In-Plane Failure Mechanism and Strength Design of Plate-Tube-Connected Circular Steel Arches
Abstract
:1. Introduction
2. Finite Element Model
2.1. Description of FE Model
2.2. Verification of Simplified Beam Model
3. In-Plane Elastic Buckling
3.1. Section Shear Stiffness
3.2. Buckling Mode of the Arch
3.3. Global Elastic Buckling Load
3.4. Limited Conditions of Member Local Buckling
4. In-Plane Failure Mechanism of Arches
4.1. Failure Mechanism under FSURL
4.2. Failure Mechanism under FSUVL
4.2.1. Global Failure of the Arch
4.2.2. Local Failure of the Chord
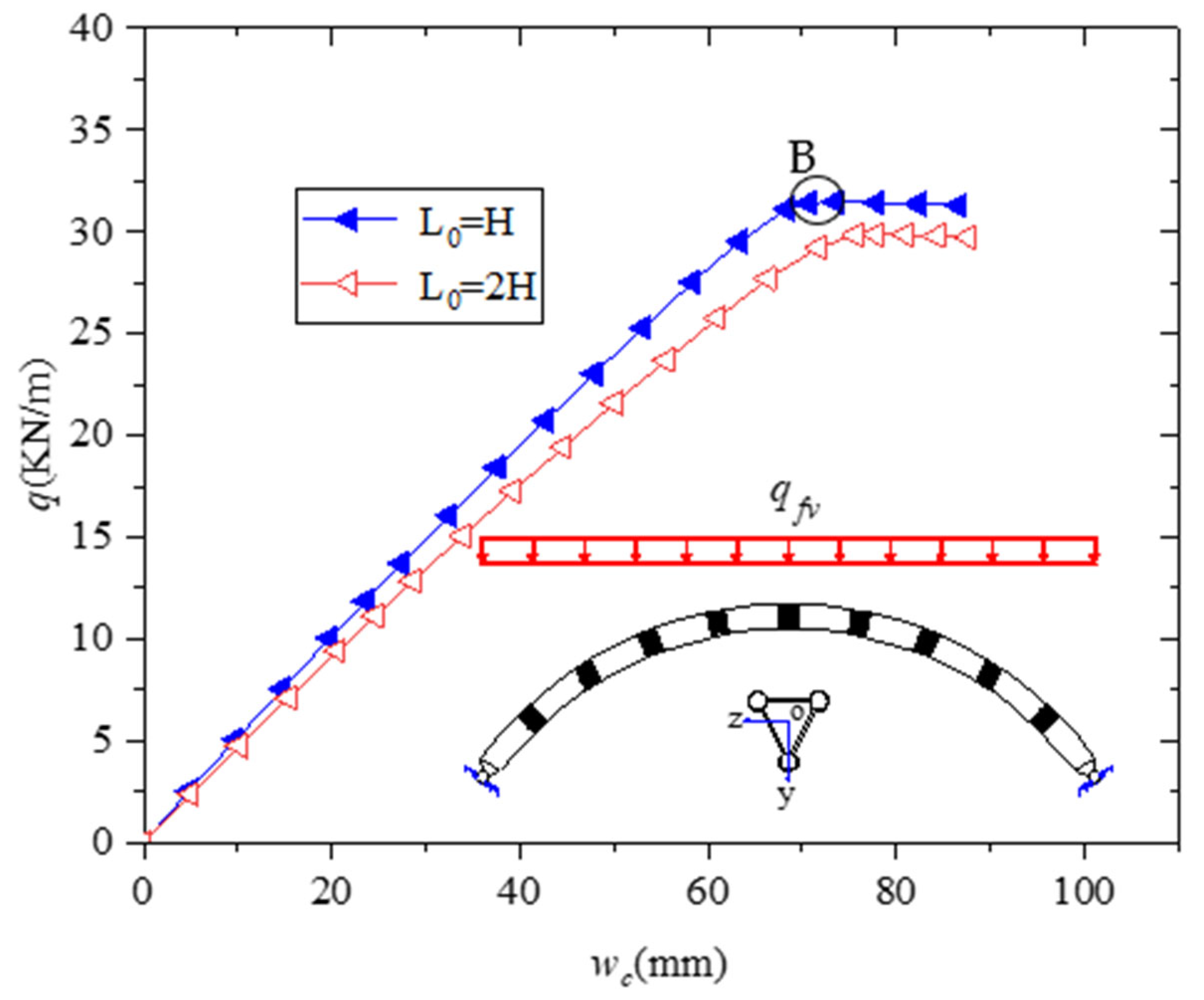
4.2.3. Combined Connecting Plate and Chord Failure
4.2.4. Connecting Plate Failure
4.2.5. Comparison of Three Types of Local Failure
4.3. Failure Mechanism under HSUVL
4.3.1. Global Failure Mechanism under HSUVL
4.3.2. Local Failure Mechanism under HSUVL
5. Design Recommendations
6. Conclusions
- The limiting conditions to avoid local failure of structural members are discussed. When the slenderness ratio of the chord to the arch under FSURL satisfies < , the chord can be prevented from becoming unstable before the global buckling of the arch occurs. When the slenderness ratio satisfies