Mechanical Properties of PVC Fiber-Reinforced Concrete—Effects of Fiber Content and Length
Abstract
:1. Introduction
2. Research Significance
3. Materials and Methods
3.1. Constituent Materials
3.2. Mixture Proportions
3.3. Methods for Testing
3.3.1. Workability Test
3.3.2. Compressive Strength, Splitting Tensile Strength, and Static Elastic Modulus Tests
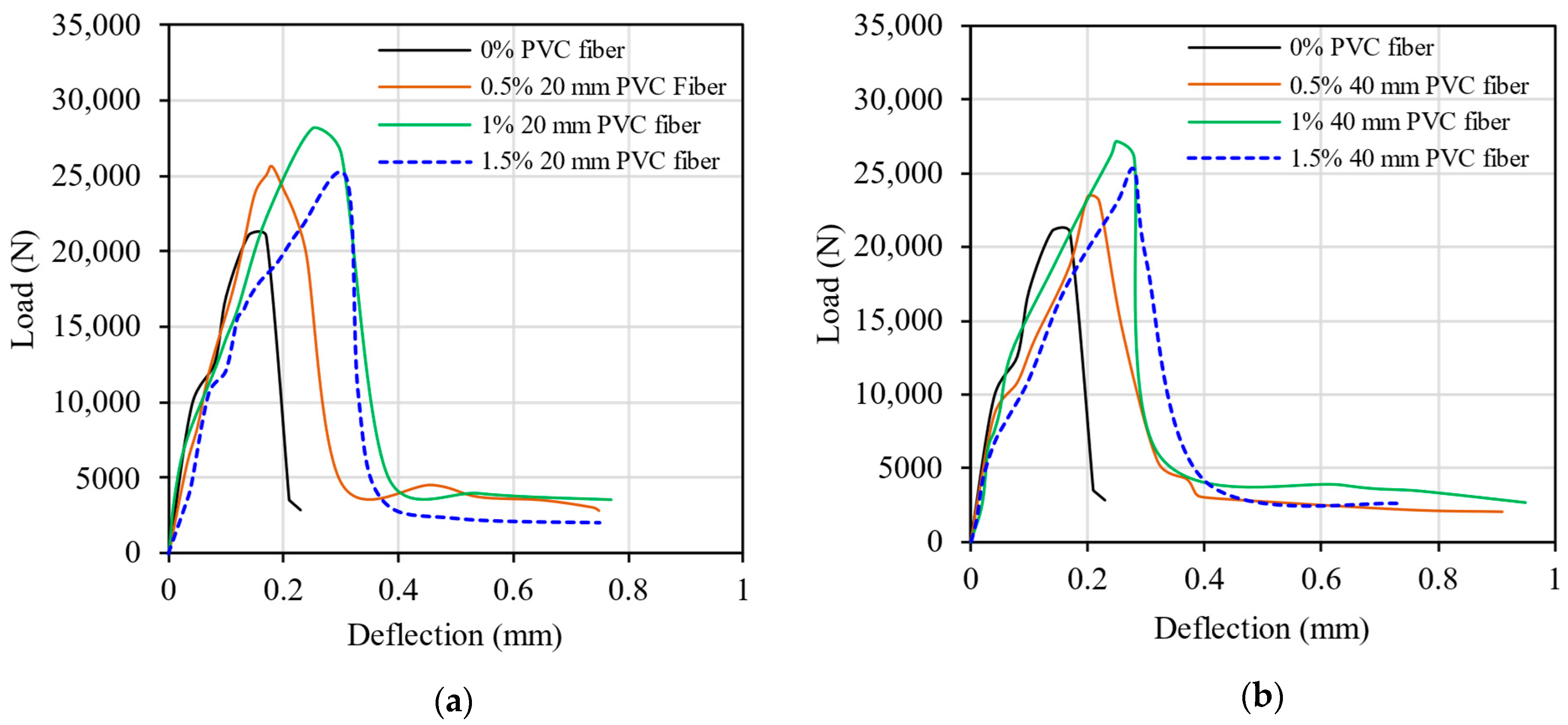
3.3.3. Flexure Strength and Toughness Test
3.3.4. Impact Resistance and Toughness Test
4. Results and Discussion
4.1. Workability of Concretes
4.2. Compressive Strength of Concretes
4.3. Elastic Modulus of Concretes
4.4. Splitting Tensile Strength of Concretes
4.5. Flexural Strength and Toughness of Concretes
4.6. Impact Resistance and Toughness of Concretes
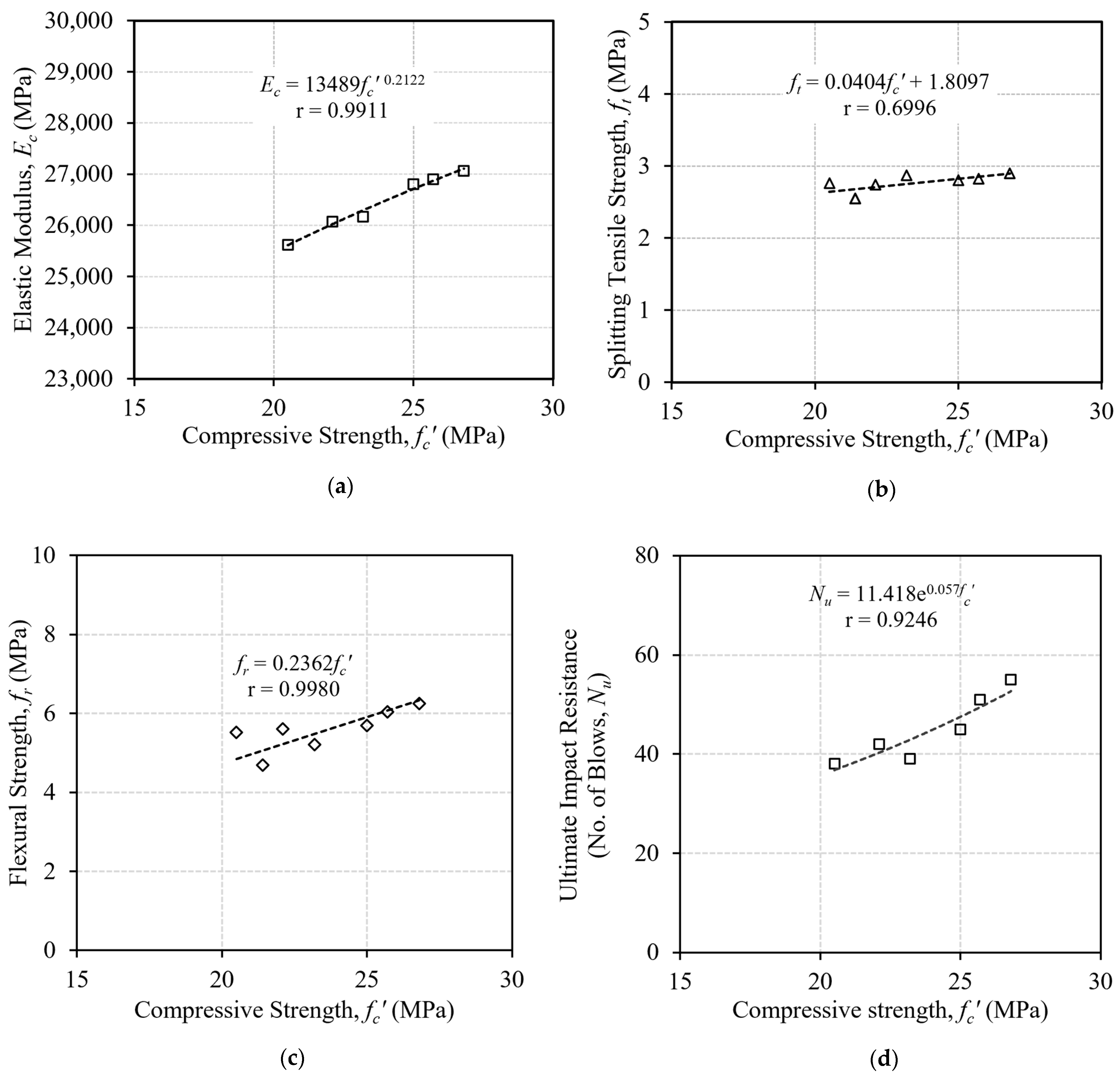
4.7. Correlations among Mechanical Properties of Concretes
5. Conclusions
- At up to 1 wt.% inclusion of 20 mm and 40 mm long PVC fibers, the slump was reduced to 80–95 mm, which falls between the design slump of 75 mm and 100 mm. A significant reduction in the slump, indicating reduced workability, was observed when the PVC fiber content reached 1.5 wt.% of cement. The decrease in the slump was more pronounced with 20 mm long PVC fibers, primarily due to their higher surface area, which increased the water demand for the required workability of concrete. In the presence of PVC fibers, the water demand became higher for the wetting of material surfaces.
- The concretes including 1 wt.% PVC fibers showed optimal performance with respect to the compressive, splitting tensile and flexural strengths, impact resistance, and flexural and impact toughness. More importantly, the concrete mixtures containing 1 wt.% PVC fibers exhibited the highest flexural and impact (first crack and ultimate) toughness. This is mostly attributed to the larger ductility and energy absorption capacity of PVC fiber-reinforced concrete.
