan, S.; Gardner, L. The continuous strength method for structural stainless steel design. Thin-Walled Struct. 2013, 68, 42–49. [Google Scholar] [CrossRef]
- Arrayago, I.; Real, E. Experimental Study on Ferritic Stainless Steel RHS and SHS Cross-sectional Resistance Under Combined Loading. Structures 2015, 4, 69–79. [Google Scholar] [CrossRef]
- Zhao, O.; Gardner, L. The continuous strength method for the design of mono-symmetric and asymmetric stainless steel cross-sections in bending. J. Constr. Steel Res. 2018, 150, 141–152. [Google Scholar] [CrossRef]
- Liang, Y.; Zhao, O.; Long, Y.-L.; Gardner, L. Stainless steel channel sections under combined compression and minor axis bending—Part 2: Parametric studies and design. J. Constr. Steel Res. 2019, 152, 162–172. [Google Scholar] [CrossRef]
- Ashraf, M.; Young, B. Compression resistance of aluminium stub columns using Continuous Strength Method. In Tubular Structures XIII, Proceedings of the 13th International Symposium on Tubular Structures, Hong Kong, China, 15–17 December 2010; CRC Press/Balkema: Leiden, The Netherlands, 2010; pp. 257–263. [Google Scholar]
- Su, M.N.; Young, B.; Gardner, L. Continuous strength method for aluminium alloy structures. Adv. Mater. Res. 2013, 742, 70–75. [Google Scholar] [CrossRef]
- Su, M.-N.; Young, B.; Gardner, L. Deformation-based design of aluminium alloy beams. Eng. Struct. 2014, 80, 339–349. [Google Scholar] [CrossRef]
- Su, M.-N.; Young, B.; Gardner, L. Testing and design of aluminum alloy cross sections in compression. J. Struct. Eng. 2014, 140, 4014047. [Google Scholar] [CrossRef]
- Su, M.-N.; Young, B.; Gardner, L. Continuous beams of aluminum alloy tubular cross sections. I: Tests and FE model validation. J. Struct. Eng. 2015, 141, 4014232. [Google Scholar] [CrossRef]
- Su, M.-N.; Young, B.; Gardner, L. Continuous beams of aluminum alloy tubular cross sections. II: Parametric study and design. J. Struct. Eng. 2015, 141, 4014233. [Google Scholar] [CrossRef]
- Lan, X.; Chen, J.; Chan, T.-M.; Young, B. The continuous strength method for the design of high strength steel tubular sections in compression. Eng. Struct. 2018, 162, 177–187. [Google Scholar] [CrossRef]
- Lan, X.; Chen, J.; Chan, T.-M.; Young, B. The continuous strength method for the design of high strength steel tubular sections in bending. J. Constr. Steel Res. 2019, 160, 499–509. [Google Scholar] [CrossRef]
- Zhao, O.; Gardner, L.; Young, B. Structural performance of stainless steel circular hollow sections under combined axial load and bending—Part 2: Parametric studies and design. Thin-Walled Struct. 2016, 101, 240–248. [Google Scholar] [CrossRef]
- Zhao, O.; Rossi, B.; Gardner, L.; Young, B. Experimental and Numerical Studies of Ferritic Stainless Steel Tubular Cross Sections under Combined Compression and Bending. J. Struct. Eng. 2016, 142, 04015110. [Google Scholar] [CrossRef]
- Buchanan, C.; Gardner, L.; Liew, A. The continuous strength method for the design of circular hollow sections. J. Constr. Steel Res. 2016, 118, 207–216. [Google Scholar] [CrossRef]
- GB/T 228.1; Metallic Materials—Tensile Testing—Part 1: Method of Test at Room Temperature. China Planning Press: Beijing, China, 2010.
