Unbonded Pre-Tensioned CF-Laminates Mechanically Anchored to HSC Beams as a Sustainable Repair Solution for Detachment of Bonded CF-Laminates
Abstract
:1. Introduction
1.1. Behaviour of Strengthened RC Beams Using Exterior Bonded-CFRP
1.2. Applications of Finite Element in the Analysis of FRP RC-Members
2. Development of Finite Element Model
2.1. Geometry and Description of the Tested Specimens
2.2. Development of the Finite Element Models
2.2.1. Concrete
2.2.2. Steel Reinforcement
2.2.3. Loads and Bearing Steel Plates
2.2.4. Carbon Fiber Reinforced Polymer (CFRP) Sheets
3. Validation of the Proposed Finite Element Model
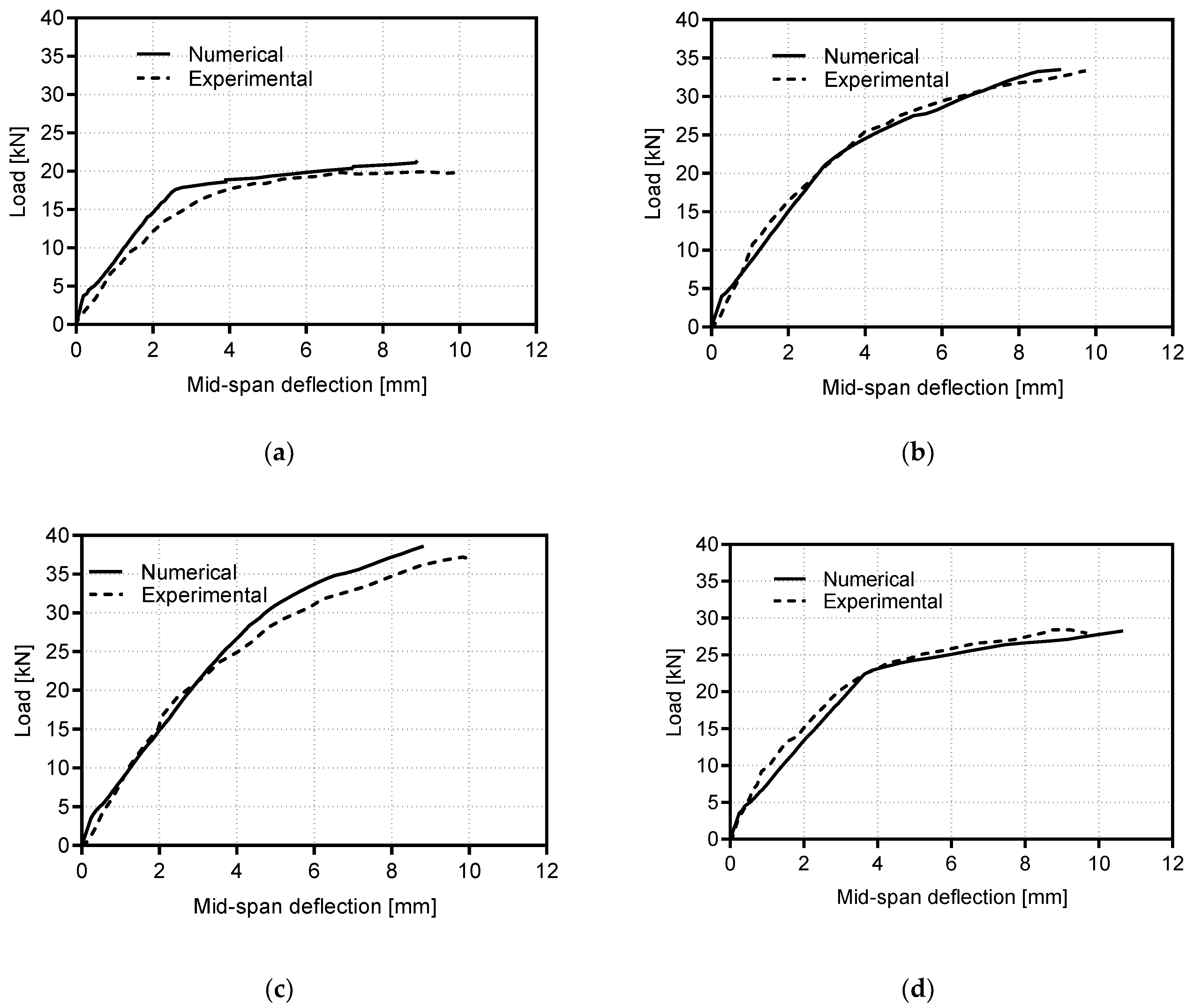
3.1. Comparison of the Load-Deflection Curves for Different Beams
3.2. Crack Distribution and Failure Modes
4. Parametric Study
4.1. Effect of Contact Area between CFRP Laminates and Beam
4.2. Effect of External Pre-Tensioned Unbonded Straight CFRP Sheets
4.3. Effect of Sheet Thickness of Bonded U-Wrapped CFRP
4.4. Effect of Pre-Tensioned Unbonded External U-Wrapped CFRP Sheets
4.5. Effect of Using Exterior Unbonded CFRP Sheets with Different Concrete Grades
5. Conclusions
- -
- The use of unbonded CFRP sheets mechanically affixed to strengthened RC beams, with or without pre-tension stress, provided a creative solution to the durability problem of bonded CFRP sheet detachment.
- -
- Externally unbonded CFRP sheets with different patterns (straight and u-wrap) that were pre-tensioned with 45% of the CFRP ultimate strength exhibited relatively similar behavior as the corresponding bonded CFRP sheets, with minor differences in load capacity of less than 4.5% and significant reductions in deflection ranging from 9.7% to 16.24%.
- -
- Raising the thickness of bonded CFRP laminates used to strengthen RC beams that failed due to tensile steel bar yielding has little effect on improving load capacity, but has a significant influence on reducing beam deflection due to reduced axial strain of the thickened CFRP laminates.
- -
- Using CFRP sheets to strengthen RC beams made of high-strength concrete is more efficient than using it to strengthen normal concrete beams, causing a rise in load capacity ranging from 22.3% for NC to 71.6% for HSC.
- -
- Increasing the cross-sectional area of exterior unbonded CFRP sheets reduced the sheet’s axial strains, which lowered beam curvature and mid-span deflection by about 10% in the case of NC to nearly 30% in the case of HSC.
Author Contributions
Funding
Data Availability Statement
Conflicts of Interest
References
- Wu, J.; Zhu, Y.; Li, C. Experimental Investigation of Fatigue Capacity of Bending-Anchored CFRP Cables. Polymers 2023, 15, 2483. [Google Scholar] [CrossRef] [PubMed]
