Evaluation of Adhesive Properties of Different Mineral Compositions in Asphalt Mixtures with Experimental and Molecular Dynamics Analyses
Abstract
:1. Introduction
2. Materials and Tests
2.1. Materials
2.2. Rolling-Bottle Test
2.3. Frequency Sweep Test
3. Bitumen–Filler Interaction Model
3.1. Luis Ibrarra-A Model
3.2. K. Ziegel-B Model
3.3. K-B-G Model
3.4. Modified Interaction Model
4. Bitumen–Mineral Composition MD Modeling
4.1. Molecular Model of Bitumen
4.2. Molecular Modeling of Mineral Fillers
4.3. Molecular Modeling of Mastic Interface
5. Results and Discussion
5.1. Aggregate Adhesion from the Rolling-Bottle Method
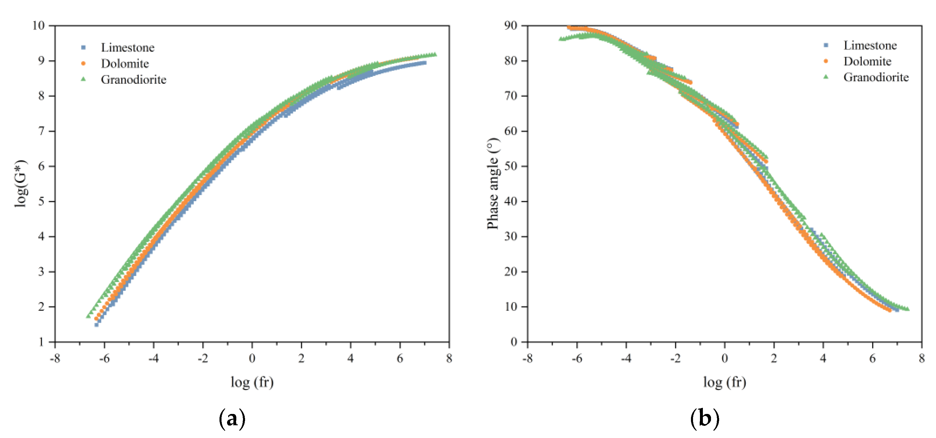
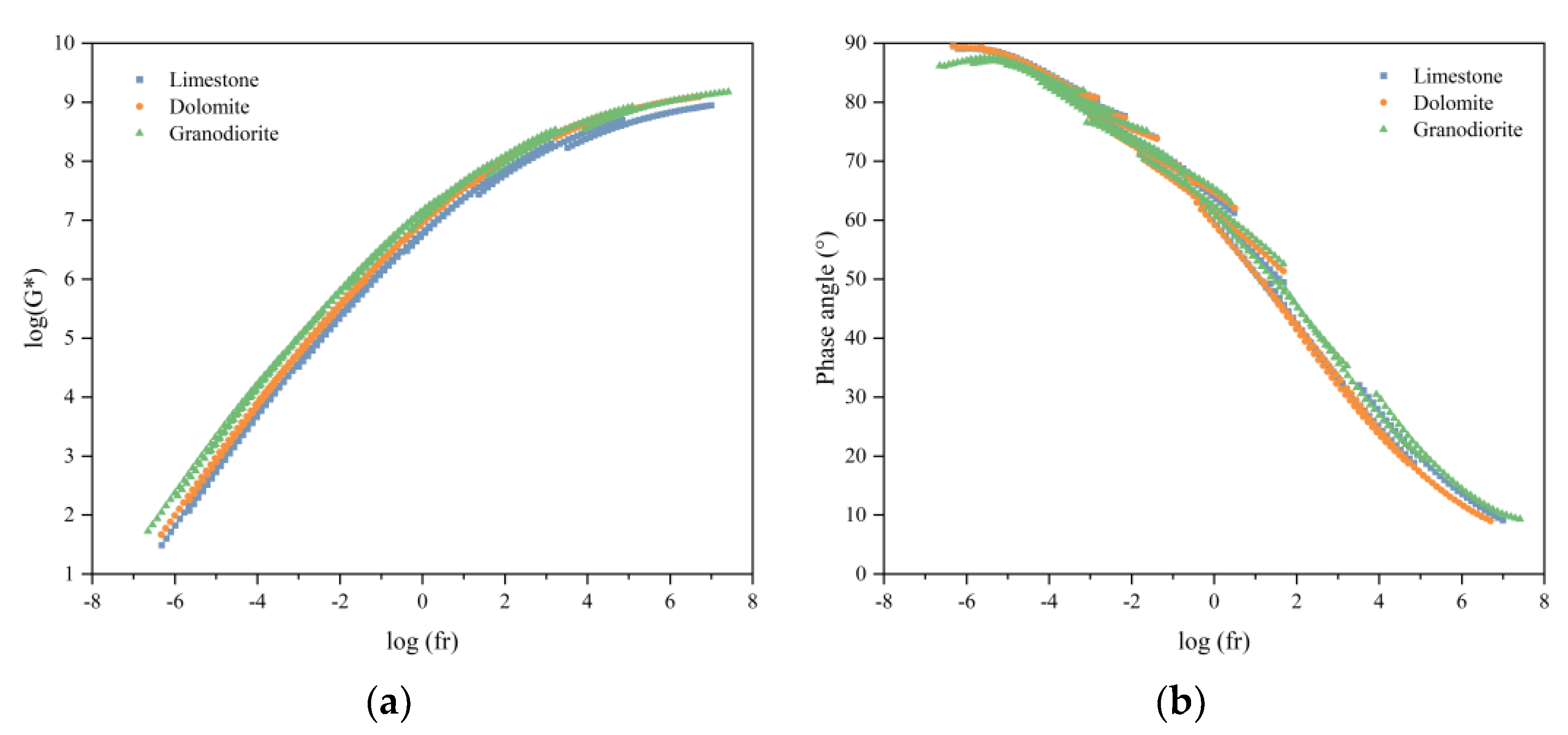
5.2. Interfacial Adhesion Evaluation Based on Rheology
5.3. Interfacial Adhesion Evaluation Based on Molecular Dynamics
5.3.1. Binding Energy
5.3.2. Concentration Profile
6. Conclusions and Outlook
- The limestone and dolomite aggregates and fillers had more significant interfacial interaction with the bitumen than the granodiorite.
- The titanium oxide and calcium oxide had the most robust adhesion to the bitumen in the filler compositions. Since the calcium oxide content within the limestone and dolomite far exceeded that of the titanium oxide, their adhesions were mainly attributed to their calcium oxide content. In addition, the SiO2 has the worst adhesion to the bitumen. The large amount of SiO2 within the granodiorite led to its poor adhesion to the bitumen.
- The filler specific surface area cannot be neglected in the three interaction models. The modified parameter of the specific surface area per unit volume more effectively reflected the influence of the chemical composition of the mineral fillers on the adhesion.
Author Contributions
Funding
Data Availability Statement
Conflicts of Interest
References
- Wei, Z.; Jia, Y.; Wang, S.; Li, Z.; Li, Y.; Wang, X.; Gao, Y. Utilization of iron ore tailing as an alternative mineral filler in asphalt mastic: High-temperature performance and environmental aspects. J. Clean. Prod. 2021, 335, 130318. [Google Scholar] [CrossRef]
- Sahari Moghaddam, A.; Rezazadeh Azar, E.; Mejias, Y.; Bell, H. Estimating stripping of asphalt coating using k-means clustering and machine learning–based classification. J. Comput. Civ. Eng. 2020, 34, 04019044. [Google Scholar] [CrossRef]
- Cui, P.; Wu, S.; Xiao, Y.; Wang, F.; Wang, F. Quantitative evaluation of active based adhesion in Aggregate-Asphalt by digital image analysis. J. Adhes. Sci. Technol. 2019, 33, 1544–1557. [Google Scholar] [CrossRef]
- Caputo, P.; Miriello, D.; Bloise, A.; Baldino, N.; Mileti, O.; Ranieri, G.A. A comparison and correlation between bitumen adhesion evaluation test methods, boiling and contact angle tests. Int. J. Adhes. Adhes. 2020, 102, 102680. [Google Scholar] [CrossRef]
