Abstract
Concentrically braced frame (CBF) systems are susceptible to buckling (which causes a decrease in energy absorption), although this system has considerable lateral stiffness and strength. To over this shortcoming, researchers have suggested the use of I-shaped steel dampers as a practical idea that prevents buckling and increases the energy absorption but reduces the stiffness of the system. To increase the stiffness of the damper, the thickness of the web or the thickness of the flange can be increased, but by increasing their thickness the shear capacity of the damper also increases. Nevertheless, with the increase in the capacity of the damper, the forces created in the elements outside the damper will also increase, which is usually not a suitable solution. Therefore, in this paper, the use of the low yield point for the web plate of an I-shaped damper is proposed to compensate for it. Accordingly, its behavior is investigated parametrically and numerically and also requires equations to design the system proposed. Results indicated that utilizing an LYP damper improves the behavior of the system in the case of energy absorption, stiffness, and strength. Comparing the LYP damper and the conventional I-shaped damper (made of A36 steel) reveals that both dampers pertain to stable hysteresis loops without any degradation, which confirms the capability of the I-shaped damper to dissipate seismic energy. Although the flange plate properties contribute to the load-bearing of the damper, the A36 damper is more affected by the flange plate than the LYP damper that is concluded for LYP dampers the flange plate contribution in the shear strength of the damper is ignorable at the beginning of imposed loading.
1. Introduction
Although concentrically braced frames (CBFs) have been introduced as a system with the highest stiffness and strength in comparison with other conventional systems, they have suffered from low dissipating energy capability. This shortcoming is due to the susceptibility of the diagonal member element of CBF to buckling under cyclic loading. This phenomenon leads the hysteresis curve of the CBF system to degradation. Therefore, the system does not exhibit ductile behavior under seismic loading. In contrast, the eccentrically braced frames (EBFs) have shown a suitable performance under seismic loading in past earthquakes [1,2] as well as experimental [3,4] and numerical studies [5,6]. Since the horizontal link is a part of the floor beam, repairing the EBF after a severe earthquake is complicated. Moreover, in this system, the shear capacity of the link beam creates substantial axial forces to the columns surrounding the brace, which should be included in the seismic design and analysis process [7,8]. Moreover, when a horizontal link is attached to a column, in addition to the axial force, a large shear force is imposed on the column, which has been studied to overcome the problem [9]. Utilizing a vertical shear link in an EBF system (V-EBF) attached under the floor beam (between the floor beam and the brace elements), the problem is solved. The link in this system does not subject to axial loading. In other words, the influence of axial forces on the vertical links is negligible [10]. Also, the V-EBF system is used as an alternative strategy for seismic improvement and retrofitting of reinforced concrete buildings [11]. In line with utilizing the V-EBF, some researchers have proposed the use of metallic dampers to improve the behavior of CBF braces such as added damping and stiffness (ADAS) dampers [12], ellipse added damping and stiffness (EDAS) dampers [13], triangular added damping and stiffness (TADAS) [14], curved-TADAS [15], U-shaped dampers [16], box-shaped dampers [17], ring damper [18], flexural dampers [19], shear dampers [20,21], shear dampers strengthened with X-stiffeners [22,23], and braced ductile shear panels [24]. Among existing steel dampers, shear dampers are more popular than other dampers due to their simplicity in construction, ease of installation, ease of replacement after an earthquake, and also favorable performance confirmed by numerical and laboratory studies. By adding the damper to the element brace directly, stiffness is obtained from the sum of the stiffness series of equivalent springs. Accordingly, although the shear dampers directly connected to the braces prevent the buckling of the diagonal member of the CBF and increase its energy absorption capability, they also reduce the elastic stiffness of the system.
Some researchers investigated the low yield point (LYP) shear panels [25,26]. Okazaki and Engelhardt [27] conducted various experiments on the cyclic loading behavior of LYP-EBF links made of rolled W-shaped samples with ASTM A992 steel. They proposed to use Ω = 1.35 to 1.41, which was lower than AISC 341-16 [28] and ANSI/AISC 360-16 [29]. However, a greater overstrength factor is possibly required for very short links with heavy flanges [30]. Sabouri-Ghomi [31], confirmed the omittance of local bucking in the shear links using easy-going steel (EGS) has better performance in cyclic behavior than a link constructed from ST37 steel. An interesting finding revealed by Dusicka et al. [32] was that the cyclic behavior and shear deformation of links made from LYP steel showed noticeable superiority over common structural designs. This was accomplished through the alternation of failure mode realized by a small value of web compactness.
As mentioned before, adding a damper to the CBF braces reduces the stiffness of the system, although it improves the behavior of the system in terms of energy absorption and ductility. To overcome this shortcoming, the thickness of the damper can be increased, but its capacity will also increase. Accordingly, the force created in the elements outside the damper is also increased. Therefore, in this paper, an I-shaped shear damper is proposed, which pertains to ease of construction and ease of replacement after a severe earthquake. The proposed damper is a compound of LYP steel for the web plates and A-36 steel for the flange plates. By keeping the shear strength of the I-shaped damper constant, its thickness can be increased to compensate for the stiffness (caused by adding the damper to the brace).