- Ding, J.; Cheng, L. Experimental study on ultrasonic three-point bending fatigue of CFRP under ultraviolet radiation. Eng. Fract. Mech. 2021, 242, 107435. [Google Scholar] [CrossRef]
- Xian, G.; Guo, R.; Li, C. Combined effects of sustained bending loading, water immersion and fiber hybrid mode on the mechanical properties of carbon/glass fiber reinforced polymer composite. Compos. Struct. 2022, 281, 115060. [Google Scholar] [CrossRef]
- Siddika, A.; Al Mamun, M.A.; Ferdous, W.; Alyousef, R. Performances, challenges and opportunities in strengthening reinforced concrete structures by using FRPs–A state-of-the-art review. Eng. Fail. Anal. 2020, 111, 104480. [Google Scholar] [CrossRef]
- Shomali, A.; Mostofinejad, D.; Esfahani, M.R. Experimental and numerical investigation of shear performance of RC beams strengthened with FRP using grooving method. J. Build. Eng. 2020, 31, 101409. [Google Scholar] [CrossRef]
- Su, M.; Gong, S.; Liu, Y.; Peng, H. Flexural behavior of RC beams strengthened with fully or partially prestressed near-surface mounted FRP strips: An experimental investigation. Eng. Struct. 2022, 262, 114345. [Google Scholar] [CrossRef]
- Zhou, J.; Wang, X.; Peng, Z.; Wu, Z. Optimization of load transfer component for FRP cable anchor system. Compos. Struct. 2022, 282, 115009. [Google Scholar] [CrossRef]
- Zhang, W.; Liu, X.; Huang, Y.; Tong, M.-N. Reliability-based analysis of the flexural strength of concrete beams reinforced with hybrid BFRP and steel rebars. Arch. Civ. Mech. Eng. 2022, 22, 171. [Google Scholar] [CrossRef]
- Wakjira, T.G.; Al-Hamrani, A.; Ebead, U.; Alnahhal, W. Shear capacity prediction of FRP-RC beams using single and ensenble ExPlainable Machine learning models. Compos. Struct. 2022, 287, 115381. [Google Scholar] [CrossRef]
- Zeng, J.J.; Zeng, W.B.; Ye, Y.Y.; Liao, J.; Zhuge, Y.; Fan, T.H. Flexural behavior of FRP grid reinforced ultra-high-performance concrete composite plates with different types of fibers. Eng. Struct. 2022, 272, 115020. [Google Scholar] [CrossRef]
- Hawileh, R.; Musto, H.; Abdalla, J.; Naser, M. Finite element modeling of reinforced concrete beams externally strengthened in flexure with side-bonded FRP laminates. Compos. Part B Eng. 2019, 173, 106952. [Google Scholar] [CrossRef]
- Wakjira, T.G.; Abushanab, A.; Ebead, U.; Alnahhal, W. FAI: Fast, accurate, and intelligent approach and prediction tool for flexural capacity of FRP-RC beams based on super-learner machine learning model. Mater. Today Commun. 2022, 33, 104461. [Google Scholar] [CrossRef]
- You, Y.-C.; Choi, K.-S.; Kim, J. An experimental investigation on flexural behavior of RC beams strengthened with prestressed CFRP strips using a durable anchorage system. Compos. Part B Eng. 2012, 43, 3026–3036. [Google Scholar] [CrossRef]
