Refined Simulation of Reinforced Concrete Beam Based on a Hybrid Peridynamic Method
Abstract
1. Introduction
2. The Theory of Peridynamics
2.1. BPD Theory
2.2. SPD Theory
2.3. Hybrid Peridynamic Method
3. Applications
3.1. Introduction of the Experiment
3.2. The PD Model of the RC Beams
3.2.1. The Geometric Model
3.2.2. The TDP Model
3.2.3. The Bilinear Model
3.3. RC Beam with a Shear Span-to-Depth Ratio of 1.5
3.3.1. The Detailed Model of BEAM1.5
3.3.2. Comparison of Force–deflection Curve
3.3.3. Comparison of the Shear Force–Strain Curves for Stirrups
3.3.4. Strain Distribution of Stirrups
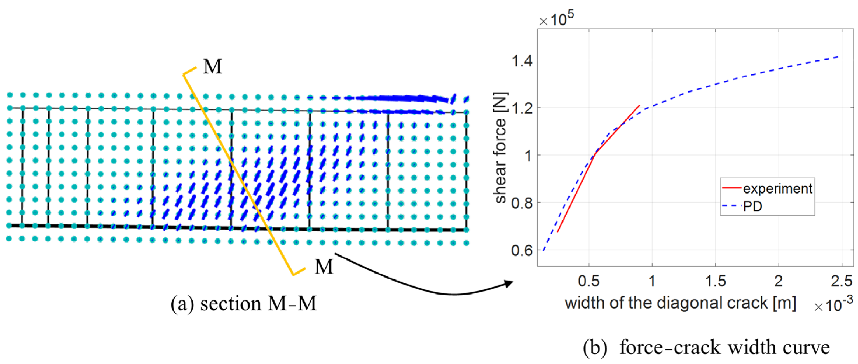
3.3.5. Analysis of the Shear Crack
3.4. RC Beam with a Shear Span-to-Depth Ratio of 2.0
3.4.1. The Detail Model of BEAM2.0
3.4.2. Comparison of Force–deflection Curve
3.4.3. Comparison of the Shear Force–strain Curves for Stirrups
3.4.4. Strain Distribution of Stirrups
3.4.5. Analysis of the Shear Crack
3.5. RC Beam with a Shear Span-to-Depth Ratio of 2.6
3.5.1. The Detailed Model of BEAM2.6
3.5.2. Comparison of Force–deflection Curve
3.5.3. Comparison of the Shear Force–strain Curves for Stirrups
3.5.4. Strain Distribution of Stirrups
3.5.5. Analysis of the Shear Crack
4. Conclusions
Author Contributions
Funding
Data Availability Statement
Conflicts of Interest
Appendix A


References
- Łodygowski, T.; Sumelka, W. Limitations in application of finite element method in acoustic numerical simulation. J. Theor. Appl. Mech. 2006, 44, 849–865. [Google Scholar]
- Nwanoro, K.C.; Lu, H.; Yin, C.; Bailey, C. Advantages of the extended finite element method for the analysis of crack propagation in power modules. Power Electron. Devices Compon. 2023, 4, 100027. [Google Scholar] [CrossRef]
- Wang, T.; Zhang, F.; Furtney, J.; Damjanac, B. A review of methods, applications and limitations for incorporating fluid flow in the discrete element method. J. Rock. Mech. Geotech. Eng. 2022, 14, 1005–1024. [Google Scholar] [CrossRef]
- Radjai, F.; Dubois, F. Discrete-Element Modeling of Granular Materials; Wiley-Iste: Hoboken, NJ, USA, 2011. [Google Scholar]
- Wang, L.; Huang, S.; Gu, Q.; Sun, B.; Li, S.; Lin, Z. Simulation of highly nonlinear materials based on a stabilized non-ordinary state-based peridynamic model. Soil Dyn. Earthq. Eng. 2022, 157, 107250. [Google Scholar] [CrossRef]
- Sun, B.; Li, S.; Gu, Q.; Ou, J. Coupling of peridynamic and numerical substructure method for modeling structures with local discontinuities. Comput. Model. Eng. Sci. 2019, 120, 739–757. [Google Scholar] [CrossRef]
- Silling, S.A. Reformulation of elasticity theory for discontinuities and long-range forces. J. Mech. Phys. Solids 2000, 48, 175–209. [Google Scholar] [CrossRef]
- Huang, X.; Bie, Z.; Wang, L.; Jin, Y.; Liu, X.; Su, G.; He, X. Finite element method of bond-based peridynamics and its ABAQUS implementation. Eng. Fract. Mech. 2019, 206, 408–426. [Google Scholar] [CrossRef]
- Silling, S.A.; Askari, E. A meshfree method based on the peridynamic model of solid mechanics. Comput. Struct. 2005, 83, 1526–1535. [Google Scholar] [CrossRef]
- Huang, D.; Zhang, Q.; Qiao, P. Damage and progressive failure of concrete structures using non-local peridynamic modeling. Sci. China Technol. Sci. 2011, 54, 591–596. [Google Scholar] [CrossRef]
- Demmie, P.N.; Preece, D.S.; Silling, S.A. Warhead Fragmentation Modeling with Peridynamics; Sandia National Lab. (SNL-NM): Albuquerque, NM, USA, 2007. [Google Scholar]
- Zhang, N.; Gu, Q.; Huang, S.; Xue, X.; Li, S. A practical bond-based peridynamic modeling of reinforced concrete structures. Eng. Struct. 2021, 244, 112748. [Google Scholar] [CrossRef]
- Zheng, G.; Shen, G.; Xia, Y.; Hu, P. A bond-based peridynamic model considering effects of particle rotation and shear influence coefficient. Int. J. Numer. Methods Eng. 2020, 121, 93–109. [Google Scholar] [CrossRef]