2. The Proposed Shear Link
Although the suitable performance of the damper under seismic loading accounted as the important role of the damper, easy fabrication, easy installation, and easy replacement after an earthquake are the other important roles regarding dampers. The presented damper in this paper pertains to these advantages. As illustrated in Figure 1, the shear damper made of a main web plate with LYP steel surrounded by two end flange plates formed an I-shaped damper. It is attached at the end of a diagonal CBF brace element. It is expected that the damper will yield before the buckling of the diagonal brace element. Therefore, it acts as a ductile fuse and pertains easy replacement after a severe earthquake due to its easy fabrication.
Figure 1.
Proposed damper.
The LYP steel, which has a lower yield strength than A36 steel and a great elongation property, is preferred to offset the increase in web area to achieve the desired yield strength and high stiffness for the damper. Subsequently, the advantages of utilizing LYP steel in comparison with carbon steel are summarized in two points: (1) the shear displacement of the system with LYP steel is lower than conventional steel whereas both systems have equal strength and (2) the ductility and capability of energy dissipating the LYP steel are much greater than conventional steel. Recently, LYP steel shear links with/without web stiffeners have introduced a series of problems [30]. In addition, some large overstrength factors are observed in certain studies, as in the work by Dusicka et al. [32].
According to the AISC AISC 341-16 [28], the performance of the shear I-shaped links is categorized into three types: the shear mechanism by ρ < 1.6, the shear–flexural mechanism by 1.6 < ρ < 2.6, and the flexural mechanism by ρ > 2.6, where . Comprehensive outcomes were reported by Kasai and Popov [33], Hjelmstad and Popov [34], Engelhardt and Popov [35], and Okazaki. Refs. [7,27,36] have confirmed that an appropriately designed shear link can provide stable predictable ductile behavior under cyclic loading.
Regarding I-shaped links, AISC 341-16 [28] presented Equation (1) to calculate the shear strength for shear links (ρ < 1.6). Article F3.5b.2 of AISC 341-16 is used to determine the design shear strength, . For an I-shaped shear link (ρ < 1.6), , where is calculated as indicated in Equation (1):
where the net area section of the web, , equals . It should also be noted that certain AISC 360-16 [29] specifications define where is replaced by .
This paper assumes that the shear capacity of I-shaped shear links is provided by web and flange plates. Since two I-shaped shaped links are used for constructing the damper, a coefficient of 2 is applied:
Although AISC specifications recommend calculating the nominal shear capacity of short links based on the web area, without including the contribution of the flanges, according to findings by McDaniel et al. [37], in short links, the flanges are also subject to significant shear loading. Manheim and Popov [38] and Richards [39] propose that the flange should be considered in determining the plastic shear capacity of the link. Since shear loading is also applied to the flanges, Equation (1) is revised to consider the shear strength of the flanges:
In this equation, to consider the effect of strain hardening, it is proposed that be equal to 1.1. The upper bound of the equation establishes when four flexural plastic hinges are formed in the flange plates. Hinges are formed when the moment reaches the plastic moment. To satisfy the equilibrium, Equation (4) should be established:
where . Additionally, Equation (2) is simplified as
, accordingly, it is rewritten as:
Correspondingly, it is assumed that both web plate and flange plates contribute to the stiffness of the damper. In other words, the stiffness of the damper includes the stiffness of the web plate and the stiffness of the flange plates as . Factor 2 is regarding the two I-shaped dampers used. Since web plates act as shear plates, and knowing the while Poisson ratio of steel equals 0.3, the web plate stiffness is given by:
Moreover, the flange plate stiffness is obtained
Therefore, the stiffness of the proposed damper is suggested as:
3. Method of Study
The innovative idea in this article is to use the web made of LYP100 steel. In LYP100 steel, its yield strength and modulus of elasticity are, respectively, about 2.35 times and 30% lower than A36 steel. Therefore, by keeping constant the shear capacity of the damper, the thickness can be increased by 2.35 times without creating additional force in the external elements of the damper. Referring to Equations (5) and (8), both the shear strength and the stiffness of the damper are related to the thickness of I-shaped plates and their mechanical properties. Accordingly, considering that the thickness can be increased by 2.35 times, the stiffness of the damper is expected to increase and, due to its lower yield stress, its energy absorption is expected to improve. Subsequently, in the present paper, the behavior of bare dampers is investigated.