- Piątek, B.; Siwowski, T.; Michałowski, J.; Błażewicz, S. Development of Bonded/Riveted Steel Anchorages of Prestressed CFRP Strips for Concrete Strengthening. Materials 2020, 13, 2217. [Google Scholar] [CrossRef]
- Kadhim MM, A.; Mohammed, M.J.; Chabuk, A.J. Effect of prestressed CFRP plate location on behavior of RC beam strengthened with prestressed CFRP plate. J. Univ. Bombay 2012, 20, 105–113. [Google Scholar]
- Piątek, B.; Siwowski, T. Experimental study on flexural behaviour of reinforced concrete beams strengthened with passive and active CFRP strips using a novel anchorage system. Arch. Civ. Mech. Eng. 2022, 22, 45. [Google Scholar] [CrossRef]
- Deng, J.; Zhong, M.; Zheng, Y.; Zhu, M. Experimental Study on the Durability of Steel Anchors for Prestressed CFRP Laminates under Accelerated Galvanostatic Corrosion. Materials 2022, 15, 5665. [Google Scholar] [CrossRef] [PubMed]
- Kachlakev, D.; McCurry, D. Behavior of full-scale reinforced concrete beams retrofitted for shear and flexural with FRP laminates. Compos. Part B Eng. 2000, 31, 445–452. [Google Scholar] [CrossRef]
- Adhikary, B.B.; Mutsuyashai, H.; Ashraf, M. Shear strengthening of Reinforced Concrete Beams Using Fiber-Reinoced Polymer Sheets with bonded Anchorade. ACI Strucural J. 2004, 101, 660–668. [Google Scholar]
- Chiew, S.P.; Sun, Q.; Yu, Y. Flexural Strength of RC beams with GFRP Laminates. J. Compos. Constr. ASCE 2007, 11, 497–506. [Google Scholar] [CrossRef]
- Pannirselvam, N.; Raghunath, P.N.; Sugma, K. Strength Modeling of Reinforced Concrete Beam with Externally Boned Fibre Reinforced Polymer Reinforcement. Am. J.Eng. Appl. Sci. 2008, 1, 192–199. [Google Scholar]
- Tahenni, T.; Bouziadi, F.; Boulekbache, B.; Amziane, S. Experimental and nonlinear finite element analysis of shear behaviour of reinforced concrete beams. Structures 2021, 29, 1582–1596. [Google Scholar] [CrossRef]
- Alwash, D.; Kalfat, R.; Al-Mahaidi, R.; Du, H. Shear strengthening of RC beams using NSM CFRP bonded using cement-based adhesive. Constr. Build. Mater. 2021, 301, 124365. [Google Scholar] [CrossRef]
- Alhassan, M.; Al-Rousan, R.; Ababneh, A. Anchoring of the main CFRP sheets with transverse CFRP strips for optimum upgrade of RC Beams: Parametric experimental study. Constr. Build. Mater. 2021, 293, 123525. [Google Scholar] [CrossRef]
- Miao, W.; Guo, Z.X.; Ye, Y.; Basha, S.H. Shear behavior of composite stone beams reinforced with NSM longitudinal CFRP bars. Constr. Build. Mater. 2023, 363, 129802. [Google Scholar] [CrossRef]
- Li, W.; Tang, S.; Huang, X.; Liu, W.; Yang, X.; Shi, T. Carbon fiber-reinforced polymer mesh fabric as shear reinforcement in reinforced concrete beams. J. Build. Eng. 2022, 53, 104433. [Google Scholar] [CrossRef]