- Zaidi, S.B.A.; Grenfell, J.; Airey, G.; Ahmad, N.; Ahmed, I.; Fareed, A.; Abed, A. Application of image analysis tools in Matlab to better estimate the degree of binder coverage in rolling bottles test. Road Mater. Pavement Des. 2020, 23, 601–616. [Google Scholar] [CrossRef]
- Guo, M.; Tan, Y. Interaction between asphalt and mineral fillers and its correlation to mastics’ viscoelasticity. Int. J. Pavement Eng. 2021, 22, 1–10. [Google Scholar] [CrossRef]
- Zhang, H.; Li, H.; Abdelhady, A.; Xie, N.; Li, W.; Liu, J.; Liang, X.; Yang, B. Fine solid wastes as a resource-conserving filler and their influence on the performance of asphalt materials. J. Clean. Prod. 2020, 252, 119929. [Google Scholar] [CrossRef]
- Yalghouzaghaj, M.N.; Sarkar, A.; Hamedi, G.H.; Hayati, P. Application of the surface free energy method on the mechanism of low-temperature cracking of asphalt mixtures. Constr. Build. Mater. 2021, 268, 121194. [Google Scholar] [CrossRef]
- Guo, F.; Pei, J.; Zhang, J.; Xue, B.; Sun, G.; Li, R. Study on the adhesion property between asphalt binder and aggregate: A state-of-the-art review. Constr. Build. Mater. 2020, 256, 119474. [Google Scholar] [CrossRef]
- Kataware, A.V.; Singh, D. Dynamic mechanical analysis of crumb rubber modified asphalt binder containing warm mix additives. Int. J. Pavement Eng. 2019, 20, 1044–1054. [Google Scholar] [CrossRef]
- Liu, P.; Lu, G.; Yang, X.; Jin, C.; Leischner, S.; Oeser, M. Influence of Different Fillers on Mechanical Properties of Porous Asphalt Mixtures Using Microstructural Finite-Element Analysis. J. Transp. Eng. Part B Pavements 2021, 147, 04021004. [Google Scholar] [CrossRef]
- Tan, Y.; Guo, M. Micro-and nano-characteration of interaction between asphalt and filler. J. Test. Eval. 2014, 42, 1089–1097. [Google Scholar] [CrossRef]
- Yuan, Y.; Zhu, X.; Chen, L. Relationship among cohesion, adhesion, and bond strength: From multi-scale investigation of asphalt-based composites subjected to laboratory-simulated aging. Mater. Des. 2020, 185, 108272. [Google Scholar] [CrossRef]
- Du, Z.; Zhu, X.; Yuan, Y. Molecular investigation on the adhesion and deformation behaviors of asphalt binder under nanoindentation. Constr. Build. Mater. 2021, 295, 123683. [Google Scholar] [CrossRef]
- Wu, W.; Jiang, W.; Yuan, D.; Lu, R.; Shan, J.; Xiao, J.; Ogbon, A.W. A review of asphalt-filler interaction: Mechanisms, evaluation methods, and influencing factors. Constr. Build. Mater. 2021, 299, 124279. [Google Scholar] [CrossRef]
- Zhang, Z.; Liu, P.; Rochlani, M.; Falla, G.C.; Leischner, S.; Oeser, M. A fuzzy comprehensive evaluation method to select the optimal mineral filler for optimization of the performance of asphalt mastics. Constr. Build. Mater. 2021, 298, 123847. [Google Scholar] [CrossRef]
- Liu, G.; Zhao, Y.; Zhou, J.; Li, J.; Yang, T.; Zhang, J. Applicability of evaluation indices for asphalt and filler interaction ability. Constr. Build. Mater. 2017, 148, 599–609. [Google Scholar] [CrossRef]
