Improving the Seismic Performance of Steel Frames under Mainshock–Aftershock Using Post-Tensioned Connections
Abstract
1. Introduction
2. Methodology
2.1. Seismic Sequences
- First, the 8 records were integrated to obtain their ground acceleration history.
- Then, the Sa(T1) values of each record in terms of the structural period are estimated.
- The target Sa(T1) values from 0.1 to 2.0 g with 0.1 g increments are divided by the real Sa(T1) values of each record in order to obtain 8 scale factors per each scaling level from 0.1 to 2.0 g.
- The ground acceleration histories were multiplied by the corresponding scale factors.
- The ground acceleration histories were derived by each of the corresponding scale factors to obtain the scaled mainshocks.
- The aftershocks are obtained in order to have values of 0.25, 0.5, 0.75, 1.0 and 1.25 peak ground acceleration PGA of the scaled mainshocks.
2.2. Structural Models
2.3. Nonlinear Behavior of the PT Connection Model
2.4. Dynamic Analyses
3. Numerical Results
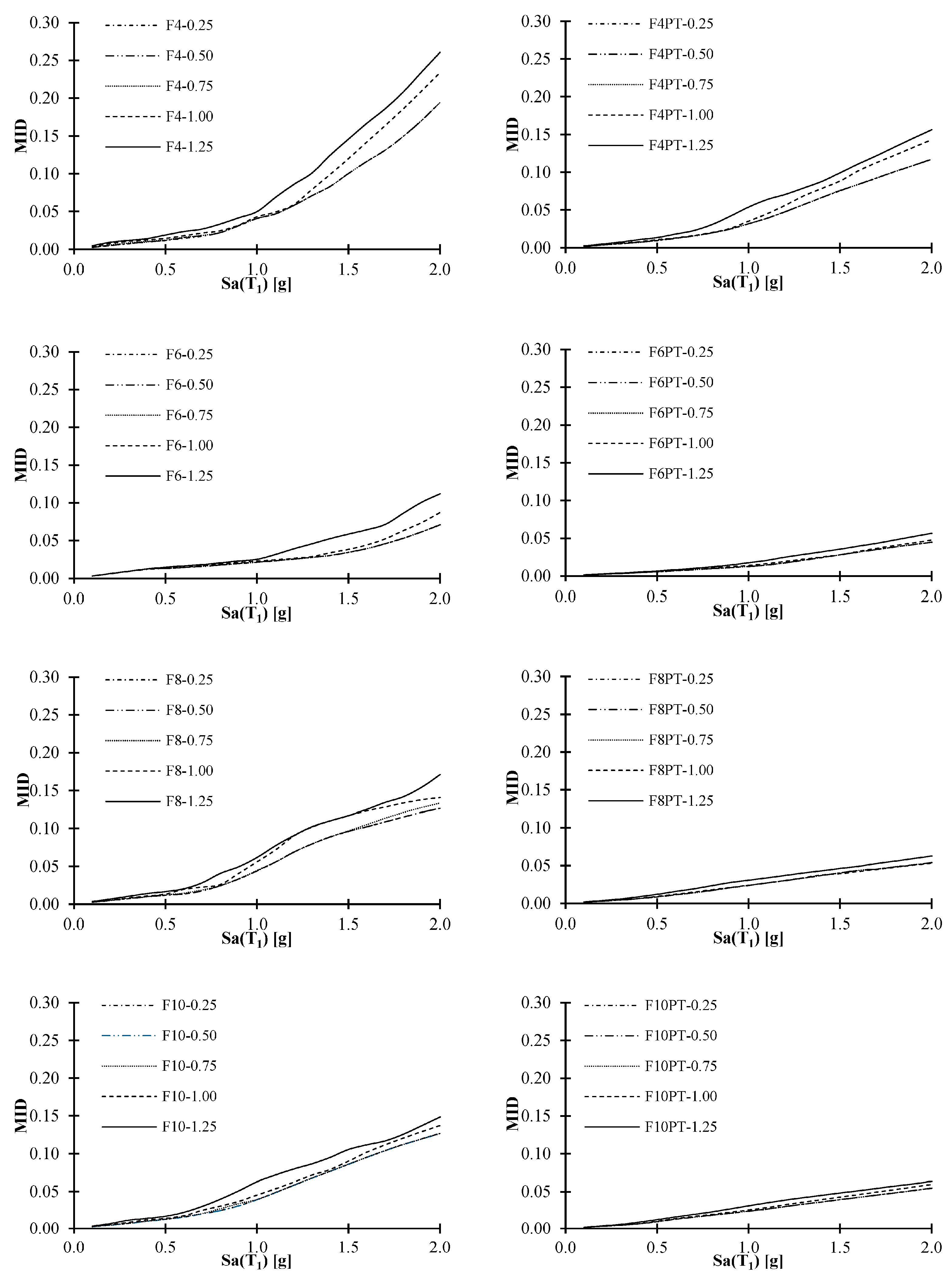
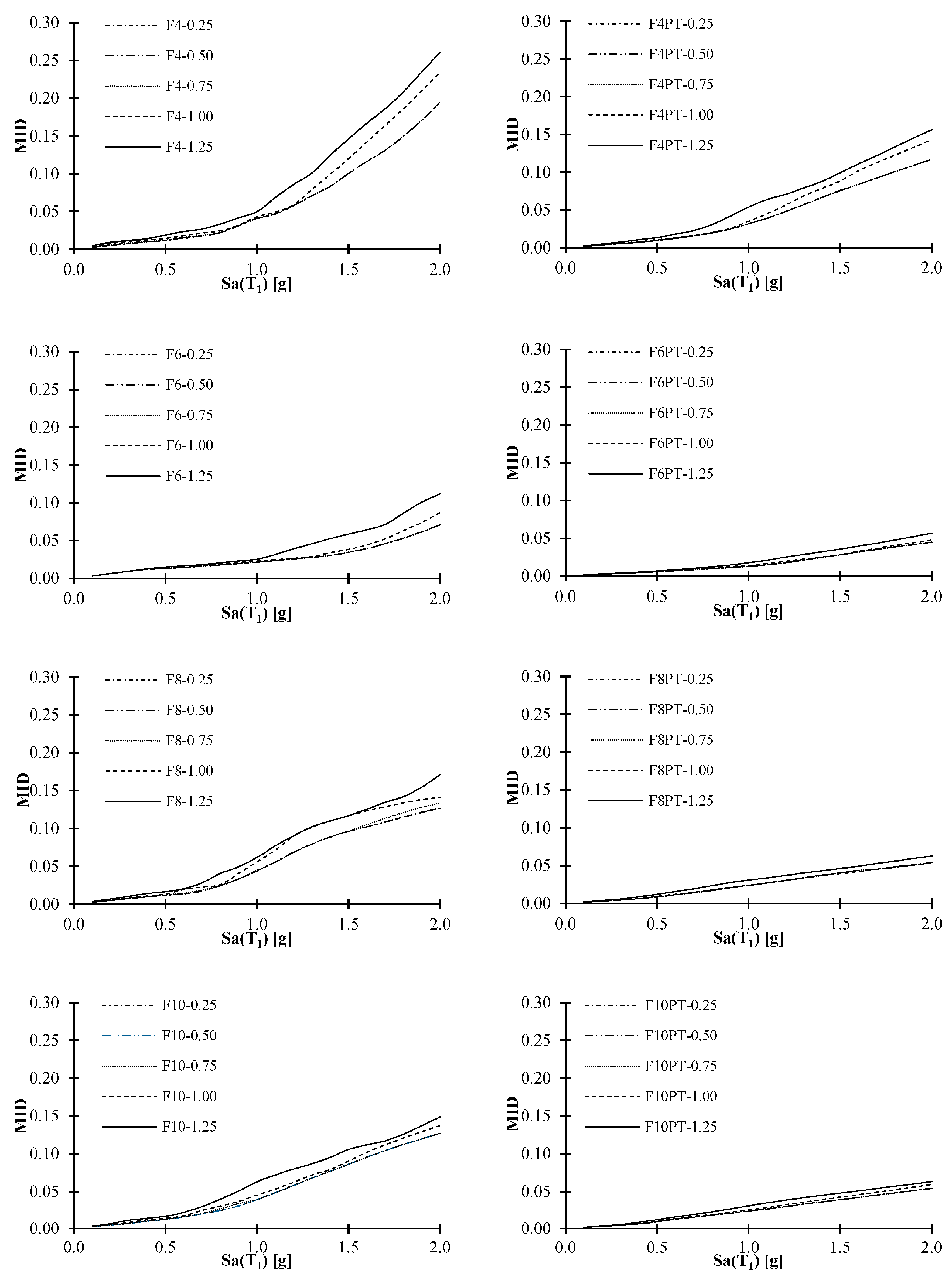
3.1. Results for Maximum Inter-Story Drifts
3.2. Results for Maximum Residual Inter-Story Drift (MRID)
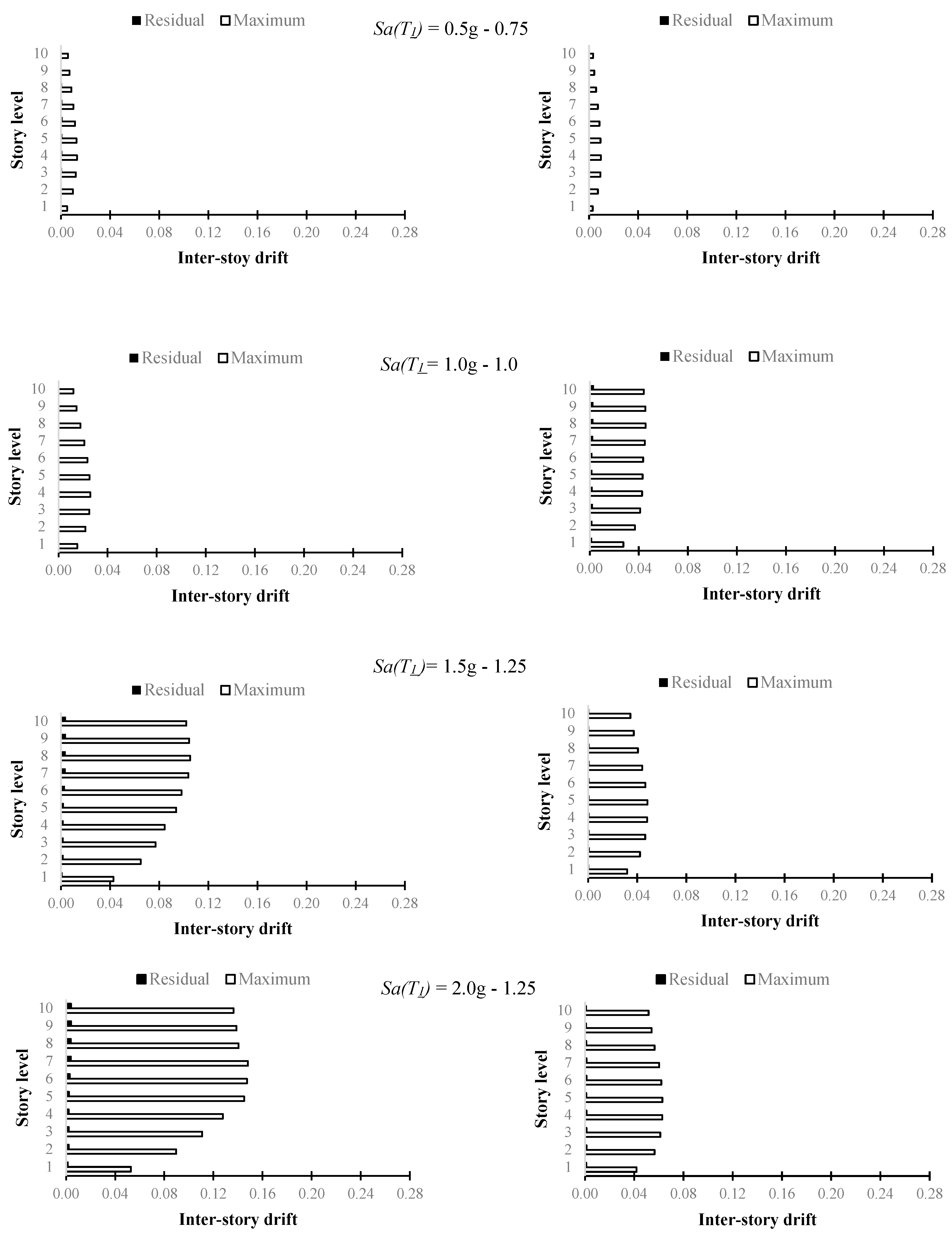
3.3. Peak and Residual Inter-Story Drifts Distribution along the Height
4. Hysteretic Energy Demands (EH)
Normalized Hysteretic Energy (EHN)
5. Conclusions
Author Contributions
Funding
Data Availability Statement
Acknowledgments
Conflicts of Interest
References
- Youssef, N.F.G.; Bonowitz, D.; Gross, J.L. A survey on steel moment-resisting frame buildings affected by the 1994 Northridge earthquake. In Building and Fire Research Laboratory; National Institute of Standard and Technology: Gaithersburg, MD, USA, 1995. [Google Scholar]
