Effect of Citric Acid-Modified Chitosan on Hydration Regulation and Mechanism of Composite Cementitious Material System
Abstract
:1. Introduction
2. Materials and Methods
2.1. Materials
2.2. Specimen Preparation
2.3. Tests for Property Evaluation
2.3.1. Heat of Hydration
2.3.2. Phase Analysis
2.3.3. MIP
2.3.4. SEM
2.3.5. NMR
3. Result and Discussion
3.1. Heat of Hydration
3.2. Phase Analysis
3.3. Degree of Hydration Reaction
3.4. Changes in Content of Clinker Phase and Hydration Products
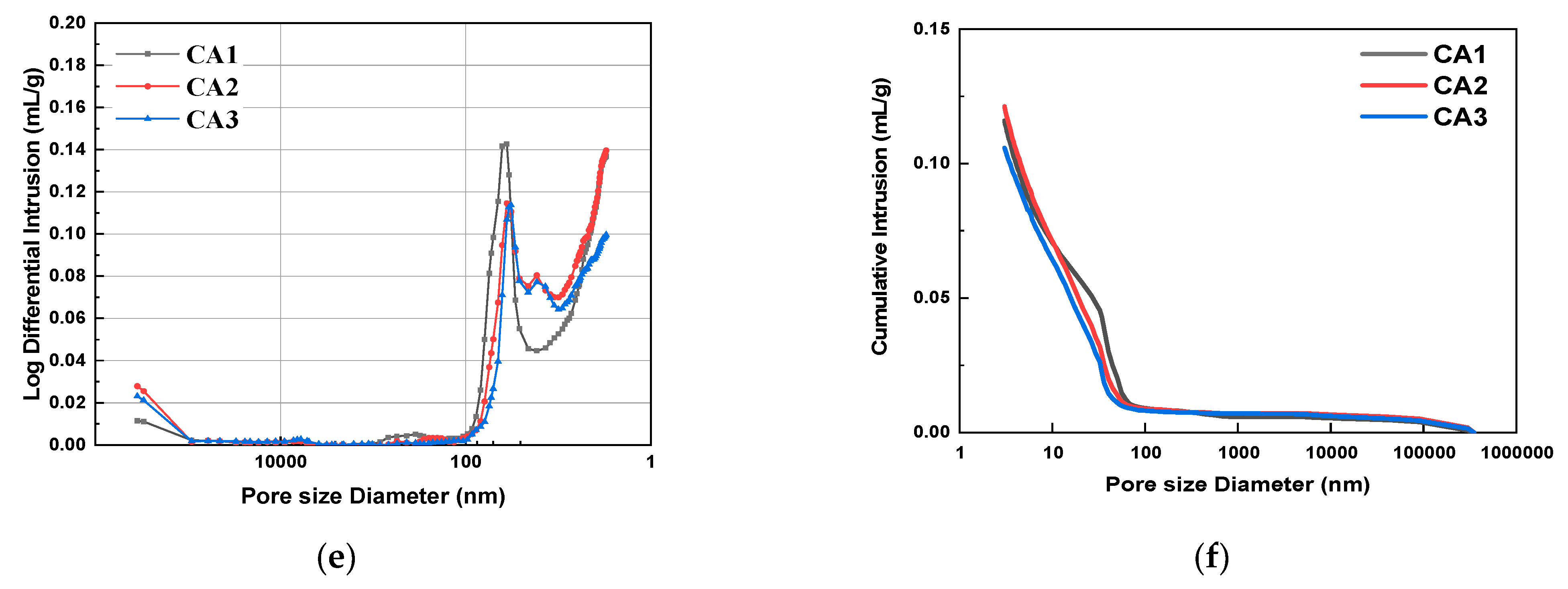
3.5. MIP
3.6. SEM
3.7. NMR
4. Conclusions
- (1)
- The addition of CAMC can delay the hydration process of cementitious materials. With the increase of CAMC dosage, the first and second hydration exothermic peaks of the slurry are delayed and the peak intensity is significantly reduced. The first exothermic peak of the CA3 sample decreased by about 40% compared to the maximum exothermic rate of the CA1 sample, and the maximum exothermic peak appeared after a delay of about 13 h, indicating that CAMC can delay the hydration of cement and significantly reduce the hydration heat release rate of the slurry, and the higher the content within a certain range, the better the effect.
