Study on the Evolution Law of Internal Force and Deformation and Optimized Calculation Method for Internal Force of Cantilever Anti-Slide Pile under Trapezoidal Thrust Load
Abstract
:1. Introduction
2. Model Test
2.1. Engineering Background
32, and the reinforcement ratio was 0.69%. The structural steel bars at the front side and the steel bars at both sides of the pile were 7
25, and the stirrup was 1
14 with a spacing of 100 mm, as described in Table 1.2.2. Experimental Design
2.2.1. Determination of Model Test Similarity
2.2.2. Geometric Dimensions and Material Properties of the Test Pile
2.2.3. Distribution Form of Thrust Load of the Test Pile
- (1)
- According to the distribution of trapezoidal load in Figure 3, the proportion of the upper load and lower load of the trapezoidal load (n) were set as 1:3, 1:4, 1:5, and 1:6, respectively (i.e., if q1 = q, q2 = nq, then n = 3, 4, 5, 6).
- (2)
- According to the trapezoidal load distribution form in step (1), the centroid position (yc) of different trapezoidal loads was determined by Equation (1), which is the resultant point of the landslide thrust. Then, the total shear force (F) and the maximum bending moment (M) under different trapezoidal loads were calculated, as shown in Equations (2) and (3).
- (3)
- The arrangement scheme of concentrated force in the process of the loading test was proposed as follows. (Ⅰ) Assuming the number of concentrated forces was m, three layout schemes (m = 3, 4, 5) were calculated in this paper. (Ⅱ) Assuming i was the serial number of the concentrated force (i = 1, 2, m, numbered from top to bottom), then Fi is the size of the i-th concentrated force. The ratio of i:1 was determined to distribute Fi to equal the total shear force (F) of the trapezoidal load. Taking m = 4 as an example, then F2 = 2F1, F3 = 3F1, F4 = 4F1, and F1 + F2 + F3 + F4 = F, and the others are similar. (Ⅲ) Taking m = 3 as an example in the process of solving the concentrated force position, the distance from F1 to the free end and the distance from F3 to the fixed end should be made equal firstly and made to be d1. Then, the distance between F2 and F1 and between F2 and F3 should be guaranteed to be equal and made to be d2, where 2 (d1+ d2) = l. Finally, the location of each concentrated force (xi) was calculated through the principle of M = Mm, and the others are similar. (Ⅳ) The maximum deflections of the cantilever beam under different trapezoidal loads (ω) and different concentrated forces (ωm) were calculated by using Equations (5) and (6), respectively, for deflection comparison. The final calculation results are listed in Table 4.
2.3. Raw Materials
2.4. Device System for the Model Test
2.4.1. Fixing System
2.4.2. Thrust Loading System
2.4.3. Data Acquisition System
2.5. Experimental Procedures
3. Results and Analysis
3.1. The Whole Measuring Process of Stress and Deformation of the Anti-Slide Pile
3.2. Calculation Method of Internal Force of Anti-Slide Pile
3.2.1. Traditional Calculation Method of Internal Force
3.2.2. Optimized Calculation Method of Internal Force
3.3. Bending Moment Distribution of Test Pile
4. Numerical Analysis and Discussion
4.1. Establishment of the Numerical Model
4.2. Model Calibration
4.3. Parametric Study
4.3.1. Effect of Concrete Strength and Steel Bars’ Strength
4.3.2. Effect of Anchor Ratio
4.3.3. Discussion
5. Conclusions
- The whole development processes of the stress and deformation of the cantilever anti-slide pile under trapezoidal load mainly include three stages: the uncracked stage, the cracks emerging and developing stage, and the steel bar yielding–failing stage. The cracking load and yield load of the pile account for 25.37% and 91.04% of the failure load, and the cracks of the pile are concentrated in the range of 0.09 times the pile length above and below the sliding surface.
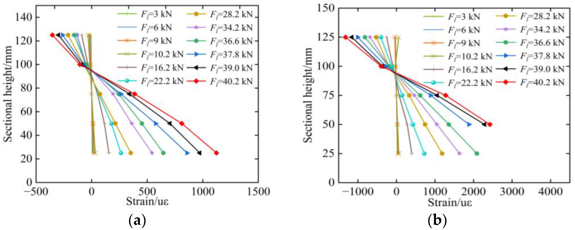
- The traditional calculation method for the bending moment of an anti-slide pile is unreasonable because the contribution of reinforcement is ignored in the calculation of the section inertia moment, and the calculation result is small when the anti-slide pile works in the uncracked stage. In the crack emerging and developing stage, when the resultant force of the external trapezoidal load reaches 16.2 kN and 36.6 kN, respectively, the bending moments calculated by the traditional method are 2.87 times and 5.24 times that of the optimized calculation method of this study, respectively. The traditional calculation method is no longer applicable. The optimized calculation method for the bending moment of cantilever an anti-slide pile established in this paper is highly feasible when considering the elastoplastic characteristics of reinforcement materials and concrete materials.