- Ricles, J.M.; Sause, R.; Garlock, M.M.; Zhao, C. Posttensioned seismic-resistant connections for steel frames. Posttensioned Seism. Resist. Connect. Steel Fram. 2001, 127, 113–221. [Google Scholar] [CrossRef]
- Garlock, M. Design, analysis and experimental behavior of seimic resistant post-tensioned steel moment resisting frames. Ph. D. Thesis, Lehigh University, Bethlehem, PA, USA, 2002. [Google Scholar]
- Rojas, P.; Ricles, J.M.; Sause, R. Seismic Performance of Post-tensioned Steel Moment Resisting Frames with Friction Devices. ASCE J. Struct. Eng. 2005, 131, 529–540. [Google Scholar] [CrossRef]
- Christopoulos, C.; Filiatrault, A.; Folz, B. Seismic response of self-centering hysteretic SDOF systems. Earthq. Eng. Struct. Dyn. 2002, 31, 1131–1150. [Google Scholar] [CrossRef]
- Moradi, S.; Alam, M.S.; Milani, A.S. Cyclic response sensitivity of post-tensioned steel connections using sequential fractional factorial design. J. Constr. Steel Res. 2015, 112, 155–166. [Google Scholar] [CrossRef]
- Moradi, S.; Alam, M.S. Finite-Element Simulation of Posttensioned Steel Connections with Bolted Angles under Cyclic Loading. J. Struct. Eng. Asce. 2016, 142, 04015075. [Google Scholar] [CrossRef]
- Moradi, S.; Alam, M.S. Lateral load–drift response and limit states of posttensioned steel beam-column connections: Parametric study. J. Struct. Eng. 2017, 143, 4017044. [Google Scholar] [CrossRef]
- Qian, K.; Liu, Y.; Yang, T.; Li, B. Progressive collapse resistance of posttensioned concrete beam-column subassemblages with unbonded posttensioning strands. J. Struct. Eng. 2018, 144, 4017182. [Google Scholar] [CrossRef]
- Qian, K.; Li, B.; Ma, J. Load-carrying mechanism to resist progressive collapse. J. Perform. Constr. Facil. 2015, 141, 04014107. [Google Scholar] [CrossRef]
- Zhu, Y.; Chen, C.H.; Yao, Y.; Keer, L.M.; Huang, Y. Dynamic increase factor for progressive collapse analysis of semi-rigid steel frames. Steel Compos. Struct. 2018, 28, 209–221. [Google Scholar]
