Mechanical and Deformation Performance of Masonry Walls with Low-Strength Mortar Retrofitting Using Spray-on Polyurethane Coating
Abstract
:1. Introduction
2. Polyurethane Elastomer Mechanical Properties
2.1. Monotonic Tensile Test
2.2. Shear Bond Strength Test
3. Experiment Program
3.1. Test Specimens
3.2. Mechanical Characterization of The Materials
3.3. Test Setup, Instrumentation, and Loading Protocol
4. Experimental Results and Discussion
4.1. Experimental Observations and Failure Mechanisms
4.2. Hysteretic Response
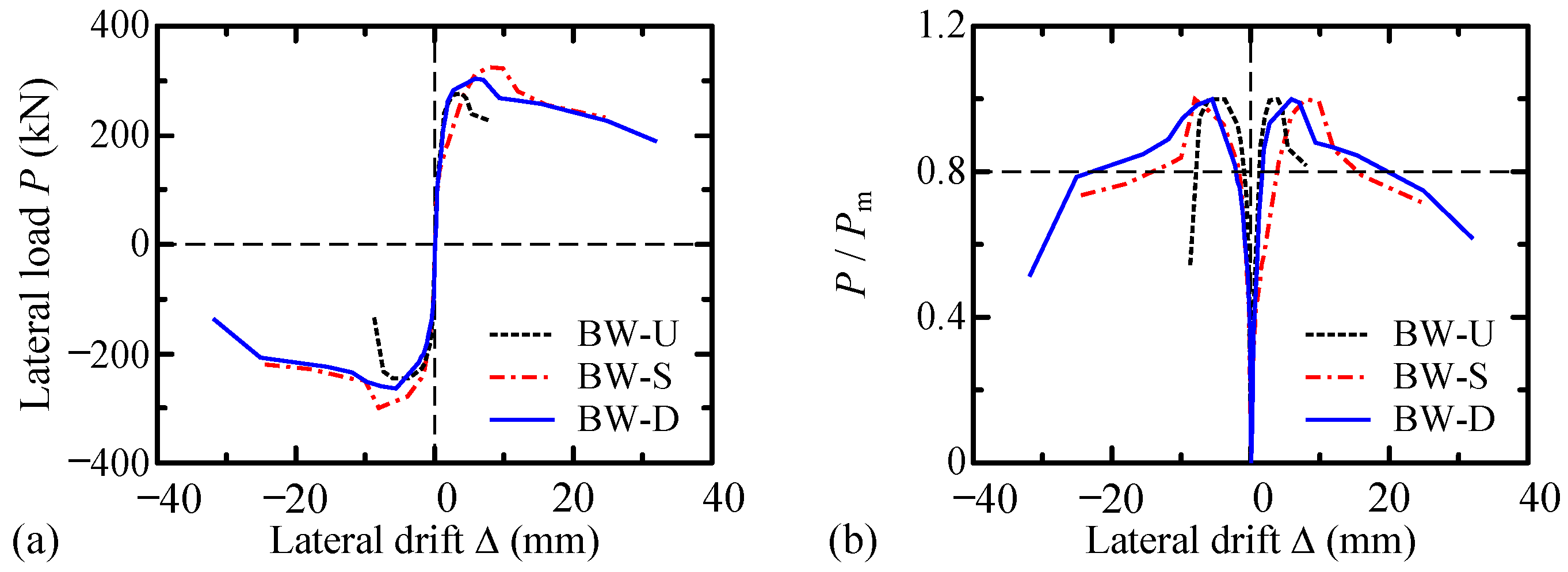
4.3. Envelopes and Mechanical Performance
4.4. Stiffness and Strength Degradation
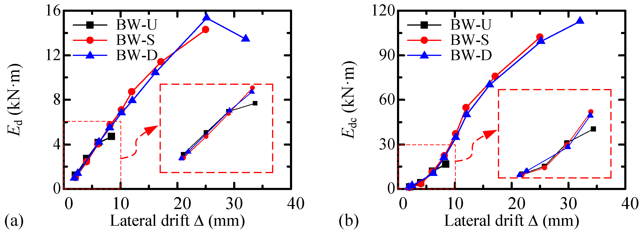
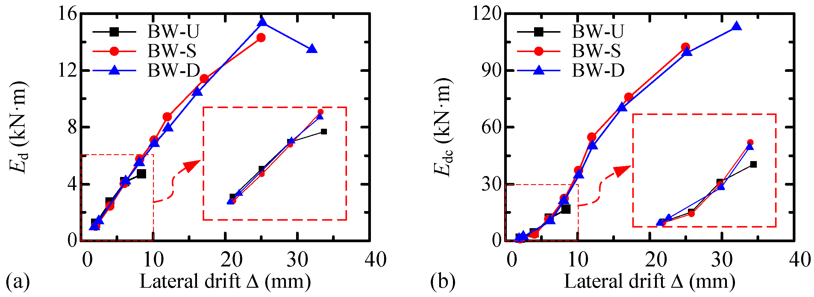
4.5. Energy Dissipation Capacity
4.6. Full-Field Lateral Displacement Analysis
5. Conclusions
- The feasibility of application was confirmed through monotonic tensile tests and shear bond strength tests on polyurethane samples. These tests demonstrated that high elongation and adequate shear bond strength with brick masonry can be achieved using hand-held spray guns. This suggests that the implementation of spray-on polyurethane coating technology is straightforward and accessible, without significant technical barriers;
- The cyclic lateral loading tests revealed that the spray-on polyurethane coating can significantly delay the initiation and progression of cracks in masonry walls, thereby enhancing their deformation and energy dissipation capacity. Compared to the unstrengthened specimen BW-U, the drift corresponding to the peak load and ultimate state of the single-side strengthened specimen BW-S increased by 109% and 60%, respectively. Moreover, cumulative energy dissipation increased by 514%;
- The application of polyurethane coating has been found to increase the load-bearing capacity of the specimen without compromising its lateral stiffness. Compared to the specimen BW-U, the peak load of the specimen BW-S increased by approximately 20%;
- The double-side strengthened specimen, BW-D, exhibited improved integrity, deformation capacity, and energy dissipation capacity compared to its single-side strengthened counterpart, BW-S. Specifically, BW-D’s ultimate displacement and cumulative energy dissipation saw an increase of 28% and 10%, respectively.
Author Contributions
Funding
Data Availability Statement
Conflicts of Interest
References
- Pan, Y.; Wang, X.; Guo, R.; Yuan, S. Seismic Damage Assessment of Nepalese Cultural Heritage Building and Seismic Retrofit Strategies: 25 April 2015 Gorkha (Nepal) Earthquake. Eng. Fail. Anal. 2018, 87, 80–95. [Google Scholar] [CrossRef]