- Chen, L.H.; Yu, Y.P.; Song, W.; Wang, T.W.; Sun, W.P. Stability of geometrically imperfect struts with Ramberg-Osgood constitutive law. Thin-Walled Struct. 2022, 177, 109438. [Google Scholar] [CrossRef]
- Shen, J.; Wadee, M.A.; Sadowski, A.J. Interactive buckling in long thin-walled rectangular hollow section struts. Int. J. Nonlin. Mech. 2017, 89, 43–58. [Google Scholar] [CrossRef]
- Bai, L.; Wadee, M.A.; Kollner, A.; Yang, J. Variational modelling of local-global mode interaction in long rectangular hollow section struts with Ramberg-Osgood type material nonlinearity. Int. J. Mech. Sci. 2021, 209, 106691. [Google Scholar] [CrossRef]
- Zhu, J.-H.; Young, B. Experimental investigation of aluminum alloy circular hollow section columns. Eng. Struct. 2006, 28, 207–215. [Google Scholar] [CrossRef]
- Wang, Y.; Fan, F.; Lin, S. Experimental investigation on the stability of aluminium alloy 6082 circular tubes in axial compression. Thin-Walled Struct. 2015, 89, 54–66. [Google Scholar] [CrossRef]
- Zhou, F.; Young, B. Concrete-filled aluminum circular hollow section column tests. Thin-Walled Struct. 2009, 47, 1272–1280. [Google Scholar] [CrossRef]
- Feng, P.; Hu, L.; Qian, P.; Ye, L. Compressive bearing capacity of CFRP-aluminum alloy hybrid tubes. Compos. Struct. 2016, 140, 749–757. [Google Scholar] [CrossRef]















| No. | Specimen | Outer Diameter D/mm | Thickness t/mm | Length L/mm | Aluminum Alloy Grade |
|---|---|---|---|---|---|
| 1 | SC-7X-86-8.6-A | 86 | 8.6 | 258 | 7A04-T6 |
| 2 | SC-7X-86-8.6-B | 86 | 8.6 | 258 | |
| 3 | SC-6X-50-1.5-A | 50 | 1.5 | 150 | 6061-T6 |
| 4 | SC-6X-50-1.5-B | 50 | 1.5 | 150 | |
| 5 | SC-6X-50-1.5-C | 50 | 1.5 | 150 | |
| 6 | SC-6X-50-3-A | 50 | 3 | 150 | |
| 7 | SC-6X-50-3-B | 50 | 3 | 150 | |
| 8 | SC-6X-50-3-C | 50 | 3 | 150 | |
| 9 | SC-6X-50-4-A | 50 | 4 | 150 | |
| 10 | SC-6X-50-4-B | 50 | 4 | 150 | |
| 11 | SC-6X-50-4-C | 50 | 4 | 150 |
| Specimen | /GPa | /MPa | /MPa | /% | |
|---|---|---|---|---|---|
| 7A04-1 | 72.539 | 465 | 574 | 10 | 19.2 |
| 7A04-2 | 72.939 | 461 | 557 | 8.0 | 20.1 |
| 7A04-3 | 71.266 | 468 | 547 | 7.0 | 23.4 |
| 7A04-4 | 70.838 | 468 | 570 | 9.5 | 20.4 |
| Mean | 71.896 | 465.5 | 562 | 8.6 | 20.8 |
| Specimen | /GPa | /MPa | /MPa | |
|---|---|---|---|---|
| SC-6X-50-4-A | 59.848 | 250 | 308 | 15.7 |
| SC-6X-50-4-B | 59.561 | 253 | 305 | 19.1 |
| SC-6X-50-4-C | 57.275 | 255 | 306 | 20.9 |
| Mean | 58.895 | 253 | 306 | 18.6 |
| SC-6X-50-3-A | 68.954 | 250 | 281 | 21.2 |
| SC-6X-50-3-B | 62.469 | 254 | 285 | 18.9 |
| SC-6X-50-3-C | 61.000 | 249 | 282 | 22.5 |
| Mean | 64.141 | 251 | 283 | 20.8 |
| SC-6X-50-1.5-A | 63.668 | 220 | 230 | 23.6 |
| SC-6X-50-1.5-B | 60.944 | 224 | 233 | 27.5 |
| SC-6X-50-1.5-C | - | - | - | |
| Mean | 62.306 | 222 | 232 | 25.6 |
| Specimen | /kN | /mm | Failure Mode | ||
|---|---|---|---|---|---|