- Sharbati, R.; Hayati, Y.; Hadianfard, M.A. Numerical Investigation on the Cyclic Behavior of Post-tensioned Steel Moment Connections with Bolted Angles. Int. J. Steel Struct. 2019, 19, 1840–1853. [Google Scholar] [CrossRef]
- D’Antimo, M.; Latour, M.; Cavallaro, G.F.; Jaspart, J.P.; Ramhormozian, S.; Demonceau, J.F. Short-and long-term loss of pre-loading in slotted bolted connections. J. Constr. Steel Res. 2020, 167, 105956. [Google Scholar] [CrossRef]
- Elettore, E.; Freddi, F.; Latour, M.; Rizzano, G. Design and analysis of a seismic resilient steel moment resisting frame equipped with damage-free self-centering column bases. J. Constr. Steel Res. 2021, 179, 106543. [Google Scholar] [CrossRef]
- Mattei, F.; Giuliani, G.; Andreotti, R.; Caprili, S.; Tondini, N. Experimental and numerical assessment of a steel frame equipped with Dissipative Replaceable Bracing Connections. Procedia Struct. Integr. 2023, 44, 1204–1211. [Google Scholar] [CrossRef]
- Wang, S.; Zhang, T.; Xu, W.; Du, D.; Zhang, Y. Experimental and numerical investigations on novel post-tensioned precast beam-to-column energy-dissipating connections. Structures 2023, 54, 117–133. [Google Scholar] [CrossRef]
- Bomben, L.; Fasan, M.; Amadio, C. Assessment of the effect of seismic sequences on steel X-CBF for industrial buildings. Procedia Struct. Integr. 2023, 44, 99–106. [Google Scholar] [CrossRef]
- Mehmandousti, A.M.A.; Jalaeefar, A. Effect of seismic sequences on behavior of mid-rise steel moment-resisting frames equipped with fluid viscous dampers. Structures 2023, 54, 657–668. [Google Scholar] [CrossRef]
- López-Barraza, A.; Ruiz, S.E.; Bojórquez, E.; Reyes-Salazar, A. Seismic performance of steel frames with post-tensioned connections. In Proceedings of the 15 World Conference on Earthquake Engineering, Lisbon, Portugal, 24–28 September 2012. [Google Scholar]