- (2)
- CAMC has no effect on the type of hydration products but has a slight impact on the content of each phase of the hydration products. In the early stage of hydration, with the increase of CAMC content, the characteristic peak of CH appears delayed in time and its intensity decreases. At the age of 3 d, as the CAMC dosage increases from 0.1% to 0.3%, the CH peak intensity also gradually increases, while the C2S and C3S peak intensity decreases. In the XRD spectrum at 28 d, the peak positions of all samples are almost the same, and the intensities of CH, C2S, C3S, AFm, and other peaks are also equivalent.
- (3)
- Based on the degree of hydration reaction of cement clinker and the changes in various components and CH and AFt contents, it can be seen that with the increase of CAMC dosage, the overall hydration rate of cement slows down and the degree of hydration reaction decreases. This effect is particularly evident in the early stages of hydration. The retarding effect of CAMC mainly acts on the silicon phase, which can reduce the CH content in the system in the early stage of hydration and delay cement hydration.
- (4)
- As hydration progresses, the total porosity of each group of slurries decreases, and the volume of large pores decreases while the volume of small pores increases. In the early stage of hydration, the smaller the amount of CAMC added, the denser the structure of the hydration product. CAMC can make C-S-H gel form floccules, it can inhibit the formation of needle-like C-S-H in the early stage of hydration, and the delayed hydration effect of CAMC almost disappears in the late stage of hydration. As the content of CAMC increases, the pore size of the hardened slurry gradually refines, the proportion of large pores decreases, and the hydration microstructure becomes denser in the later stage.
- (5)
- With the increase of CAMC dosage, the strength of the Q2 peak in the slurry will decrease and the aluminum atom of Q2 (1Al) exists in the form of Alcoordination in the sample. CAMC can reduce its hydration degree and delay cement hydration.
Author Contributions
Funding
Data Availability Statement
Conflicts of Interest
References
- Peschard, A.; Govin, A.; Grosseau, P.; Guilhot, B.; Guyonnet, R. Effect of polysaccharides on the hydration of cement paste at early ages. Cem. Concr. Res. 2004, 34, 2153–2158. [Google Scholar] [CrossRef]
- Yang, Z.; Gao, Y.; Mu, S.; Chang, H.; Sun, W.; Jiang, J. Improving the chloride binding capacity of cement paste by adding nano-Al2O3. Constr. Build. Mater. 2019, 195, 415–422. [Google Scholar] [CrossRef]
- Pourchez, J.; Ruot, B.; Debayle, J.; Pourchez, E.; Grosseau, P. Some aspects of cellulose ethers influence on water transport and porous structure of cement-based materials. Cem. Concr. Res. 2010, 40, 242–252. [Google Scholar] [CrossRef]
- Patural, L.; Marchal, P.; Govin, A.; Grosseau, P.; Ruot, B.; Devès, O. Cellulose ethers influence on water retention and consistency in cement-based mortars. Cem. Concr. Res. 2011, 41, 46–55. [Google Scholar] [CrossRef]
