Nonlinear Finite Element Analysis and Fatigue Damage Assessment of Wind-Induced Vibration for the Tension Cable-Supported Power Transmission Structure
Abstract
1. Introduction
2. Simplified Mechanical Model of TC-PTS
2.1. Structural Parameters and Boundary Conditions
2.2. Initial Shape of TC-PTS
2.3. The Mechanical Characteristics of TC-PTS
3. Nonlinear Finite Element Analytical Model of Wind-Induced Vibration and Fatigue Damage Assessment for TC-PTS
3.1. Element Stiffness Matrix for Supporting Suspension Cables and Transmission Lines
3.2. Element Mass Matrix and Damping Matrix
3.3. Equivalent Nodal Load Vector
3.4. Establishment of the Nonlinear Dynamic Equation
3.5. Solution of the Nonlinear Dynamical Equation
3.6. Wind-Induced Fatigue Damage Assessment of TC-PTS
4. Example Analysis
4.1. Example Description
4.2. Wind-Induced Vibration Response of TC-PTS
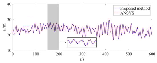
4.2.1. Time History Analysis of TC-PTS Wind-Induced Vibration Response
4.2.2. Effect of Different Wind Direction Angles on TC-PTS Wind-Induced Vibration Response
4.2.3. Effect of Different Wind Speeds on the Wind-Induced Vibration Response of TC-PTS
4.3. Wind-Induced Fatigue Damage of TC-PTS
4.3.1. Wind-Induced Fatigue Damage Assessment of TC-PTS
4.3.2. Effect of Different Wind Direction Angles on Wind-Induced Fatigue Damage of TC-PTS
4.3.3. Effect of Different Wind Speeds on Wind-Induced Fatigue Damage of TC-PTS
5. Conclusions
- (1)
- The proposed model calculates the natural frequency and displacement time history with high accuracy and efficiency, and the computational cost of obtaining the dynamic response is only 4.19% of that of ANSYS.
- (2)
- For the mean wind load, at smaller wind speeds, the lateral displacement of the transmission line is more affected by wind speeds than the tension of the supporting suspension cable; at larger wind speeds, the tension of the supporting suspension cable is more notably affected by wind speeds than the lateral displacement of the transmission line.
- (3)
- The fatigue damage value at the end of the supporting-conductor suspension cable was slightly greater than that at the midpoint. For the conductor, under the wind direction angle cases, the midpoint fatigue damage value is greater than the end fatigue damage value, whereas under the wind speed cases, the end and midpoint fatigue damage values have no obvious comparison.
- (4)
- The wind-induced vibration response and fatigue damage of TC-PTS were significantly affected by the wind direction angle, and the results of the arithmetic analysis showed that the most unfavorable wind direction angle for TC-PTS was 90°.
Author Contributions
Funding
Data Availability Statement
Conflicts of Interest
References
- Bai, H.; Yi, T.; Li, H.; Ren, L. Multisensors on-site monitoring and characteristic analysis of UHV transmission tower. Int. J. Distrib. Sens. Netw. 2012, 8, 545148. [Google Scholar] [CrossRef]
- Lou, W.; Wu, D.; Liu, M.; Zhang, L.; Bian, R. Properties of mountainous terrain wind field and their influence on wind-induced swing of transmission lines. China Civ. Eng. J. 2018, 51, 46–55+77. [Google Scholar]
- Irvine, H. Cable Structure; The MIT Press: New York, NY, USA, 1981. [Google Scholar]
- McClure, G.; Lapointe, M. Modeling the structural dynamic response of overhead transmission lines. Comput. Struct. 2003, 81, 825–834. [Google Scholar] [CrossRef]
