Seismic Assessment and Retrofit of Pre-Northridge High Rise Steel Moment Resisting Frame Buildings with Bilinear Oil Dampers
Abstract
1. Introduction
2. Prototype Tall Building
3. Nonlinear Building Model
4. Seismic Performance Assessment of the Prototype Tall Building per ASCE-41
4.1. Nonlinear Static Analysis
4.2. Nonlinear Response History Analysis
4.2.1. Ground Motion Selection
4.2.2. Assessment of Global Engineering Demand Parameters
4.2.3. Assessment of Local Engineering Demand Parameters
4.3. Column Splice Demands
5. Retrofit Solutions
5.1. Design Objectives for Retrofit
5.2. Bilinear Oil Dampers
5.3. Multi-Degree-of-Freedom Performance Curves
5.4. Design of Bilinear Oil Dampers
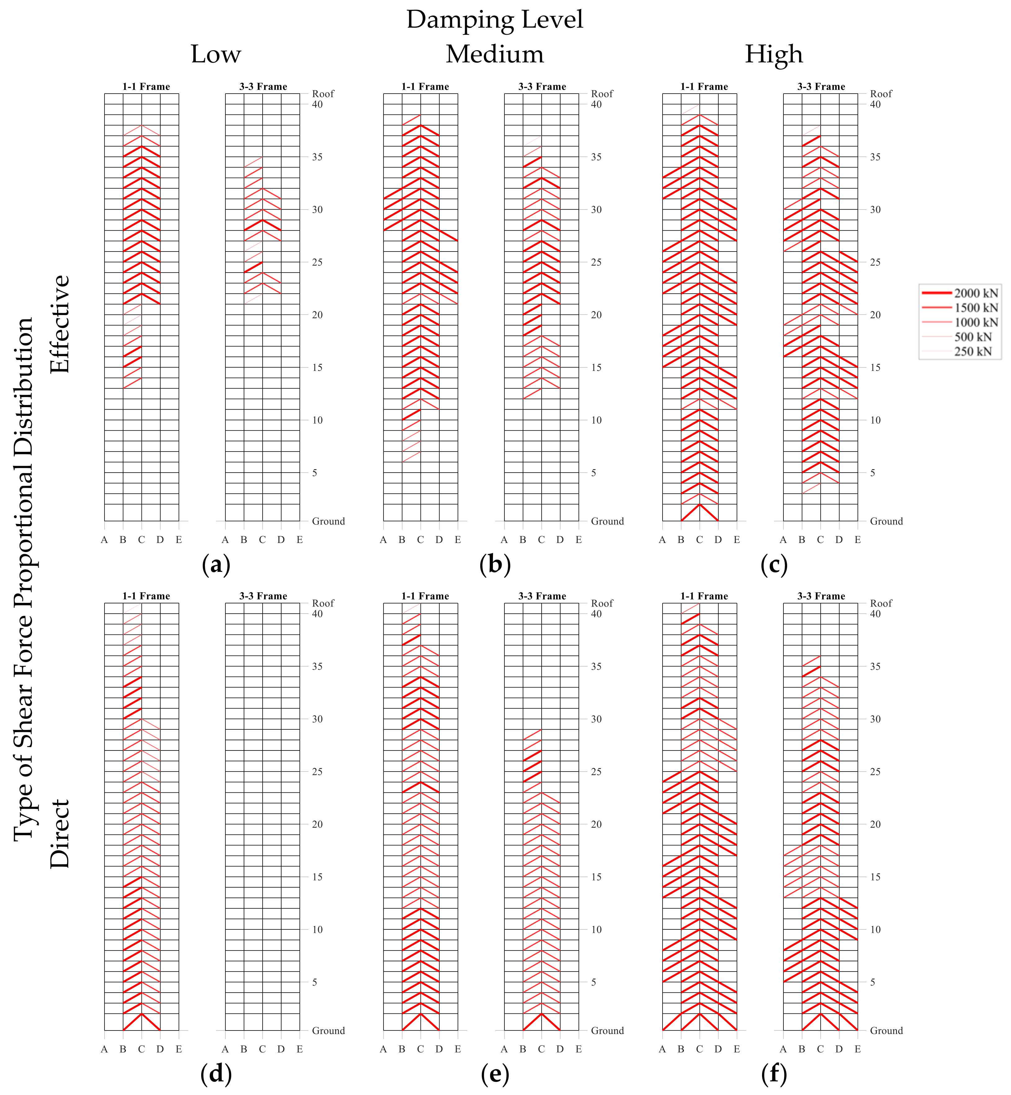
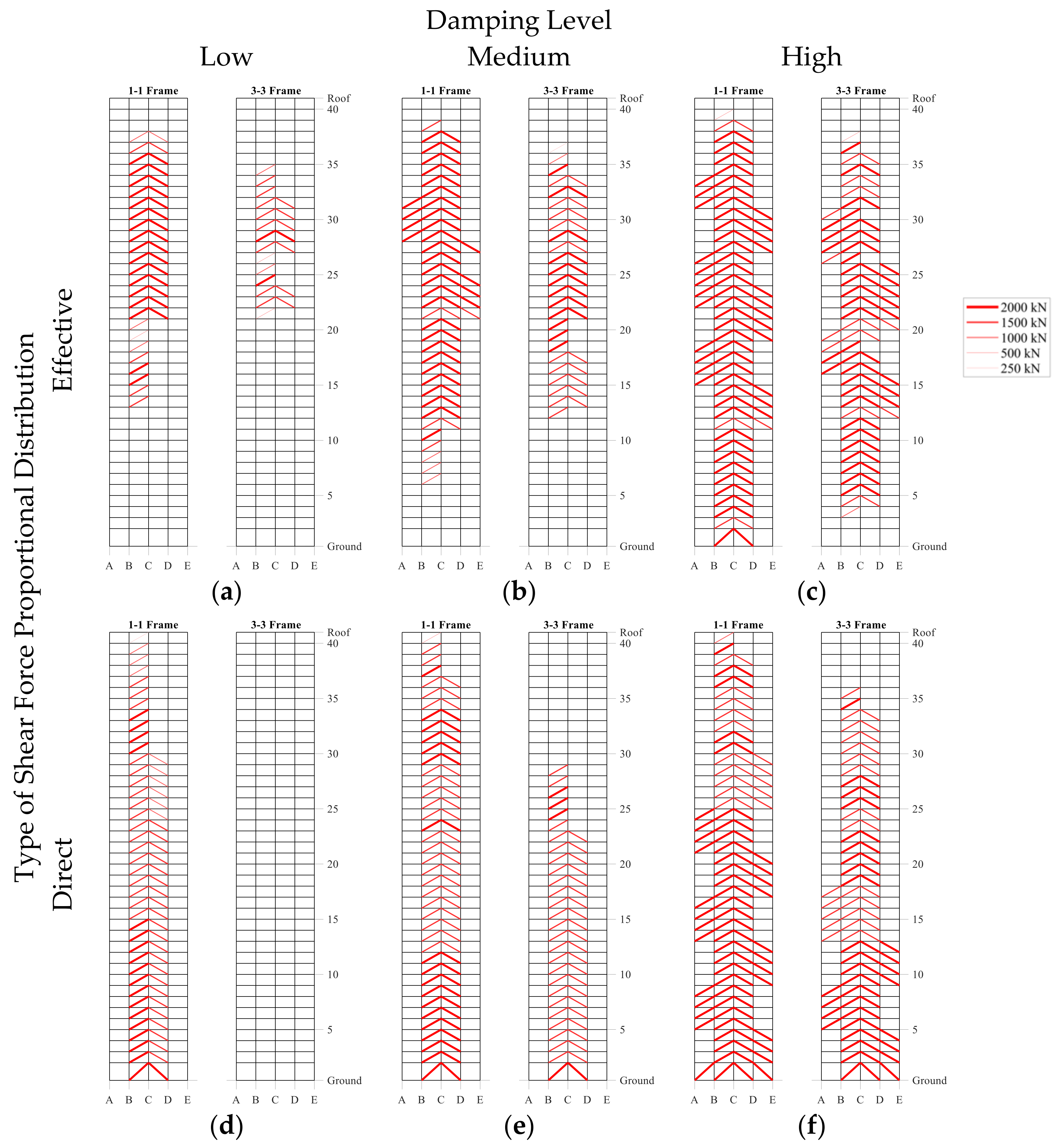
5.5. Effect of Vertical Damping Distribution
Balanced Vertical Damping Distribution
6. Proposed Retrofit Solution
6.1. Seismic Assessment of the Retrofitted Building
6.2. Local Engineering Demand Parameters
6.2.1. Beam Plastic Rotational Demands
6.2.2. Column Axial Load Demands
6.2.3. Column Splice Demands
6.2.4. Damper Stroke, Post-Relief Velocity Ratios and Forces
7. Summary and Conclusions
- Existing tall buildings are likely to have a high collapse risk based on the regional seismic hazard due to lack of capacity design principles as well as inadequate structural detailing at the time of construction. The 40-story building examined as part of the present study had a probability of collapse of 72% at the BSE-2E level;
- Bottom story exterior columns are likely to experience high compressive and tensile force demands due to dynamic overturning effects. Particularly, the compressive force demands may reach up to the expected column yield strength. For the examined 40-story building, the axial load demands ranged, on average, from 0.8 Pye,c in compression to 0.3 Tye,c in tension. Conversely, interior columns within the same stories experience compressive axial forces up to 0.5 Pye,c;
- The simulation results suggest that there is no significant difference in column axial loads between the BSE-1E and BSE-2E seismic intensities. Unless the reduction in SDRs is considerable, depending on the employed retrofit solution, the column axial load demands are likely to remain high at the BSE-2E;
- Up to about 35% of the column splices were likely to experience brittle fractures at the BSE-2E seismic intensity. On the other hand, a considerable number of interior column splices are not susceptible to fracture;
