Seismic Assessment of the Archangeloi (Başmelekler) Church in Kumyaka, Türkiye
Abstract
1. Introduction
2. Description of the Structure
2.1. Historical Survey
2.2. Geometrical and Structural Description


2.3. Visual Inspection
3. Seismic Assessment Criteria
4. Numerical Model and Eigenfrequency Analysis
4.1. Finite Element Model
4.2. Material Properties and Damage Model
4.3. Eigenfrequency Analysis
5. Nonlinear Safety Analysis
5.1. Vertical Loading
5.2. Horizontal Loading
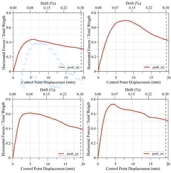
5.2.1. Pushover Analysis of the Main Structure (Naos and Narthex)
5.2.2. Pushover Analysis of the Perimeter Walls
6. Kinematic Analysis
7. Conclusions
- Field surveys were conducted, and the structural system, damages and masonry texture were determined. Since the building consists of many parts built in different periods, defining the masonry pattern is difficult. The walls and pedestals include regular or irregular stones with good texture masonry. The domes, arches and pendentives are made of solid bricks.
- Significant cross-section losses, cracks and damages were observed in the domes, arches, pendentives, main walls and pedestals. Some walls and window openings had interventions with different materials, and some of the wooden bond beams on the windows disappeared in time due to decay.
- Displacement-based pushover analyses were performed to determine the ultimate strengths, strength reductions and damage patterns with OpenSees software, which has an advanced nonlinear analysis capability. Different control points were chosen to determine failure patterns under seismic loads. The Damage TC3D material damage model with advanced features was used. This model allows more stable and effective implementation of mixed implicit–explicit nonlinear analyses, especially in higher displacements. The nonlinear pushover analysis reflected the expected behavior of the structure, especially at the post-ultimate strength. The displacement-controlled nonlinear analysis with sophisticated material damage models effectively determined the behavior after reaching the ultimate strength and local failures.
- Kinematic analyses were performed to determine the failure mechanism. Overturning mechanisms were checked for the perimeter walls and some parts of the main structure. The failure mechanisms were determined by considering the advanced displacement and damage distribution resulting from the pushover analysis. When the kinematic and pushover analysis results were compared, as expected, lower failure multipliers were obtained from the kinematic analysis due to the analysis assumptions (rigid block behavior and no tension material) and pre-assigned failure mechanisms. The irregular geometries of historic masonry churches make it difficult for pre-assigned failure mechanisms to reflect actual behavior.
- The church did not satisfy the performance targets when the damages in the pushover analysis results were examined. Extensive damage occurred in the structure, even at the lowest seismic performance target. It was concluded that the analysis method and chosen material damage model to determine the structural performance of this church reflect the expected behavior of the building.
Funding
Data Availability Statement
Acknowledgments
Conflicts of Interest
References
- D’Altri, A.M.; Sarhosis, V.; Milani, G.; Rots, J.; Cattari, S.; Lagomarsino, S.; Sacco, E.; Tralli, A.; Castellazzi, G.; de Miranda, S. Chapter 1—A review of numerical models for masonry structures. In Numerical Modeling of Masonry and Historical; Woodhead Publishing: Sawston, UK, 2019. [Google Scholar]
- Lagomarsino, S.; Ottonelli, D.; Cattari, S. Chapter 2—Performance-based assessment of masonry churches: Application to San Clemente Abbey in Castiglione a Casauria (Italy). In Numerical Modeling of Masonry and Historical Structures; Woodhead Publishing: Sawston, UK, 2019. [Google Scholar]
