Study of Mechanical Response of Tunnels Crossing Active Faults in Different Burial Depths
Abstract
:1. Introduction
2. Engineering Background and Finite Element Model
2.1. Project Overview
2.2. Finite Element Model Analysis
2.3. Computational Approach
3. Analysis of the Effects of Fault Displacement on Deep-Buried and Shallow-Buried Tunnels
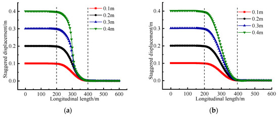
3.1. The Influence of Different Displacement Amounts on Tunnel Deformation
3.2. Strain Distribution in Tunnels under Varying Displacement Levels
3.3. The Impact of Varying Fault Displacement on Tunnel Stress
4. Analysis of Mechanical Response Characteristics of Cross-Fault Tunnels at Different Burial Depths
5. Conclusions
- (1)
- Regarding deformation patterns, deep-buried and shallow-buried tunnels exhibit an “S”-shaped deformation characterized by bending near the fault slip surface. However, in shallow-buried tunnels, the degree of bending is more pronounced than in deep-buried tunnels. Specifically, shallow-buried tunnels experience significant deformation, albeit within a narrower distribution range, while deep-buried tunnels display a broader distribution of deformation and more extensive damage.
- (2)
- In terms of strain distribution, the damage of the tunnel is mainly concentrated near the middle of the fault zone. After the tunnels experienced strike-slip fault movement, the shallow-buried tunnels showed similar strain patterns to the deep-buried tunnels, but their strain peaks’ locations differed. However, the damage in the shallow-buried tunnels mainly concentrates near the fault-dislocated surface, whereas the damage in the deep-buried tunnels spreads more widely throughout the fault zone.
- (3)
- Analyzing the stress distribution within tunnels, the intense stress changes occur within the weak rock layers of the fault zone. Both shallow-buried and deep-buried tunnels experience lining failure, reaching their ultimate tensile strength when displacement reaches 0.2 m. The stress analysis confirms shear and tensile failure in the tunnel linings.
- (4)
- When examining the damage patterns of tunnels at different burial depths, it is evident that tunnel linings are more sensitive to burial-depth effects when buried at depths of 100 m and 200 m. However, as the burial depth exceeds 300 m, the influence of burial depth on tunnel response gradually diminishes. At this point, only minimal changes occur in tunnel displacement, and there is only a slight reduction in tunnel lining stress and strain peak values with increasing burial depth.
- (5)
- Based on the findings, practical engineering applications should involve reasonable extensions of the anti-fault protection length for deep-buried tunnels. For shallow-buried tunnels with concentrated damage, an appropriate increase in the number of circumferential steel bars near the tunnel lining and fault interface is recommended to withstand the effects of fault movement.
Author Contributions
Funding
Data Availability Statement
Conflicts of Interest
References
- Ren, R.; Zhou, H.; Hu, Z.; He, S.; Wang, X. Statistical analysis of fire accidents in Chinese highway tunnels 2000–2016. Tunn. Undergr. Space Technol. 2019, 83, 452–460. [Google Scholar] [CrossRef]
- Zhou, W.; Qin, H.; Qiu, J.; Fan, H.; Lai, J.; Wang, K.; Wang, L. Building information modelling review with potential applications in tunnel engineering of China. R. Soc. Open Sci. 2017, 4, 170174. [Google Scholar] [CrossRef] [PubMed]
- Roy, N.; Sarkar, R. A review of seismic damage of mountain tunnels and probable failure mechanisms. Geotech. Geol. Eng. 2017, 35, 1–28. [Google Scholar] [CrossRef]
- Zhen, C.; Qian, S.; Zhang, G.; Zhang, M.; Mei, X. Response and mechanism of a tunnel subjected to combined fault rupture deformation and subsequent seismic excitation. Transp. Geotech. 2022, 34, 100749. [Google Scholar] [CrossRef]