- The pile displacement and bending moment are negatively and positively related to the strength of the pile material, respectively. When the strength of the pile concrete deteriorates from 40 MPa to 20 MPa, the maximum displacement of the pile increases by 55.8% and the bending moment of the pile deteriorates by 7.59%. When the strength of the pile reinforcement deteriorates from 460 MPa to 340 MPa, the maximum displacement of the pile increases by 131.4% and the bending moment of the pile deteriorates by 23%. When the strength of the rock stratum embedded in the pile anchored section is large enough, increasing the length of anchored section cannot significantly improve its bearing capacity. The displacement and bending moment of the anti-slide pile under the uniform load are greater than those under the trapezoidal load. When the thrust loads are 6 kN and 28.2 kN, the maximum displacement of the pile under uniform load increases by 91.5% and 428.5%, respectively, compared with the trapezoidal load, and the maximum bending moment at the sliding surface increases by 24.4% and 23.1%.
Author Contributions
Funding
Institutional Review Board Statement
Informed Consent Statement
Data Availability Statement
Conflicts of Interest
References
- He, C.C.; Hu, X.L.; Liu, D.Z.; Xu, C.; Wu, S.S.; Wang, X.; Zhang, H. Model tests of the evolutionary process and failure mechanism of a pile-reinforced landslide under two different reservoir conditions. Eng. Geol. 2020, 277, 105811. [Google Scholar] [CrossRef]
- Zhang, Y.M.; Hu, X.L.; Tannant, D.D.; Zhang, G.C.; Tan, F.L. Field monitoring and deformation characteristics of a landslide with piles in the Three Gorges Reservoir area. Landslides 2018, 15, 581–592. [Google Scholar] [CrossRef]
- Zhou, Y.; Wang, Z.K.; Yang, X.H. Monitoring analysis of anti-slide piles for Jiangdingya landslide in Zhouqu. J. Eng. Geol. 2022, 30, 197–204. [Google Scholar] [CrossRef]
- Zhang, H.; Xing, H.F.; Liu, L.L.; Luo, Y. Field test and numerical analysis on deformation response of H-type antislide pile: Case study of Longjiayan landslide, China. Nat. Hazards Rev. 2021, 22, 05021015. [Google Scholar] [CrossRef]
- Zhang, L.; Shi, B.; Zhang, D.; Han, H.M.; Wei, G.Q. Evaluation and analysis of working state of anti-slide pile with BOTDR technology. J. Eng. Geol. 2019, 27, 1464–1472. [Google Scholar] [CrossRef]
- Wang, C.T.; Wang, H.; Qin, W.N.; Tian, H.N. Experimental and numerical studies on the behavior and retaining mechanism of anchored stabilizing piles in landslides. Bull. Eng. Geol. Environ. 2021, 80, 7507–7524. [Google Scholar] [CrossRef]
- Hu, X.L.; Zhou, C.; Xu, C.; Liu, D.G.; Wu, S.S.; Li, L.X. Model tests of the response of landslide-stabilizing piles to piles with different stiffness. Landslides 2019, 16, 2187–2200. [Google Scholar] [CrossRef]
- Zhang, J.W.; Wang, X.J.; Wang, H.; Qin, H.Y. Model test and numerical simulation of single pile response under combined loading in slope. Appl. Sci. 2020, 10, 6140. [Google Scholar] [CrossRef]
- Wei, S.W.; Sui, Y.Y.; Yang, J.M. Model tests on anti-sliding mechanism of circular and rectangular cross section anti-sliding piles. Rock. Soil. Mech. 2019, 40, 951–961. [Google Scholar] [CrossRef]
- Xie, Z.W. Study on Strain Characteristics and Internal Force Nonlinearity of Anti-Slide Pile. Master’s Thesis, China University of Geosciences, Wuhan, China, 2019. [Google Scholar]
- Cao, Y. Experimental Study on the Mechanical Behavior of Double-Row Anti-Slide Piles Installed in Parallel. Master’s Thesis, Chang’an University, Xi’an, China, 2019. [Google Scholar]
- Li, Z.; Zhu, Z.G.; Zhang, J.; Cao, S.L.; Li, Y.Y. In-situ model test of a cantilever and full-buried single-row double-pile stabilizing system on a loess slope. China J. Highw. Transp. 2020, 33, 14–23. [Google Scholar] [CrossRef]
- Li, Y.; Nan, Y.L.; He, H.C.; Zhang, P. Research on model test of double row anti slide piles in loess. J. Safety Environ. 2022, 22, 1314–1321. [Google Scholar] [CrossRef]
- GB/T 38509-2020; Code for the Design of Landslide Stabilization. National Standardization Management Committee of the People’s Republic of China: Beijing, China, 2020.