Equation (18), the connecting plate can be prevented from buckling before the global elastic buckling of the arch occurs. The formula for calculating the shear stiffness of the cross section of the arch is derived theoretically and combined with Equation (6), and the elastic buckling load of the arch when it is subjected to global antisymmetric elastic buckling can be calculated.
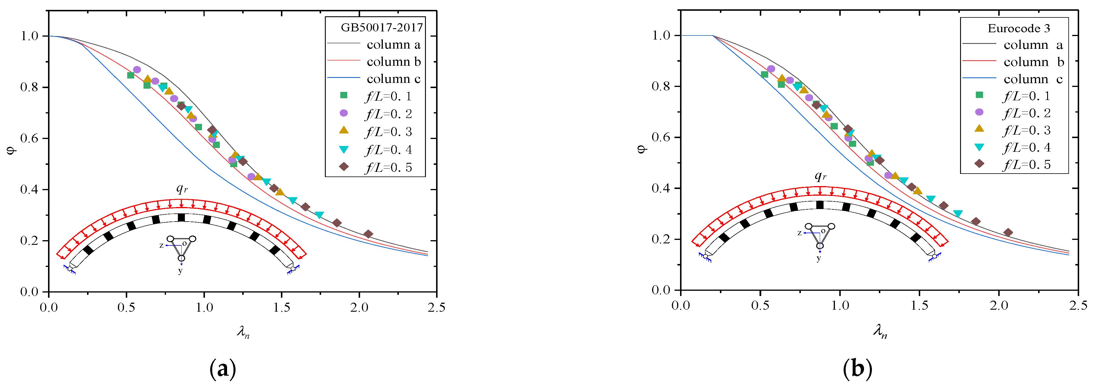
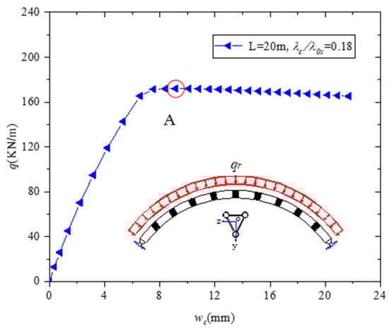
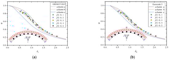
- The global elastic–plastic failure of the arch will occur under FSURL, FSUVL, and HSUVL. Under FSURL, the arch is subjected to uniform compression and will yield at 1/4 of the span and the upper chord at 3/4. The ultimate bearing capacity under pure compression can be verified by Equation (23). The reduction factor is calculated according to column curve b of GB50017-2017 or Eurocode 3. When the arch undergoes global elastoplastic failure under FSUVL, it will yield at the lower chord of both arch feet. Meanwhile, the lower chord yields near 1/4 L and 3/4 L under HSUVL. The proposed Equation (24) can be performed to check the global stability of the arch under the action of FSUVL or HSUVL.