- Lagomarsino, S. Damage assessment of churches after L’Aquila earthquake (2009). Bull. Earthq. Eng. 2012, 10, 73–92. [Google Scholar] [CrossRef]
- Cattari, S.; Abbati, D.; Ferretti, S.; Lagomarsino, D.; Ottonelli, S.; Tralli, D. Damage assessment of fortresses after the 2012 Emilia earthquake (Italy). Bull. Earthq. Eng. 2014, 12, 2333–2365. [Google Scholar] [CrossRef]
- Parisi, F.; Augenti, N. Earthquake damages to cultural heritage constructions and simplified assessment of artworks. Eng. Fail. Anal. 2013, 34, 735–760. [Google Scholar] [CrossRef]
- Binda, L.; Modena, C.; Casarin, F.; Lorenzoni, F.; Cantini, L.; Munda, S. Emergency actions and investigations on cultural heritage after the L’Aquila earthquake: The case of the Spanish Fortress. Bull. Earthq. Eng. 2011, 9, 105–138. [Google Scholar] [CrossRef]
- Ceroni, F.; Casapulla, C.; Cescatti, E.; Follador, V.; Prota, A.; da Porto, F. Damage assessment in single nave churches and analysis. Bull. Earthq. Eng. 2022, 20, 8031–8059. [Google Scholar] [CrossRef]
- Braga, A.B.; Lourenço, P.B.; Mendes, N. Seismic Assessment of the Medieval Armenian Church. Ann. Geophys. 2019, 62, SE338. [Google Scholar]
- Milani, G.; Valente, M. Failure analysis of seven masonry churches severely damaged during the 2012 Emilia-Romagna (Italy) earthquake: Non-linear dynamic analyses vs conventional static approaches. Eng. Fail. Anal. 2015, 54, 13–56. [Google Scholar] [CrossRef]
- Betti, M.; Borghini, A.; Boschi, S.; Ciavattone, A.; Vignoli, A. Comparative Seismic Risk Assessment of Basilica-type Churches. J. Earthq. Eng. 2017, 22, 62–95. [Google Scholar] [CrossRef]
- Elyamani, A.; Roca, P.; Caselles, O.; Clapes, J. Seismic safety assessment of historical structures using updated numerical models: The case of Mallorca cathedral in Spain. Eng. Fail. Anal. 2017, 74, 54–79. [Google Scholar] [CrossRef]
- Ciocci, M.P.; Sharma, S.; Lourenço, P.B. Engineering simulations of a super-complex cultural heritage building: Ica Cathedral in Peru. Meccanica 2018, 53, 1931–1958. [Google Scholar] [CrossRef]
- Mendes, N.; Lourenço, P.B. Seismic assessment of masonry “Gaioleiro” buildings in Lisbon, Portuga. J. Earthq. Eng. 2010, 14, 80–101. [Google Scholar] [CrossRef]
- Milani, G.; Valente, M. Damage survey, simplified assessment, and advanced seismic analyses of two masonry churches after the 2012 Emilia. Int. J. Archit. Herit. 2019, 34, 901–924. [Google Scholar]
- Marques, R.; Pereira, J.M.; Lourenço, P.B.; Parker, W.; Uno, M. Study of the seismic behavior of the “Old Municipal Chambers” building in Christchurch, New Zealand. J. Earthq. Eng. 2013, 17, 350–377. [Google Scholar] [CrossRef]
- D’Altri, A.M.; Castellazzi, G.; de Miranda, S. Collapse investigation of the Arquata del Tronto medieval fortress after the 2016 Central Italy seismic sequence. J. Build. Eng. 2018, 18, 245–251. [Google Scholar] [CrossRef]
- Betti, M.; Galano, L. Seismic Analysis of Historic Masonry Buildings: The Vicarious Palace in Pescia (Italy). Buildings 2012, 2, 63–82. [Google Scholar] [CrossRef]
- Tiberti, S.; Acito, M.; Milani, G. Comprehensive FE numerical insight into Finale Emilia Castle behavior under 2012 Emilia Romagna seismic sequence: Damage causes and seismic vulnerability mitigation hypothesis. Eng. Struct. 2016, 117, 397–421. [Google Scholar] [CrossRef]
- Castellazzi, G.; D’Altri, A.M.; de Miranda, S.; Ubertini, F. An innovative numerical modeling strategy for the structural analysis of historical monumental buildings. Eng. Struct. 2017, 132, 229–248. [Google Scholar] [CrossRef]
- Degli Abbati, S.; D’Altri, A.M.; Ottonelli, D.; Castellazzi, G.; Catteri, S.; de Miranda, S.; Lagomarsino, S. Seismic assessment of interacting structural units in complex historic masonry constructions by nonlinear static analysis. Comput. Struct. 2019, 213, 51–71. [Google Scholar] [CrossRef]
- Bartoli, G.; Betti, M.; Vignoli, A. A numerical study on seismic risk assessment of historic masonry towers: A case study in San Gimignano. Bull. Earthq. Eng. 2016, 14, 1475–1518. [Google Scholar] [CrossRef]