- Yön, B. Identification of Failure Mechanisms in Existing Unreinforced Masonry Buildings in Rural Areas after April 4, 2019 Earthquake in Turkey. J. Build. Eng. 2021, 43, 102586. [Google Scholar] [CrossRef]
- Bilgin, H.; Shkodrani, N.; Hysenlliu, M.; Baytan Ozmen, H.; Isik, E.; Harirchian, E. Damage and Performance Evaluation of Masonry Buildings Constructed in 1970s during the 2019 Albania Earthquakes. Eng. Fail. Anal. 2022, 131, 105824. [Google Scholar] [CrossRef]
- Ashraf, M.; Khan, A.N.; Naseer, A.; Ali, Q.; Alam, B. Seismic Behavior of Unreinforced and Confined Brick Masonry Walls Before and After Ferrocement Overlay Retrofitting. Int. J. Archit. Herit. 2012, 6, 665–688. [Google Scholar] [CrossRef]
- Xu, T.; Guo, Z.; Chai, Z.; Ye, Y.; Wang, L.; Hou, W.; Liu, Y. Experimental Study on Seismic Behavior of Stone Masonry Walls Strengthened with Steel-Meshed Modified Cement Mortar. J. Build. Struct. 2016, 37, 120–125. (In Chinese) [Google Scholar]
- Ma, P.; Xin, R.; Yao, J. Assessment of Failure Mode and Seismic Performance of Damaged Masonry Structures Retrofitted with Grout-Injected Ferrocement Overlay Reinforcement (GFOR). Constr. Build. Mater. 2021, 305, 124778. [Google Scholar] [CrossRef]
- Hasnat, A.; Das, T.; Ahsan, R.; Alam, A.T.; Ahmed, H. In-Plane Cyclic Response of Unreinforced Masonry Walls Retrofitted with Ferrocement. Case Stud. Constr. Mater. 2022, 17, e01630. [Google Scholar] [CrossRef]
- Shrive, N.V. The Use of Fibre Reinforced Polymers to Improve Seismic Resistance of Masonry. Constr. Build. Mater. 2006, 20, 269–277. [Google Scholar] [CrossRef]
- Mahmood, H.; Ingham, J.M. Diagonal Compression Testing of FRP-Retrofitted Unreinforced Clay Brick Masonry Wallettes. J. Compos. Constr. 2011, 15, 810–820. [Google Scholar] [CrossRef]
- Reboul, N.; Mesticou, Z.; Si Larbi, A.; Ferrier, E. Experimental Study of the In-Plane Cyclic Behaviour of Masonry Walls Strengthened by Composite Materials. Constr. Build. Mater. 2018, 164, 70–83. [Google Scholar] [CrossRef]
- Corradi, M.; Castori, G.; Sisti, R.; Borri, A.; Pesce, G.L. Repair of Block Masonry Panels with CFRP Sheets. Materials 2019, 12, 2363. [Google Scholar] [CrossRef] [PubMed]
- Konthesingha, K.M.C.; Masia, M.J.; Petersen, R.B.; Mojsilovic, N.; Simundic, G.; Page, A.W. Static Cyclic In-Plane Shear Response of Damaged Masonry Walls Retrofitted with NSM FRP Strips—An Experimental Evaluation. Eng. Struct. 2013, 50, 126–136. [Google Scholar] [CrossRef]
- Ye, Y.; Guo, Z.; Liu, Y.; Wang, L. Flexural Behavior of Stone Beams Reinforced with Prestressed NSM CFRP Bars. Constr. Build. Mater. 2014, 54, 466–476. [Google Scholar] [CrossRef]