- Ziegel, K.; Romanov, A. Modulus reinforcement in elastomer composites. I. Inorganic fillers. J. Appl. Polym. Sci. 1973, 17, 1119–1131. [Google Scholar] [CrossRef]
- Rochlani, M.; Canon Falla, G.; Wellner, F.; Wang, D.; Fan, Z.; Leischner, S. Feasibility study of waste ceramic powder as a filler alternative for asphalt mastics using the DSR. Road Mater. Pavement Des. 2021, 22, 2591–2603. [Google Scholar] [CrossRef]
- Sun, W.; Wang, H. Moisture effect on nanostructure and adhesion energy of asphalt on aggregate surface: A molecular dynamics study. Appl. Surf. Sci. 2020, 510, 145435. [Google Scholar] [CrossRef]
- Long, Z.; You, L.; Tang, X.; Ma, W.; Ding, Y.; Xu, F. Analysis of interfacial adhesion properties of nano-silica modified asphalt mixtures using molecular dynamics simulation. Constr. Build. Mater. 2020, 255, 119354. [Google Scholar] [CrossRef]
- Sun, D.; Sun, G.; Zhu, X.; Ye, F.; Xu, J. Intrinsic temperature sensitive self-healing character of asphalt binders based on molecular dynamics simulations. Fuel 2018, 211, 609–620. [Google Scholar] [CrossRef]
- Liu, J.; Yu, B.; Hong, Q. Molecular dynamics simulation of distribution and adhesion of asphalt components on steel slag. Constr. Build. Mater. 2020, 255, 119332. [Google Scholar] [CrossRef]
- Fan, Z.; Lin, J.; Chen, Z.; Liu, P.; Wang, D.; Oeser, M. Multiscale understanding of interfacial behavior between bitumen and aggregate: From the aggregate mineralogical genome aspect. Constr. Build. Mater. 2021, 271, 121607. [Google Scholar] [CrossRef]
- Cui, B.; Gu, X.; Hu, D.; Dong, Q. A multiphysics evaluation of the rejuvenator effects on aged asphalt using molecular dynamics simulations. J. Clean. Prod. 2020, 259, 120629. [Google Scholar] [CrossRef]
- Fini, E.H.; Samieadel, A.; Rajib, A. Moisture damage and its relation to surface adsorption/desorption of rejuvenators. Ind. Eng. Chem. Res. 2020, 59, 13414–13419. [Google Scholar] [CrossRef]
- Guo, M.; Liang, M.; Fu, Y.; Sreeram, A.; Bhasin, A. Average molecular structure models of unaged asphalt binder fractions. Mater. Struct. 2021, 54, 173. [Google Scholar] [CrossRef]
- Guo, M.; Tan, Y.; Wei, J. Using molecular dynamics simulation to study concentration distribution of asphalt binder on aggregate surface. J. Mater. Civ. Eng. 2018, 30, 04018075. [Google Scholar] [CrossRef]
- Rochlani, M.; Leischner, S.; Falla, G.C.; Wang, D.; Caro, S.; Wellner, F. Influence of filler properties on the rheological, cryogenic, fatigue and rutting performance of mastics. Constr. Build. Mater. 2019, 227, 116974. [Google Scholar] [CrossRef]
- Forschungs Gesellschaft für Straßen-und Verkehrswesen. TL Asphalt-StB 07. In Technische Lieferbedingungen für Asphaltmischgut für den Bau von Verkehrsflächenbefestigungen; Forschungs Gesellschaft für Straßen-und Verkehrswesen: Köln, Germany, 2007. [Google Scholar]