- The use of PVC fibers by more than 1 wt.% caused a decline in the mechanical properties of concrete due to a relatively low workability which can induce fiber aggregation and more air-voids in the concrete mixture. However, the concretes with 1.5 wt.% PVC fibers still performed better than the control concrete.
- The incorporation of PVC fibers enhanced the ductility of concrete and it increased with a higher quantity of fibers, as realized from the post-peak deflection behavior of the beam specimens tested under flexure.
- The effects of the fiber content on the mechanical properties of concrete were more pronounced than the fiber length. Based on the overall findings of the present study, the optimum fiber content was 1 wt.% for both fiber lengths.
- The compressive strength of concrete was strongly correlated with its elastic modulus, flexural strength, and impact resistance, since these properties followed similar trends regarding the effects of PVC fiber content and length. In contrast, no strong correlation was observed between the compressive and splitting tensile strengths of concrete, as the effects of PVC fibers on these two properties were different. Furthermore, excellent correlations were observed between the flexural strength and ultimate impact resistance. The flexural toughness was also strongly correlated with ultimate impact toughness. Strong relationships were noticed for these properties because they varied following a similar trend for the fiber contents and lengths used in this study.
6. Recommendations
Author Contributions
Funding
Data Availability Statement
Conflicts of Interest
References
- Huysman, S.; De Schaepmeester, J.; Ragaert, K.; Dewulf, J.; De Meester, S. Performance indicators for a circular economy: A case study on post-industrial plastic waste. Resour. Conserv. Recycl. 2017, 120, 46–54. [Google Scholar] [CrossRef]
- Eriksen, M.; Lebreton, L.C.M.; Carson, H.S.; Thiel, M.; Moore, C.J.; Borerro, J.C.; Galgani, F.; Ryan, P.G.; Reisser, J. Plastic pollution in the world’s oceans: More than 5 trillion plastic pieces weighing over 250,000 tons afloat at sea. PLoS ONE 2014, 9, e111913. [Google Scholar] [CrossRef] [PubMed]
- Jambeck, J.R.; Geyer, R.; Wilcox, C.; Siegler, T.R.; Perryman, M.; Andrady, A.; Narayan, R.; Law, K.L. Marine pollution. Plastic waste inputs from land into the ocean. Science 2015, 347, 768–771. [Google Scholar] [CrossRef]
- Sussarellu, R.; Suquet, M.; Thomas, Y.; Lambert, C.; Fabioux, C.; Pernet, M.E.J.; Le Goïc, N.; Quillien, V.; Mingant, C.; Epelboin, Y.; et al. Oyster reproduction is affected by exposure to polystyrene microplastics. Proc. Natl. Acad. Sci. USA 2016, 113, 2430–2435. [Google Scholar] [CrossRef]
- Green, D.S.; Boots, B.; O’Connor, N.E.; Thompson, R. Microplastics affect the ecological functioning of an important biogenic habitat. Environ. Sci. Technol. 2017, 51, 68–77. [Google Scholar] [CrossRef]
- MacArthur, D.E. Beyond plastic waste. Science 2017, 358, 843. [Google Scholar] [CrossRef]
- Lamb, J.B.; Willis, B.L.; Fiorenza, E.A.; Couch, C.S.; Howard, R.; Rader, D.N.; True, J.D.; Kelly, L.A.; Ahmad, A.; Jompa, J.; et al. Plastic waste associated with disease on coral reefs. Science 2018, 359, 460–462. [Google Scholar] [CrossRef]
- Jiang, B.; Yu, J.; Liu, Y. The environmental impact of plastic waste. J. Environ. Earth Sci. 2020, 2, 26–35. [Google Scholar] [CrossRef]
- Sivakumar, K. Negative impacts of plastic pollution—A major threat to our environment. Oceanogr. Fish. Open Access J. 2018, 8, 45–47. [Google Scholar] [CrossRef]
- Siddique, R.; Khatib, J.; Kaur, I. Use of recycled plastic in concrete: A review. Waste Manag. 2008, 28, 1835–1852. [Google Scholar] [CrossRef] [PubMed]
- Kanda, T.; Li, V.C. Interface property and apparent strength of high-strength hydrophilic fiber in cement matrix. J. Mater. Civ. Eng. 1998, 10, 5–13. [Google Scholar] [CrossRef]
- Cengiz, O.; Turanli, L. Comparative evaluation of steel mesh, steel fibre and high-performance polypropylene fibre reinforced shotcrete in panel test. Cem. Concr. Res. 2004, 34, 1357–1364. [Google Scholar] [CrossRef]
- Aulia, T.B. Effects of polypropylene fibers on the properties of high-strength concretes. Lacer 2002, 7, 43–59. Available online: https://www.researchgate.net/publication/292307093 (accessed on 10 October 2022).
