A Meta-Analysis of Evidence Synthesis for a Healthy Campus Built Environment by Adopting Active Design Approaches to Promote Physical Activity
Abstract
1. Introduction
2. Materials and Methods
2.1. Search Strategy
2.2. Inclusion and Exclusion Criteria (Selection of Studies)
2.3. Quality Assessment and Data Extraction
2.4. Statistical Analyses
3. Results
3.1. Literature and Research
3.2. Physical Activity Research Outcomes
| No. | Ref. | Country | n | Sector | Population | Measurement | Active Design Variable | Variable | Results | Healthy Behavior Theory | ||
|---|---|---|---|---|---|---|---|---|---|---|---|---|
| Physical Activity Mean (SD) and p | ||||||||||||
| Physical | Mental | Social | ||||||||||
| 1 | [52] | The U.S. | 248 | 10 school campuses (m = 13.7 age) | 7–8th grade students | Questionnaire GIS (ortho-photo) SPSS | 31.13 (26.4) p < 0.07–0.0001 r = 0.6–0.94 | - | - | Physical activity, school campuses, school buildings, and school play areas | Positive effects | Social–ecological models: factors at many levels influence health behavior [62,63,64,65]. |
| 2 | [43] | The U.S. | 134 | 13 university campuses | Students | Observation (PACES) survey questionnaire SPSS | 5.4 (±1.7) p < 0.001 | - | - | Built environment (bike rack, healthy signage, stairwell), recreation facilities, amenities, obesogenic policy | Positive effect | Diffusion of innovation: behavior changes as innovations are adopted [66,67,68,69,70]. |
| 3 | [41] | The U.S. | 53 | Elementary school (8–9 years) | Students | Pre- and post-measurements (intervention), SPSS, pilot study | Old 77.4 (20.9), new 89.2 (20.1) p < 0.001 | - | - | Sedentary behavior, LPA, MVPA | Positive effect | Theory of reasoned action and theory of planned behavior [71,72,73,74,75]. |
| 4 | [55] | Taiwan | 39 | College (mean age 20.79 years old), 15 female | Students | Tests (SST and TMT), SPSS, worn trackers for 106 days | Before 36.21 (9.22) during 34.45 (9.47) | - | - | Memory capacity, attention, daily PA (calories, steps, distance, floor, elevation, sedentary time duration, LATD, FATD, VATD | Negative effects | Health belief model: personal beliefs influence health behavior [76,77]. |
| 5 | [53] | The U.S. | 83 | 10 university campuses | 62 students, 21 faculty staff | Survey, SPSS | 20.75 (32.05) (OR =3.37) (95% CI = 0.78, 14.5) p < 0.05 | - | - | Walkability, environmental scan audits | Positive effects | Social–ecological models: factors at many levels influence health behavior [62,63,64,65]. |
| 6 | [54] | China | 665 | College campus (305 new, 310 old) | Students | Walk score method, pre- and post-measurements, questionnaire, interview | New 5.6 (1.87) Old 6.66 (0.85) Av. 6.13 (1.36) | - | - | Facility layout (public service), walkability, density, block length | Positive effects | Social cognitive theory: behavior, personal factors, and environmental factors interact with each other, and changing one changes them all [78,79,80]. |
| 7 | [42] | Canada | 101 (68) | Post-secondary campus (m = 22.96 years) | Students | A self-reported questionnaire, semi-structured interviews (n = 11), pragmatism, pre–post intervention | 397.21 (303.12) p < 0.001 | 2.99 (1.10) p < 0.001 | - | Physical activity. psychological distress, depression, and anxiety | Positive effect | Social–ecological models: factors at many levels influence health behavior [62,63,64,65]. |
| 8 | [44] | India | 122 | University (Mumbai) (15–26 years old) | Students (m = 59), (f = 63) | Questionnaire, SPSS | 3.32 (1.23) | - | - | Physical health and fitness patterns (attitudes, motivation, demotivation, food consumption, perception) | Positive effect | Attribution theory: there is a cause or explanation for things that happen [81]. |
| 9 | [45] | Australia | 88 | 4 Headspace centers in Melbourne | Young (15–25) | Online survey, PA questionnaire, and intervention | Spearman ρ = 0.465 p < 0.001 | 42.33 (8.56) p < 0.001 | - | PA (exercise), attitude, depression, and anxiety symptoms | Positive effect | Self-efficacy theory: people will only try to do what they think they can do, and people will not try what they think they cannot do [79,82,83,84]. |
| 10 | [46] | Egypt | 30 | Governmental university campus | Students (different faculties) | A questionnaire, space syntax tool, SPSS | - | 3.02 ± (1.13) p < 0.001 | 3.15 ± (1.28) p < 0.001 r = 0.87 | Social space, outdoor space, spent time, sensory and physical features, route | Positive effect | Attribution theory: there is a cause or explanation for things that happen [81]. |
3.3. Meta-Analyses of Research Outcomes
4. Discussion
5. Conclusions
- The important effects of physical activity in campus-built environments with aspects such as walkability, play areas, and building design on human health have been discussed in greater detail in several research studies.
- Some studies emphasize the importance of active built environments and their function in improving human health by presenting physical activity interventions on pre- and post-education campuses. The work also demonstrated the advantages of activism in caring for those with mental disorders.
- The campus layout affects walkability and enhances physical activity, thus reducing signs of stress and anxiety, which is an important element that should be taken into account in the design of built environments for university campuses. The reason behind the lack of activity of students may be that they do not have enough time to be active and this is what makes the active design approach an urgent matter.