- Yu, F.; Fang, Y.; Guo, S.; Bai, R.; Yin, L.; Mansouri, I. A simple model for maximum diagonal crack width estimation of shear-strengthened pre-damaged beams with CFRP strips. J. Build. Eng. 2021, 41, 102716. [Google Scholar] [CrossRef]
- Carrillo, J.; Rodríguez, D.; Villar-Salinas, S. Contribution of CFRP to the shear strength of retrofitted lightly-reinforced concrete panels. J. Build. Eng. 2021, 44, 102722. [Google Scholar] [CrossRef]
- Dong, J.; Wang, Q.; Guan, Z. Structural behaviour of RC beams with external flexural and flexural–shear strengthening by FRP sheets. Compos. Part B Eng. 2013, 44, 604–612. [Google Scholar] [CrossRef]
- Shen, Y.; Zhang, D.; Wang, R.; Li, J.; Huang, Z. SBD-K-medoids-based long-term settlement analysis of shield tunnel. Transp. Geotech. 2023, 42, 101053. [Google Scholar] [CrossRef]
- Sun, Y.; Fu, W.; Chen, X.; Zhang, Z.; Yu, W.; Li, S. Theoretical and experimental investigations into flexural behavior of existing reinforced concrete beams strengthened by CFRP bars. J. Build. Eng. 2023, 77, 107528. [Google Scholar] [CrossRef]
- Abdallah, M.; Al Mahmoud, F.; Tabet-Derraz, M.I.; Khelil, A.; Mercier, J. Experimental and numerical investigation on the effectiveness of NSM and side-NSM CFRP bars for strengthening continuous two-span RC beams. J. Build. Eng. 2021, 41, 102723. [Google Scholar] [CrossRef]
- Kadhim, M.M.; Jawdhari, A.R.; Altaee, M.J.; Adheem, A.H. Finite element modelling and parametric analysis of FRP strengthened RC beams under impact load. J. Build. Eng. 2020, 32, 101526. [Google Scholar] [CrossRef]
- Parandaman, P.; Jayaram, M. Finite element analysis of reinforced concrete beam retrofitted with different fibre composites. Middle-East J. Sci. Res. 2014, 22, 948–953. [Google Scholar]
- Madkour, H.; Maher, M.; Ali, O. Finite element analysis for interior slab-column connections reinforced with GFRP bars using damage plasticity model. J. Build. Eng. 2022, 48, 104013. [Google Scholar] [CrossRef]
- Mohamed, R.A.; Zana, A.A.; Jaza, H.M. Nonlinear finite element analysis of reinforced concrete beams strengthened with externally bonded steel plate using ANSYS. Sulaimani J. Eng. Sci. 2017, 4, 41–50. [Google Scholar]
- Barour, S.; Zergua, A.; Bouziadi, F.; Kaloop, M.R.; El-Demerdash, W.E. Nonlinear numerical and analytical assessment of the shear strength of RC and SFRC beams externally strengthened with CFRP sheets. Adv. Civ. Eng. 2022, 2022, 8741158. [Google Scholar] [CrossRef]
- Hamrat, M.; Bouziadi, F.; Boulekbache, B.; Daouadji, T.H.; Chergui, S.; Labed, A.; Amziane, S. Experimental and numerical investigation on the deflection behavior of pre-cracked and repaired reinforced concrete beams with fiber-reinforced polymer. Constr. Build. Mater. 2020, 249, 118745. [Google Scholar] [CrossRef]