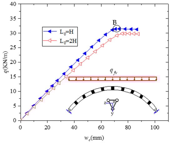
- Under FSUVL and HSUVL, three types of local failure modes of the plate-tube-connected steel circular arch with an inverted triangular cross section are observed. The main influencing factor in the local failure mode of the arch is the change in the stiffness of the connecting plate. A comparison of the three failure modes shows that the chord failure mode is better than the two other types. Therefore, the design of the arch can be controlled by the local failure of the chord. The proposed Equation (29) is used to check the strength of the chord local failure, and the ratio of should be less than 0.7 to ensure that the connecting plate remains in an elastic state.
Author Contributions
Funding
Data Availability Statement
Acknowledgments
Conflicts of Interest
References
- Pi, Y.-L.; Trahair, N.S. Non-linear buckling and postbuckling of elastic arches. Eng. Struct. 1998, 20, 571–579. [Google Scholar] [CrossRef]
- Pi, Y.-L.; Trahair, N.S. In-Plane Buckling and Design of Steel Arches. J. Struct. Eng. 1999, 125, 1291–1298. [Google Scholar] [CrossRef]
- Pi, Y.-L.; Mark, A. Bradford. In-plane strength and design of fixed steel I-section arches. Eng. Struct. 2003, 26, 291–301. [Google Scholar] [CrossRef]
- Mario, M.A.; Zhu, J.; Kellermann, D. In-plane buckling of circular arches and rings with shear deformations. Arch. Appl. Mech. 2013, 83, 1145–1169. [Google Scholar]
- Zhu, J.; Mario, M.A.; David, C.K. In-plane nonlinear buckling of circular arches including shear deformations. Arch. Appl. Mech. 2014, 84, 1841–1860. [Google Scholar] [CrossRef]
- Guo, Y.-L.; Chen, H.; Pi, Y.-L.; Dou, C. In-Plane Failure Mechanism and Strength of Pin-Ended Steel I-Section Circular Arches with Sinusoidal Corrugated Web. J. Struct. Eng. 2016, 142, 04015121. [Google Scholar] [CrossRef]
- Guo, Y.-L.; Chen, H.; Pi, Y.-L.; Dou, C. In-plane strength of steel arches with a Sinusoidal Corrugated Web under a full-span uniform vertical load: Experimental and numerical investigation. Eng. Struct. 2016, 110, 105–115. [Google Scholar] [CrossRef]
- Yanlin, G.; Liji, H. Design theory and method of in-plane stability ultimate bearing capacity of web openings with web openings. J. Build. Struct. 2007, 3, 23–30+90. [Google Scholar]
- Liji, H.; Yanlin, G. In-plane eigenvalue buckling performance of a section-shaped arch with web openings. Eng. Mech. 2006, 3, 126–133. [Google Scholar]
- Guo, Y.L.; Yuan, X.; Pi, Y.L.; Chao, D.; Bradford, M.A.; Chen, H. In-Plane Failure and Strength of Pin-Ended Circular Steel Arches Considering Coupled Local and Global Buckling. J. Struct. Eng. 2016, 143, 04016157. [Google Scholar] [CrossRef]
- Lu, Y.; Cheng, Y.; Han, Q. Experimental investigation into the in-plane buckling and ultimate resistance of circular steel arches with elastic horizontal and rotational end restraints. Thin-Walled Struct. 2017, 118, 164–180. [Google Scholar] [CrossRef]
- Dou, C.; Guo, Y.-F.; Jiang, Z.-Q.; Gao, W.; Pi, Y.-L. In-plane buckling and design of steel tubular truss arches. Thin-Walled Struct. 2018, 130, 613–621. [Google Scholar] [CrossRef]
- Yanlin, G.; Yufei, G.; Chao, D.; Bing, L. Plane stability and experimental study of truss arches with circular arc space in quadrilateral section. J. Build. Struct. 2010, 31, 54–62. [Google Scholar]
- Kninik, A.H.; Zihua, L. Arch Stability; Building Industry Press: Beijing, China, 1958. [Google Scholar]
- Guo, Y.-L.; Chen, H.; Pi, Y.-L. In-plane failure mechanisms and strength design of circular steel planar tubular Vierendeel truss arches. Eng. Struct. 2017, 151, 488–502. [Google Scholar] [CrossRef]
- Guo, Y.-F. Study on In-Plane Stability Energy and Design Method of Steel Pipe Truss Arch. Ph.D. Thesis, Tsinghua University, Beijing, China, 2008. [Google Scholar]
- Vlase, S.; Marin, M.; Öchsner, A. Considerations of the transverse vibration of a mechanical system with two identical bars. J. Mater. Des. Appl. 2019, 233, 1318–1323. [Google Scholar] [CrossRef]
- Timoshenko, S.P.; Gere, J.M. Theory of Elastic Stability; McGraw-Hill: New York, NY, USA, 1961. [Google Scholar]
- Guo, Y.-L.; Guo, Y.-F.; Dou, C. In-plane buckling and design of two-hinged steel tube circular truss arches under pure compression. J. Build. Struct. 2010, 31, 45–53. [Google Scholar]
- CECS280-2010; Technical Specification for Steel Pipe Structure: CECS280-2010. China Engineering Construction Standardization Association; China Planning Press: Beijing, China, 2010.