- Meena, A.; Surendranath, A.; Ramana, P.V. Assessment of mechanical properties and workability for polyethylene terephthalate fiber reinforced concrete. Mater. Today Proc. 2022, 50, 2307–2314. [Google Scholar] [CrossRef]
- Dong, C.; Zhang, Q.; Chen, C.; Jiang, T.; Guo, Z.; Liu, Y.; Lin, S. Fresh and hardened properties of recycled plastic fiber reinforced self-compacting concrete made with recycled concrete aggregate and fly ash, slag, silica fume. J. Build. Eng. 2022, 62, 105384. [Google Scholar] [CrossRef]
- Usman, N.; Masirin, M.I.M. Performance of asphalt concrete with plastic fibres. In Use of Recycled Plastics in Eco-Efficient Concrete; Woodhead Publishing: Sawston, UK, 2019; pp. 427–440. [Google Scholar] [CrossRef]
- Ahmadinia, E.; Zargar, M.; Karim, M.R.; Abdelaziz, M.; Shafigh, P. Using waste plastic bottles as additive for stone mastic asphalt. Mater. Des. 2011, 32, 4844–4849. [Google Scholar] [CrossRef]
- Kalantar, Z.N.; Karim, M.R.; Mahrez, A. A review of using waste and virgin polymer in pavement. Constr. Build. Mater. 2012, 33, 55–62. [Google Scholar] [CrossRef]
- Nelson, P.K.; Li, V.C.; Kamada, T. Fracture toughness of micro-fiber reinforced cement composites. J. Mater. Civ. Eng. 2002, 14, 384–391. [Google Scholar] [CrossRef]
- Mu, B.; Li, Z.; Peng, J. Short fiber-reinforced cementitious extruded plates with high percentage of slag and different fibers. Cem. Concr. Res. 2000, 30, 1277–1282. [Google Scholar] [CrossRef]
- Ochi, T.; Okubo, S.; Fukui, K. Development of recycled PET fiber and its application as concrete-reinforcing fiber. Cem. Concr. Compos. 2007, 29, 448–455. [Google Scholar] [CrossRef]
- Reddy, K.C.; Giribabu, B. Assessment of recycled waste fiber and BC soil on the performance of hybrid concrete: Reaction and subsequent sulfuric acid exposure. Innov. Infrastruct. Solut. 2023, 8, 114. [Google Scholar] [CrossRef]
- Piryaei, M.; Komasi, M.; Hormozinejad, Y. Experimental evaluation on behavior of poly propylene fiber-reinforced concrete containing poly carboxylate ether and E205 additives. Constr. Build. Mater. 2022, 347, 128142. [Google Scholar] [CrossRef]
- Revathi, S.; Kumar, P.S.; Suresh, D.; Anwar, S.T. Behaviour of concrete with PET bottles as fibers & silica fume as partial replacement of cement. Mater. Today Proc. 2023, in press. [Google Scholar] [CrossRef]
- Singh, K. Partial replacement of cement with polyethylene terephthalate fiber to study its effect on various properties of concrete. Mater. Today Proc. 2021, 37, 3270–3274. [Google Scholar] [CrossRef]
- Smaoui, H.; Trabelsi, A.; Kammoun, Z.; Aouicha, B. Mechanical, physical, blast waves and ballistic impact resistance properties of a concrete incorporating thermally treated PET inclusions. Constr. Build. Mater. 2023, 365, 130088. [Google Scholar] [CrossRef]
- Ahmed, H.U.; Faraj, R.H.; Hilal, N.; Mohammed, A.A.; Sherwani, A.F.H. Use of recycled fibers in concrete composites: A systematic comprehensive review. Compos. Part B Eng. 2021, 215, 108769. [Google Scholar] [CrossRef]
- Marthong, C.; Marthong, S. An experimental study on the effect of PET fibers on the behavior of exterior RC beam-column connection subjected to reversed cyclic loading. Structures 2016, 5, 175–185. [Google Scholar] [CrossRef]
- Yin, S.; Tuladhar, R.; Riella, J.; Chung, D.; Collister, T.; Combe, M.; Sivakugan, N. Comparative evaluation of virgin and recycled polypropylene fibre reinforced concrete. Constr. Build. Mater. 2016, 114, 134–141. [Google Scholar] [CrossRef]
- Khatab, H.R.; Mohammed, S.J.; Hameed, L.A. Mechanical properties of concrete containing waste fibers of plastic straps. IOP Conf. Ser. Mater. Sci. Eng. 2019, 557, 012059. [Google Scholar] [CrossRef]
- Bhogayata, A.C.; Arora, N.K. Fresh and strength properties of concrete reinforced with metalized plastic waste fibers. Constr. Build. Mater. 2017, 146, 455–463. [Google Scholar] [CrossRef]
- Mehvish, F.; Ahmed, A.; Saleem, M.M.; Saleem, M.A. Characterization of concrete incorporating waste polythene bags fibers. Pak. J. Eng. Appl. Sci. 2020, 26, 93–101. Available online: https://journal.uet.edu.pk/ojs_old/index.php/pjeas/article/view/2046 (accessed on 15 October 2022).