- Zidani, M.B.; Belakhdar, K.; Tounsi, A. Finite element analysis of initially damaged beams repaired with FRP plates. Compos. Struct. 2015, 134, 429–439. [Google Scholar] [CrossRef]
- Dahmani, L.; Khennane, A.; Kaci, S. Crack Identification in Reinforced Concrete Beams using Ansys Software. Strength Mater. 2010, 42, 232–244. [Google Scholar] [CrossRef]
- Sasmal, S.; Kalidoss, S.; Srinivas, V. Nonlinear Finite Element Analysis of FRP Strengthened Reinforced Concrete Beams. J. Inst. Eng. Ser. A 2012, 93, 241–249. [Google Scholar] [CrossRef]
- Banu, D.; Barros, R.C.D.; Taranu, N. Numerical Modelling of Two-Way Reinforced Concrete Slabs Strengthened with Carbon Fiber Reinforced Polymers Strips. In Proceedings of the International Conference on Experimental Mechanics, Porto, Portugal, 22–27 July 2012; pp. 22–27. [Google Scholar]
- Harihar, A.S.; Kulkarni, D. Finite Element Analysis of Reinforced Concrete Beam Strengthened with CFRP Sheets. Bonfring Int. J. Man Mach. Interface 2016, 4, 206–209. [Google Scholar] [CrossRef]
- Gopinath, S.; Prabha, M.; Murthy, A.R.; Iyer, N.R. Modelling of RC Beams Strengthened with Basalt Reinforced Concrete. J. Inst. Eng. Ser. A 2017, 98, 285–291. [Google Scholar] [CrossRef]
- Atea, R.S. A case study of flexural performance of reinforced concrete beams bonded with steel plates with different thickness. J. Mater. Res. Technol. 2018, 8, 22–32. [Google Scholar] [CrossRef]
- Barour, S.; Zergua, A. Numerical analysis of reinforced concrete beams strengthened in shear using carbon fiber reinforced polymer materials. J. Eng. Des. Technol. 2020, 19, 339–357. [Google Scholar] [CrossRef]
- Akram, A.; Hameed, R.; Siddiqi, Z.A.; Riaz, M.R.; Ilyas, M. Finite Element Modeling of RC Beams Strengthened in Flexure Using FRP Material. Arab. J. Sci. Eng. 2014, 39, 8573–8584. [Google Scholar] [CrossRef]
- Meng, B.; Xiong, Y.; Zhong, W.; Duan, S.; Li, H. Progressive collapse behaviour of composite substructure with large rectangular beam-web openings. Eng. Struct. 2023, 295, 116861. [Google Scholar] [CrossRef]
- ANSYS. Release Version 19: A Finite Element Computer Software and User Manual for Nonlinear Structural Analysis; ANSYS Inc.: Canonsburg, PA, USA, 2022. [Google Scholar]
- American Concrete Institute. ACI 440.2-17: Guide for the Design and Construction of Externally Bonded FRP Systems for Strengthening Concrete Structures; American Concrete Institute: Farmington Hills, MI, USA, 2017. [Google Scholar]
- American Concrete Institute. ACI 318–19: Building Code Requirements for Structural Concrete and Commentary; American Concrete Institute: Farmington Hills, MI, USA, 2019. [Google Scholar]
























| Element Type | Material Properties | |||
|---|---|---|---|---|
| Linear isotropic | Modulus of elasticity (EX), MPa | 20,085.49 | ||