- Additionally, the current study proved to be free of publication bias. Given this heterogeneity, and based on the data provided regarding the detection of any potential effects related to the three categories of exercise, future studies are prompted to fill this knowledge gap with more statistical analyses.
- Due to the limited statistical analyses on the three categories of physical activity (physically active, mentally active, and socially active), this research adopted a meta-analysis of physical activity, rather than these categories. What has emerged in this study provides a solid basis for conducting future research based on these three categories with statistical analyses.
- -
- It is suggested that the model be utilized alongside Figure 1 for future studies to identify keywords on the three categories of physical activity (physically active, mentally active, and socially active) to attain an active lifestyle for the community based on healthy behavior theories with statistical analyses.
- -
- It is recommended that the relationship between the three aspects of physical activity within built environments (physically active, mentally active, and socially active) be clarified and evaluated using different methodologies and statistical analyses.
- -
- It is recommended to evaluate the campus layouts of different educational institutions because of its role in enhancing the physical activity of students and thus improving their mental health and mood.
Author Contributions
Funding
Data Availability Statement
Acknowledgments
Conflicts of Interest
References
- Danaei, G.; Ding, E.L.; Mozaffarian, D.; Taylor, B.; Rehm, J.; Murray, C.J.L.; Ezzati, M. The Preventable Causes of Death in the United States: Comparative Risk Assessment of Dietary, Life.style, and Metabolic Risk Factors. PLoS Med. 2009, 6, e1000058. [Google Scholar] [CrossRef] [PubMed]
- Lam, T.M.; Vaartjes, I.; Grobbee, D.E.; Karssenberg, D.; Lakerveld, J. Associations between the Built Environment and Obesity: An Umbrella Review. Int. J. Health Geogr. 2021, 20, 7. [Google Scholar] [CrossRef] [PubMed]
- Bloomberg, M.; Burney, D.; Farley, T.; Sadik-Khan, J.; Burden, A. Active Design Guidelines: Promoting Physical Activity and Health in Design; NYC: New York, NY, USA, 2010.
- Active Design. Available online: https://www.sportengland.org/guidance-and-support/facilities-and-planning/design-and-cost-guidance/active-design (accessed on 17 March 2023).
- Sport England. Jennie Price Active Design: Planning for Health and Wellbeing through Sport and Physical Activity. Public Health Engl. 2015, 2–64. Available online: https://www.rossendale.gov.uk/downloads/file/15002/active_design_planning_for_health_and_wellbeing_through_sport_and_physical_activity_sport_england_2015 (accessed on 25 November 2022).
- Brittin, J.; Sorensen, D.; Trowbridge, M.; Lee, K.K.; Breithecker, D.; Frerichs, L.; Huang, T. Physical Activity Design Guidelines for School Architecture. PLoS ONE 2015, 10, e0132597. [Google Scholar] [CrossRef]
- Lau, S.S.Y.; Gou, Z.; Liu, Y. Healthy Campus by Open Space Design: Approaches and Guidelines. Front. Archit. Res. 2014, 3, 452–467. [Google Scholar] [CrossRef]
- King, A.C.; Whitt-Glover, M.C.; Marquez, D.X.; Buman, M.; Napolitano, M.A.; Jakicic, J.; Fulton, J.E.; Tennant, B.L. Physical Activity Promotion: Highlights from the 2018 Physical Activity Guidelines Advisory Committee Systematic Review. Med. Sci. Sports Exerc. 2019, 51, 1340–1353. [Google Scholar] [CrossRef] [PubMed]
- Sánchez-Torres, J.A.; Arroyo-Cañada, F.-J.; Argila-Irurita, A.; Rivera Gonzalez, J.A. Attitude Towards Sport Practice: What Makes an Individual Continued Practice of Sport? Trends Psychol. 2021, 29, 341–353. [Google Scholar] [CrossRef]
- CDC Physical Activity. Available online: https://www.cdc.gov/physicalactivity/index.html (accessed on 17 March 2023).
- Lee, K.K. Developing and Implementing the Active Design Guidelines in New York City. Health Place 2012, 18, 5–7. [Google Scholar] [CrossRef]
- Sport England. Active Design The Role of Master Planning|Phase 1; Sport England: Loughborough, UK, 2005; p. 68. [Google Scholar]
- Ferrari, G.; Drenowatz, C.; Kovalskys, I.; Gómez, G.; Rigotti, A.; Cortés, L.Y.; García, M.Y.; Pareja, R.G.; Herrera-Cuenca, M.; Del’Arco, A.P.; et al. Walking and Cycling, as Active Transportation, and Obesity Factors in Adolescents from Eight Countries. BMC Pediatr. 2022, 22, 510. [Google Scholar] [CrossRef]
- Sallis, J.F.; Linton, L.S.; Kraft, M.K. The First Active Living Research Conference: Growth of a Transdisciplinary Field. Am. J. Prev. Med. 2005, 28 (Suppl. 2), 93–95. [Google Scholar]
- Sport England. Active Design Checklist; Sport England: Loughborough, UK, 2015. [Google Scholar]
- Gebel, K.; King, L.; Bauman, A.; Vita, P.; Gill, T.; Rigby, A.; Capon, A. Creating Healthy Environments—A Review of Links between the Physical Enviornment, Physical Activity and Obesity; The University of Sydney: Sydney, Australia, 2005. [Google Scholar]
- Silver, L.; Bell, F. FAIA Fit-City 2: Promoting Physical Activity through Design. Available online: https://www.aiany.org/wp-content/uploads/2017/10/FitCity2_Publication_Final_163.pdf (accessed on 17 March 2023).