- Oil dampers with relief valves were employed for the seismic retrofit of the examined building. The damper design was carried out by using the MDF performance curves method. Multiple retrofit solutions were exploited. A damping distribution method was proposed, and a detailed seismic performance assessment of the retrofitted building was carried out via NRHA. The main findings are summarized as follows:
- For retrofits where the steel MRF still exhibits inelastic behavior, the effective shear force proportional damping distribution is the most inefficient retrofit solution that causes damage concentration at stories where dampers are not provided, particularly at low and medium damping levels;
- For the retrofitted 40-story building, the proposed balanced shear force proportional damping distribution method provided the most uniform peak SDR distribution, while at the medium damping level the probability of collapse reduced from 72% to 10% at the BSE-2E hazard level. The peak SDRs were mostly concentrated in the bottom stories;
- At the BSE-2E hazard level, high axial force demands in the upper story columns of the non-retrofitted building were minimized after the implementation of the seismic retrofit solution. Conversely, compressive and tensile forces in the bottom exterior columns were not reduced. Furthermore, the damper installation led to an increase in the interior column forces. However, the difference in forces at mid-interior columns was minimal due to the inverted-V damper configuration;
- On average, about 27% of column splices were found to be vulnerable at the BSE-2E hazard level. Tensile stresses at upper story column splices were reduced. The opposite was observed in the bottom story exterior columns. It is recommended to strengthen the exterior column splices at the lower half of the building as well as the first story columns;
- At the BSE-E hazard level, the median peak damper displacements were less than 50% of the damper stroke limits. Although the median values of the peak post-relief velocity ratio were between 2.3 to 9.8, the corresponding damper forces were not large. This underscores the main advantage of utilizing bilinear oil dampers for seismic retrofit applications;
Author Contributions
Funding
Data Availability Statement
Conflicts of Interest
References
- Almufti, I.; Hutt, C.M.; Willford, M.; Deierlein, G. Seismic assessment of typical 1970s tall steel moments frame buildings in downtown San Francisco. In Proceedings of the 15th World Conference of Earthquake Engineering, Lisbon, Portugal, 24–28 September 2012. [Google Scholar]
- ICBO. Uniform Building Code (UBC) 73; International Conference of Buildings Officials: Whittier, CA, USA, 1973. [Google Scholar]