| Passion’s ratio (PRXY) | 0.2 | |||
| Multilinear | Open shear transfer factor, βt | 0.5 | ||
| isotropic | Closed shear transfer factor, βc | 0.9 | ||
| Uniaxial cracking stress, MPa | 2.84 | |||
| Uniaxial crushing stress, MPa | 21 | |||
| Stress–strain relationship: | ||||
| Stress–strain points | Stress (MPa) | Strain (mm/m) | ||
| 1 | 0 | 0 | ||
| SOLID65 | 2 | 10.53 | 0.5244 | |
| 3 | 12.59 | 0.65 | ||
| 4 | 14.75 | 0.80 | ||
| 5 | 17.05 | 1.00 | ||
| 6 | 18.75 | 1.20 | ||
| 7 | 19.89 | 1.40 | ||
| 8 | 20.59 | 1.60 | ||
| 9 | 20.93 | 1.80 | ||
| 10 | 20.99 | 2.00 | ||
| 11 | 20.84 | 2.20 | ||
| 12 | 21 | 1.95 | ||
| 13 | 21 | 3.00 | ||
| Element Type | Material Properties | |||
|---|---|---|---|---|
| Linear-isotropic | Modulus of elasticity (EX), MPa | 198,000 | ||
| LINK180 | Passion’s ratio (PRXY) | 0.3 | ||
| Bilinear-isotropic | Yield stress, MPa | 278 | ||
| Tangent modulus *, MPa | --- | |||
| Material of Laminates | CFRP |
|---|---|
| Design thickness, tcf, mm | 0.12 |
| Modulus of elasticity, Ecf, GPa | 231 |
| Ultimate tensile strength, fucf, MPa | 4100 |
| Reinforced Concrete Beams | Pu (kN) | Difference (%) | Δu (mm) | Difference (%) | ||
|---|---|---|---|---|---|---|
| Exp. | FEM | Exp. | FEM | |||
| Control | 19.84 | 21.37 | 7.67 | 9.97 | 8.89 | 10.83 |
| Method-1 (CFRP—full wrap) | 33.43 | 33.50 | 0.20 | 9.75 | 9.09 | 6.76 |
| Method-2 (CFRP—half wrap) | 36.82 | 38.62 | 4.88 | 9.99 | 8.82 | 11.71 |
| Method-3 (CFRP strip) | 27.95 | 28.40 | 1.61 | 9.65 | 10.6 | 9.84 |
| Group of Beam | Beam ID | Comp. Strength, fc’, MPa | CFRP Area, Acf, mm2 | Max. Compression Stress, MPa | CFRP Max. Tensile Stress, MPa | SRFT Max. Tensile Stress, MPa | Ultimate Load, Pu, kN | Variance in Ultimate Load *, % | Max. Deflection, Δmax, mm |
|---|---|---|---|---|---|---|---|---|---|
| Group A | B1 | 21 | 2.5 | −11.26 | 616 | 453 | 26.13 | 0.0 | 9.97 |
| B2 | 50 | 2.5 | −40.60 | 862 | 471 | 33.88 | +29.7 | 12.48 | |
| B3 | 80 | 2.5 | −66.15 | 1645 | 531 | 39.00 | +49.3 | 17.28 | |
| B4 | 120 | 2.5 | −82.90 | 1708 | 552 | 42.00 | +60.8 | 20.78 | |
| Group B | B5 | 21 | 5.0 | −21.30 | 512 | 441 | 27.88 | 0.0 | 8.91 |
| B6 | 50 | 5.0 | −39.00 | 719 | 467 | 34.11 | +22.3 | 9.93 | |
| B7 | 80 | 5.0 | −67.30 | 1586 | 512 | 40.00 | +43.5 | 15.06 | |
| B8 | 120 | 5.0 | −75.90 | 1674 | 541 | 46.38 | +66.4 | 17.36 | |
| Group C | B9 | 21 | 7.5 | −17.50 | 458 | 432 | 29.00 | 0.0 | 7.34 |
| B10 | 50 | 7.5 | −26.70 | 702 | 456 | 37.90 | +30.7 | 8.54 | |
| B11 | 80 | 7.5 | −69.98 | 1248 | 501 | 46.75 | +61.2 | 13.76 | |
| B12 | 120 | 7.5 | −75.00 | 1625 | 522 | 49.75 | +71.6 | 14.59 |