- Valente, M.; Milani, G. Seismic assessment of historical masonry towers by means of simplified approaches and standard FEM. Constr. Build. Mater. 2016, 108, 74–104. [Google Scholar] [CrossRef]
- Castellazzi, G.; D’Altri, A.M.; de Miranda, S.; Chiozzi, A.; Tralli, A. Numerical insights on the seismic behavior of a non-isolated historical masonry tower. Bull. Earthq. Eng. 2018, 16, 933–961. [Google Scholar] [CrossRef]
- Genç, A.F.; Ergün, M.; Günaydin, M.; Altunişik, A.C.; Ateş, Ş.; Okur, F.Y.; Mosallam, A. Dynamic analyses of experimentally-updated FE model of historical masonry clock towers using site-specific seismic characteristics and scaling parameters according to the 2018 Turkey building earthquake code. Eng. Fail. Anal. 2019, 105, 402–426. [Google Scholar] [CrossRef]
- Carpinteri, A.; Invernizzi, S.; Lacidogna, G. In situ damage assessment and nonlinear modelling of a historical masonry tower. Eng. Struct. 2005, 27, 387–395. [Google Scholar] [CrossRef]
- Micelli, F.; Cascardi, A. Structural assessment and seismic analysis of a 14th masonry tower. Eng. Fail. Anal. 2020, 107, 104198. [Google Scholar] [CrossRef]
- Betti, M.; Vignoli, A. Numerical assessment of the static and seismic behaviour of the basilica of Santa Maria all’Impruneta (Italy). Constr. Build. Mater. 2011, 27, 4308–4324. [Google Scholar] [CrossRef]
- Fortunato, G.; Funari, M.F.; Lonetti, P. Survey and seismic vulnerability assessment of the Baptistery of San Giovanni in Tumba (Italy). J. Cult. Herit. 2017, 26, 64–78. [Google Scholar] [CrossRef]
- Betti, M.; Vignoli, A. Modelling and analysis of a Romanesque church under earthquake loading: Assessment of seismic resistance. Eng. Struct. 2008, 30, 352–367. [Google Scholar] [CrossRef]
- Saloustros, S.; Pelà, L.; Roca, P.; Portal, J. Numerical analysis of structural damage in the church of the Poblet Monastery. Eng. Fail. Anal. 2015, 48, 41–61. [Google Scholar] [CrossRef]
- Clementi, F. Failure Analysis of Apennine Masonry Churches Severely Damaged during the 2016 Central Italy Seismic Sequence. Buildings 2021, 11, 58. [Google Scholar] [CrossRef]
- Genim. Technical Research and Architectural Survey Report; Yenilem Project Consultation & T.A.Ş.: Istanbul, Türkiye, 2015. [Google Scholar]
- Hasluck, F.W. Bithynica. Annu. Br. Sch. Athens 1907, 13, 285–308. [Google Scholar] [CrossRef][Green Version]
- Bates, W.N. Archaeological Discussions. Am. J. Archaeol. 1909, 13, 187–248. [Google Scholar] [CrossRef]
- Soykan, A.N. Bursa, Kumyaka (Sige); The Church of the Archangels (Archangeloi): Ankara, Türkiye, 2018. [Google Scholar]
- Buchwald, H. The Church of the Archangels in Sige near Mudania: Byzantina Vindobonensia 4; Hermann Böhlaus Nachfolger: Wien, Austria; Köln, Germany; Graz, Austria, 1969; Available online: https://www.academia.edu/44080478/The_Church_of_the_Archangels_in_Sige_near_Mudania_Hans_Buchwald (accessed on 10 February 2023).
- Soykan, A.N.; Gür, D. Bursa Kumyaka Başmelekler (Archangeloi) Kilisesi Duvar Resimleri. Asya Stud.-Acad. Soc. Stud. Akad. Sos. Araştırmalar 2019, 10, 48–76. [Google Scholar] [CrossRef]
- Szabo, S.; Funari, M.F.; Lourenço, P.B. Masonry patterns’ influence on the damage assessment of URM walls: Current and future trends. Dev. Built Environ. 2023, 13, 100119. [Google Scholar] [CrossRef]
- Ministry of Infrastructures and Transportation (MIT). Circolare 2 febbraio 2009, n. 617, Istruzioni per L’applicazione Delle «Nuove Norme Tecniche per le Costruzioni» di cui al Decreto Ministeriale 14 Gennaio 2008, (GU n. 47 del 26-2-2009-Suppl. Ordinario n.2.) Italy. 2009. Available online: https://www.gazzettaufficiale.it/eli/gu/2009/02/26/47/so/27/sg/pdf (accessed on 10 February 2023).
- Binda, L. State of the Art of Research on Historic Structures in Italy Historic Masonry Structures View Project Masonry Materials Testing View Project. 2001. Available online: https://www.researchgate.net/publication/237440027 (accessed on 1 March 2023).