- Robbins, J.L. A New Design Movement that Can Help Us Beat Obesity. Available online: https://www.fastcompany.com/1663272/a-new-design-movement-that-can-help-us-beat-obesity (accessed on 16 March 2023).
- Lacasse, M.; Nienaber, S. Get Active: Implement Active Design in Your Neighborhoods and Open Spaces; The American Society of Landscape Architects: Washington, DC, USA, 2015. [Google Scholar]
- Bustler FitCity 10: Promoting Physical Activity through Design. Available online: https://bustler.net/events/latest/6401/fitcity-10-promoting-physical-activity-through-design (accessed on 17 March 2023).
- Piggin, J. What Is Physical Activity? A Holistic Definition for Teachers, Researchers and Policy Makers. Front. Sport. Act. Living 2020, 2, 72. [Google Scholar] [CrossRef]
- Gadais, T.; Boulanger, M.; Trudeau, F.; Rivard, M.-C. Environments Favorable to Healthy Lifestyles: A Systematic Review of Initiatives in Canada. J. Sport Health Sci. 2018, 7, 7–18. [Google Scholar] [CrossRef]
- Lesińska-Sawicka, M.; Pisarek, E.; Nagórska, M. The Health Behaviours of Students from Selected Countries—A Comparative Study. Nurs. Rep. 2021, 11, 404–417. [Google Scholar] [CrossRef] [PubMed]
- Hernandez, L.M.; Blazer, D.G. Institute of Medicine (US) Committee on Assessing Interactions among Social, B. In The Impact of Social and Cultural Environment on Health; National Academies Press: Washington, DC, USA, 2006. [Google Scholar]
- Strode, A.; Kaupužs, A. Opportunities for Active Design In School Environment for Promotion of Pupils’ Physical Activity. In Proceedings of the 11th International Conference on Education and New Learning Technologies, Palma, Spain, 1–3 July 2019; pp. 5474–5482. [Google Scholar]
- Perdue, W.C.; Stone, L.A.; Gostin, L.O. The Built Environment and Its Relationship to the Public’s Health: The Legal Framework. Am. J. Public Health 2003, 93, 1390–1394. [Google Scholar] [CrossRef] [PubMed]
- Pinter-Wollman, N.; Jelić, A.; Wells, N.M. The Impact of the Built Environment on Health Behaviours and Disease Transmission in Social Systems. Philos. Trans. R. Soc. B Biol. Sci. 2018, 373, 20170245. [Google Scholar] [CrossRef]
- Karakas, T.; Yildiz, D. Exploring the Influence of the Built Environment on Human Experience through a Neuroscience Approach: A Systematic Review. Front. Archit. Res. 2020, 9, 236–247. [Google Scholar] [CrossRef]
- DeClercq, C.P.; Cranz, G. Moving Beyond Seating-Centered Learning Environments: Opportunities and Challenges Identified in a POE of a Campus Library. J. Acad. Librariansh. 2014, 40, 574–584. [Google Scholar] [CrossRef]
- Nutbeam, D. Health Promotion Glossary. Health Promot. Int. 1998, 13, 349–364. [Google Scholar] [CrossRef]
- Tsouros, A.D.; Dowding, G.; Thompson, J.; Dooris, M. Health Promoting Universities: Concept, Experience and Framework for Action; World Health Organization, Regional Office for Europe: Geneva, Switzerland, 1998. [Google Scholar]
- Suárez-Reyes, M.; Van den Broucke, S. Implementing the Health Promoting University Approach in Culturally Different Contexts: A Systematic Review. Glob. Health Promot. 2016, 23, 46–56. [Google Scholar] [CrossRef] [PubMed]
- Von Ah, D.; Ebert, S.; Chutitorn, A.; Park, N.-J.; Kang, D.-H. Predictors of Health Behaviors in College Students. J. Adv. Nurs. 2005, 48, 463–474. [Google Scholar] [CrossRef]
- Baum, F.; Fisher, M. Why Behavioural Health Promotion Endures Despite Its Failure to Reduce Health Inequities. In From Health Behaviours to Health Practices; John Wiley & Sons, Ltd.: Hoboken, NJ, USA, 2014; pp. 57–68. ISBN 978-1-118-89834-5. [Google Scholar]
- Wen, Q.; Liu, H.; Chen, J.; Ye, H.; Pan, Z. Evaluation of Satisfaction with the Built Environment of University Buildings under the Epidemic and Its Impact on Student Anxiety. Int. J. Environ. Res. Public Health 2023, 20, 4183. [Google Scholar] [CrossRef]
- Nyangiwe, S.; Mgwambane, T.; Malema, M.J. Perceptions of Physical Activity among Students Living on and off Campus in a University in the Western Cape. Open Public Health J. 2020, 13, 705–711. [Google Scholar] [CrossRef]
- von Sommoggy, J.; Rueter, J.; Curbach, J.; Helten, J.; Tittlbach, S.; Loss, J. How Does the Campus Environment Influence Everyday Physical Activity? A Photovoice Study among Students of Two German Universities. Front. Public Health 2020, 8, 561175. [Google Scholar] [CrossRef]
- Hayden, J. Introduction to Health Behavior Theory, 3rd ed.; Jones & Bartlett Learning: Burlington, MA, USA, 2019; ISBN 978-1-284-12511-5. [Google Scholar]