- Hou, P.; Cai, Y.; Cheng, X.; Zhang, X.; Zhou, Z.; Ye, Z.; Zhang, L.; Li, W.; Shah, S.P. Effects of the hydration reactivity of ultrafine magnesium oxide on cement-based materials. Mag. Concr. Res. 2017, 69, 1135–1145. [Google Scholar] [CrossRef]
- Azenha, M.; Lameiras, R.; De Sousa, C.; Barros, J. Application of air cooled pipes for reduction of early age cracking risk in a massive RC wall. Eng. Struct. 2014, 62–63, 148–163. [Google Scholar] [CrossRef]
- Ismail, M.; Noruzman, A.H.; Bhutta, M.A.R.; Yusuf, T.O.; Ogiri, I.H. Effect of vinyl acetate effluent in reducing heat of hydration of concrete. KSCE J. Civ. Eng. 2016, 20, 145–151. [Google Scholar] [CrossRef]
- Khil, B.S.; Jang, S.J.; Choi, W.C.; Yun], H.D. Effect of barium-based phase change material (PCM) to control the heat of hydration on the mechanical properties of mass concrete. Thermochim. Acta 2015, 613, 100–107. [Google Scholar]
- Won-Chang, C.; Bae-Soo, K.; Young-Seok, C.; Qi-Bo, L.; Hyun-Do, Y. Feasibility of Using Phase Change Materials to Control the Heat of Hydration in Massive Concrete Structures. Sci. World J. 2014, 2014, 781393. [Google Scholar]
- Alkhraisat, M.H.; Rueda, C.; Jerez, L.B.; MariñO, F.T.; Torres, J.; Gbureck, U.; Cabarcos, E.L. Effect of silica gel on the cohesion, properties and biological performance of brushite cement. Acta Biomater. 2010, 6, 257–265. [Google Scholar] [CrossRef] [PubMed]
- Pan, Z.H.; Cai, H.P.; Jiang, P.P.; Fan, Q.Y. Properties of a calcium phosphate cement synergistically reinforced by chitosan fiber and gelatin. J. Polym. Res. 2006, 13, 323–327. [Google Scholar] [CrossRef]
- Wang, L.; Ju, S.; Wang, L.; Wang, F.; Sui, S.; Yang, Z.; Liu, Z.; Chu, H.; Jiang, J. Effect of citric acid-modified chitosan on the hydration and microstructure of Portland cement paste. J. Sustain. Cem.-Based Mater. 2023, 12, 83–96. [Google Scholar] [CrossRef]
- Wang, L.; Wang, F.; Sui, S.; Ju, S.; Qin, Z.; Su, W.; Jiang, J. Adsorption capacity and mechanism of citric acid-modified chitosan on the cement particle surface. J. Sustain. Cem.-Based Mater. 2023, 12, 893–906. [Google Scholar] [CrossRef]
- Wang, L.; Zhang, Y.; Guo, L.; Wang, F.; Ju, S.; Sui, S.; Liu, Z.; Chu, H.; Jiang, J. Effect of citric-acid-modified chitosan (CAMC) on hydration kinetics of tricalcium silicate (C3S). J. Mater. Res. Technol. 2022, 21, 3604–3616. [Google Scholar] [CrossRef]
- Richardson, I.; Groves, G. The structure of the calcium silicate hydrate phases present in hardened pastes of white Portland cement/blast-furnace slag blends. J. Mater. Sci. 1997, 32, 4793–4802. [Google Scholar] [CrossRef]
- Andersen, M.D.; Jakobsen, H.J.; Skibsted, J. Characterization of white Portland cement hydration and the CSH structure in the presence of sodium aluminate by 27Al and 29Si MAS NMR spectroscopy. Cem. Concr. Res. 2004, 34, 857–868. [Google Scholar] [CrossRef]











| Material | CaO | SiO2 | Al2O3 | Fe2O3 | SO3 | MgO | K2O | Na2O | TiO2 | Loss |
|---|---|---|---|---|---|---|---|---|---|---|
| PC | 63.62 | 19.70 | 4.45 | 2.93 | 2.93 | 1.28 | 0.68 | 0.12 | 0.27 | 3.92 |
| FA | 17.60 | 65.67 | 6.84 | 0.06 | - | 0.08 | 0.04 | 0.035 | 0.015 | 9.639 |