- Al-Jaberi, Z.; Myers, J.J.; ElGawady, M.A. Pseudo-Static Cyclic Loading Comparison of Reinforced Masonry Walls Strengthened with FRCM or NSM FRP. Constr. Build. Mater. 2018, 167, 482–495. [Google Scholar] [CrossRef]
- Eslami, A.; Zahedi, A.; Mirabi Banadaki, H. In-Plane Seismic Behavior of NSM Strengthened Adobe Walls: Experimental Evaluation of Different Reinforcements. Eng. Struct. 2021, 246, 113016. [Google Scholar] [CrossRef]
- Soleymani, A.; Najafgholipour, M.A.; Johari, A.; Jowkar, S. In-Plane Shear Strengthening of Traditional Unreinforced Masonry Walls with near Surface Mounted GFRP Bars. Constr. Build. Mater. 2023, 367, 130362. [Google Scholar] [CrossRef]
- Garcia-Ramonda, L.; Pelá, L.; Roca, P.; Camata, G. In-Plane Shear Behaviour by Diagonal Compression Testing of Brick Masonry Walls Strengthened with Basalt and Steel Textile Reinforced Mortars. Constr. Build. Mater. 2020, 240, 117905. [Google Scholar] [CrossRef]
- Ivorra, S.; Torres, B.; Baeza, F.J.; Bru, D. In-Plane Shear Cyclic Behavior of Windowed Masonry Walls Reinforced with Textile Reinforced Mortars. Eng. Struct. 2021, 226, 111343. [Google Scholar] [CrossRef]
- Torres, B.; Ivorra, S.; Javier Baeza, F.; Estevan, L.; Varona, B. Textile Reinforced Mortars (TRM) for Repairing and Retrofitting Masonry Walls Subjected to in-Plane Cyclic Loads. An Experimental Approach. Eng. Struct. 2021, 231, 111742. [Google Scholar] [CrossRef]
- Meriggi, P.; Caggegi, C.; Gabor, A.; de Felice, G. Shear-Compression Tests on Stone Masonry Walls Strengthened with Basalt Textile Reinforced Mortar (TRM). Constr. Build. Mater. 2022, 316, 125804. [Google Scholar] [CrossRef]
- Garcia-Ramonda, L.; Pelà, L.; Roca, P.; Camata, G. Cyclic Shear-Compression Testing of Brick Masonry Walls Repaired and Retrofitted with Basalt Textile Reinforced Mortar. Compos. Struct. 2022, 283, 115068. [Google Scholar] [CrossRef]
- Dong, F.; Wang, H.; Jiang, F.; Xing, Q.; Yu, J. In-Plane Shear Behavior of Masonry Panels Strengthened with Ultra-High Ductile Concrete (UHDC). Eng. Struct. 2022, 252, 113609. [Google Scholar] [CrossRef]
- Liu, X.; Guo, Z.; Hu, Y.; Li, G. Study on Shear Behavior of Stone Masonry Joints Strengthened with Polymer Mortar. J. Earthq. Eng. Eng. Vib. 2010, 30, 106–111. (In Chinese) [Google Scholar]
- Yao, X.; Guo, Z.-X.; Basha, S.H.; Huang, Q. Innovative Seismic Strengthening of Historic Masonry Walls Using Polymer Mortar and Steel Strips. Eng. Struct. 2021, 228, 111507. [Google Scholar] [CrossRef]
- Somarathna, H.M.C.C.; Raman, S.N.; Mohotti, D.; Mutalib, A.A.; Badri, K.H. The Use of Polyurethane for Structural and Infrastructural Engineering Applications: A State-of-the-Art Review. Constr. Build. Mater. 2018, 190, 995–1014. [Google Scholar] [CrossRef]