- Gupta, A.; Krawinkler, H. Estimation of seismic drift demands for frame structures. Earthq. Eng. Struct. Dyn. 2000, 29, 1287–1305. [Google Scholar] [CrossRef]
- Lee, K.; Foutch, D.A. Seismic performance evaluation of pre-Northridge steel frame buildings with brittle connections. J. Struct. Eng. 2002, 128, 546–555. [Google Scholar] [CrossRef]
- Hall, J.F.; Heaton, T.H.; Halling, M.W.; Wald, D.J. Near-source ground motion and its effects on flexible buildings. Earthq. Spectra 1995, 11, 569–605. [Google Scholar] [CrossRef]
- Muto, M.; Krishnan, S. Hope for the best, prepare for the worst: Response of tall steel buildings to the ShakeOut scenario earthquake. Earthq. Spectra 2011, 27, 375–398. [Google Scholar] [CrossRef]
- Luco, N.; Cornell, C.A. Effects of connection fractures on SMRF seismic drift demands. J. Struct. Eng. 2000, 126, 127–136. [Google Scholar] [CrossRef]
- Maison, B.F.; Bonowitz, D. How safe are pre-Northridge WSMFs? A case study of the SAC Los Angeles nine-story building. Earthq. Spectra 1999, 15, 765–789. [Google Scholar] [CrossRef]
- Bech, D.; Tremayne, B.; Houston, J. Proposed changes to steel column evaluation criteria for existing buildings. In Proceedings of the Improving the Seismic Performance of Existing Buildings and Other Structures, San Francisco, CA, USA, 10–12 December 2015; American Society of Civil Engineers (ASCE): Reston, VA, USA, 2015; pp. 255–272. [Google Scholar]
- Hutt, C.M.; Almufti, I.; Willford, M.; Deierlein, G. Seismic loss and downtime assessment of existing tall steel-framed buildings and strategies for increased resilience. J. Struct. Eng. 2016, 142, C4015005. [Google Scholar] [CrossRef]
- Lai, J.-W.; Schoettler, M.; Wang, S.; Mahin, S. Seismic Evaluation and Retrofit of Existing Tall Buildings in California: Case Study of a 35-Story Steel Moment Resisting Frame Building in San Francisco; Pacific Earthquake Engineering Research Center Headquarters at the University of California: Berkeley, CA, USA, 2015. [Google Scholar]
- Molina Hutt, C.; Zahedimazandarani, S.; Marafi, N.A.; Berman, J.W.; Eberhard, M.O. Collapse risk of pre-Northridge tall steel moment-resisting frames in the Seattle basin during large-magnitude subduction earthquakes. Eng. Struct. 2021, 244, 112751. [Google Scholar] [CrossRef]
- Wang, S.; Lai, J.-W.; Schoettler, M.J.; Mahin, S.A. Seismic assessment of existing tall buildings: A case study of a 35-story steel building with pre-Northridge connection. Eng. Struct. 2017, 141, 624–633. [Google Scholar] [CrossRef]
- Bjornsson, A.B. A Retrofitting Framework for Pre-Northridge Steel Moment-Frame Buildings; California Institute of Technology: Pasadena, CA, USA, 2014. [Google Scholar]