- Fraternali, F.; Spadea, S.; Berardi, V.P. Effects of recycled PET fibres on the mechanical properties and seawater curing of Portland cement-based concretes. Constr. Build. Mater. 2014, 61, 293–302. [Google Scholar] [CrossRef]
- Jain, A.; Siddique, S.; Gupta, T.; Jain, S.; Sharma, R.K.; Chaudhary, S. Evaluation of concrete containing waste plastic shredded fibers: Ductility properties. Struct. Concr. 2021, 22, 566–575. [Google Scholar] [CrossRef]
- Borg, R.P.; Baldacchino, O.; Ferrara, L. Early age performance and mechanical characteristics of recycled PET fibre reinforced concrete. Constr. Build. Mater. 2016, 108, 29–47. [Google Scholar] [CrossRef]
- Mohammed, A.A.; Rahim, A.A.F. Experimental behavior and analysis of high strength concrete beams reinforced with PET waste fiber. Constr. Build. Mater. 2020, 244, 118350. [Google Scholar] [CrossRef]
- Nili, M.; Afroughsabet, V. The effects of silica fume and polypropylene fibers on the impact resistance and mechanical properties of concrete. Constr. Build. Mater. 2010, 24, 927–933. [Google Scholar] [CrossRef]
- Nili, M.; Afroughsabet, V. Combined effect of silica fume and steel fibers on the impact resistance and mechanical properties of concrete. Int. J. Impact Eng. 2010, 37, 879–886. [Google Scholar] [CrossRef]
- Foti, D. Preliminary analysis of concrete reinforced with waste bottles PET fibers. Constr. Build. Mater. 2011, 25, 1906–1915. [Google Scholar] [CrossRef]
- Francioso, V.; Moro, C.; Castillo, A.; Velay-Lizancos, M. Effect of elevated temperature on flexural behavior and fibers-matrix bonding of recycled PP fiber-reinforced cementitious composite. Constr. Build. Mater. 2021, 269, 121243. [Google Scholar] [CrossRef]
- Thomas, L.M.; Moosvi, S.A. Hardened properties of binary cement concrete with recycled PET bottle fiber: An experimental study. Mater. Today Proc. 2020, 32, 632–637. [Google Scholar] [CrossRef]
- Adda, H.M.; Slimane, M. Study of concretes reinforced by plastic fibers based on local materials. Int. J. Eng. Res. Afr. 2019, 42, 100–108. [Google Scholar] [CrossRef]
- Al-Hadithi, A.I.; Noaman, A.T.; Mosleh, W.K. Mechanical properties and impact behavior of PET fiber reinforced self-compacting concrete (SCC). Compos. Struct. 2019, 224, 111021. [Google Scholar] [CrossRef]
- Matar, P.; Zéhil, G.P. Effects of polypropylene fibers on the physical and mechanical properties of recycled aggregate concrete. J. Wuhan Univ. Technol. Mater. Sci. Ed. 2019, 34, 1327–1344. [Google Scholar] [CrossRef]
- Das, C.S.; Dey, T.; Dandapat, R.; Mukharjee, B.B.; Kumar, J. Performance evaluation of polypropylene fibre reinforced recycled aggregate concrete. Constr. Build. Mater. 2018, 189, 649–659. [Google Scholar] [CrossRef]
- Khalid, F.S.; Irwan, J.M.; Ibrahim, M.H.W.; Othman, N.; Shahidan, S. Performance of plastic wastes in fiber-reinforced concrete beams. Constr. Build. Mater. 2018, 183, 451–464. [Google Scholar] [CrossRef]
- Setiawan, A.A.; Philip, F.J.; Permanasari, E. Mechanical properties of waste plastic banner fiber reinforced concrete. J. Teknol. 2018, 80, 113–119. [Google Scholar] [CrossRef]
- Sanjaykumar, B.; Daule, S.N. Use of plastic fiber in the concrete. Int. J. Civ. Eng. 2017, 4, 4–7. [Google Scholar] [CrossRef]
- Venugopal, B.; Sumitha, V.; Tamilarasan, A.; Kalaimani, R. Fibre reinforced concrete using domestic waste plastics as fibres. Int. J. Sci. Res. Publ. 2016, 6, 373–380. Available online: www.ijsrp.org (accessed on 9 October 2022).