- Glass, G.V. Primary, Secondary, and Meta-Analysis of Research. Educ. Res. 1976, 5, 3–8. [Google Scholar] [CrossRef]
- Page, M.J.; McKenzie, J.E.; Bossuyt, P.M.; Boutron, I.; Hoffmann, T.C.; Mulrow, C.D.; Shamseer, L.; Tetzlaff, J.M.; Akl, E.A.; Brennan, S.E.; et al. The PRISMA 2020 Statement: An Updated Guideline for Reporting Systematic Reviews. BMJ 2021, 372, n71. [Google Scholar] [CrossRef]
- Brittin, J.; Frerichs, L.; Sirard, J.R.; Wells, N.M.; Myers, B.M.; Garcia, J.; Sorensen, D.; Trowbridge, M.J.; Huang, T. Impacts of Active School Design on School-Time Sedentary Behavior and Physical Activity: A Pilot Natural Experiment. PLoS ONE 2017, 12, e0189236. [Google Scholar] [CrossRef]
- deJonge, M.L.; Jain, S.; Faulkner, G.E.; Sabiston, C.M. On Campus Physical Activity Programming for Post-Secondary Student Mental Health: Examining Effectiveness and Acceptability. Ment. Health Phys. Act. 2021, 20, 100391. [Google Scholar] [CrossRef]
- Horacek, T.M.; White, A.A.; Byrd-Bredbenner, C.; Reznar, M.M.; Olfert, M.D.; Morrell, J.S.; Koenings, M.M.; Brown, O.N.; Shelnutt, K.P.; Kattelmann, K.K.; et al. PACES: A Physical Activity Campus Environmental Supports Audit on University Campuses. Am. J. Health Promot. 2014, 28, e104–e117. [Google Scholar] [CrossRef] [PubMed]
- Jambusaria, S.; Berry, S.; Sanghvi, S.; Bhadra, S. Research Paper on Physical Activity and Fitness Patterns among University Students in Mumbai. Int. J. Adv. Res. Ideas Innov. Technol. 2020, 6, 568–575. [Google Scholar]
- Parker, A.G.; Trott, E.; Bourke, M.; Klepac Pogrmilovic, B.; Dadswell, K.; Craike, M.; McLean, S.A.; Dash, S.; Pascoe, M. Young People’s Attitudes towards Integrating Physical Activity as Part of Mental Health Treatment: A Cross-sectional Study in Youth Mental Health Services. Early Interv. Psychiatry 2022, 16, 518–526. [Google Scholar] [CrossRef] [PubMed]
- El-Darwish, I.I. Enhancing Outdoor Campus Design by Utilizing Space Syntax Theory for Social Interaction Locations. Ain Shams Eng. J. 2022, 13, 101524. [Google Scholar] [CrossRef]
- Cuschieri, S. The STROBE Guidelines. Saudi J. Anaesth. 2019, 13, S31–S34. [Google Scholar] [CrossRef]
- Vandenbroucke, J.P.; von Elm, E.; Altman, D.G.; Gøtzsche, P.C.; Mulrow, C.D.; Pocock, S.J.; Poole, C.; Schlesselman, J.J.; Egger, M. STROBE Initiative Strengthening the Reporting of Observational Studies in Epidemiology (STROBE): Explanation and Elaboration. PLoS Med. 2007, 4, e297. [Google Scholar] [CrossRef] [PubMed]
- Adams, A.D.; Benner, R.S.; Riggs, T.W.; Chescheir, N.C. Use of the STROBE Checklist to Evaluate the Reporting Quality of Observational Research in Obstetrics. Obs. Gynecol. 2018, 132, 507–512. [Google Scholar] [CrossRef] [PubMed]
- Rodgers, R. The Control Group and Meta-Analysis. J. Methods Meas. Soc. Sci. 2014, 5. [Google Scholar] [CrossRef]
- Higgins, J.P.T.; Thompson, S.G.; Deeks, J.J.; Altman, D.G. Measuring Inconsistency in Meta-Analyses. BMJ 2003, 327, 557–560. [Google Scholar] [CrossRef]
- Cradock, A.L.; Melly, S.J.; Allen, J.G.; Morris, J.S.; Gortmaker, S.L. Characteristics of School Campuses and Physical Activity Among Youth. Am. J. Prev. Med. 2007, 33, 106–113.e1. [Google Scholar] [CrossRef] [PubMed]
- King, S.B.; Kaczynski, A.T.; Knight Wilt, J.; Stowe, E.W. Walkability 101: A Multi-Method Assessment of the Walkability at a University Campus. SAGE Open 2020, 10, 215824402091795. [Google Scholar] [CrossRef]
- Zhang, Z.; Fisher, T.; Feng, G. Assessing the Rationality and Walkability of Campus Layouts. Sustainability 2020, 12, 10116. [Google Scholar] [CrossRef]
- Phan, D.-V.; Chan, C.-L.; Pan, R.-H.; Yang, N.-P.; Hsu, H.-C.; Ting, H.-W.; Lai, K.R. A Study of the Effects of Daily Physical Activity on Memory and Attention Capacities in College Students. J. Healthc. Eng. 2018, 2018, 2942930. [Google Scholar] [CrossRef]
- Kim, K.-H.; Park, S.-A. Horticultural Therapy Program for Middle-Aged Women’s Depression, Anxiety, and Self-Identify. Complement. Ther. Med. 2018, 39, 154–159. [Google Scholar] [CrossRef]
- Tu, H.-M. Effect of Horticultural Therapy on Mental Health: A Meta-Analysis of Randomized Controlled Trials. J. Psychiatr. Ment. Health Nurs. 2022, 29, 603–615. [Google Scholar] [CrossRef]
- Dejoy, D.M.; Wilson, M.G.; Goetzel, R.Z.; Ozminkowski, R.J.; Wang, S.; Baker, K.M.; Bowen, H.M.; Tully, K.J. Development of the Environmental Assessment Tool (EAT) to Measure Organizational Physical and Social Support for Worksite Obesity Prevention Programs. J. Occup. Env. Med. 2008, 50, 126–137. [Google Scholar] [CrossRef] [PubMed]