4. Numerical Study
4.1. Modeling
To simulate the FE models, ANSYS software using SHELL 181 was used. The element has the capability of accounting for the large displacement, buckling, and material nonlinearity. Although solid (brick) elements can be used to simulate the damper, it increases the time of analysis. Additionally, the same results are obtained and the capability of the element is verified in the next section, thus the SHELL 181 was used. Figure 2 shows a schematic view of an FE model. For each damper, a mesh that includes 1724 elements was used. To do so, each web was divided by 20 × 20 = 400 elements (400 elements for two webs) and each flange was created as 4 × 20 = 80 (320 elements for four flanges). The nonlinearity (material, and geometric) was considered in this paper. Material nonlinearity was measured by defining the stress–strain of the material and geometric nonlinearity was considered by applying imperfection. To determine the imperfection, first, a buckling analysis was performed, then the FE model was updated based on the buckled model. As a result, the first positive eigenmode of each link was amplified by a very small magnitude of h/10,000 and was then used as the initial shape for nonlinear analysis. A convergence study was performed on a sample incorporating the smallest values for the thickness and the web panel.
Figure 2.
A schematic view of FE models.
4.2. Verification of the FE results
An experimental test specimen performed by Engelhardt and Popov [35] was selected to verify the FE results. This specimen was made of A36 material, with dimensions of W18 × 40 and a length of 711 mm. The links used for this experimental test have the same boundary condition as the dampers proposed in this paper. Consequently, the boundary conditions and mechanisms employed in the experimental test were the same as those for the proposed damper. A comparison of the deformation and hysteresis curve results of the FE modeling with the results obtained in the experimental test reveals good agreement and accuracy of the FE modeling, Figure 3. According to the figure, the slope of the curves (stiffness) obtained from the FE analysis is consistent (with a maximum error of 2%) with the experimental test results. Additionally, the shear capacity obtained from the FE results is associated with the experimental test results with a maximum error of 5%, which indicates a good agreement between the numerical results and the finite element results. Additionally, the yielding status of the test and the FE results is the same. The good agreement between the FE and experimental results confirms that the FE results are accurate enough to proceed with the other FE modeling in this paper.
Figure 3.
Comparison of results of the FE modeling and the experimental test. (a) The shear link at the end of testing [35]; (b) FE simulation; (c) comparing the hysteresis curves.
4.3. Boundary Conditions and Material Properties
The boundary condition was imposed to create the same condition when the damper is located in the frame. To do so, the end of the boundary plates of the damper, where they attached to the guest plate, was restricted against rotation and displacement. Additionally, the other end of the damper was not restricted. Additionally, loading was applied to the middle plate at the other end damper. The dampers were applied load up to reach a rotation of 8% (0.08 radians), as specified in article F3.4a of AISC 341-16 [28], and short shear links attain a maximum rotation of 0.08 rad under design seismic loading. In the cyclic analysis, the cyclic loading by ATC 24 [40] protocol loading guidelines was applied to the dampers. Accordingly, to achieve the 0.08 radian, the displacement equal to 11.2, 16.8, 22.4, and 28 mm, respectively, was applied to the models with h = 140, 210, 280, and 350 mm. The material properties used in this paper are listed in Table 1. The properties were chosen as reported in Ref. [30].
Table 1.
Material properties [30].
5. Parametric Study
As explained in the method of the study section, two types of dampers—LYP dampers (I-shaped damper made of LYP steel for web plat) and A-36 dampers (I-shaped damper made of A36 steel)—are investigated. For the parametric study, the FE models were designed as shown in Table 2. Since the shear capacity tends to be kept constant, the same Fwyb.tw is used for both dampers. To do so, for all models b = 200 mm was selected. For all A36 dampers, the tp equals 6 mm was designed and increased to 14 mm (as the ratio of where ) for LYP steel.
Table 2.
Properties of the models for the parametric study.
A constant capacity of web plate strength (and constant Aw for A36 and LYP) was maintained to have a clear comparison between the designed models. Since other parameters such as flange plates properties are expected to affect the behavior of the dampers, different tf was considered to evaluate the effect of the defined ψ parameter as . where Vp is obtained from Equation (1) and Vf is the ultimate shear strength of the flange, given by Equation (4). Additionally, for all models, bf = 160 mm is used. Although AISC 341-16 [28] classifies links with as shear links, the effect of (even lower than 1) is considered. For ρ = e/(MP/VP), the Vp is calculated by Equation (1) and e = b and is determined as:
Subsequently, the designed name of each model includes five parts as L or A-ρ-ψ-tf-h. The first part indicates the L for LYP or A for A36 used for the web plate of the damper. The other parts’ values used for the parameters are variables considered in the parametric study.
6. Results and Discussion
6.1. Hysteresis Curves
The hysteresis curves of the dampers with tf = 10 mm and tf = 30 mm as dampers with the thinnest and thickest flange plates are compared in Figure 4. In this figure, for summarizing the results, only dampers with h = 140 and 350 mm are shown. Results indicate that all dampers show stable hysteresis loops without any degradation. Correspondingly, the LYP dampers pertain better performance than A36 dampers in the case of energy absorption, ultimate strength, and stiffness. Furthermore, by increasing the tf and reducing h, the energy absorption of the damper is improved for both LYP dampers and A36 dampers.