- Constantinou, M.; Symans, M.; Tsopelas, P.; Taylor, D. Fluid viscous dampers in applications of seismic energy dissipation and seismic isolation. Proc. ATC 17-1 Semin. Seism. Isol. Passiv. Energy Dissipation Act. Control. 1993, 2, 581–592. [Google Scholar]
- Uriz, P.; Whittaker, A.S. Retrofit of pre-Northridge steel moment-resisting frames using fluid viscous dampers. Struct. Des. Tall Build. 2001, 10, 371–390. [Google Scholar] [CrossRef]
- Symans, M.; Charney, F.; Whittaker, A.; Constantinou, M.; Kircher, C.; Johnson, M.; McNamara, R. Energy dissipation systems for seismic applications: Current practice and recent developments. J. Struct. Eng. 2008, 134, 3–21. [Google Scholar] [CrossRef]
- Malley, J.O.; Sinclair, M.; Graf, T.; Blaney, C.; Ahmed, T. Incorporation of full-scale testing and nonlinear connection analyses into the seismic upgrade of a 15-story steel moment frame building. Struct. Des. Tall Spec. Build. 2011, 20, 472–481. [Google Scholar] [CrossRef]
- Symans, M.D.; Constantinou, M.C. Passive fluid viscous damping systems for seismic energy dissipation. ISET J. Earthq. Technol. 1998, 35, 185–206. [Google Scholar]
- Fujita, K.; Wataya, R.; Takewaki, I. Robust optimal damper placement of nonlinear oil dampers with uncertainty using critical double impulse. Front. Built Environ. 2021, 7, 118. [Google Scholar] [CrossRef]
- Takewaki, I.; Akehashi, H. Comprehensive review of optimal and smart design of nonlinear building structures with and without passive dampers subjected to earthquake loading. Front. Built Environ. 2021, 7, 631114. [Google Scholar] [CrossRef]
- Kasai, K.; Ito, H.; Ogura, T. Passive control design method based on tuning of equivalent stiffness of bilinear oil dampers. J. Struct. Constr. Eng. 2008, 73, 1281–1288. [Google Scholar] [CrossRef][Green Version]
- Takewaki, I. Building Control with Passive Dampers: Optimal Performance-Based Design for Earthquakes; John Wiley & Sons (Asia) Pte. Ltd.: Hoboken, NJ, USA, 2009. [Google Scholar]
- De Domenico, D.; Ricciardi, G.; Takewaki, I. Design strategies of viscous dampers for seismic protection of building structures: A review. Soil Dyn. Earthq. Eng. 2019, 118, 144–165. [Google Scholar] [CrossRef]
- Kasai, K.; Mita, A.; Kitamura, H.; Matsuda, K.; Morgan, T.A.; Taylor, A.W. Performance of seismic protection technologies during the 2011 Tohoku-Oki Earthquake. Earthq. Spectra 2013, 29, S265–S293. [Google Scholar] [CrossRef]
- ASCE/SEI 7-16; Minimum Design Loads for Buildings and Other Structures. American Society of Civil Engineers: Reston, VA, USA, 2016.