- Kempner, L.; Smith, S. Cross-rope transmission tower-line dynamic analysis. J. Struct. Eng. ASCE 1984, 110, 1321–1335. [Google Scholar] [CrossRef]
- Tian, L.; Pan, H.; Ma, R.; Dong, X. Seismic failure analysis and safety assessment of an extremely long-span transmission tower-line. Struct. Eng. Mech. 2019, 71, 305–315. [Google Scholar]
- Fu, X.; Li, H.; Tian, L.; Wang, J.; Cheng, H. Fragility analysis of a transmission line subjected to wind loading. J. Perform. Constr. Facil. ASCE 2019, 33, 04019044. [Google Scholar] [CrossRef]
- Yan, Z.; Savory, E.; Li, Z.; Lin, W. Galloping of iced quad-conductors bundles based on curved beam theory. J. Sound Vib. 2014, 333, 1657–1670. [Google Scholar] [CrossRef]
- Yan, Z.; Li, Z.; Savory, E.; Lin, W. Galloping of a single iced conductor based on curved-beam theory. J. Wind Eng. Ind. Aerodyn. 2013, 123, 77–87. [Google Scholar] [CrossRef]
- Chunming, W.; Bin, M.; Tingting, S. Research on the wind-induced vibration coefficient of transmission tower-line system. Phys. Procedia 2012, 24, 149–154. [Google Scholar] [CrossRef][Green Version]
- Saffari, P.R.; Sirimontree, S.; Thongchom, C.; Thira, J.; Pouyan, R.S.; Suraparb, K.; Suphanut, K. Free and forced vibration of sandwich fgm porous variable thickness nanoplates integrated with magneto-electro-elastic layers via nonlocal strain gradient theory. Eng. Sci. 2023, 24, 918. [Google Scholar] [CrossRef]
- Huang, H.; Xian, Y.; Zhang, W.; Guo, M.; Yang, K.; Xi, K. Analysis of wind-induced vibration of a spoke-wise cable-membrane structure. J. Mar. Sci. Eng. 2020, 8, 603. [Google Scholar] [CrossRef]
- Liu, X.; Yan, B.; Zhang, H.; Zhou, S. Nonlinear numerical simulation method for galloping of iced conductor. Appl. Math. Mech. 2009, 30, 489–501. [Google Scholar] [CrossRef]
- Rong, X.; Xie, A.; Zhao, P.; Yang, M.; Bu, J.; Wei, X. Fatigue performance of composite trough-girders with corrugated-steel-webs. J. Constr. Steel Res. 2023, 207, 107974. [Google Scholar] [CrossRef]
- Wang, S. Damage Detection and Evaluation of Stud Connector of Composite Girder Bridge Based on Acoustic Emission Technology; Shijiazhuang Tiedao University: Shijiazhuang, China, 2023. [Google Scholar]
- Yan, Z.; Huang, J.; Li, Z. Finite element model of bundle lines based on 6-dof node. Eng. Mech. 2012, 29, 325–332. [Google Scholar]
- Zhu, Z.; Meguid, S. Analysis of three-dimensional locking-free curved beam element. Int. J. Comput. Eng. Sci. 2004, 5, 535–556. [Google Scholar] [CrossRef]
- Zhu, Z.; Meguid, S. Vibration analysis of a new curved beam element. J. Sound Vib. 2008, 309, 86–95. [Google Scholar] [CrossRef]
- Chen, Z.; Zeng, Q.; Yan, Q. A UL formulation for internal force analysis of spatial frame structures with large displacement. China Civ. Eng. J. 1992, 25, 34–43. [Google Scholar]
- Shi, H.; Salim, H. Geometric nonlinear static and dynamic analysis of guyed towers using fully nonlinear element formulations. Eng. Struct. 2015, 99, 492–501. [Google Scholar] [CrossRef]
- Liu, S. Accurate analysis method on the tangential stiffness matrix of pinned straight rod element. Chin. J. Comput. Mech. 2014, 31, 48–53. [Google Scholar]
- Desai, Y.; Yu, P.; Popplewell, N.; Shah, A. Finite element modelling of transmission line galloping. Comput. Struct. 1995, 57, 407–420. [Google Scholar] [CrossRef]
- Jakob, M. Wind field simulation. Probabilistic Eng. Mech. 1998, 13, 269–282. [Google Scholar]
- GB 50009-2012; Load Code for the Design of Building Structures. China Architecture & Building Press: Beijing, China, 2012.