Figure 4.
Comparing the hysteresis curve of the LYP and A36 dampers.
Comparing the hysteresis curves of the dampers shown in Figure 5 confirms that ρ and ψ affected the hysteresis curves. By reducing h and increasing the tf, the hysteresis loop shows a better performance. As shown in this figure, by reducing ρ, the ultimate strength and stiffness of both LYP and A36 dampers are increased but the rate is different. The parameters are considered exactly in the next sections.
Figure 5.
Comparing the hysteresis curve of the dampers.
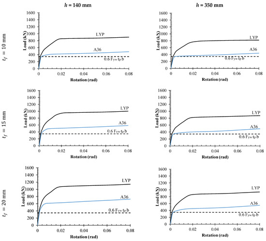
6.2. Load-Rotation Curves
As described before, according to AISC 341-16, for a shear I-shaped link where ρ < 1.6, the nominal strength of the link is obtained as , where in this I-shaped link . To have a better comparison of the performance of the damper, their load-rotation is plotted in Figure 6. Since in the analyzed dampers with LYP and A36 steel the are the same, the same results are obtained according to the AISC 341-16. However, results displaced in Figure 6 reveal that, besides and ρ, some other parameters affected the response of the I-shaped dampers. As shown in this figure, the determined based on the AISC 341-16, although measured by the minimum shear strength of the I-shaped damper, it should be revised to predict the ultimate strength of the I-shaped damper. This figure also shows that in the same situation of , ρ, and ψ, the LYP dampers have a greater dissipating energy and ultimate strength.
Figure 6.
Load-rotation curves for FE models.
6.3. Comparing the LYP and A36 Dampers
In Figure 7, the load-rotation of FE models with h = 140 mm and h = 350 mm are compared. In summary, other dampers are not shown, but all results are listed in Table 3. Results show that utilizing the LYP steel for the web plate made the curves rise, which caused an increase in the ultimate strength, dissipating energy, and stiffness. Moreover, in the A36 damper with a thinner flange plate, the Vn is close to , mainly in dampers with lower h; however, increasing the tf causes an increase in the difference between the and the ultimate strength of the dampers. This confirmed that the flange plate contributes to carrying the imposed load to the damper. Additionally, the equation predicts the minimum shear strength of the damper for a damper with higher h (and higher ρ). For the damper with lower h, the equation predicts the elastic zone with high error as minimum values of shear strength. Correspondingly, for all LYP dampers, the AISC recommendation predicts minimum values of the shear strength that is lower than the ultimate strength of the dampers.

Figure 7.
Comparing the load-rotation of damper with LYP and A36 steel for h = 140 mm and h = 350 mm.
Table 3.
The structural parameters.
Referring to Table 4, the LYP steel causes an improvement in the ultimate strength by 35% to 86%, elastic stiffness by 31% to 55%, overstrength by 40% to 68%, and the energy dissipation by 38% to 93%. Accordingly, the minimum improvement is attained by elastic stiffness and maximum enhancement is achieved by energy dissipation. The main feature of the paper is to increase the stiffness and dissipating energy of the damper by changing the materials of the web plate from A36 to LYP; the goal is obtained but the overstrength and ultimate strength are increased as well. The advantage of increasing the ultimate strength of the damper is reducing the required dampers in the structures, but increasing the overstrength has advantages and disadvantages.
Table 4.
The structural parameters of LYP damper divided by A36 damper.
6.4. Influence of ρ on the Stiffness and Strength
As mentioned before, according to the AISC, I-shaped shear links with ρ < 1.6 act as shear mechanisms. However, many researchers [20,21,30] have been investigating links with ρ < 1 (very short links). They concluded that links with the same value of ρ (where ρ < 1) have the same elastic behavior and different nonlinear behavior. To do so, the ultimate strength and stiffness of dampers are plotted versus ρ in Figure 8. As shown in this figure, by increasing the ρ, the ultimate strength and stiffness of both LYP and A36 dampers are reduced but the rate is different. For the parameters after ρ > 0.6, the slope of reduction tends to be smooth. So, the following equations are proposed for the primary design of the damper:
and for ultimate strength
Figure 8.
The ultimate strength and stiffness of dampers are plotted versus ρ.
Thus, this figure confirms that the load-rotation curve of the I-shaped damper is affected not only by the value of ρ but also by the value of ψ. As ψ decreases, the ultimate capacity of the damper increases. Thus, the contribution of the flange cannot be ignored when calculating the ultimate strength of the I-shaped damper.
6.5. Contribution of the Flange to Shear Strength
This section evaluates the relative contributions of the flange and the web to the performance of the damper. To do so, the load rotation of dampers for both LYP and A36 dampers with different h is plotted in Figure 9. Results indicate that in the elastic zone, web plates of all dampers are the same contribution. Nevertheless, in the nonlinear zone, for both LYP and A36 damper, the flange plate contributes to the load carrying that is increased by increasing the tf.