- DIN EN 12697-11; Asphalt-Prüfverfahren für Heiß asphalt–Teil 11: Bestimmung der Affinität von Gesteinskörnungen und Bitumen. Beuth Verlag: Berlin, Germany, 2012.
- Li, F.; Yang, Y.; Wang, L. The interfacial interaction between asphalt binder and mineral filler: A comprehensive review on mechanisms, evaluation methods and influence factors. Int. J. Pavement Eng. 2021. [Google Scholar] [CrossRef]
- Fang, C.; Guo, N.; You, Z.; Tan, Y. Investigating fatigue life prediction of rubber asphalt mixture based on damage evolution using residual strain analysis approach. Constr. Build. Mater. 2020, 257, 119476. [Google Scholar] [CrossRef]
- Guo, M.; Tan, Y.; Hou, Y.; Wang, L.; Wang, Y. Improvement of evaluation indicator of interfacial interaction between asphalt binder and mineral fillers. Constr. Build. Mater. 2017, 151, 236–245. [Google Scholar] [CrossRef]
- Xing, B.; Du, Y.; Fang, C.; Sun, H.; Lyu, Y.; Fan, W. Particle morphology of mineral filler and its effects on the asphalt binder-filler interfacial interaction. Constr. Build. Mater. 2022, 321, 126292. [Google Scholar] [CrossRef]
- Wang, F.; Xiao, Y.; Chen, Z.; Cui, P.; Liu, J.; Wang, N. Morphological characteristics of mineral filler and their influence on active adhesion between aggregates and bitumen. Constr. Build. Mater. 2022, 323, 126520. [Google Scholar] [CrossRef]
- Mukhtar, N.; Hasan, M.R.M.; Shariff, K.A.; Van Den Bergh, W. Relationship between the physicochemical and electrostatic charge characteristics of filler materials on the morphological and adhesive Pull-Off tensile strength of asphalt mastics. Constr. Build. Mater. 2022, 346, 128343. [Google Scholar] [CrossRef]
- Martinho, F.C.; Farinha, J.P.S. An overview of the use of nanoclay modified bitumen in asphalt mixtures for enhanced flexible pavement performances. Road Mater. Pavement Des. 2019, 20, 671–701. [Google Scholar] [CrossRef]
- Ding, Y.; Huang, B.; Shu, X. Investigation of functional group distribution of asphalt using liquid chromatography transform and prediction of molecular model. Fuel 2018, 227, 300–306. [Google Scholar] [CrossRef]
- Artok, L.; Su, Y.; Hirose, Y.; Hosokawa, M.; Murata, S.; Nomura, M. Structure and reactivity of petroleum-derived asphaltene. Energy Fuels 1999, 13, 287–296. [Google Scholar] [CrossRef]
- Yao, H.; Dai, Q.; You, Z.; Bick, A.; Wang, M. Modulus simulation of asphalt binder models using Molecular Dynamics (MD) method. Constr. Build. Mater. 2018, 162, 430–441. [Google Scholar] [CrossRef]
- Chu, L.; Luo, L.; Fwa, T. Effects of aggregate mineral surface anisotropy on asphalt-aggregate interfacial bonding using molecular dynamics (MD) simulation. Constr. Build. Mater. 2019, 225, 1–12. [Google Scholar] [CrossRef]
- Li, D.D.; Greenfield, M.L. Chemical compositions of improved model asphalt systems for molecular simulations. Fuel 2014, 115, 347–356. [Google Scholar] [CrossRef]