- Brissette, I.; Fisher, B.; Spicer, D.A.; King, L. Worksite Characteristics and Environmental and Policy Supports for Cardiovascular Disease Prevention in New York State. Prev. Chronic. Dis. 2008, 5, A37. [Google Scholar] [PubMed]
- Orme, J.; Dooris, M. Integrating Health and Sustainability: The Higher Education Sector as a Timely Catalyst. Health Educ. Res. 2010, 25, 425–437. [Google Scholar] [CrossRef] [PubMed]
- Caspersen, C.J.; Powell, K.E.; Christenson, G.M. Physical Activity, Exercise, and Physical Fitness: Definitions and Distinctions for Health-Related Research. Public Health Rep. 1985, 100, 126–131. [Google Scholar]
- McLeroy, K.R.; Bibeau, D.; Steckler, A.; Glanz, K. An Ecological Perspective on Health Promotion Programs. Health Educ. Q 1988, 15, 351–377. [Google Scholar] [CrossRef]
- Sallis, J.F.; Owen, N. Ecological Models of Health Behaviour. In Health Behave Health Eduction; Glanz, K., Rimer, B.K., Lewis, F.M., Eds.; Jossey-Bass: San Francisco, CA, USA, 1997; pp. 403–424. [Google Scholar]
- Bronfenbrenner, U. Developmental Research, Public Policy, and the Ecology of Childhood. Child Dev. 1974, 45, 1–5. [Google Scholar] [CrossRef]
- Bronfenbrenner, U. Ecological Models of Human Development. Read. Dev. Child. 1994, 2, 37–43. [Google Scholar]
- Wilson, M.C. Influence of Bulletins, News Stories, and Circular Letters upon Farm Practices, with Special Reference to Methods of Bulletin Distribution; Department of Agriculture of United States, Office of Cooperative Extension Work: Washington, DC, USA, 1927.
- Rogers, E.M. Diffusion of Innovations, 5th ed.; Simon and Schuster: New York, NY, USA, 2003; ISBN 978-0-7432-5823-4. [Google Scholar]
- Miller, R.L. Rogers’ Innovation Diffusion Theory (1962, 1995). Available online: https://www.igi-global.com/chapter/rogers-innovation-diffusion-theory-1962-1995/127136 (accessed on 16 March 2023).
- Pemberton, H.E. The Curve of Culture Diffusion Rate. Am. Sociol. Rev. 1936, 1, 547–556. [Google Scholar] [CrossRef]
- Valente, T.W.; Rogers, E.M. The Origins and Development of the Diffusion of Innovations Paradigm as an Example of Scientific Growth. Sci. Commun. 1995, 16, 242–273. [Google Scholar] [CrossRef]
- Fishbein, M.; Ajzen, I. Belief, Attitude, Intention and Behaviour: An Introduction to Theory and Research; Addison-Wesley: Boston, MA, USA, 1975; Volume 27. [Google Scholar]
- Ajzen, I. The Theory of Planned Behavior. Organ. Behav. Hum. Decis. Process. 1991, 50, 179–211. [Google Scholar] [CrossRef]
- Ajzen, I. Perceived Behavioral Control, Self-Efficacy, Locus of Control, and the Theory of Planned Behavior. J. Appl. Soc. Psychol. 2002, 32, 665–683. [Google Scholar] [CrossRef]
- Ajzen, I.; Fishbein, M. Understanding Attitudes and Predicting Social Behavior; Prentice-Hall: Englewood Cliffs, NJ, USA, 1980; ISBN 978-0-13-050377-0. [Google Scholar]
- Fishbein, M. Readings in Attitude Theory and Measurement; Wiley: New York, NY, USA, 1967; ISBN 978-0-471-26055-4. [Google Scholar]
- Hochbaum, G.M. Public Participation in Medical Screening Programs: A Socio-Psychological Study; U.S. Department of Health, Education, and Welfare, Public Health Service, Bureau of State Services, Division of Special Health Services, Tuberculosis Program: Washington, DC, USA, 1958.
- Rosenstock, I.M. What Research in Motivation Suggests for Public Health. Am. J. Public Health Nations Health 1960, 50, 295–302. [Google Scholar] [CrossRef] [PubMed]
- Bandura, A.; Walters, R.H. Adolescent Aggression: A Study of the Influence of Child-Training Practices and Family Interrelationships; Ronald Press Company: New York, NY, USA, 1959; ISBN 978-0-8357-9518-0. [Google Scholar]
- Bandura, A. Social Learning Theory; Prentice Hall: Englewood Cliffs, NJ, USA, 1977; ISBN 978-0-13-816751-6. [Google Scholar]
- Pajares, F. Overview of Social Cognitive Theory and of Self-Efficacy. 2004. Available online: https://www.uky.edu/~eushe2/Pajares/eff.html (accessed on 25 January 2023).
- Weiner, B. The Development of an Attribution-Based Theory of Motivation: A History of Ideas. Educ. Psychol. 2010, 45, 28–36. [Google Scholar] [CrossRef]
- Bandura, A.; Ramachandran, V.S. Encyclopedia of Human Behavior; Academic Press: New York, NY, USA, 1994. [Google Scholar]
- Bandura, A. Swimming against the Mainstream: The Early Years from Chilly Tributary to Transformative Mainstream. Behav. Res. Ther. 2004, 42, 613–630. [Google Scholar] [CrossRef] [PubMed]
- Pajares, F. Overview of Social Cognitive Theory and of Self Efficacy. 2002. Available online: http://people.wku.edu/richard.miller/banduratheory.pdf (accessed on 25 January 2023).