Figure 9.
Contribution of the flange to the damper shear strength.
Although the same properties such as flange plates, web plate shear strength, and the ratio of web plate strength to flange plate strength are used for both LYP and A36 dampers, the contribution of the flange plate in the imposed load of A36 is greater than LYP dampers, due to the properties of LYP steel in the nonlinear zone.
Figure 10 and Table 5 show that, when b/h < 1 (h = 140 mm), the flange absorbs 7.62% to 31.29% (by increasing the tf from 10 mm to 30 mm) at the beginning of loading and 2.93% to 31.67% at the end of loading for LYP dampers. For A36 dampers, the flange absorbs 11.07% to 41.60% (by increasing the tf from 10 mm to 30 mm) at the beginning of loading and 9.38% to 47.07% at the end of loading.
Figure 10.
Share of load absorbed by the shear link flange and web for FE models (h-tf-ρ-ψ).
Table 5.
Comparing the contribution of the flange to the damper shear strength.
Accordingly, by increasing the h to 350 mm (b/h > 1), the flange absorbs 5.42% to 21.86% (by increasing the tf from 10 mm to 30 mm) at the beginning of loading and 6.64% to 6.45% at the end of loading for LYP dampers. For A36 dampers, the flange absorbs 15.1% to 28.9% (by increasing the tf from 10 mm to 30 mm) at the beginning of loading and 8.86% to 15.01% at the end of loading.
It is concluded, that for LYP dampers, the flange plate contribution in the shear strength of the damper is ignorable at the beginning of imposed loading. Additionally, for thin flange plates, the effect of the flange plate on the shear strength can be ignored, which may give low errors of less than 8%. However, the effect of the flange plate on the response of the A36 damper is considerable.
6.6. Effect of the Flange on the Damper Response
To consider the effect of the flange plate on the response of the dampers with different tf, (tf = i) divided by tf = 10 mm are listed in Table 6. Results reveal that while the tf is increased, the Vn, K, Ω, and E are improved; this improvement is related to the h reduction as well. Referring to the results, both dampers’ parameters are increased by growing the tf and reducing h. This confirms that the increasing parameters of the damper are related to the stiffness of the flange plate (that contains tf and h). For LYP dampers, the maximum improvement of the parameters Vn, K, Ω, and E for h = 140 mm and h = 350 mm are, respectively, 73% and 33%, 50% and 41%, 12% and 6%, and 72% and 30%. For A36, this is 2.38 times and 57%, 77% and 41%, 35% and 16%, and 2.38 times and 54%. Moreover, the A36 damper is more affected by the flange plate stiffness than the LYP damper.
Table 6.
Comparing the parameters damper with different tf with tf = 10 mm.
In Figure 11, the maximum increasing of the parameters Vn, Ω, and E due to increasing the tf are plotted versus the h. This figure shows that A36 has more sensitive flange plate properties than LYP. Additionally, the Vn and E have a greater increase, whereas the Ω has a lower sensitivity to the flange plate properties.
Figure 11.
The maximum increase of Vn, Ω, and E versus h.
To have a better comparison, the Ω and Vn versus ψ are plotted in Figure 12. Since other parameters K and E did not show a specific relation with ψ, they are not plotted. As shown in this figure, during ψ < 1, the Vn is suddenly dropped and during 1 < ψ < 2, the rate of reduction is reduced. Additionally, by ψ > 2, the effect of the flange plate on the Vn is ignorable. Therefore, it is recommended to design the damper with ψ > 2 to reduce the sensitivity of the Vn to the flange plate properties. However, for Ω, the lower sensitivity value is obtained related to the ψ, but the minim value is occurring around ψ = 10. Since the element outside the damper must be designed for ΩVn, lower Ω helps to reduce the construction cost.
Figure 12.
The Ω and Vn versus ψ for LYP and A36 dampers.
7. Conclusions
In this paper, an innovative I-shaped damper with a shear mechanism made of LYP steel for web plates and A36 for flange plates was investigated numerically and parametrically. The main feature of using LYP steel for web plate was to increase energy absorption and stiffness. The finding is summarized as follows:
- Both dampers with LYP steel and A36 steel pertain to stable hysteresis loops without any degradation, which confirms the capability of the I-shaped damper to dissipate seismic energy.
- Besides the web plate shear strength as and ρ parameter, some other parameters affect the response of the I-shaped dampers. The Vn was determined based on the AISC 341-16 and, although it measured the minimum shear strength of the I-shaped damper, it should be revised to predict the ultimate strength of the I-shaped damper. In the same situation of , ρ, and ψ, the LYP dampers have a greater dissipating energy and ultimate strength.