| Group of Beam | Beam ID | Comp. Strength, fc’, MPa | CFRP Area, Acf, mm2 | CFRP Max. Tensile Stress, MPa | SRFT Max. Tensile Stress, MPa | Ultimate Load, Pu, kN | Variance in Ultimate Load *, % | Max. Deflection, Δmax, mm | Variance in Max. Deflection **, % |
|---|---|---|---|---|---|---|---|---|---|
| Group D | B1 | 21 | 2.5 | 616 | 453 | 26.13 | 0.0 | 9.97 | 0.0 |
| B5 | 21 | 5 | 512 | 441 | 27.89 | +6.7 | 8.91 | −10.6 | |
| B9 | 21 | 7.5 | 458 | 432 | 29.00 | +11 | 7.34 | −26.4 | |
| Group E | B2 | 50 | 2.5 | 862 | 471 | 33.88 | 0.0 | 12.48 | 0.0 |
| B6 | 50 | 5.0 | 719 | 467 | 34.11 | +0.7 | 9.93 | −20.4 | |
| B10 | 50 | 7.5 | 702 | 456 | 37.90 | +11.9 | 8.54 | −31.6 | |
| Group F | B3 | 80 | 2.5 | 1645 | 531 | 39.00 | 0.0 | 17.28 | 0.0 |
| B7 | 80 | 5.0 | 1586 | 512 | 40.00 | +2.6 | 15.06 | −12.8 | |
| B11 | 80 | 7.5 | 1248 | 501 | 46.75 | +19.9 | 13.76 | −20.4 | |
| Group G | B4 | 120 | 2.5 | 1708 | 552 | 42.00 | 0.0 | 20.78 | 0.0 |
| B8 | 120 | 5.0 | 1674 | 541 | 46.38 | +10.4 | 17.36 | −16.5 | |
| B12 | 120 | 7.5 | 1625 | 522 | 49.75 | +18.5 | 14.59 | −29.8 |
Disclaimer/Publisher’s Note: The statements, opinions and data contained in all publications are solely those of the individual author(s) and contributor(s) and not of MDPI and/or the editor(s). MDPI and/or the editor(s) disclaim responsibility for any injury to people or property resulting from any ideas, methods, instructions or products referred to in the content. |
© 2023 by the authors. Licensee MDPI, Basel, Switzerland. This article is an open access article distributed under the terms and conditions of the Creative Commons Attribution (CC BY) license (https://creativecommons.org/licenses/by/4.0/).
Share and Cite
El Zareef, M.A.; Barour, S.; Kaloop, M.R.; El-Demerdash, W.E. Unbonded Pre-Tensioned CF-Laminates Mechanically Anchored to HSC Beams as a Sustainable Repair Solution for Detachment of Bonded CF-Laminates. Buildings 2023, 13, 2528. https://doi.org/10.3390/buildings13102528
El Zareef MA, Barour S, Kaloop MR, El-Demerdash WE. Unbonded Pre-Tensioned CF-Laminates Mechanically Anchored to HSC Beams as a Sustainable Repair Solution for Detachment of Bonded CF-Laminates. Buildings. 2023; 13(10):2528. https://doi.org/10.3390/buildings13102528
Chicago/Turabian StyleEl Zareef, Mohamed A., Sabiha Barour, Mosbeh R. Kaloop, and Waleed E. El-Demerdash. 2023. "Unbonded Pre-Tensioned CF-Laminates Mechanically Anchored to HSC Beams as a Sustainable Repair Solution for Detachment of Bonded CF-Laminates" Buildings 13, no. 10: 2528. https://doi.org/10.3390/buildings13102528
APA StyleEl Zareef, M. A., Barour, S., Kaloop, M. R., & El-Demerdash, W. E. (2023). Unbonded Pre-Tensioned CF-Laminates Mechanically Anchored to HSC Beams as a Sustainable Repair Solution for Detachment of Bonded CF-Laminates. Buildings, 13(10), 2528. https://doi.org/10.3390/buildings13102528