- Wang, X. Finite Element Method; Tsinghua University Press: Beijing, China, 2003. [Google Scholar]
- Yan, L.; Li, J.; He, X. Effect of central clamps on fatigue damage of suspenders of suspension bridge under joint action of fluctuating wind and vehicle loads. J. Cent. South Univ. 2023, 54, 1393–1406. [Google Scholar] [CrossRef]
- Kong, D.; Li, L.; Long, X.; Ye, Z. Parametric investigation on fatigue life of transmission line subjected to Aeolian vibration. J. Wuhan Univ. Technol. 2010, 32, 53–57. [Google Scholar]











| Parts | Frequency Order | Proposed Model/(Hz) | ANSYS/(Hz) |
|---|---|---|---|
| The supporting-conductor part | first order | 0.08063 | 0.08063 |
| second order | 0.08174 | 0.08174 | |
| third order | 0.08186 | 0.08186 | |
| fourth order | 0.08188 | 0.08188 | |
| fifth order | 0.08188 | 0.08188 | |
| The supporting-ground wire part | first order | 0.1035 | 0.1035 |
| second order | 0.1039 | 0.1039 | |
| third order | 0.1046 | 0.1046 | |
| fourth order | 0.1046 | 0.1046 | |
| fifth order | 0.1046 | 0.1046 |
| Terms | Average Values | Maximum Values |
|---|---|---|
| Proposed model | 23.33m | 29.70 m |
| ANSYS | 23.36m | 29.95 m |
| Relative error/(%) | 0.13 | 0.83 |
| Terms | Computing Time/min | Calculation Efficiency/% |
|---|---|---|
| Proposed model | 1.50 | 4.19 |
| ANSYS | 35.88 | - |
| Part | Mean Value of Stress/(MPa) | Mean Square Deviation of Stress/(MPa) | Fatigue Damage |
|---|---|---|---|
| Point A | 315.04 | 9.12 | 9.70 × 10−11 |
| Point B | 320.96 | 8.37 | 7.79 × 10−11 |
| Point C | 63.70 | 1.87 | 1.41 × 10−12 |
| Point D | 62.36 | 1.83 | 4.96 × 10−13 |
| Case | Wind Direction/(°) | |||
|---|---|---|---|---|
| 0 | 45 | 60 | 90 | |
| Point A | 2.91 × 10−12 | 4.43 × 10−11 | 2.72 × 10−10 | 1.80 × 10−9 |
| Point B | 3.30 × 10−12 | 1.29 × 10−11 | 1.43 × 10−10 | 8.87 × 10−10 |
| Point C | 2.01 × 10−14 | 1.17 × 10−13 | 1.33 × 10−12 | 6.13 × 10−11 |
| Point D | 1.50 × 10−14 | 5.25 × 10−13 | 9.28 × 10−12 | 4.11 × 10−10 |
| Wind Speed/(m·s−1) | Point A | Point B | Point C | Point D |
|---|---|---|---|---|
| 5 | 1.40 × 10−15 | 1.31 × 10−16 | 1.14 × 10−24 | 2.64 × 10−25 |
| 10 | 2.87 × 10−12 | 1.59 × 10−13 | 5.13 × 10−18 | 1.47 × 10−16 |
| 15 | 9.70 × 10−11 | 7.79 × 10−11 | 1.41 × 10−12 | 4.96 × 10−13 |
| 20 | 1.80 × 10−9 | 8.87 × 10−10 | 6.13 × 10−11 | 4.11 × 10−10 |
| 25 | 7.72 × 10−9 | 3.84 × 10−9 | 1.59 × 10−8 | 8.39 × 10−8 |
| 30 | 5.81 × 10−8 | 1.70 × 10−8 | 8.03 × 10−7 | 3.32 × 10−7 |
Disclaimer/Publisher’s Note: The statements, opinions and data contained in all publications are solely those of the individual author(s) and contributor(s) and not of MDPI and/or the editor(s). MDPI and/or the editor(s) disclaim responsibility for any injury to people or property resulting from any ideas, methods, instructions or products referred to in the content. |
© 2023 by the authors. Licensee MDPI, Basel, Switzerland. This article is an open access article distributed under the terms and conditions of the Creative Commons Attribution (CC BY) license (https://creativecommons.org/licenses/by/4.0/).
Share and Cite
Li, J.; Wang, B.; Wang, T.; Li, Z. Nonlinear Finite Element Analysis and Fatigue Damage Assessment of Wind-Induced Vibration for the Tension Cable-Supported Power Transmission Structure. Buildings 2023, 13, 2924. https://doi.org/10.3390/buildings13122924
Li J, Wang B, Wang T, Li Z. Nonlinear Finite Element Analysis and Fatigue Damage Assessment of Wind-Induced Vibration for the Tension Cable-Supported Power Transmission Structure. Buildings. 2023; 13(12):2924. https://doi.org/10.3390/buildings13122924
Chicago/Turabian StyleLi, Jingyang, Bangjie Wang, Tao Wang, and Zhengliang Li. 2023. "Nonlinear Finite Element Analysis and Fatigue Damage Assessment of Wind-Induced Vibration for the Tension Cable-Supported Power Transmission Structure" Buildings 13, no. 12: 2924. https://doi.org/10.3390/buildings13122924
APA StyleLi, J., Wang, B., Wang, T., & Li, Z. (2023). Nonlinear Finite Element Analysis and Fatigue Damage Assessment of Wind-Induced Vibration for the Tension Cable-Supported Power Transmission Structure. Buildings, 13(12), 2924. https://doi.org/10.3390/buildings13122924