- Results reveal that while tf is increased, the Vn, K, Ω, and E are improved, however this improvement is related to the h reduction as well. Moreover, the A36 damper is more affected by the flange plate stiffness than the LYP damper.
- It is concluded that, for the LYP damper, the flange plate contribution in the shear strength of the damper is ignorable at the beginning of imposed loading. Additionally, for a thin flange plate, the effect of the flange plate on the shear strength can be ignored, which may give low errors of less than 8%. However, the effect of the flange plate on the response of the A36 damper is not ignorable.
- Increasing the parameters of the damper is related to the stiffness of the flange plate. For the LYP damper, the maximum improvement of the parameters Vn, K, Ω, and E for h = 140 mm and h = 350 mm are, respectively, 73% and 33%, 50% and 41%, 12% and 6%, and 72% and 30%. For A36, this is 2.38 times and 57%, 77% and 41%, 35% and 16%, and 2.38 times and 54%.
- Since by ψ < 1, the Vn is dropped and through the 1 < ψ < 2 and ψ > 2, respectively, the rate of reduction is reduced and the effect of the flange plate on the Vn is ignorable, the design of a damper with ψ > 2 is suggested to reduce the sensitivity of the Vn to the flange plate properties.
- The minim value of Ω is obtained around ψ = 10. Since the element outside the damper must be designed for ΩVn, a lower Ω helps to reduce the construction cost.
- Recommendations for future work: It is suggested that a comprehensive study be conducted regarding the damper when it is made of A36 steel or LYP steel (for web or all components of the damper) from the economic aspect and to examine the construction costs. In this case, various parameters, including the number of stories, as well as the optimal mode of using this damper, can be obtained.
Author Contributions
Conceptualization, A.G., R.P.J. and C.T.; methodology, A.G., R.P.J. and T.S.; software, A.G.; validation, A.G. and C.T.; formal analysis, A.G.; investigation, A.G. and C.T.; resources, R.P.J.; data curation, C.T. and T.S.; writing—original draft preparation, A.G.; writing—review and editing, R.P.J.; visualization, A.G.; supervision, R.P.J.; project administration, A.G.; funding acquisition, R.P.J. All authors have read and agreed to the published version of the manuscript.
Funding
this research was funded by Universiti Malaysia Pahang: PDU213219.
Institutional Review Board Statement
Not applicable.
Informed Consent Statement
Not applicable.
Data Availability Statement
Not applicable.
Acknowledgments
This research was supported by the Thammasat University Research Unit in Structural and Foundation Engineering, Thammasat University. In addition, this work was supported by the Thailand Science Research and Innovation Fundamental Fund fiscal year 2023.
Conflicts of Interest
The authors declare no conflict of interest.
Abbreviations
| b | web Length of I-shaped link | plastic moment of the flange plate | |
| d | depth of I-shaped link | ratios of the expected yield stress to the specified minimum yield stress for the web | |
| e | link length | ratios of the expected yield stress to the specified minimum yield stress for the flange | |
| E | modulus of elasticity | flange plate thickness | |
| h | height of link | web plate thickness | |
| K | the coefficient for the effective length | design force | |
| length | Vs | loads corresponding to the start of the nonlinear zone | |
| radius of gyration | shear strength of the flange plate | ||
| V | lateral shear applied to the structure | VP | plastic shear capacity |
| Aw | web area section | Vu | ultimate strength |
| flange width | Φ | the compressive strength reduction coefficient | |
| yield stress of the brace | over strength | ||
| web yield stress | ρ | link length ratio | |
| yield stress of the flange plates | shear resistance coefficient | ||
| nominal shear strength | the angle of the diagonal brace element relative to the horizontal | ||
| MP | plastic moment capacity |
References
- Yang, T.Y.; Neitsch, J.; Al-Janabi, M.A.Q.; Tung, D.P. Seismic performance of eccentrically braced frames designed by the conventional and equivalent energy procedures. Soil Dyn. Earthq. Eng. 2020, 139, 106322. [Google Scholar] [CrossRef]
- Ghaedi, K.; Ibrahim, Z.; Javanmardi, A.; Rupakhety, R. Experimental study of a new bar damper device for vibration control of structures subjected to earthquake loads. J. Earthq. Eng. 2018, 25, 300–318. [Google Scholar] [CrossRef]
- Engelhardt, M.D.; Popov, E.P. Experimental performance of long links in eccentrically braced frames. J. Struct. Eng. 1992, 118, 3067–3088. [Google Scholar] [CrossRef]
- Nuzzo, I.; Losanno, D.; Serino, G.; Bozzo, L. A seismic resistant precast RC system equipped with shear link dissipators for residential buildings. In Proceedings of the Second International Conference on Advances in Civil, Structural and Environmental Engineering, Zurich, Switzerland, 25–26 October 2014; Volume 2, pp. 249–254. [Google Scholar] [CrossRef]