- Genim. Architectural Survey Project Drawings; Yenilem Project Consultation & T.A.Ş.: Istanbul, Türkiye, 2015. [Google Scholar]
- SRMGHS. Seismic Risks Management Guide for Historical Structures; General Directorate of Foundations: Ankara, Türkiye, 2017.
- TBSC. Turkish Building Seismic Code; The Disaster and Emergency Management Presidency-Ministry of the Interior: Ankara, Türkiye, 2018.
- Olivito, R.S.; Porzio, S. A new multi-control-point pushover methodology for the seismic assessment of historic masonry buildings. J. Build. Eng. 2019, 26, 100926. [Google Scholar] [CrossRef]
- Autocad v2020, Computer-Aided Design (CAD) Software; Autocad: San Francisco, CA, USA, 2020.
- Ansys SpaceClaim v2021r2, Solid Modeling CAD (Computer-Aided Design) Software; Ansys: Concord, MA, USA, 2021.
- Ansys Mechanical v2021r2, Finite Element Analysis (FEA) Software for Structural Engineering; Ansys: Canonsburg, PA, USA, 2021.
- Midas Gen v2020, Integrated Solution System for Building and General Structure; Midas Information Technology Co.: Seongnam, Republic of Korea, 2020.
- Endo, Y.; Pela, L.; Roca, P. Review of different pushover analysis methods applied to masonry buildings and comparison with nonlinear dynamic. J. Earthq. Eng. 2017, 21, 1234–1255. [Google Scholar] [CrossRef]
- Pena, F.; Lourenço, P.B.; Mendes, N.; Oliveira, D.V. Numerical models for the seismic assessment of an old masonry tower. Eng. Struct. 2010, 32, 1466–1478. [Google Scholar] [CrossRef]
- McKenna, F.; Scott, M.H.; Fenves, G.L. Nonlinear finite-element analysis software architecture using object composition. J. Computi. Civ. Eng. 2010, 24, 95–107. [Google Scholar] [CrossRef]
- Petracca, M.; Candeloro, F.; Camata, G. STKO v2.0.0 User Manual; ASDEA Software Technology: Pescara, Italy, 2017. [Google Scholar]
- Valente, M.; Milani, G. Chapter 5—Seismic assessment of historical masonry structures through advanced nonlinear dynamic simulations: Applications to castles, churches, and palaces. In Numerical Modeling of Masonry and Historical Structures from Theory to Application; Woodhead Publishing Series in Civil and Structural Engineering; Woodhead Publishing: Sawston, UK, 2019. [Google Scholar]
- Coli, M.; Ciuffreda, A.L.; Donigaglia, T. Technical Analysis of the Masonry of the Bargello’ Palace, Florence (Italy). Appl. Sci. 2022, 12, 2615. [Google Scholar] [CrossRef]
- Petracca, M.; Pelà, L.; Rossi, R.; Zaghi, S.; Camata, G.; Spacone, E. Micro-scale continuous and discrete numerical models for nonlinear analysis of masonry shear walls. Constr. Build. Mater. 2017, 149, 296–314. [Google Scholar] [CrossRef]
- Petracca, M.; Camata, G. A Mixed Implicit-Explicit Tension-Compression Plastic-Damage Model; ASDEA Software Technology: Pescara, Italy, 2019. [Google Scholar]
- Cross, T.; De Luca, F.; De Risi, R. An experimental comparison of micro-modelling and meso-modelling for an unreinforced masonry wall. In Proceedings of the 17th World Conference on Earthquake Engineering, Sendai, Japan, 13–18 September 2020. No. 2c-0176. [Google Scholar]
- Bianchini, N.; Ciocci, M.P.; Solarino, F.; Romanazzi, A.; Ramirez, R.; D’Anna, J.; Aşıkoğlu, A. Influence of wall to floor connections and pounding on pre and post diction simulations of a masonry building aggregate tested on a shaking table. Bull. Earthq. Eng. 2023. [Google Scholar] [CrossRef]
- Heyman, J. The stone skeleton. Int. J. Solids Struct. 1966, 2, 249–279. [Google Scholar] [CrossRef]