- Liu, X.Y.; Cai, G.J.; Liu, L.L.; Zhou, Z.J. Investigation of internal force of ant-slide pile on landslides considering the actual distribution of soil resistance acting on anti-slide piles. Nat. Hazards 2020, 102, 1369–1392. [Google Scholar] [CrossRef]
- GB 175-2020; Common Portland Cement. China Architecture Press: Beijing, China, 2020.
- JGJ 55-2011; Specification for Mix Proportion Design of Ordinary Concrete. State Administration of Market Supervision and Administration of the People’s Republic of China: Beijing, China, 2011.
- He, C.C.; Hu, X.L.; Dwayne, D.; Tannant, T.F.; Zhang, Y.M.; Zhang, H. Response of a landslide to reservoir impoundment in model tests. Eng. Geol. 2018, 247, 84–93. [Google Scholar] [CrossRef]
- Zhou, C.; Hu, X.L.; Zheng, W.B.; Xu, C.; Wang, Q. Displacement characteristic of landslides reinforced with flexible piles: Field and physical model test. J. Mt. Sci. 2020, 17, 787–800. [Google Scholar] [CrossRef]
- Chen, J.G.; Guo, X.P.; Tian, D.; Yu, S.B. Effect of anti-slide piles anchorage lengths on slip surface and anti-slide capacity of homogeneous slope. J. Tongji Univ. 2022, 50, 42–49. [Google Scholar] [CrossRef]
- GB/T 50152-2012; Standard for Test Methods of Concrete Structures. China Architecture Press: Beijing, China, 2012.
- Xin, J.Z.; Jiang, Y.; Zhou, J.T.; Peng, L.L.; Liu, S.Y.; Tang, Q.Z. Bridge deformation prediction based on SHM data using improved VMD and conditional KDE. Eng. Struct. 2022, 261, 114285. [Google Scholar] [CrossRef]
- Jiang, Y.; Hui, Y.; Wang, Y.; Peng, L.L.; Huang, G.Q.; Liu, S.Y. A novel eigenvalue-based iterative simulation method for multi-dimensional homogeneous non-Gaussian stochastic vector fields. Struct. Saf. 2023, 100, 102290. [Google Scholar] [CrossRef]
- Liu, D.Z.; Hu, X.L.; Zhou, C.; Xu, C.; He, C.C.; Zhang, H.; Wang, Q. Deformation mechanisms and evolution of a pile-reinforced landslide under long-term reservoir operation. Eng. Geol. 2020, 275, 105747. [Google Scholar] [CrossRef]
- GB 50010-2019; Code for Design of Concrete Structures. China Architecture & Building Press: Beijing, China, 2019.