| SC-7X-86-8.6-A | 0.229 | 1338 | 26.775 | 1.375 | Yielding |
| SC-7X-86-8.6-B | 0.229 | 1342 | 26.908 | 1.379 | Yielding |
| SC-6X-50-4-A | 0.205 | 178.1 | 9.579 | 1.232 | Yielding |
| SC-6X-50-4-B | 0.207 | 176.5 | 9.141 | 1.207 | Yielding |
| SC-6X-50-4-C | 0.212 | 177.1 | 9.495 | 1.201 | Yielding |
| SC-6X-50-3-A | 0.221 | 124.6 | 5.065 | 1.125 | Yielding |
| SC-6X-50-3-B | 0.234 | 126.2 | 5.137 | 1.122 | Yielding |
| SC-6X-50-3-C | 0.234 | 125.1 | 5.097 | 1.134 | Yielding |
| SC-6X-50-1.5-A | 0.305 | 52.6 | 1.552 | 1.046 | Yielding |
| SC-6X-50-1.5-B | 0.315 | 53.2 | 1.612 | 1.039 | Yielding |
| SC-6X-50-1.5-C | - | 50.1 | 1.582 | - | - |
| Specimen | /kN | /kN | |
|---|---|---|---|
| SC-7X-86-8.6-A | 1302.93 | 1338 | 0.971 |
| SC-7X-86-8.6-B | 1302.93 | 1342 | 0.971 |
| SC-6X-50-4-A | 183.628 | 178.1 | 1.031 |
| SC-6X-50-4-B | 177.805 | 176.5 | 1.007 |
| SC-6X-50-4-C | 176.080 | 177.1 | 0.994 |
| SC-6X-50-3-A | 127.225 | 124.6 | 1.021 |
| SC-6X-50-3-B | 131.708 | 126.2 | 1.044 |
| SC-6X-50-3-C | 125.527 | 125.8 | 0.998 |
| SC-6X-50-1.5-A | 53.395 | 52.6 | 1.015 |
| SC-6X-50-1.5-B | 53.644 | 53.2 | 1.008 |
| Mean | 1.006 | ||
| COV | 0.024 |
| Mean | 1.153 | 1.093 | 1.043 |
| COV | 0.126 | 0.062 | 0.042 |
Disclaimer/Publisher’s Note: The statements, opinions and data contained in all publications are solely those of the individual author(s) and contributor(s) and not of MDPI and/or the editor(s). MDPI and/or the editor(s) disclaim responsibility for any injury to people or property resulting from any ideas, methods, instructions or products referred to in the content. |
© 2024 by the authors. Licensee MDPI, Basel, Switzerland. This article is an open access article distributed under the terms and conditions of the Creative Commons Attribution (CC BY) license (https://creativecommons.org/licenses/by/4.0/).
Share and Cite
Chen, L.; Xu, W.; Chen, Y.; Sun, W. A New Continuous Strength Method for Prediction of Strain-Hardening Performance of High-Strength Aluminum Alloy Cylindrical Columns. Buildings 2024, 14, 3055. https://doi.org/10.3390/buildings14103055
Chen L, Xu W, Chen Y, Sun W. A New Continuous Strength Method for Prediction of Strain-Hardening Performance of High-Strength Aluminum Alloy Cylindrical Columns. Buildings. 2024; 14(10):3055. https://doi.org/10.3390/buildings14103055
Chicago/Turabian StyleChen, Lihui, Weikai Xu, Yusong Chen, and Weipeng Sun. 2024. "A New Continuous Strength Method for Prediction of Strain-Hardening Performance of High-Strength Aluminum Alloy Cylindrical Columns" Buildings 14, no. 10: 3055. https://doi.org/10.3390/buildings14103055
APA StyleChen, L., Xu, W., Chen, Y., & Sun, W. (2024). A New Continuous Strength Method for Prediction of Strain-Hardening Performance of High-Strength Aluminum Alloy Cylindrical Columns. Buildings, 14(10), 3055. https://doi.org/10.3390/buildings14103055