- Garlock, M.; Ricles, J.M.; Sause, R.M. Cyclic Load Tests and Analysis of Bolted Top-and-Seat Angle Connections. J. Struct. Eng. 2003, 129, 1615–1625. [Google Scholar] [CrossRef]
- López-Barraza, A. Diseño Sísmico de Marcos de Acero Con Conexiones Semi-Rígidas, Basado en Energía. Ph.D. Thesis, Universidad Nacional Autónoma de México, México City, Mexico, 2014. [Google Scholar]
- Vamvatsikos, D.; Cornell, C.A. Incremental dynamic analysis. Earthq. Eng. Struct. Dyn. 2002, 31, 491–514. [Google Scholar] [CrossRef]
- Garlock, M.; Ricles, J.M.; Sause, R.M. Experimental Studies of Full-Scale Posttensioned Steel Connections. J. Struct. Eng. 2005, 131, 438–448. [Google Scholar] [CrossRef]
- Shen, J.; Astaneh-Asl, A. Hysteretic model of bolted-angle connections. J. Constr. Steel Res. 2000, 54, 317–343. [Google Scholar] [CrossRef]
- Serra, M.; Shahbazian, A.; Da Silva, L.S.; Marques, L.; Rebelo, C.; da Silva Vellasco, P.C.G. A full scale experimental study of prestressed stayed columns. J. Eng. Struct. 2015, 100, 490–510. [Google Scholar] [CrossRef]
- Ghannam, M.; Mahmoud, N.S.; Badr, A.; Salem, F.A. Effect of post tensioning on strengthening different types of steel frames. J. King Saud Univ. Eng. Sci. 2016, 29, 329–338. [Google Scholar] [CrossRef]
- Ghannam, M.; Mahmoud, N.S.; Badr, A.; Ssalem, F.A. Strengthening and repairing of an existing steel bridge using post tensioning. Int. J. Civil Struct. Eng. 2014, 5, 91–100. [Google Scholar]
- Manley, K. Innovation case study No 9: Post-tensioned steel trusses for long span roofs. In A Series of Innovation Case Studies, the BRITE Project; The Cooperative Research Centre for Construction Innovation: Brisbane, QLD, Australia, 2008. [Google Scholar]
- Nazir, C.P. Prestressed steel arch bridge. IE (I) J. CV 2003, 84, 72–76. [Google Scholar]