- Guo, F.; Zhang, J.; Pei, J.; Ma, W.; Hu, Z.; Guan, Y. Evaluation of the compatibility between rubber and asphalt based on molecular dynamics simulation. Front. Struct. Civ. Eng. 2020, 14, 435–445. [Google Scholar] [CrossRef]
- Ren, S.; Liu, X.; Lin, P.; Erkens, S.; Xiao, Y. Chemo-physical characterization and molecular dynamics simulation of long-term aging behaviors of bitumen. Constr. Build. Mater. 2021, 302, 124437. [Google Scholar] [CrossRef]
- Ren, S.; Liu, X.; Zhang, Y.; Lin, P.; Apostolidis, P.; Erkens, S.; Li, M.; Xu, J. Multi-scale characterization of lignin modified bitumen using experimental and molecular dynamics simulation methods. Constr. Build. Mater. 2021, 287, 123058. [Google Scholar] [CrossRef]
- Suárez-Villagrán, M.Y.; Botari, T.; Miller Jr, J.H.; Machado, L.D. Prediction of strain-controlled adhesion in a single-layer covalent organic framework. Carbon 2019, 143, 172–178. [Google Scholar] [CrossRef]
- Du, Z.; Zhu, X. Molecular dynamics simulation to investigate the adhesion and diffusion of asphalt binder on aggregate surfaces. Transp. Res. Rec. 2019, 2673, 500–512. [Google Scholar] [CrossRef]
- Cui, B.; Gu, X.; Wang, H.; Hu, D. Numerical and experimental evaluation of adhesion properties of asphalt-aggregate interfaces using molecular dynamics simulation and atomic force microscopy. Road Mater. Pavement Des. 2022, 23, 1564–1584. [Google Scholar] [CrossRef]
- Tadmor, R.; Das, R.; Gulec, S.; Liu, J.; N’guessan, H.E.; Shah, M.; Wasnik, P.S.; Yadav, S.B. Solid–liquid work of adhesion. Langmuir 2017, 33, 3594–3600. [Google Scholar] [CrossRef] [PubMed]
- Li, F.; Yang, Y. Understanding the temperature and loading frequency effects on physicochemical interaction ability between mineral filler and asphalt binder using molecular dynamic simulation and rheological experiments. Constr. Build. Mater. 2020, 244, 118311. [Google Scholar] [CrossRef]
- Ahmadi, M.; Chen, Z. Insight into the interfacial behavior of surfactants and asphaltenes: Molecular dynamics simulation study. Energy Fuels 2020, 34, 13536–13551. [Google Scholar] [CrossRef]
- Chen, Z.; Li, Y.; Chen, C.; Sun, X.; Liu, W. Aggregation Behavior of Asphalt on the Natural Gas Hydrate Surface with Different Surfactant Coverages. J. Phys. Chem. C 2021, 125, 16378–16390. [Google Scholar] [CrossRef]
- Fan, Z. Multiscale Study of the Bitumen–Aggregate Interfacial Behavior Based on Molecular Dynamics Simulation and Micromechanics. Ph.D. Dissertation, Rheinisch-Westfälische Technische Hochschule Aachen, Aachen, Germany, 2021. [Google Scholar]














| Filler | Specific Surface Area (m2/g) | Pore Volume (mL/g) | Average Pore Size (nm) | Density (g/cm3) |
|---|---|---|---|---|
| Limestone | 4.1904 | 0.0168 | 16.04 | 2.72 |
| Dolomite | 6.4282 | 0.0202 | 12.57 | 2.85 |
| Granodiorite | 18.4665 | 0.0411 | 8.9 | 2.74 |
| Filler Name | Na2O | MgO | Al2O3 | SiO2 | K2O | CaO | TiO2 | Fe2O3 | Others |