- Qiu, Y.H. Stability Analysis and Anti-Slide Pile Treatment Study of Gaojia Fangji Landslide. Master’s Thesis, Southwest Jiaotong University, Chengdu, China, 2021. [Google Scholar]



























| Sectional Width (m) | Sectional Height (m) | Length (m) | Length of Loaded Section (m) | Length of Anchored Section (m) | Spacing between Piles (m) | Concrete | Steel Bars | Ratio of Tensile Steel Bars (%) |
|---|---|---|---|---|---|---|---|---|
| 1.8 | 2.7 | 16.5 | 10.5 | 6.0 | 6.0 | C30 | HRB400 | 0.69 |
| Parameter Type | Physical Quantities | Similarities Relationship | Similarity Constants |
|---|---|---|---|
| Geometric parameters | Length (L) | 15 | |
| Displacement (y) | 15 | ||
| Area (A) | CA = Cl2 | 225 | |
| Material parameters | Strain () | 1 | |
| Modulus of elasticity (E) | 1 | ||
| Stress (σ) | 1 | ||
| Poisson’s ratio (μ) | 1 | ||
| Reinforcement rate (ρ) | 1 |
| Sectional Width (cm) | Sectional Height (cm) | Length (cm) | Length of Loaded Section (cm) | Length of Anchored Section (cm) | Thickness of Concrete Cover (cm) | Concrete | Steel Bars | Ratio of Tensile Steel Bars (%) |
|---|---|---|---|---|---|---|---|---|
| 1.8 | 2.7 | 16.5 | 10.5 | 6.0 | 6.0 | C30 | HRB400 | 0.69 |
| q:nq | F | yc | M | ω/ω0 | m = 3 | m = 4 | m = 5 | |||
|---|---|---|---|---|---|---|---|---|---|---|
| ω3/ω0 | D3 | ω4/ω0 | D4 | ω5/ω0 | D5 | |||||
| 1:3 | 2ql | 5l/12 | 5ql2/6 | 0.192 | 0.168 | 12.14% | 0.165 | 14.03% | 0.163 | 14.99% |
| 1:4 | 5ql/2 | 2l/5 | ql2 | 0.225 | 0.208 | 7.59% | 0.201 | 10.52% | 0.198 | 12.01% |
| 1:5 | 3ql | 7l/18 | 7ql2/6 | 0.258 | 0.249 | 3.52% | 0.239 | 7.32% | 0.234 | 9.26% |
| 1:6 | 7ql/2 | 8l/21 | 4ql2/3 | 0.292 | 0.292 | 0.02% | 0.278 | 4.55% | 0.272 | 6.86% |
| Concrete Strength Grade | Water-Binder Ratio | Cement (kg/m3) | Water (kg/m3) | Gravel (kg/m3) | Sand (kg/m3) | SP (kg/m3) |
|---|---|---|---|---|---|---|
| C30 | 0.57 | 244 (1) | 139 (0.57) | 1291 (5.29) | 726 (2.98) | 2.44 |
| Grade | Density (kg/m3) | Cube Compressive Strength (MPa) | Axial Compressive Strength (MPa) | Axial Tensile Strength (MPa) | Elastic Modulus (GPa) |
|---|---|---|---|---|---|
| C30 | 2400 | 35.3 | 23.6 | 2.24 | 31.6 |
| Type | Grade | Diameter (mm) | Density (kg/m3) | Yield Strength (MPa) | Tensile Strength (MPa) | Elastic Modulus (GPa) | Poisson’s Ratio | Elongation (%) |
|---|---|---|---|---|---|---|---|---|
| N1 | HRB400 | 8 | 7850 | 432 | 558 | 201 | 0.3 | 19.4 |
| N2, N3 | 6 | 411 | 526 | 198 | 21.3 |
Disclaimer/Publisher’s Note: The statements, opinions and data contained in all publications are solely those of the individual author(s) and contributor(s) and not of MDPI and/or the editor(s). MDPI and/or the editor(s) disclaim responsibility for any injury to people or property resulting from any ideas, methods, instructions or products referred to in the content. |
© 2023 by the authors. Licensee MDPI, Basel, Switzerland. This article is an open access article distributed under the terms and conditions of the Creative Commons Attribution (CC BY) license (https://creativecommons.org/licenses/by/4.0/).
Share and Cite
Jin, H.; Ren, Q.; Xiao, S. Study on the Evolution Law of Internal Force and Deformation and Optimized Calculation Method for Internal Force of Cantilever Anti-Slide Pile under Trapezoidal Thrust Load. Buildings 2023, 13, 322. https://doi.org/10.3390/buildings13020322
Jin H, Ren Q, Xiao S. Study on the Evolution Law of Internal Force and Deformation and Optimized Calculation Method for Internal Force of Cantilever Anti-Slide Pile under Trapezoidal Thrust Load. Buildings. 2023; 13(2):322. https://doi.org/10.3390/buildings13020322
Chicago/Turabian StyleJin, Honghua, Qingyang Ren, and Songqiang Xiao. 2023. "Study on the Evolution Law of Internal Force and Deformation and Optimized Calculation Method for Internal Force of Cantilever Anti-Slide Pile under Trapezoidal Thrust Load" Buildings 13, no. 2: 322. https://doi.org/10.3390/buildings13020322
APA StyleJin, H., Ren, Q., & Xiao, S. (2023). Study on the Evolution Law of Internal Force and Deformation and Optimized Calculation Method for Internal Force of Cantilever Anti-Slide Pile under Trapezoidal Thrust Load. Buildings, 13(2), 322. https://doi.org/10.3390/buildings13020322