| GGBS | 40.918 | 34.125 | 15.921 | 0.53 | 2.31 | 4.60 | 0.218 | 0.364 | 0.695 | 0.319 |
| Density (g/cm3) | Specific Surface Area (m2/kg) | Water Demand (wt.%) | Initial Setting Time (min) | Final Setting Time (min) | Flexural Strength (MPa) | Compressive Strength (MPa) | ||
|---|---|---|---|---|---|---|---|---|
| 3 d | 28 d | 3 d | 28 d | |||||
| 3.12 | 372 | 30 | 174 | 275 | 5.10 | 8.15 | 30.75 | 54.04 |
| NO. | PC | FA | GGBS | CAMC | W |
|---|---|---|---|---|---|
| CA1 | 340 | 110 | 60 | 0.1% | 204 |
| CA2 | 340 | 110 | 60 | 0.2% | 204 |
| CA3 | 340 | 110 | 60 | 0.3% | 204 |
| NO.-Age | Porosity (%) | Mean Pore Diameter (nm) | Aperture Distribution Ratio (%) | |||
|---|---|---|---|---|---|---|
| <20 nm | 20~50 nm | 50~200 nm | >200 nm | |||
| CA1-3d | 25.06 | 11.44 | 51.65 | 23.11 | 19.33 | 5.91 |
| CA2-3d | 29.42 | 12.41 | 43.88 | 19.29 | 28.70 | 8.13 |
| CA3-3d | 26.31 | 13.64 | 40.18 | 22.43 | 32.30 | 5.09 |
| CA1-7d | 21.49 | 8.92 | 67.37 | 23.23 | 3.22 | 6.18 |
| CA2-7d | 19.32 | 8.94 | 62.26 | 27.57 | 6.63 | 3.54 |
| CA3-7d | 26.83 | 10.94 | 52.79 | 28.64 | 10.15 | 8.42 |
| CA1-28d | 19.25 | 9.73 | 52.11 | 30.55 | 10.31 | 7.03 |
| CA2-28d | 20.97 | 9.21 | 61.66 | 26.84 | 4.75 | 6.75 |
| CA3-28d | 18.33 | 9.63 | 61.67 | 27.92 | 3.20 | 7.21 |
Disclaimer/Publisher’s Note: The statements, opinions and data contained in all publications are solely those of the individual author(s) and contributor(s) and not of MDPI and/or the editor(s). MDPI and/or the editor(s) disclaim responsibility for any injury to people or property resulting from any ideas, methods, instructions or products referred to in the content. |
© 2023 by the authors. Licensee MDPI, Basel, Switzerland. This article is an open access article distributed under the terms and conditions of the Creative Commons Attribution (CC BY) license (https://creativecommons.org/licenses/by/4.0/).
Share and Cite
Wang, L.; Qin, Z.; Wu, J.; Sheng, G.; Wang, H.; Liu, K.; Dong, X.; Wang, F.; Jiang, J. Effect of Citric Acid-Modified Chitosan on Hydration Regulation and Mechanism of Composite Cementitious Material System. Buildings 2024, 14, 41. https://doi.org/10.3390/buildings14010041
Wang L, Qin Z, Wu J, Sheng G, Wang H, Liu K, Dong X, Wang F, Jiang J. Effect of Citric Acid-Modified Chitosan on Hydration Regulation and Mechanism of Composite Cementitious Material System. Buildings. 2024; 14(1):41. https://doi.org/10.3390/buildings14010041
Chicago/Turabian StyleWang, Liguo, Zhibin Qin, Jiandong Wu, Guangxia Sheng, Han Wang, Kai Liu, Xiaobin Dong, Fengjuan Wang, and Jinyang Jiang. 2024. "Effect of Citric Acid-Modified Chitosan on Hydration Regulation and Mechanism of Composite Cementitious Material System" Buildings 14, no. 1: 41. https://doi.org/10.3390/buildings14010041
APA StyleWang, L., Qin, Z., Wu, J., Sheng, G., Wang, H., Liu, K., Dong, X., Wang, F., & Jiang, J. (2024). Effect of Citric Acid-Modified Chitosan on Hydration Regulation and Mechanism of Composite Cementitious Material System. Buildings, 14(1), 41. https://doi.org/10.3390/buildings14010041