- Allen, C.R.; Luo, Z.; Qian, H.; Wen, X.; Zhou, H.; Huang, W. Field study of a highly active fault zone: The Xianshuihe fault of southwestern China. Geol. Soc. Am. Bull. 1991, 103, 1178–1199. [Google Scholar] [CrossRef]
- McGarr, A.; Fletcher, J.B. Maximum slip in earthquake fault zones, apparent stress, and stick-slip friction. Bull. Seismol. Soc. Am. 2003, 93, 2355–2362. [Google Scholar] [CrossRef]
- Sibson, R.H. Fault rocks and fault mechanisms. J. Geol. Soc. 1977, 133, 191–213. [Google Scholar] [CrossRef]
- Hashash, Y.M.A.; Hook, J.J.; Schmidt, B.; Yao, J.I.C. Seismic design and analysis of underground structures. Tunn. Undergr. Space Technol. 2001, 16, 247–293. [Google Scholar] [CrossRef]
- Shen, Y.; Gao, B.; Yang, X.; Tao, S. Seismic damage mechanism and dynamic deformation characteristic analysis of mountain tunnel after Wenchuan earthquake. Eng. Geol. 2014, 180, 85–98. [Google Scholar] [CrossRef]
- Tsinidis, G.; de Silva, F.; Anastasopoulos, I.; Bilotta, E.; Bobet, A.; Hashash, Y.M.; He, C.; Kampas, G.; Knappett, J.; Madabhushi, G.; et al. Seismic behaviour of tunnels: From experiments to analysis. Tunn. Undergr. Space Technol. 2020, 99, 103334. [Google Scholar] [CrossRef]
- Kenner, S.J.; Segall, P. Postseismic deformation following the 1906 San Francisco earthquake. J. Geophys. Res. Solid Earth 2000, 105, 13195–13209. [Google Scholar] [CrossRef]
- Wang, W.L.; Wang, T.T.; Su, J.J.; Lin, C.H.; Seng, C.R.; Huang, T.H. Assessment of damage in mountain tunnels due to the Taiwan Chi-Chi Earthquake. Tunn. Undergr. Space Technol. 2001, 16, 133–150. [Google Scholar] [CrossRef]
- Cui, G.Y.; Wang, M.N.; Yu, L.; Lin, G. Study on the characteristics and mechanism of seismic damage for tunnel structures on fault rupture zone in Wenchuan seismic disastrous area. China Civ. Eng. J. 2013, 46, 122–127. [Google Scholar]
- Cui, G.Y.; Wu, X.G.; Wang, M.N.; Lin, G.J. Earthquake damages and characteristics of highway tunnels in the 8.0-magnitude Wenchuan earthquake. Mod. Tunn. Technol. 2017, 54, 9–16. [Google Scholar]
- Zhang, X.; Jiang, Y.; Sugimoto, S. Seismic damage assessment of mountain tunnel: A case study on the Tawarayama tunnel due to the 2016 Kumamoto Earthquake. Tunn. Undergr. Space Technol. 2018, 71, 138–148. [Google Scholar] [CrossRef]
- Newmark, N.M.; Hall, W.J. Pipeline design to resist large fault displacement. In Proceedings of the US National Conference on Earthquake Engineering, University of Michigan, Ann Arbor, MI, USA, 18–20 June 1975; pp. 416–425. [Google Scholar]
- Kennedy, R.P.; Chow, A.W.; Williamson, R.A. Fault movement effects on buried oil pipeline. Transp. Eng. J. ASCE 1977, 103, 617–633. [Google Scholar] [CrossRef]
- Yu, H.; Zhang, Z.; Chen, J.; Bobet, A.; Zhao, M.; Yuan, Y. Analytical solution for longitudinal seismic response of tunnel liners with sharp stiffness transition. Tunn. Undergr. Space Technol. 2018, 77, 103–114. [Google Scholar] [CrossRef]
- Marco, Z.; Giuseppe, C.P.; Giuseppe, T.; Marco, S. On the influence of shallow underground structures in the evaluation of the seismic signals. Ing. Sismica 2021, 38, 23–35. [Google Scholar]
- Zucca, M.; Valente, M. On the limitations of decoupled approach for the seismic behaviour evaluation of shallow multi-propped underground structures embedded in granular soils. Eng. Struct. 2020, 211, 110497. [Google Scholar] [CrossRef]
- Azizkandi, A.S.; Ghavami, S.; Baziar, M.H.; Hasanaklou, S.H. Assessment of damages in fault rupture–shallow foundation interaction due to the existence of underground structures. Tunn. Undergr. Space Technol. 2019, 89, 222–237. [Google Scholar] [CrossRef]
- Banushi, G.; Squeglia, N.; Thiele, K. Innovative analysis of a buried operating pipeline subjected to strike-slip fault movement. Soil Dyn. Earthq. Eng. 2018, 107, 234–249. [Google Scholar] [CrossRef]
- Wang, Z.Z.; Zhang, Z.; Gao, B. The seismic behavior of the tunnel across active fault. In Proceedings of the 15th World Conference on Earthquake Engineering, Lisbon, Portugal, 24–28 September 2012; pp. 1–7. [Google Scholar]