- Soudki, K.; El-Sayed, A.K.; Vanzwol, T. Strengthening of concrete slab-column connections using CFRP strips. J. King Saud Univ. Eng. Sci. 2012, 24, 33–35. [Google Scholar] [CrossRef]
- Kam, W.Y.; Pampanin, S.; Elwood, K. Seismic performance of reinforced concrete buildings in the 22 February Christchurch (Lyttelton) earthquake. Bull. N. Z. Soc. Earthq. Eng. 2011, 44, 239–278. [Google Scholar] [CrossRef]
- Felzer, K.R.; Abercrombie, R.E.; Ekstrom, G. A Common Origin for Aftershocks, and Multiplets. Bull. Seismol. Soc. Am. 2004, 94, 88–98. [Google Scholar] [CrossRef]
- Yamashita, T.; Knopoff, L. Models of aftershock occurrence. Geophis. J. R. Astr. Soc. 1987, 91, 13–26. [Google Scholar] [CrossRef]
- Das, S.; Henry, C. Spatiel Relation Between main earthquake slip and its aftershock distribution. Rev. Geophys. 2003, 41. [Google Scholar] [CrossRef]
- Molchan, G.M.; Dmitrieva, O.E. Aftershock identification: Methods and new approaches. Geophys. J. Int. 1992, 109, 501–516. [Google Scholar] [CrossRef]
- Felzer, K.R.; Becker, T.W.; Abercrombie, R.E.; Ekström, G.; Rice, J.R. Triggering of the 1999 Mw 7.1 Hector Mine earthquake by afthershocks of the 1992 Mw 7.3 Landers earthquake. J. Geophys. Res. Solid Earth 2002, 107, ESE 6-1–ESE 6-13. [Google Scholar] [CrossRef]
- Felzer, K.R.; Abercrombie, R.E.; Ekström, G. Secondary aftershocks and their importance for aftershock forecasting. Bull. Seismol. Soc. Am. 2003, 93, 1433–1448. [Google Scholar] [CrossRef]
- Ogata, Y.; Jones, L.M.; Toda, S. When and where the aftershock activity was depressed: Contrasting decay patterns of the proximate large earthquakes in southern California. J. Geophys. Res. Solid Earth 2003, 108. [Google Scholar] [CrossRef]