- Petrie, A.; Bulman, J.S.; Osborn, J.F. Further Statistics in Dentistry Part 8: Systematic Reviews and Meta-Analyses. Br. Dent. J. 2003, 194, 73–78. [Google Scholar] [CrossRef] [PubMed]
- Egger, M.; Davey Smith, G.; Schneider, M.; Minder, C. Egger M, Smith GD, Schneider M, Minder CBias in Meta-Analysis Detected by a Simple, Graphical Test. BMJ (Clin. Res. Ed.) 1997, 315, 629–634. [Google Scholar] [CrossRef]
- Shorten, A.; Shorten, B. What Is Meta-Analysis? Evid. Based Nurs. 2013, 16, 3–4. [Google Scholar] [CrossRef]
- Dettori, J.R.; Norvell, D.C.; Chapman, J.R. Seeing the Forest by Looking at the Trees: How to Interpret a Meta-Analysis Forest Plot. Glob. Spine J. 2021, 11, 614–616. [Google Scholar] [CrossRef]
- van Enst, W.A.; Ochodo, E.; Scholten, R.J.; Hooft, L.; Leeflang, M.M. Investigation of Publication Bias in Meta-Analyses of Diagnostic Test Accuracy: A Meta-Epidemiological Study. BMC Med. Res. Methodol. 2014, 14, 70. [Google Scholar] [CrossRef]
- Harbord, R.M.; Egger, M.; Sterne, J.A.C. A Modified Test for Small-Study Effects in Meta-Analyses of Controlled Trials with Binary Endpoints. Stat. Med. 2006, 25, 3443–3457. [Google Scholar] [CrossRef]
- Koohsari, M.J.; Badland, H.; Giles-Corti, B. (Re)Designing the Built Environment to Support Physical Activity: Bringing Public Health Back into Urban Design and Planning. Cities 2013, 35, 294–298. [Google Scholar] [CrossRef]
- Oka, M. Toward Designing an Environment to Promote Physical Activity. Landsc. J. 2011, 30, 280–298. [Google Scholar] [CrossRef]
- Sallis, J.F.; Adams, M.A.; Ding, D. Physical Activity and the Built Environment. In The Oxford Handbook of the Social Science of Obesity; Cawley, J., Ed.; Oxford University Press: Oxford, UK, 2011; ISBN 978-0-19-973636-2. [Google Scholar]
- Lu, Z.; Li, Z.; Mao, C.; Tan, Y.; Zhang, X.; Zhang, L.; Zhu, W.; Sun, Y. Correlation between Campus-Built Environment and Physical Fitness in College Students in Xi’an—A GIS Approach. Int. J. Environ. Res. Public Health 2022, 19, 7948. [Google Scholar] [CrossRef]
- Omura, J.D.; Carlson, S.A.; Brown, D.R.; Hopkins, D.P.; Kraus, W.E.; Staffileno, B.A.; Thomas, R.J.; Lobelo, F.; Fulton, J.E.; American Heart Association Physical Activity Committee of the Council on Lifestyle and Cardiometabolic Health; et al. Built Environment Approaches to Increase Physical Activity: A Science Advisory from the American Heart Association. Circulation 2020, 142, e160–e166. [Google Scholar] [CrossRef]
- Safizadeh, M.; Marzbali, M.H.; Abdullah, A.; Maliki, N.Z. Possible Actions in the Built Environment to Enhance Physical Activity: Systematic Review. J. Sustain. Dev. 2020, 13, p1. [Google Scholar] [CrossRef]
- Bird, E.L.; Ige, J.O.; Pilkington, P.; Pinto, A.; Petrokofsky, C.; Burgess-Allen, J. Built and Natural Environment Planning Principles for Promoting Health: An Umbrella Review. BMC Public Health 2018, 18, 930. [Google Scholar] [CrossRef] [PubMed]
- Zaharin, P.M.B.; Kholid, M.F.; Nadzamuddin, A.F.M. The Implementation of Active Design for Technology-Driven Activities in Malaysia. Environ.-Behav. Proc. J. 2020, 5, 21–33. [Google Scholar] [CrossRef]
- Engelen, L. Does Active Design Influence Activity, Sitting, Wellbeing and Productivity in the Workplace? A Systematic Review. Int. J. Environ. Res. Public Health 2020, 17, 9228. [Google Scholar] [CrossRef]
- Owen, C.G.; Limb, E.S.; Nightingale, C.M.; Rudnicka, A.R.; Ram, B.; Shankar, A.; Cummins, S.; Lewis, D.; Clary, C.; Cooper, A.R.; et al. Active Design of Built Environments for Increasing Levels of Physical Activity in Adults: The ENABLE London Natural Experiment Study. Public Health Res. 2020, 8, 1–162. [Google Scholar] [CrossRef]
- Mustafa, F.A.; Ali, J.S. Active Design: Architectural Interventions for Improving Occupational Health through Reducing Sedentary Behavior—A Systematic Review. Am. J. Health Promot. 2023, 37, 93–102. [Google Scholar] [CrossRef]
- Rhodes, R.E.; McEwan, D.; Rebar, A.L. Theories of Physical Activity Behaviour Change: A History and Synthesis of Approaches. Psychol. Sport Exerc. 2019, 42, 100–109. [Google Scholar] [CrossRef]
- Beauchamp, M.R.; Crawford, K.L.; Jackson, B. Social Cognitive Theory and Physical Activity: Mechanisms of Behavior Change, Critique, and Legacy. Psychol. Sport Exerc. 2019, 42, 110–117. [Google Scholar] [CrossRef]
- Solmon, M.A. Optimizing the Role of Physical Education in Promoting Physical Activity: A Social-Ecological Approach. Res. Q. Exerc. Sport 2015, 86, 329–337. [Google Scholar] [CrossRef]
- Yen, H.-Y.; Li, C. Determinants of Physical Activity: A Path Model Based on an Ecological Model of Active Living. PLoS ONE 2019, 14, e0220314. [Google Scholar] [CrossRef]
- Rimer, B.K.; Glanz, K. Theory at a Glance: A Guide for Health Promotion Practice, 2nd ed.; NIH publication; U.S. Department of Health and Human Services, National Institutes of Health, National Cancer Institute: Bethesda, MD, USA, 2005.