- Pi, Y.L.; Trahair, N.S. Inelastic lateral buckling strength and design of steel arches. J. Struct. Eng. ASCE 2000, 22, 993–1005. [Google Scholar] [CrossRef]
- GB50017; Code for Design of Steel Structures. Ministry of Construction of the People’s Republic of China: Beijing, China, 2003.
- EN1993-1-1; Eurocode 3. Design of Steel Structures, General Rules and Rules for Buildings. CEN European Committee for Standardization: Brussels, Belgium, 2004.






































| Buckling Modes | Model Parameters Corresponding to Buckling Modes |
|---|---|
| Global buckling | f/L = 0.3, L = 50, H = 1 m, B = 1 m, L0 = H, D × tc = 0.114 × 0.01 m, bw × tw = 0.2 × 0.02 m |
| Local chord buckling | f/L = 0.3, L = 50, H = 1 m, B = 1 m, L0 = 2 H, D × tc = 0.114 × 0.01 m, bw × tw = 0.2 × 0.03 m |
| Connecting plate buckling | f/L = 0.3, L = 50, H = 1.5 m, B = 1.5 m, L0 = 2 H, D × tc = 0.114 × 0.01 m, bw × tw = 0.2 × 0.01 m |
Disclaimer/Publisher’s Note: The statements, opinions and data contained in all publications are solely those of the individual author(s) and contributor(s) and not of MDPI and/or the editor(s). MDPI and/or the editor(s) disclaim responsibility for any injury to people or property resulting from any ideas, methods, instructions or products referred to in the content. |
© 2023 by the authors. Licensee MDPI, Basel, Switzerland. This article is an open access article distributed under the terms and conditions of the Creative Commons Attribution (CC BY) license (https://creativecommons.org/licenses/by/4.0/).
Share and Cite
Yuan, X.; Yuan, B.; Shi, M. In-Plane Failure Mechanism and Strength Design of Plate-Tube-Connected Circular Steel Arches. Buildings 2023, 13, 956. https://doi.org/10.3390/buildings13040956
Yuan X, Yuan B, Shi M. In-Plane Failure Mechanism and Strength Design of Plate-Tube-Connected Circular Steel Arches. Buildings. 2023; 13(4):956. https://doi.org/10.3390/buildings13040956
Chicago/Turabian StyleYuan, Xigui, Bo Yuan, and Minjie Shi. 2023. "In-Plane Failure Mechanism and Strength Design of Plate-Tube-Connected Circular Steel Arches" Buildings 13, no. 4: 956. https://doi.org/10.3390/buildings13040956
APA StyleYuan, X., Yuan, B., & Shi, M. (2023). In-Plane Failure Mechanism and Strength Design of Plate-Tube-Connected Circular Steel Arches. Buildings, 13(4), 956. https://doi.org/10.3390/buildings13040956