- Bobaru, F.; Duangpanya, M. The peridynamic formulation for transient heat conduction. Int. J. Heat. Mass. Transf. 2010, 53, 4047–4059. [Google Scholar] [CrossRef]
- Mikata, Y. Peridynamics for fluid mechanics and acoustics. Acta Mech. 2021, 232, 3011–3022. [Google Scholar] [CrossRef]
- Diyaroglu, C.; Oterkus, S.; Oterkus, E.; Madenci, E.; Han, S.; Hwang, Y. Peridynamic wetness approach for moisture concentration analysis in electronic packages. Microelectron. Reliab. 2017, 70, 103–111. [Google Scholar] [CrossRef]
- Ni, T.; Zaccariotto, M.; Zhu, Q.-Z.; Galvanetto, U. Coupling of FEM and ordinary state-based peridynamics for brittle failure analysis in 3D. Mech. Adv. Mater. Struct. 2021, 28, 875–890. [Google Scholar] [CrossRef]
- Sun, W.; Fish, J.; Zhang, G. Superposition of non-ordinary state-based peridynamics and finite element method for material failure simulations. Meccanica 2020, 55, 681–699. [Google Scholar] [CrossRef]
- Gu, Q.; Wang, L.; Huang, S. Integration of peridynamic theory and opensees for solving problems in civil engineering. Comput. Model. Eng. Sci. 2019, 120, 471–489. [Google Scholar] [CrossRef]
- Lu, J.; Zhang, Y.; Muhammad, H.; Chen, Z.; Xiao, Y.; Ye, B. 3D analysis of anchor bolt pullout in concrete materials using the non-ordinary state-based peridynamics. Eng. Fract. Mech. 2019, 207, 68–85. [Google Scholar] [CrossRef]
- Dong, Y.; Su, C.; Qiao, P. An improved mesoscale damage model for quasi-brittle fracture analysis of concrete with ordinary state-based peridynamics. Theor. Appl. Fract. Mech. 2021, 112, 102829. [Google Scholar] [CrossRef]
- Gu, Q.; Lin, Z.; Wang, L.; Sun, B.; Pan, J. A practical stress correction method for improving stability of state-based peridynamics based on stress equilibrium equation. Int. J. Struct. Stab. Dyn. 2022, 22, 2250094. [Google Scholar] [CrossRef]
- Li, P.; Hao, Z.; Zhen, W. A stabilized non-ordinary state-based peridynamic model. Comput. Methods Appl. Mech. Eng. Technol. 2018, 339, 262–280. [Google Scholar] [CrossRef]
- Chowdhury, S.R.; Roy, P.; Roy, D.; Reddy, J. A modified peridynamics correspondence principle: Removal of zero-energy deformation and other implications. Comput. Methods Appl. Mech. Eng. 2019, 346, 530–549. [Google Scholar] [CrossRef]
- Chen, H.; Spencer, B.W. Peridynamic bond-associated correspondence model: Stability and convergence properties. Int. J. Numer. Methods Eng. 2019, 117, 713–727. [Google Scholar] [CrossRef]
- Silling, S.A. Stability of peridynamic correspondence material models and their particle discretizations. Comput. Methods Appl. Mech. Eng. 2017, 322, 42–57. [Google Scholar] [CrossRef]
- Breitenfeld, M.S.; Geubelle, P.H.; Weckner, O.; Silling, S.A. Non-ordinary state-based peridynamic analysis of stationary crack problems. Comput. Methods Appl. Mech. Eng. 2014, 272, 233–250. [Google Scholar] [CrossRef]
- Gu, Q.; Lin, Z.; Wang, L.; Huang, S.; Li, S. A stabilized hybrid peridynamic method compatible with constitutive models of different dimensions. Soil. Dyn. Earthq. Eng. 2023, 172, 107903. [Google Scholar] [CrossRef]
- Xue, X.; Seki, H. Influence of longitudinal bar corrosion on shear behavior of RC beams. J. Adv. Concr. Technol. 2010, 8, 145–156. [Google Scholar] [CrossRef]
- Silling, S.A.; Epton, M.; Weckner, O.; Xu, J.; Askari, E. Peridynamic states and constitutive modeling. J. Elast. 2007, 88, 151–184. [Google Scholar] [CrossRef]
- Xin, X.; Seki, H.; Hiromori, S. Influence of reinforcing bar corrosion on shear behavior of rc beams. Doboku Gakkai Ronbunshuu E 2005, 65, 161–177. [Google Scholar]
- Drucker, D.C.; Prager, W. Soil mechanics and plastic analysis or limit design. Q. Appl. Math. 1952, 10, 157–165. [Google Scholar] [CrossRef]
- Schreppers, G.J.; Frissen, C.; Kang, H.J.; Prediction of Crack-Width and Crack-Pattern. TNO DIANA BV, The Netherlands. 2011. Available online: https://dianafea.com/prediction-of-crack-width-crack-pattern/ (accessed on 20 June 2023).


