- Chiarabba, C.; De Gori, P.; Chiaraluce, L.; Bordoni, P.; Cattaneo, M.; De Martin, M.; Frepoli, A.; Michelini, A.; Monachesi, A.; Moretti, M.; et al. Mainshocks and Aftershocks of the 2002 Molise Seismic Sequence, Southern Italy. J. Seismol. 2005, 9, 487–494. [Google Scholar] [CrossRef]
- Marín López, M.V. Efecto Del Comportamiento Histerético en la Respuesta Sísmica de Edificios Cimentados en Terreno Blando. Bachelor’s Thesis, Universidad Michoacana de San Nicolas de Hidalgo, Morelia, Mexico, 2012. [Google Scholar]
- Ruiz-García, J.; Marín, M.V.; Terán-Gilmore, A. Effect of seismic sequences in reinforced concrete frame buildings located in soft-soil sites. Soil Dyn. Earthq. Eng. 2014, 63, 56–68. [Google Scholar] [CrossRef]
- Díaz-Martínez, G.; Ruiz-García, J.; Terán-Gilmore, A. Response of structures to seismic sequences corresponding to Mexican soft soils. Earthq. Struct. 2014, 7, 1241–1258. [Google Scholar] [CrossRef]
- Guerrero, H.; Ruiz-García, J.; Escobar, J.A.; Terán-Gilmore, A. Response to seismic sequences of short-period structures equipped with Buckling-Restrained Braces located on the lakebed zone of Mexico City. J. Constr. Steel Res. 2017, 137, 37–51. [Google Scholar] [CrossRef]
- Lee, K.; Foutch, D.A. Performance evaluation of damaged steel frame buildings subjected to seismic loads. J. Struct. Eng. 2004, 130, 588–599. [Google Scholar] [CrossRef]
- Li, Q.; Ellingwood, B.R. Performance evaluation and damage assessment of steel frame buildings under main shock-aftershock sequences. Earthq. Eng. Struct. Dyn. 2007, 36, 405–427. [Google Scholar] [CrossRef]
- Mexican Strong Motion Dataset 1960–1999. Mexican Society of Seismic Engineering, A.C. Available online: https://aplicaciones.iingen.unam.mx/AcelerogramasRSM/Referencias.aspx (accessed on 2 February 2023).
- NTCS-20; Normas Técnicas Complementarias para Diseño por Sismo con Comentarios. Gaceta Oficial de la Ciudad de México: Mexico City, Mexico, 2020.