- Hossen, M.B. Determination of Optimum Fiber Content for Fiber Reinforced Micro Concrete. Master’s Thesis, Civil and Structural Engineering Thesis, Department of Civil Engineering, Bangladesh University of Engineering and Technology, Dhaka, Bangladesh, 2016. Available online: http://lib.buet.ac.bd:8080/xmlui/bitstream/handle/123456789/4497/Full%20Thesis.pdf?sequence=1&isAllowed=y (accessed on 12 October 2022).
- Pešić, N.; Živanović, S.; Garcia, R.; Papastergiou, P. Mechanical properties of concrete reinforced with recycled HDPE plastic fibres. Constr. Build. Mater. 2016, 115, 362–370. [Google Scholar] [CrossRef]
- Nibudey, R.N.; Nagarnaik, P.B.; Parbat, D.K.; Pande, A.M. Strengths prediction of plastic fiber reinforced concrete (M30). Int. J. Eng. Res. Appl. 2013, 3, 1818–1825. Available online: www.ijera.com (accessed on 12 October 2022).
- Prahallada, M.C.; Prakash, K. Strength and workability characteristics of waste plastic fibre reinforced concrete produced from recycled aggregates. Int. J. Eng. Res. Appl. 2011, 1, 1791–1802. Available online: www.ijera.com (accessed on 10 October 2022).
- Bayasi, Z.; Zeng, J. Properties of polypropylene fiber reinforced concrete. ACI Mater. J. 1993, 90, 605–610. [Google Scholar] [CrossRef]
- Foti, D.; Paparella, F. Impact behavior of structural elements in concrete reinforced with PET grids. Mech. Res. Commun. 2014, 57, 57–66. [Google Scholar] [CrossRef]
- Soroushian, P.; Plasencia, J.; Ravanbakhsh, S. Assessment of reinforcing effects of recycled plastic and paper in concrete. ACI Mater. J. 2003, 100, 203–207. [Google Scholar] [CrossRef]
- ASTM C33/C33M−18; Standard Specification for Concrete Aggregates. ASTM International: West Conshohocken, PA, USA, 2018. [CrossRef]
- ACI Committee 211.1; Standard Practice for Selecting Proportions for Normal, Heavyweight, and Mass Concrete (ACI 211.1R-02). American Concrete Institute: Farmington Hills, MI, USA, 2002.
- ASTM C143/143 M; Standard Test Method for Slump of Hydraulic-Cement Concrete. ASTM International: West Conshohocken, PA, USA, 2010. Available online: https://www.astm.org/ (accessed on 12 February 2018).
- ASTM C39/C39M; Standard Test Method for Compressive Strength of Cylindrical Concrete Specimens. ASTM International: West Conshohocken, PA, USA, 2021. [CrossRef]
- ASTM C469/C469M; Standard Test Method for Static Modulus of Elasticity and Poisson’s Ratio of Concrete in Compression. ASTM International: West Conshohocken, PA, USA, 2022. [CrossRef]
- ASTM C496/C 496M; Standard Test Method for Splitting Tensile Strength of Cylindrical Concrete Specimens. ASTM International: West Conshohocken, PA, USA, 2004. [CrossRef]
- ASTM C293/C293M; Standard Test Method for Flexural Strength of Concrete (Using Simple Beam with Center-Point Loading). ASTM International: West Conshohocken, PA, USA, 2016. [CrossRef]
- ACI 544.2R; Measurement of Properties of Fiber Reinforced Concrete. American Concrete Institute: Farmington Hills, MI, USA, 1999.
- Mastali, M.; Dalvand, A. The impact resistance and mechanical properties of self-compacting concrete reinforced with recycled CFRP pieces. Compos. Part B Eng. 2016, 92, 360–376. [Google Scholar] [CrossRef]
- Alshkane, Y.M.; Rafiq, S.K.; Boiny, H.U. Correlation between destructive and non-destructive tests on the mechanical properties of different cement mortar mixtures incorporating polyethylene terephthalate fibers. Sulaimani J. Eng. Sci. 2017, 4, 67–73. [Google Scholar] [CrossRef]
- Al-Hadithi, A.I.; Abbas, M.A. The effects of adding waste plastic fibers on the mechanical properties and shear strength of reinforced concrete beams. Iraqi J. Civ. Eng. 2018, 12, 110–124. [Google Scholar] [CrossRef]