- Sabagh, M.; Ghalandarzadeh, A. Centrifugal modeling of continuous shallow tunnels at active normal faults intersection. Transp. Geotech. 2020, 22, 100325. [Google Scholar] [CrossRef]
- Huang, F.; Wu, C.; Ni, P.; Wan, G.; Zheng, A.; Jang, B.A.; Karekal, S. Experimental analysis of progressive failure behavior of rock tunnel with a fault zone using non-contact dic technique. Int. J. Rock Mech. Min. Sci. 2020, 132, 104355. [Google Scholar] [CrossRef]
- Zhou, G.; Sheng, Q.; Cui, Z.; Wang, T.; Ma, Y. Investigating the deformation and failure mechanism of a submarine tunnel with flexible joints subjected to strike-slip Faults. J. Mar. Sci. Eng. 2021, 9, 1412. [Google Scholar] [CrossRef]
- Wang, T.; Geng, P.; Li, P.; Wang, Q.; Wang, L. Deformation and failure of overburden soil subjected to normal fault dislocation and its impact on tunnel. Eng. Fail. Anal. 2022, 142, 106747. [Google Scholar] [CrossRef]
- Zhang, Y.; Zhang, Z.; Yin, C.; Wei, R.; Zhang, H. Experimental study on forced response characteristics and anti-dislocation performance of articulated tunnel structure under dislocation action of normal fault. Structures 2023, 48, 867–881. [Google Scholar] [CrossRef]
- Zhao, W.; Gao, H.; Chen, W.; Liu, J.; Peng, W.; Zhou, S. Effects of the friction coefficient and location of the dislocation surface of an active fault on the mechanical response of a freeway tunnel. Environ. Earth Sci. 2023, 82, 288. [Google Scholar] [CrossRef]
- Zhou, H.; Zhao, H.T.; Li, J.; Zhao, C.W.; Liu, W.B.; Zhang, C.Q.; Wang, Y.Z. Creep Characteristics and Dislocation Mode of the West Branch of Longpan-Qiaohou Fault in Xianglushan Tunnel. J. Yangtze River Sci. Res. Inst. 2022, 39, 97–104. (In Chinese) [Google Scholar]
- GB 50010-2010; Code for Design of Concrete Structures. China Architecture & Building Press: Beijing, China, 2010. (In Chinese)













| Density/(kN·m−3) | Elastic Modulus/GPa | Poisson’s Ratio | Cohesion/MPa | Internal Friction Angle/(°) | |
|---|---|---|---|---|---|
| Intact rock mass | 25.50 | 7.50 | 0.28 | 0.55 | 33.2 |
| Fault fracture zone | 17.00 | 0.90 | - | 0.15 | 25.00 |
| Initial lining | 25.00 | 28.00 | 0.2 | - | - |
| Secondary lining | 25.00 | 30.00 | 0.20 | - | - |
| Simulation Conditions | Displacement/m | Fault Zone Width/m | Tunnel Depth/m |
|---|---|---|---|
| 1 | 0.1/0.2/0.3/0.4 | 200 | 100 |
| 2 | 0.4 | 200 | 200 |
| 3 | 0.4 | 200 | 300 |
| 4 | 0.4 | 200 | 400 |
| 5 | 0.4 | 200 | 600 |
| 6 | 0.4 | 200 | 800 |
| 7 | 0.4 | 200 | 1000 |
| 8 | 0.1/0.2/0.3/0.4 | 200 | 1200 |
Disclaimer/Publisher’s Note: The statements, opinions and data contained in all publications are solely those of the individual author(s) and contributor(s) and not of MDPI and/or the editor(s). MDPI and/or the editor(s) disclaim responsibility for any injury to people or property resulting from any ideas, methods, instructions or products referred to in the content. |
© 2023 by the authors. Licensee MDPI, Basel, Switzerland. This article is an open access article distributed under the terms and conditions of the Creative Commons Attribution (CC BY) license (https://creativecommons.org/licenses/by/4.0/).
Share and Cite
Zhang, J.; Zhao, W.; Cui, Z. Study of Mechanical Response of Tunnels Crossing Active Faults in Different Burial Depths. Buildings 2023, 13, 2723. https://doi.org/10.3390/buildings13112723
Zhang J, Zhao W, Cui Z. Study of Mechanical Response of Tunnels Crossing Active Faults in Different Burial Depths. Buildings. 2023; 13(11):2723. https://doi.org/10.3390/buildings13112723
Chicago/Turabian StyleZhang, Jiawei, Wanhua Zhao, and Zhen Cui. 2023. "Study of Mechanical Response of Tunnels Crossing Active Faults in Different Burial Depths" Buildings 13, no. 11: 2723. https://doi.org/10.3390/buildings13112723
APA StyleZhang, J., Zhao, W., & Cui, Z. (2023). Study of Mechanical Response of Tunnels Crossing Active Faults in Different Burial Depths. Buildings, 13(11), 2723. https://doi.org/10.3390/buildings13112723