- Rogers, R.W. A Protection Motivation Theory of Fear Appeals and Attitude Change1. J. Psychol. 1975, 91, 93–114. [Google Scholar] [CrossRef] [PubMed]
- Rogers, R.W.; Deckner, C.W. Effects of fear appeals and physiological arousal upon emotion, attitudes, and cigarette smoking. J. Pers. Soc. Psychol. 1975, 32, 222–230. [Google Scholar] [CrossRef] [PubMed]
- Floyd, D.L.; Prentice-Dunn, S.; Rogers, R.W. A Meta-Analysis of Research on Protection Motivation Theory. J. Appl. Soc. Psychol. 2000, 30, 407–429. [Google Scholar] [CrossRef]
- Prochaska, J.O.; DiClemente, C.C.; Norcross, J.C. In Search of How People Change. Applications to Addictive Behaviors. Am. Psychol. 1992, 47, 1102–1114. [Google Scholar] [CrossRef]
- Cottrell, R.R.; Girvan, J.T.; McKenzie, J.F. Principles & Foundations of Health Promotion and Education, 4th ed.; Pearson/Benjamin Cummings: San Francisco, CA, USA, 2009; ISBN 978-0-321-53235-0. [Google Scholar]
- Loury, G.C. A Dynamic Theory of Racial Income Differences. Discussion Paper No.255. 1976. Available online: http://www.kellogg.northwestern.edu/research/math/papers/225.pdf (accessed on 20 July 2012).
- Bourdieu, P. The Forms of Capital. In Handbook of Theory and Research for the Sociology of Education; Richardson, J., Ed.; Greenwood: Westport, CT, USA, 1986; pp. 241–258. Available online: https://www.socialcapitalgateway.org/content/paper/bourdieu-p-1986-forms-capital-richardson-j-handbook-theory-and-research-sociology-educ (accessed on 17 March 2023).
- Putnam, R.; Leonardi, R.; Nanetti, R. Making Democracy Work: Civic Traditions in Modern Italy; Princeton University Press: Princeton, NJ, USA, 1993. [Google Scholar]
- Aguiar, G.G. Bowling Alone: The Collapse and Revival of American Community. Soc. Sci. J. 2002, 39, 489–490. [Google Scholar] [CrossRef]





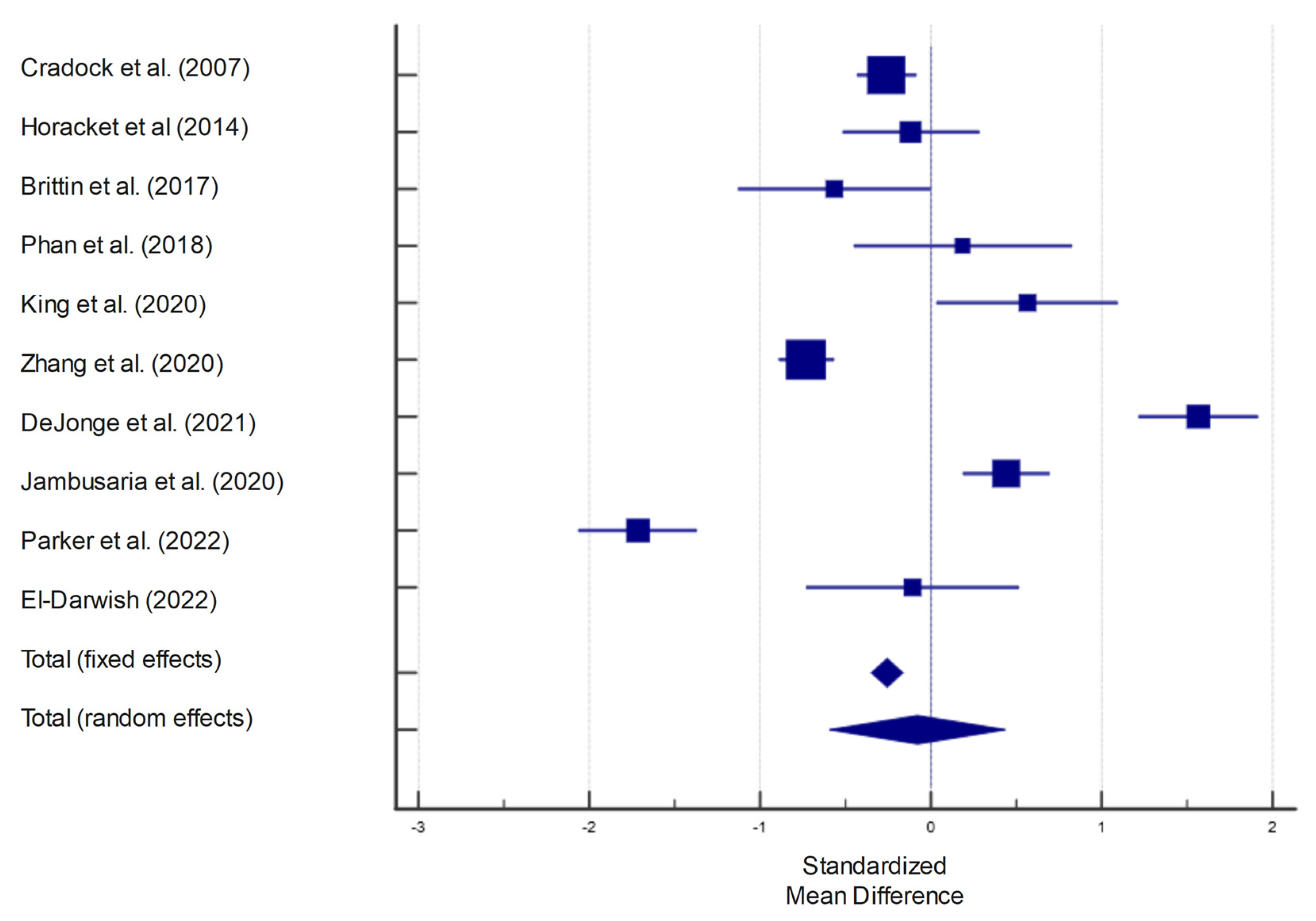
| Study and Country/Region | N1 | N2 | Total | SMD | SE | 95% CI | t | p | Weight (%) | |
|---|---|---|---|---|---|---|---|---|---|---|
| Fixed | Random | |||||||||
| [52]—U.S. | 248 | 248 | 496 | −0.260 | 0.0900 | −0.437 to −0.0830 | 26.66 | 10.59 | ||
| [43]—U.S. | 29 | 134 | 163 | −0.117 | 0.204 | −0.520 to 0.286 | 5.20 | 10.07 | ||
| [41]—U.S. | 32 | 21 | 53 | −0.565 | 0.282 | −1.131 to 0.00165 | 2.72 | 9.55 | ||
| [55]—Taiwan | 27 | 15 | 42 | 0.186 | 0.317 | −0.454 to 0.825 | 2.16 | 9.29 | ||
| [53]—U.S. | 83 | 17 | 100 | 0.563 | 0.267 | 0.0327 to 1.093 | 3.03 | 9.66 | ||