- Kim, S.B.; Yi, N.H.; Kim, H.Y.; Kim, J.H.J.; Song, Y.C. Material and structural performance evaluation of recycled PET fiber reinforced concrete. Cem. Concr. Compos. 2010, 32, 232–240. [Google Scholar] [CrossRef]
- Awal, A.S.M.A.; Mohammadhosseini, H. Green concrete production incorporating waste carpet fiber and palm oil fuel ash. J. Clean. Prod. 2016, 137, 157–166. [Google Scholar] [CrossRef]
- Moore, D.S.; Kirkland, S. The Basic Practice of Statistics; WH Freeman: New York, NY, USA, 2007. [Google Scholar]

















| Fiber Type | Fiber Size | Fiber Properties | Compressive Strength, fc′ | Splitting Tensile Strength, ft | References | ||
|---|---|---|---|---|---|---|---|
| Optimum Fiber Content | % Increment | Optimum Fiber Content | % Increment | ||||
| PET | Length = 50 mm, width = 2–2.3 mm, thickness = 0.25 mm | Specific gravity = 1.11, tensile strength = 989 MPa, elastic modulus = 7.05 GPa, density = 910 kg/m3 | 0.4 wt.% of binder | 5.36 | 0.4 wt.% of binder | 11.60 | [41] |
| PET | Length = 50 mm, diameter = 2 mm | - | 1.5 wt.% of cement | 15.57 | 1.5 wt.% of cement | 24.30 | [42] |
| PET | Length = 30 mm, width = 4 mm, thickness = 0.3 mm | Tensile strength = 101 MPa, elastic modulus = 0.19 GPa, density = 1100 kg/m3, | 1.5 vol.% of concrete | 44.00 | - | - | [43] |
| PP | Length = 12 mm, diameter = 0.03 mm | Specific gravity = 0.91, elastic modulus = 3.5 GPa | 0.3 vol.% of concrete | 1.30 | 0.3 vol.% of concrete | 22.30 | [44] |
| PP | Length = 12 mm, diameter = 0.025–0.04 mm | Specific gravity = 0.90–0.91, tensile strength = 4600 MPa, elastic modulus > 4 GPa | 0.5 vol.% of concrete | 4.20 | 0.5 vol.% of concrete | 16.87 | [45] |
| RPET * 10 | Ring shape, inner diameter = 60 ± 5 mm, width = 10 ± 1 mm | - | 0.25 vol.% of concrete | 4.23 | 1 vol.% of concrete | 35.10 | [46] |
| PVC | Length = 40 mm, diameter = 0.5 mm | - | 1 vol.% of concrete | 4.95 | 0.5 vol.% of concrete | 14.28 | [47] |
| PET | Length = 35 mm, width = 1 mm | Specific gravity = 1.36 | 1.5 wt.% of fine aggregate | 3.98 | 1.5 wt.% of fine aggregate | 5.59 | [48] |
| Polythene | - | - | 0.5 wt.% of cement | 3.84 | 0.5 wt.% of cement | 1.63 | [49] |
| Polyester (Recron-3S) | Length = 12 ± 1, 18 ± 1 mm, diameter, 0.0375 mm | Specific gravity = 1.36, tensile strength = 578 MPa, elastic modulus = 17.24 GPa, density = 890–940 kg/m3 | 0.4 vol.% of concrete | 43.30 | 0.2 vol.% of concrete | 30.14 | [50] |
| HDPE † | Length = 23 mm, diameter = 0.25 mm | Tensile strength = 37 MPa, elastic modulus = 0.5 GPa, density = 940 kg/m3 | 0.4 vol.% of concrete | 12.45 | 0.4 vol.% of concrete | 10.39 | [51] |
| HDPE | Length = 30 mm, diameter = 0.40 mm | Tensile strength = 37 MPa, elastic modulus = 0.5 GPa, density = 940 kg/m3 | 0.75 vol.% of concrete | 14.16 | 0.4 vol.% of concrete | 8.60 | [51] |
| PET | Length = 25 mm, width = 2 mm, aspect ratio = 35 | - | 1.5 wt.% of cement | 3.59 | 1 wt.% of cement | 11.20 | [52] |
| Waste plastic | Length = 30 mm, width = 5 mm, thickness = 1 mm | - | 1 vol.% of concrete | 4.00 | 1 vol.% of concrete | 11.00 | [53] |
| PP | - | - | 0.1, 0.3 vol.% of concrete | 19.34 | - | - | [54] |
| Physical Properties | FA (River Sand) | CA (Crushed Stone) |
|---|---|---|
| Fineness modulus | 3.05 | 7.50 |
| Unit weight (kg/m3) | 1778 | 1535 |
| Voids (vol.%) | 31.06 | 38.96 |
| Bulk specific gravity (OD *) | 2.50 | 2.50 |
| Bulk specific gravity (SSD †) | 2.58 | 2.51 |
| Apparent specific gravity | 2.73 | 2.54 |
| Absorption (wt.%) | 3.03 | 0.60 |