| ID | Shear Span-to-Depth Ratio | (m) | (m) | S1 (m) | S2 (m) |
|---|---|---|---|---|---|
| BEAM1.5 | 1.5 | 0.33 | 0.9 | 0.12 | 0.09 |
| BEAM2.0 | 2.0 | 0.44 | 1.12 | 0.12 | 0.08 |
| BEAM2.6 | 2.6 | 0.58 | 1.4 | 0.12 | 0.1 |
| Material Parameters | (kPa) | (kPa) | α (kPa) | (kPa) | ||
|---|---|---|---|---|---|---|
| 2400 | 1.64 × 107 | 1.22 × 107 | 0.3435 | 1.1 × 104 | −1.43 × 103 |
| (kPa) | (kPa) | ||
|---|---|---|---|
| longitude reinforcement | 2.482 × 108 | 7.06 × 105 | 0.02 |
| assembly bars | 2.482 × 108 | 3 × 105 | 0.02 |
| stirrups | 2.482 × 108 | 3 × 105 | 0.02 |
| Width of Crack | 0.25 | 0.3 | 0.4 | 0.5 | 0.55 | 0.65 | 0.75 | |
|---|---|---|---|---|---|---|---|---|
| Load ((N)) | Experiment | 1.19 | 1.39 | 1.49 | 1.60 | 1.69 | 1.79 | 1.89 |
| HPD | 1.42 | 1.51 | 1.67 | 1.81 | 1.88 | 2.00 | 2.12 | |
| Width of Crack | 0.01 | 0.31 | 0.51 | 0.6 | 0.7 | 0.96 | |
|---|---|---|---|---|---|---|---|
| Load ((N)) | Experiment | 0.84 | 1.10 | 1.30 | 1.40 | 1.49 | 1.6 |
| HPD | 0.88 | 1.15 | 1.26 | 1.31 | 1.35 | 1.44 | |
| Width of Crack | 0.25 | 0.55 | 0.90 | |
|---|---|---|---|---|
| Load (N) | Experiment | 0.67 | 1.0 | 1.21 |
| HPD | 0.67 | 0.94 | 1.18 | |
Disclaimer/Publisher’s Note: The statements, opinions and data contained in all publications are solely those of the individual author(s) and contributor(s) and not of MDPI and/or the editor(s). MDPI and/or the editor(s) disclaim responsibility for any injury to people or property resulting from any ideas, methods, instructions or products referred to in the content. |
© 2023 by the authors. Licensee MDPI, Basel, Switzerland. This article is an open access article distributed under the terms and conditions of the Creative Commons Attribution (CC BY) license (https://creativecommons.org/licenses/by/4.0/).
Share and Cite
Lin, C.; Lin, Z.; Xue, X.; He, S.; Wang, L. Refined Simulation of Reinforced Concrete Beam Based on a Hybrid Peridynamic Method. Buildings 2023, 13, 1876. https://doi.org/10.3390/buildings13071876
Lin C, Lin Z, Xue X, He S, Wang L. Refined Simulation of Reinforced Concrete Beam Based on a Hybrid Peridynamic Method. Buildings. 2023; 13(7):1876. https://doi.org/10.3390/buildings13071876
Chicago/Turabian StyleLin, Chun, Zhe Lin, Xin Xue, Song He, and Lei Wang. 2023. "Refined Simulation of Reinforced Concrete Beam Based on a Hybrid Peridynamic Method" Buildings 13, no. 7: 1876. https://doi.org/10.3390/buildings13071876
APA StyleLin, C., Lin, Z., Xue, X., He, S., & Wang, L. (2023). Refined Simulation of Reinforced Concrete Beam Based on a Hybrid Peridynamic Method. Buildings, 13(7), 1876. https://doi.org/10.3390/buildings13071876