- Davidson, J.S.; Porter, J.R.; Dinan, R.J.; Hammons, M.I.; Connell, J.D. Explosive Testing of Polymer Retrofit Masonry Walls. J. Perform. Constr. Facil. 2004, 18, 100–106. [Google Scholar] [CrossRef]
- Davidson, J.S.; Fisher, J.W.; Hammons, M.I.; Porter, J.R.; Dinan, R.J. Failure Mechanisms of Polymer-Reinforced Concrete Masonry Walls Subjected to Blast. J. Struct. Eng. 2005, 131, 1194–1205. [Google Scholar] [CrossRef]
- Hrynyk, T.D.; Myers, J.J. Out-of-Plane Behavior of URM Arching Walls with Modern Blast Retrofits: Experimental Results and Analytical Model. J. Struct. Eng. 2008, 134, 1589–1597. [Google Scholar] [CrossRef]
- GB/T 528-2009; Rubber, Vulcanized or Thermoplastic—Determination of Tensile Stress-Strain Properties. Standards Press of China: Beijing, China, 2009. (In Chinese)
- GB/T 2542-2012; Test Methods for Wall Bricks. Standards Press of China: Beijing, China, 2012. (In Chinese)
- JGJ/T 70-2009; Standard for Test Method of Basic Properties of Construction Mortar. China Architecture & Building Press: Beijing, China, 2009. (In Chinese)
- GB/T50129-2011; Standard for Test Method of Basic Mechanics Properties of Masonry. Standards Press of China: Beijing, China, 2011. (In Chinese)
- Tian, Y.; Huang, Q.; Liu, Y.; Liu, Y. Experimental Study on Diagonal Compression Performance of Sprayed Polyurethane Elastomer Brick Masonry Wall. Earthq. Resist. Eng. Retrofit. 2022, 44, 79–87. (In Chinese) [Google Scholar]
- Shabdin, M.; Zargaran, M.; Attari, N.K.A. Experimental Diagonal Tension (Shear) Test of Un-Reinforced Masonry (URM) Walls Strengthened with Textile Reinforced Mortar (TRM). Constr. Build. Mater. 2018, 164, 704–715. [Google Scholar] [CrossRef]
- Schreier, H.W.; Orteu, J.-J.; Sutton, M.A. Image Correlation for Shape, Motion and Deformation Measurements: Basic Concepts, Theory and Applications; Springer: Boston, MA, USA, 2009. [Google Scholar]
- Liu, Y.; Guo, Z.; Liu, X.; Chicchi, R.; Shahrooz, B. An Innovative Resilient Rocking Column with Replaceable Steel Slit Dampers: Experimental Program on Seismic Performance. Eng. Struct. 2019, 183, 830–840. [Google Scholar] [CrossRef]
















| Sample Groups a | No. of Coupons | Elastic Modulus | Tensile Strength | Elongation at Fracture | |||
|---|---|---|---|---|---|---|---|
| Mean (MPa) | COV (%) | Mean (MPa) | COV (%) | Mean | COV (%) | ||
| I | 10 | 63.0 | 10.5% | 11.3 | 8.4% | 5.0 | 7.3% |
| II | 8 | 44.8 | 14.1% | 12.4 | 11.2% | 4.7 | 13.1% |
| III | 11 | 29.3 | 9.1% | 11.5 | 9.4% | 6.6 | 7.1% |
| Overall | 29 b | 45.2 | 34.0% | 11.7 | 10.0% | 5.5 | 17.0% |
| Specimen ID | Description | Strengthening Details | |