| Mixture Designation | PVC Fiber | Basic Ingredients (kg/m3) | Superplasticizer (wt.% of Cement) | ||||
|---|---|---|---|---|---|---|---|
| Fiber Length (mm) | Fiber Content (wt.% of Cement) | Water | Cement | CA (SSD *) | FA (SSD) | ||
| Control | - | 0 | 198 | 341.7 | 935.5 | 771.9 | 1 |
| PVCFRC 1 | 20 | 0.5 | 197 | 340 | 930.8 | 768 | |
| PVCFRC 2 | 1 | 196 | 338.3 | 926.1 | 764.2 | ||
| PVCFRC 3 | 1.5 | 195 | 336.6 | 921.5 | 760.3 | ||
| PVCFRC 4 | 40 | 0.5 | 197 | 340 | 930.8 | 768 | |
| PVCFRC 5 | 1 | 196 | 338.3 | 926.1 | 764.2 | ||
| PVCFRC 6 | 1.5 | 195 | 336.6 | 921.5 | 760.3 | ||
| Mixture Designation | PVC Fiber | Compressive Strength (MPa) | Elastic Modulus (MPa) | Splitting Tensile Strength (MPa) | Flexural Strength (MPa) | Flexural Toughness (N-mm) | |
|---|---|---|---|---|---|---|---|
| Fiber Length (mm) | Fiber Content (wt.%) | ||||||
| Control | - | 0 | 21.40 | 19,462 | 2.55 | 4.69 | 2887.45 |
| PVCFRC 1 | 20 | 0.5 | 25.00 | 26,800 | 2.80 | 5.69 | 6467.63 |
| PVCFRC 2 | 1 | 26.80 | 27,062 | 2.90 | 6.25 | 8385.51 | |
| PVCFRC 3 | 1.5 | 20.50 | 25,614 | 2.76 | 5.52 | 6410.53 | |
| PVCFRC 4 | 40 | 0.5 | 23.20 | 26,167 | 2.87 | 5.21 | 5951.22 |
| PVCFRC 5 | 1 | 25.70 | 26,899 | 2.82 | 6.04 | 8109.57 | |
| PVCFRC 6 | 1.5 | 22.10 | 26,071 | 2.74 | 5.60 | 6810.15 | |
| Mixture Designation | PVC Fiber | First Crack Impact Resistance (No. of Blows for First Visible Crack, Nc) | First Crack Impact Toughness, Ic (J) | Ultimate Impact Resistance (No. of Blows for Ultimate Failure, Nu) | Ultimate Impact Toughness, Iu (J) | |
|---|---|---|---|---|---|---|
| Fiber Length (mm) | Fiber Content (wt.%) | |||||
| Control | - | 0 | 15 | 302.6 | 19 | 383.3 |
| PVCFRC 1 | 20 | 0.5 | 32 | 645.6 | 45 | 907.8 |
| PVCFRC 2 | 1 | 36 | 726.3 | 55 | 1109.6 | |
| PVCFRC 3 | 1.5 | 27 | 544.7 | 38 | 766.6 | |
| PVCFRC 4 | 40 | 0.5 | 29 | 585.1 | 39 | 786.8 |
| PVCFRC 5 | 1 | 35 | 706.1 | 51 | 1028.9 | |
| PVCFRC 6 | 1.5 | 31 | 625.4 | 42 | 847.3 | |
Disclaimer/Publisher’s Note: The statements, opinions and data contained in all publications are solely those of the individual author(s) and contributor(s) and not of MDPI and/or the editor(s). MDPI and/or the editor(s) disclaim responsibility for any injury to people or property resulting from any ideas, methods, instructions or products referred to in the content. |
© 2023 by the authors. Licensee MDPI, Basel, Switzerland. This article is an open access article distributed under the terms and conditions of the Creative Commons Attribution (CC BY) license (https://creativecommons.org/licenses/by/4.0/).
Share and Cite
Islam, T.; Safiuddin, M.; Roman, R.A.; Chakma, B.; Al Maroof, A. Mechanical Properties of PVC Fiber-Reinforced Concrete—Effects of Fiber Content and Length. Buildings 2023, 13, 2666. https://doi.org/10.3390/buildings13102666
Islam T, Safiuddin M, Roman RA, Chakma B, Al Maroof A. Mechanical Properties of PVC Fiber-Reinforced Concrete—Effects of Fiber Content and Length. Buildings. 2023; 13(10):2666. https://doi.org/10.3390/buildings13102666
Chicago/Turabian StyleIslam, Tarikul, Md. Safiuddin, Rezwan Ahmed Roman, Bodhijit Chakma, and Abdullah Al Maroof. 2023. "Mechanical Properties of PVC Fiber-Reinforced Concrete—Effects of Fiber Content and Length" Buildings 13, no. 10: 2666. https://doi.org/10.3390/buildings13102666
APA StyleIslam, T., Safiuddin, M., Roman, R. A., Chakma, B., & Al Maroof, A. (2023). Mechanical Properties of PVC Fiber-Reinforced Concrete—Effects of Fiber Content and Length. Buildings, 13(10), 2666. https://doi.org/10.3390/buildings13102666