- Mohsenian, V.; Hajirasouliha, I.; Filizadeh, R. Seismic reliability analysis of steel moment-resisting frames retrofitted by vertical link elements using combined series–parallel system approach. Bull. Earthq. Eng. 2021, 19, 831–862. [Google Scholar] [CrossRef]
- Corte, D.; D’Aniello, M.; Landolfo, R. Analytical and numerical study of plastic overstrength of shear links. J. Constr. Steel Res. 2013, 82, 19–32. [Google Scholar] [CrossRef]
- Ji, X.; Wang, Y.; Ma, Q.; Okazaki, T. Cyclic behavior of very short steel shear links. J. Struct. Eng. 2016, 142, 04015114. [Google Scholar] [CrossRef]
- Bozkurt, M.; Topkaya, C. Replaceable links with gusseted brace joints for eccentrically braced frames. Soil Dyn. Earthq. Eng. 2018, 115, 305–318. [Google Scholar] [CrossRef]
- Chesoan, A.; Stratan, A.; Dubina, D. Design implementation of re-centring dual eccentrically braced frames with removable links. Soil Dyn. Earthq. Eng. 2018, 112, 174–184. [Google Scholar] [CrossRef]
- Zahrai, S.M.; Parsa, A. Effect of flange width of vertical link beam on cyclic behavior of chevron braced steel frames. J. Seismol. Earthq. Eng. 2015, 17, 281–292. [Google Scholar]
- Valente, M.; Milani, G. Alternative retrofitting strategies to prevent the failure of an underdesigned reinforced concrete frame. Eng. Fail. Anal. 2018, 89, 271–285. [Google Scholar] [CrossRef]
- Mazzolani, F.M.; Corte, G.D.; D’Aniello, M. Experimental analysis of steel dissipative bracing systems for seismic upgrading. J. Civ. Eng. Manag. 2009, 15, 7–19. [Google Scholar] [CrossRef]
- Najari Varzaneh, M.; Hosseini, M.; Akbarpoor, A. The Study of EADAS Elliptical Steel Damper Function in Seismic Resisting of Steel Frames. J. Rehabil. Civ. Eng. 2014, 2, 40–45. [Google Scholar]
- Shih, M.-H.; Sung, W.-P.; Go, C.-G. Investigation of newly developed added damping and stiffness device with low yield strength steel. J. Zhejiang Univ. Sci. 2004, 5, 326–334. [Google Scholar] [CrossRef] [PubMed]
- Shojaeifara, H.; Maleki, A.; Lotfollahi-Yaghin, A. Performance Evaluation of Curved-TADAS Damper on Seismic Response of Moment Resisting Steel Frame. Int. J. Eng. 2020, 33, 55–67. [Google Scholar]
- Özkaynak, H. Model Proposal for Steel Cushions for Use in Reinforced Concrete Frames. KSCE J. Civ. Eng. 2017, 21, 2717–2727. [Google Scholar] [CrossRef]
- Miao, F.; Nejati, F.; Zubair, S.A.M.; Yassin, M.E. Seismic Performance of Eccentrical Braced Frame Retrofitted by Box Damper in Vertical Links. Buildings 2022, 12, 1506. [Google Scholar] [CrossRef]
- Helm, L.; Sadegh-Azar, H.; Jahnel, L.; Jandrey, H. Application and Optimization of Ring Spring Dampers for Seismic Design. In Proceedings of the 10th International Conference on Behaviour of Steel Structures in Seismic Areas, Timisoara, Romania, 25–27 May 2022; STESSA 2022; Lecture Notes in Civil Engineering. Mazzolani, F.M., Dubina, D., Stratan, A., Eds.; Springer International Publishing: Cham, Switzerland, 2022. Note No. 262. [Google Scholar] [CrossRef]
- Sahoo, D.R.; Singhal, T.; Taraithia, S.; Saini, A. Cyclic behavior of shear-and-flexural yielding metallic dampers. J. Constr. Steel Res. 2015, 114, 247–257. [Google Scholar] [CrossRef]
- Ghamari, A.; Kim, C.-H.; Jeong, S.-H.; Hong, K.-J. Development of an innovative metallic damper for concentrically braced frame systems based on experimental and analytical studies. Struct. Des. Tall Spec. Build. 2022, 31, e1927. [Google Scholar] [CrossRef]
- Ghamari, A.; Almasi, B.; Kim, C.-H.; Jeong, S.-H.; Hong, K.-J. An Innovative Steel Damper with a Flexural and Shear–Flexural Mechanism to Enhance the CBF System Behavior: An Experimental and Numerical Study. Appl. Sci. 2021, 11, 11454. [Google Scholar] [CrossRef]
- Thongchom, C.; Bahrami, A.; Ghamari, A.; Benjeddou, O. Performance Improvement of Innovative Shear Damper Using Diagonal Stiffeners for Concentrically Braced Frame Systems. Buildings 2022, 12, 1794. [Google Scholar] [CrossRef]
- Thongchom, C.; Ghamari, A.; Putra Jaya, R.; Benjeddoud, O. Experimental and Numerical Study on an Innovative Trapezoidal-Shaped Damper to Improve the Behavior of CBF Braces. Buildings 2023, 13, 140. [Google Scholar] [CrossRef]
- Giannuzzi, D.; Ballarini, R.; Huckelbridge, A.; Pollino, M.; Valente, M. Braced Ductile Shear Panel: New Seismic-Resistant Framing System. J. Struct. Eng. 2014, 140, 04013050. [Google Scholar] [CrossRef]
- Tanaka, T.; Sasaki, Y. Hysteresis Performance of Shear Panel Dampers of Ultra Low Yield Strength Steel for Seismic Response Control of Building. In Proceedings of the 12th World Conference on Earthquake Engineering, Auckland, New Zealand, 30 January–4 February 2000. [Google Scholar]
- Choi, J.; Abebe, D. Hysteresis Characteristics of Shear Panel Damper Using SLY120. APCBEE Procedia 2014, 9, 370–375. [Google Scholar] [CrossRef]
- Okazaki, T.; Engelhardt, M.D. Cyclic loading behavior of EBF links constructed of ASTM A992 steel. J. Constr. Steel Res. 2007, 63, 751–765. [Google Scholar] [CrossRef]
- AISC. AISC 341-16; Seismic Provisions for Structural Steel Buildings. American Institute of Steel Construction: Chicago, IL, USA, 2016.