| [54]—China | 305 | 310 | 615 | −0.731 | 0.0832 | −0.894 to −0.567 | 31.23 | 10.61 | ||
| [42]—Canada | 101 | 68 | 169 | 1.567 | 0.178 | 1.216 to 1.918 | 6.83 | 10.22 | ||
| [44]—India | 122 | 122 | 244 | 0.442 | 0.129 | 0.187 to 0.696 | 12.95 | 10.45 | ||
| [45]—Australia | 88 | 88 | 176 | −1.716 | 0.176 | −2.063 to −1.369 | 7.00 | 10.23 | ||
| [46]—Egypt | 30 | 15 | 45 | −0.108 | 0.311 | −0.735 to 0.519 | 2.24 | 9.33 | ||
| Total (fixed effects) | 1065 | 1038 | 2103 | −0.256 | 0.0465 | −0.347 to −0.165 | −5.509 | <0.001 | 100.00 | 100.00 |
| Total (random effects) | 1065 | 1038 | 2103 | −0.0785 | 0.264 | −0.596 to 0.439 | −0.298 | 0.766 | 100.00 | 100.00 |
Disclaimer/Publisher’s Note: The statements, opinions and data contained in all publications are solely those of the individual author(s) and contributor(s) and not of MDPI and/or the editor(s). MDPI and/or the editor(s) disclaim responsibility for any injury to people or property resulting from any ideas, methods, instructions or products referred to in the content. |
© 2023 by the authors. Licensee MDPI, Basel, Switzerland. This article is an open access article distributed under the terms and conditions of the Creative Commons Attribution (CC BY) license (https://creativecommons.org/licenses/by/4.0/).
Share and Cite
Azeez, S.A.; Mustafa, F.A.; Ahmed, R.M. A Meta-Analysis of Evidence Synthesis for a Healthy Campus Built Environment by Adopting Active Design Approaches to Promote Physical Activity. Buildings 2023, 13, 1224. https://doi.org/10.3390/buildings13051224
Azeez SA, Mustafa FA, Ahmed RM. A Meta-Analysis of Evidence Synthesis for a Healthy Campus Built Environment by Adopting Active Design Approaches to Promote Physical Activity. Buildings. 2023; 13(5):1224. https://doi.org/10.3390/buildings13051224
Chicago/Turabian StyleAzeez, Sweyda Abdullah, Faris Ali Mustafa, and Rizgar Maghded Ahmed. 2023. "A Meta-Analysis of Evidence Synthesis for a Healthy Campus Built Environment by Adopting Active Design Approaches to Promote Physical Activity" Buildings 13, no. 5: 1224. https://doi.org/10.3390/buildings13051224
APA StyleAzeez, S. A., Mustafa, F. A., & Ahmed, R. M. (2023). A Meta-Analysis of Evidence Synthesis for a Healthy Campus Built Environment by Adopting Active Design Approaches to Promote Physical Activity. Buildings, 13(5), 1224. https://doi.org/10.3390/buildings13051224