|---|---|---|---|
| Technique | Polyurethane Thickness | ||
| MW-U | Control | -- | -- |
| MW-S | Strengthened | Single-side spraying | 3~4 mm |
| MW-D | Strengthened | Double-side spraying | 3~4 mm |
| Material Properties | No. of Samples | Mean (MPa) | COV (%) |
|---|---|---|---|
| Brick | |||
| Compressive strength | 9 | 26.37 | 9.4 |
| Mortar | |||
| Compressive strength | 6 | 2.27 | 2.9 |
| Masonry | |||
| Shear bond strength | 9 | 0.13 | 63.2 |
| Compressive strength | 6 | 4.08 | 17.9 |
| Shear strength | 2 | 0.17 | 1.8 |
| Specimen | Δy (mm) | Δm (mm) | Δu (mm) | Pm (kN) | K1st | Edc, final | ||||
|---|---|---|---|---|---|---|---|---|---|---|
| Push | Pull | Push | Pull | Push | Pull | Push | Pull | (kN/mm) | (kNm) | |
| BW-U | 1.48 | 0.96 | 3.85 | 3.74 | 8.07 | 7.99 | 275.6 | 245.5 | 122.4 | 16.6 |
| BW-S | 4.46 | 1.76 | 7.85 | 8.01 | 12.54 | 13.21 | 325.5 | 298.8 | 125.0 | 102.0 |
| BW-D | 2.02 | 2.11 | 5.88 | 5.58 | 16.49 | 16.52 | 303.8 | 264.8 | 109.9 | 112.7 |
Disclaimer/Publisher’s Note: The statements, opinions and data contained in all publications are solely those of the individual author(s) and contributor(s) and not of MDPI and/or the editor(s). MDPI and/or the editor(s) disclaim responsibility for any injury to people or property resulting from any ideas, methods, instructions or products referred to in the content. |
© 2023 by the authors. Licensee MDPI, Basel, Switzerland. This article is an open access article distributed under the terms and conditions of the Creative Commons Attribution (CC BY) license (https://creativecommons.org/licenses/by/4.0/).
Share and Cite
Chen, H.; Liu, Y.; Tian, Y.; Huang, Q. Mechanical and Deformation Performance of Masonry Walls with Low-Strength Mortar Retrofitting Using Spray-on Polyurethane Coating. Buildings 2023, 13, 2470. https://doi.org/10.3390/buildings13102470
Chen H, Liu Y, Tian Y, Huang Q. Mechanical and Deformation Performance of Masonry Walls with Low-Strength Mortar Retrofitting Using Spray-on Polyurethane Coating. Buildings. 2023; 13(10):2470. https://doi.org/10.3390/buildings13102470
Chicago/Turabian StyleChen, Hai, Yang Liu, Ying Tian, and Qunxian Huang. 2023. "Mechanical and Deformation Performance of Masonry Walls with Low-Strength Mortar Retrofitting Using Spray-on Polyurethane Coating" Buildings 13, no. 10: 2470. https://doi.org/10.3390/buildings13102470
APA StyleChen, H., Liu, Y., Tian, Y., & Huang, Q. (2023). Mechanical and Deformation Performance of Masonry Walls with Low-Strength Mortar Retrofitting Using Spray-on Polyurethane Coating. Buildings, 13(10), 2470. https://doi.org/10.3390/buildings13102470