- ANSI/AISC 360-16; Specification for Structural Steel Buildings. American Institute of Steel Construction: Chicago, IL, USA, 2016; pp. 1–612.
- Ghadami, A.; Pourmoosavi, G.; Ghamari, A. Seismic design of elements outside of the short low-yield-point steel shear links. J. Constr. Steel Res. 2021, 178, 106489. [Google Scholar] [CrossRef]
- Sabouri-Ghomi, S.; Ziaei, M. A study on the behavior of shear link beam made of easy-going steel in eccentrically braced frames. In Proceedings of the 14th World Conference on Earthquake Engineering, Beijing, China, 12–17 October 2008. [Google Scholar]
- Dusicka, P.; Itani, A.M.; Buckle, I.G. Cyclic behavior of shear links of various grades of plate steel. J. Struct. Eng. 2010, 136, 370–378. [Google Scholar] [CrossRef]
- Kasai, K.; Popov, E.P. A Study of Seismically Resistant Eccentrically Braced 418 Frames; Rep. No. UCB/EERC-86/01; Earthquake Engineering Research Center, University of California: Berkeley, CA, USA, 1983. [Google Scholar]
- Hjelmstad, K.D.; Popov, E.P. Seismic Behavior of Active Beam Link in Eccentrically Braced Frames; Rep. No. UCB/EERC-83/15; Earthquake Engineering Research Center, University of California: Berkeley, CA, USA, 1983. [Google Scholar]
- Engelhardt, M.D.; Popov, E.P. Behavior of Long Links in Eccentrically Braced Frames; Rep. No. UCB/EERC-89/01; Earthquake Engineering Research Center, University of California: Berkeley, CA, USA, 1989. [Google Scholar]
- Okazaki, T.; Engelhardt, M.D.; Drolias, A.; Schell, E.; Hong, J.K.; Uang, C.M. Experimental investigation of link-to-column connections in eccentrically braced frames. J. Constr. Steel Res. 2009, 65, 1401–1412. [Google Scholar] [CrossRef]
- McDaniel, C.C.; Uang, C.M.; Seible, F. Cyclic testing of built-up steel shear links for the new bay bridge. J. Struct. Eng. 2003, 129, 801–809. [Google Scholar] [CrossRef]
- Manheim, D.N.; Popov, E.P. Plastic shear hinges in steel frames. J. Struct. Eng. 1983, 10, 2404–2419. [Google Scholar] [CrossRef]
- Richards, P.W. Cyclic Stability and Capacity Design of Steel Eccentrically Braced Frames. Ph.D. Thesis, Department of Structural Engineering, University of California, San Diego, CA, USA, 2004. [Google Scholar]
- Applied Technology Council (ATC). Guildlines for Cyclic Seismic Testing of Component for Steel Structures; ATC-24 Report; Applied Technology Council (ATC): Redwood City, CA, USA, 1992. [Google Scholar]
Disclaimer/Publisher’s Note: The statements, opinions and data contained in all publications are solely those of the individual author(s) and contributor(s) and not of MDPI and/or the editor(s). MDPI and/or the editor(s) disclaim responsibility for any injury to people or property resulting from any ideas, methods, instructions or products referred to in the content. |
© 2023 by the authors. Licensee MDPI, Basel, Switzerland. This article is an open access article distributed under the terms and conditions of the Creative Commons Attribution (CC BY) license (https://creativecommons.org/licenses/by/4.0/).