- Heyman, J. The safety of masonry arches. Int. J. Mech. Sci. 1969, 11, 363–385. [Google Scholar] [CrossRef]
- Gunes, B.; Cosgun, T.; Sayin, B.; Ceylan, O.; Mangir, A.; Gumusdag, G. Seismic assessment of a reconstructed historic masonry structure: A case study on the ruins of Bigali castle mosque built in the early 1800s. J. Build. Eng. 2021, 39, 102240. [Google Scholar] [CrossRef]
























| Locally Important Historical Structures | Nationally Important Historical Structures | Internationally Important Historical Structures |
|---|---|---|
| DD-3 → CD | DD-3 → LD | DD-2 → LD |
| DD-3 → PC | DD-2 → CD | DD-1 → LD |
| DD-2 → PC | DD-1 → PC | DD-1 → CD |
| Parameter | Value/Class |
|---|---|
| Local soil class | ZC |
| Earthquake ground motion level | DD-3, DD-2, DD-1 |
| Spectral acceleration coefficients | DD-3, SS = 0.346, S1 = 0.099 DD-2, SS = 0.884, S1 = 0.239 DD-1, SS = 1.689, S1 = 0.450 |
| Definition | Symbol | Walls | Arches/Domes |
|---|---|---|---|
| Masonry element type | - | Stone | Brick |
| Density, kN/m3 | - | 20 | 18 |
| Compressive strength, MPa | fk | 1.60 | 2.3 |
| Shear strength, MPa | fvk0 | 0.05 | 0.08 |
| Tensile strength, MPa | ft | 0.075 | 0.12 |
| Modulus of elasticity, MPa | E | 1400 | 2100 |
| Shear modulus, MPa | G | 240 | 350 |
| Tensile fracture energy, N/mm | Gt | 0.03 | 0.1 |
| Compressive fracture energy, N/mm | Gc | 7 | 10 |
| Mechanisms | α0 | a0 (g) | Earthquake | ac(g) | ac/a0 | Check (ac/a0) |
|---|---|---|---|---|---|---|
| PWO1 | 0.130 | 0.130 | DD-1 | 0.41 | 3.12 | Not OK |
| DD-2 | 0.21 | 1.63 | Not OK | |||
| DD-3 | 0.09 | 0.69 | OK | |||
| PWO2 | 0.122 | 0.122 | DD-1 | 0.41 | 3.33 | Not OK |
| DD-2 | 0.21 | 1.74 | Not OK | |||
| DD-3 | 0.09 | 0.74 | OK | |||
| PWO3 | 0.130 | 0.130 | DD-1 | 0.41 | 3.13 | Not OK |
| DD-2 | 0.21 | 1.64 | Not OK | |||
| DD-3 | 0.09 | 0.69 | OK | |||
| PWO4 | 0.134 | 0.134 | DD-1 | 0.41 | 3.03 | Not OK |
| DD-2 | 0.21 | 1.59 | Not OK | |||
| DD-3 | 0.09 | 0.67 | OK | |||
| MSO1 | 0.348 | 0.348 | DD-1 | 0.41 | 1.16 | Not OK |
| DD-2 | 0.21 | 0.61 | OK | |||
| DD-3 | 0.09 | 0.26 | OK | |||
| MSO2 | 0.221 | 0.221 | DD-1 | 0.41 | 1.83 | Not OK |
| DD-2 | 0.21 | 0.96 | OK | |||
| DD-3 | 0.09 | 0.41 | OK |
Disclaimer/Publisher’s Note: The statements, opinions and data contained in all publications are solely those of the individual author(s) and contributor(s) and not of MDPI and/or the editor(s). MDPI and/or the editor(s) disclaim responsibility for any injury to people or property resulting from any ideas, methods, instructions or products referred to in the content. |
© 2023 by the author. Licensee MDPI, Basel, Switzerland. This article is an open access article distributed under the terms and conditions of the Creative Commons Attribution (CC BY) license (https://creativecommons.org/licenses/by/4.0/).
Share and Cite
Gunes, B. Seismic Assessment of the Archangeloi (Başmelekler) Church in Kumyaka, Türkiye. Buildings 2023, 13, 787. https://doi.org/10.3390/buildings13030787
Gunes B. Seismic Assessment of the Archangeloi (Başmelekler) Church in Kumyaka, Türkiye. Buildings. 2023; 13(3):787. https://doi.org/10.3390/buildings13030787
Chicago/Turabian StyleGunes, Baris. 2023. "Seismic Assessment of the Archangeloi (Başmelekler) Church in Kumyaka, Türkiye" Buildings 13, no. 3: 787. https://doi.org/10.3390/buildings13030787
APA StyleGunes, B. (2023). Seismic Assessment of the Archangeloi (Başmelekler) Church in Kumyaka, Türkiye. Buildings, 13(3), 787. https://doi.org/10.3390/buildings13030787