- Garlock, M.; Sause, R.; Ricles, J. Behavior and Design of Post-tensioned Steel Frames System. ASCE J. Struct. Eng. 2007, 133, 389. [Google Scholar] [CrossRef]
- Shen, J.; Astaneh-Asl, A. Hysteretic behavior of bolted angle connections. J. Constr. Steel Res. 1999, 51, 201–218. [Google Scholar] [CrossRef]
- Richard, R.M.; Abbott, B.J. Versatile Elastic Plastic Stress-Strain Formula. ASCE J. Eng. Mech. 1975, 101, 511–515. [Google Scholar] [CrossRef]
- Carr, A. RUAUMOKO Inelastic Dynamic Analysis Program; Department of Civil Engineering, University of Canterbury: Christchurch, New Zealand, 2017. [Google Scholar]
- McCormick, J.; Aburano, H.; Ikenaga, M.; Nakashima, M. Permissible residual deformation levels for building structures considering both safety and human elements. In Proceedings of the 14th Conference on Earthquake Engineering, Beijing, China, 12–17 October 2008. [Google Scholar]














| Record | Station | Date | Magnitude | PGA (cm/s2) | Tg (s) |
|---|---|---|---|---|---|
| 1 | Villa del mar | 25/04/1989 | 6.9 | 46.5 | 2.96 |
| 2 | Villa del mar | 25/04/1989 | 6.9 | 49.4 | 2.96 |
| 3 | Jamaica | 25/04/1989 | 6.9 | 35.2 | 3.04 |
| 4 | Rodolfo Menendez | 25/04/1989 | 6.9 | 47.7 | 2.89 |
| 5 | P.C.C. Superficie | 25/04/1989 | 6.9 | 42.5 | 2.3 |
| 6 | Córdova | 14/04/1989 | 7.1 | 19.4 | 2.3 |
| 7 | Liverpool | 15/04/1989 | 6.9 | 40.0 | 2.3 |
| 8 | Roma-B | 14/04/1989 | 7.1 | 25.0 | 2.3 |
| Frames | F6 F6PT | F10 F10PT | F6 F6PT | F10 F10PT | F6 F6PT | F10 F10PT |
|---|---|---|---|---|---|---|
| Stories | Internal Columns | External Columns | Beams | |||
| 1 | 30 × 173 | 36 × 280 | 27 × 146 | 36 × 280 | 18 × 71 | 21 × 68 |
| 2 | 30 × 173 | 36 × 280 | 27 × 146 | 36 × 280 | 18 × 76 | 21 × 93 |
| 3 | 30 × 148 | 36 × 245 | 27 × 129 | 36 × 245 | 18 × 76 | 21 × 101 |
| 4 | 30 × 148 | 36 × 245 | 27 × 129 | 36 × 245 | 18 × 67 | 21 × 101 |
| 5 | 30 × 124 | 36 × 210 | 27 × 114 | 36 × 210 | 18 × 50 | 21 × 101 |
| 6 | 30 × 124 | 36 × 210 | 27 × 114 | 36 × 210 | 18 × 45 | 21 × 93 |
| 7 | 36 × 182 | 36 × 182 | 21 × 73 | |||
| 8 | 36 × 182 | 36 × 182 | 21 × 68 | |||
| 9 | 36 × 150 | 36 × 150 | 21 × 57 | |||
| 10 | 36 × 150 | 36 × 150 | 21 × 50 | |||
| Frames | F4 F4PT | F8 F8PT | F4 F4PT | F8 F8PT | F4 F4PT | F8 F8PT |
|---|---|---|---|---|---|---|
| Stories | Internal Columns | External Columns | Beams | |||
| 1 | 21 × 122 | 36 × 210 | 18 × 97 | 36 × 194 | 16 × 67 | 21 × 83 |
| 2 | 21 × 122 | 36 × 210 | 18 × 97 | 36 × 194 | 16 × 57 | 21 × 93 |
| 3 | 21 × 111 | 36 × 194 | 18 × 86 | 36 × 182 | 16 × 45 | 21 × 93 |
| 4 | 21 × 111 | 36 × 194 | 18 × 86 | 36 × 182 | 16 × 40 | 21 × 83 |
| 5 | 36 × 170 | 36 × 160 | 21 × 71 | |||
| 6 | 36 × 170 | 36 × 160 | 21 × 65 | |||
| 7 | 36 × 160 | 36 × 135 | 21 × 55 | |||
| 8 | 36 × 160 | 36 × 135 | 21 × 46 | |||
| 9 | ||||||
| 10 | ||||||
| Aftershock Scale | EDP | F4 | F4PT | F6 | F6PT | F8 | F8PT | F10 | F10PT |
|---|---|---|---|---|---|---|---|---|---|