|---|---|---|---|---|---|---|---|---|---|
| Limestone | 0.18 | 2.02 | 1.29 | 1.94 | 0.19 | 92.97 | 0.12 | 0.82 | 0.46 |
| Dolomite | 0.27 | 26.02 | 2.26 | 5.23 | 0.61 | 61.97 | 0.07 | 1.91 | 1.60 |
| Granodiorite | 3.22 | 2.44 | 18.09 | 61.70 | 3.42 | 2.73 | 1.04 | 6.35 | 0.58 |
| Molecular Components | Molecular Formula | No. of Molecules | Molecular Mass (g/mol) | Mass Ratio (%) |
|---|---|---|---|---|
| Squalane | C30H62 | 4 | 422.8 | 5.2 |
| Hopane | C35H62 | 4 | 482.9 | 5.9 |
| PHPN | C35H44 | 11 | 464.7 | 15.7 |
| DOCHN | C30H46 | 13 | 406.7 | 16.2 |
| Quinolinohopane | C40H59N | 4 | 553.9 | 6.8 |
| Thioisorenieratane | C40H60S | 4 | 573.0 | 7.0 |
| Trimethylbenzeneoxane | C29H50O | 5 | 414.7 | 6.4 |
| Pvridinohopane | C36H57N | 4 | 503.9 | 6.2 |
| Benzobisbenzothiophene | C18H10S2 | 15 | 290.4 | 13.4 |
| Asphaltene-phenol | C42H54O | 3 | 574.9 | 5.3 |
| Asphaltene-pyrrole | C66H81N | 2 | 888.4 | 5.5 |
| Asphaltene-thiophene | C51H62S | 3 | 707.1 | 6.5 |
Disclaimer/Publisher’s Note: The statements, opinions and data contained in all publications are solely those of the individual author(s) and contributor(s) and not of MDPI and/or the editor(s). MDPI and/or the editor(s) disclaim responsibility for any injury to people or property resulting from any ideas, methods, instructions or products referred to in the content. |
© 2023 by the authors. Licensee MDPI, Basel, Switzerland. This article is an open access article distributed under the terms and conditions of the Creative Commons Attribution (CC BY) license (https://creativecommons.org/licenses/by/4.0/).
Share and Cite
Pan, F.; Fan, Z.; Rochlani, M.; Falla, G.C.; Leischner, S.; Oeser, M.; Yu, H.; Liu, P. Evaluation of Adhesive Properties of Different Mineral Compositions in Asphalt Mixtures with Experimental and Molecular Dynamics Analyses. Buildings 2023, 13, 1207. https://doi.org/10.3390/buildings13051207
Pan F, Fan Z, Rochlani M, Falla GC, Leischner S, Oeser M, Yu H, Liu P. Evaluation of Adhesive Properties of Different Mineral Compositions in Asphalt Mixtures with Experimental and Molecular Dynamics Analyses. Buildings. 2023; 13(5):1207. https://doi.org/10.3390/buildings13051207
Chicago/Turabian StylePan, Fei, Zepeng Fan, Mrinali Rochlani, Gustavo Canon Falla, Sabine Leischner, Markus Oeser, Huayang Yu, and Pengfei Liu. 2023. "Evaluation of Adhesive Properties of Different Mineral Compositions in Asphalt Mixtures with Experimental and Molecular Dynamics Analyses" Buildings 13, no. 5: 1207. https://doi.org/10.3390/buildings13051207
APA StylePan, F., Fan, Z., Rochlani, M., Falla, G. C., Leischner, S., Oeser, M., Yu, H., & Liu, P. (2023). Evaluation of Adhesive Properties of Different Mineral Compositions in Asphalt Mixtures with Experimental and Molecular Dynamics Analyses. Buildings, 13(5), 1207. https://doi.org/10.3390/buildings13051207