| 0.75 | Sa(T1)[g] | 0.88 | 0.97 | 1.39 | 1.54 | 0.86 | 1.2 | 0.83 | 1.18 |
| γ | 0.03 | 0.03 | 0.03 | 0.03 | 0.03 | 0.03 | 0.03 | 0.03 | |
| RID | 0.0066 | 0.001 | 0.0055 | 0.0011 | 0.0026 | 0.001 | 0.0029 | 0.001 | |
| 1.0 | Sa(T1)[g] | 0.88 | 0.95 | 1.32 | 1.535 | 0.832 | 1.19 | 0.79 | 1.12 |
| γ | 0.03 | 0.03 | 0.03 | 0.03 | 0.03 | 0.03 | 0.03 | 0.03 | |
| RID | 0.0066 | 0.00173 | 0.0068 | 0.0017 | 0.004 | 0.0016 | 0.0025 | 0.0011 | |
| 1.25 | Sa(T1)[g] | 0.75 | 0.8 | 1.075 | 1.33 | 0.715 | 0.97 | 0.7 | 0.965 |
| γ | 0.03 | 0.03 | 0.03 | 0.03 | 0.03 | 0.03 | 0.03 | 0.03 | |
| RID | 0.0061 | 0.001 | 0.001 | 0.0065 | 0.0025 | 0.0013 | 0.0035 | 0.001 |
| F4 | F4PT | F6 | F6PT | F8 | F8PT | F10 | F10PT | |
|---|---|---|---|---|---|---|---|---|
| Cy | 0.23 | 0.39 | 0.26 | 0.4 | 0.27 | 0.34 | 0.3 | 0.34 |
| Vy (N) | 78,000 | 134,000 | 132,000 | 200,000 | 181,000 | 230,000 | 250,000 | 275,000 |
| Dy (m) | 0.12 | 0.1 | 0.18 | 0.14 | 0.19 | 0.19 | 0.25 | 0.22 |
Disclaimer/Publisher’s Note: The statements, opinions and data contained in all publications are solely those of the individual author(s) and contributor(s) and not of MDPI and/or the editor(s). MDPI and/or the editor(s) disclaim responsibility for any injury to people or property resulting from any ideas, methods, instructions or products referred to in the content. |
© 2023 by the authors. Licensee MDPI, Basel, Switzerland. This article is an open access article distributed under the terms and conditions of the Creative Commons Attribution (CC BY) license (https://creativecommons.org/licenses/by/4.0/).
Share and Cite
Torres, J.R.; Bojórquez, E.; Bojórquez, J.; Leyva, H.; Ruiz, S.E.; Reyes-Salazar, A.; Palemón-Arcos, L.; Rivera, J.L.; Carvajal, J.; Reyes, H.E. Improving the Seismic Performance of Steel Frames under Mainshock–Aftershock Using Post-Tensioned Connections. Buildings 2023, 13, 1676. https://doi.org/10.3390/buildings13071676
Torres JR, Bojórquez E, Bojórquez J, Leyva H, Ruiz SE, Reyes-Salazar A, Palemón-Arcos L, Rivera JL, Carvajal J, Reyes HE. Improving the Seismic Performance of Steel Frames under Mainshock–Aftershock Using Post-Tensioned Connections. Buildings. 2023; 13(7):1676. https://doi.org/10.3390/buildings13071676
Chicago/Turabian StyleTorres, José R., Edén Bojórquez, Juan Bojórquez, Herian Leyva, Sonia E. Ruiz, Alfredo Reyes-Salazar, Leonardo Palemón-Arcos, J. Luz Rivera, Joel Carvajal, and Henry E. Reyes. 2023. "Improving the Seismic Performance of Steel Frames under Mainshock–Aftershock Using Post-Tensioned Connections" Buildings 13, no. 7: 1676. https://doi.org/10.3390/buildings13071676
APA StyleTorres, J. R., Bojórquez, E., Bojórquez, J., Leyva, H., Ruiz, S. E., Reyes-Salazar, A., Palemón-Arcos, L., Rivera, J. L., Carvajal, J., & Reyes, H. E. (2023). Improving the Seismic Performance of Steel Frames under Mainshock–Aftershock Using Post-Tensioned Connections. Buildings, 13(7), 1676. https://doi.org/10.3390/buildings13071676