- ASCE/SEI 41-17; Seismic Evaluation and Retrofit of Existing Buildings. American Society of Civil Engineers: Reston, VA, USA, 2017.
- LATBSDC. An Alternative Procedure for Seismic Analysis and Design of Tall Buildings Located in the Los Angeles Region; Los Angeles Tall Buildings Structural Design Council: Los Angeles, CA, USA, 2014. [Google Scholar]
- CTBUH. Recommendations for the Seismic Design of High-Rise Buildings; Council on Tall Buildings and Urban Habitat Seismic Working Group: Chicago, IL, USA, 2008. [Google Scholar]
- PEER. Guidelines for Performance-Based Seismic Design of Tall Buildings; Pacific Earthquake Engineering Research Center, University of California: Berkeley, CA, USA, 2010. [Google Scholar]
- Galasso, C.; Stillmaker, K.; Eltit, C.; Kanvinde, A. Probabilistic demand and fragility assessment of welded column splices in steel moment frames. Earthq. Eng. Struct. Dyn. 2015, 44, 1823–1840. [Google Scholar] [CrossRef]
- Stillmaker, K.; Kanvinde, A.; Galasso, C. Fracture mechanics-based design of column splices with partial joint penetration welds. J. Struct. Eng. 2016, 142, 04015115. [Google Scholar] [CrossRef]
- Anderson, J.; Bertero, V. Seismic response of a 42-story steel building. In The Loma Prieta, California, Earthquake of October 17, 1989: Performance of the Built Environment, Building Structures; USGS: Reston, VA, USA, 1989; Paper 1552-C; pp. c113–c140. [Google Scholar]
- FEMA. NEHRP Recommended Provisions for Seismic Regulations for New Buildings and Other Structures; FEMA 368; Federal Emergency Management Agency: Washington, DC, USA, 2001.
- Johnston, R.G. Design methods based on stiffness: Drift criteria. In Proceedings of the International Conference on Planning and Design of Tall Buildings Vol II: Structural Design of Tall Steel Buildings, Bethlehem, PA, USA, 21–26 August 1972; pp. 635–641. [Google Scholar]
- Bruneau, M.; Mahin, S. Ultimate behavior of heavy steel section welded splices and design implications. J. Struct. Eng. 1990, 116, 2214–2235. [Google Scholar] [CrossRef]
- AISC. Specification for the Design, Fabrication & Erection of Structural Steel for Buildings; American Insitute of Steel Construction: New York, NY, USA, 1969. [Google Scholar]
- Computers and Structures, Inc. (CSI), ETABS, Version 9.7.4; Extended 3D analysis of building systems; Computer and Structures: Berkeley, CA, USA, 2011. [Google Scholar]
- Akcelyan, S. Seismic Retrofit of Existing Steel Tall Buildings with Supplemental Damping Devices. Ph.D. Dissertation, McGill University, Montreal, QC, Canada, 2017. [Google Scholar]
- ASCE/SEI 41-13; Seismic Evaluation and Retrofit of Existing Buildings. American Society of Civil Engineers: Reston, VA, USA, 2014.
- McKenna, F.T. Object-Oriented Finite Element Programming: Frameworks for Analysis, Algorithms and Parallel Computing. Ph.D. Dissertation, University of California, Berkeley, CA, USA, 1997. [Google Scholar]
- Ibarra, L.F.; Medina, R.A.; Krawinkler, H. Hysteretic models that incorporate strength and stiffness deterioration. Earthq. Eng. Struct. Dyn. 2005, 34, 1489–1511. [Google Scholar] [CrossRef]
- Hartloper, A.R. Updates to the ASCE-41-13 Nonlinear Modelling Provisions for Performance-Based Seismic Assessment of New and Existing Steel Moment Resisting Frames. Master’s Dissertation, McGill University, Montreal, QC, Canada, 2016. [Google Scholar]
- Lignos, D.G.; Krawinkler, H. Deterioration modeling of steel components in support of collapse prediction of steel moment frames under earthquake loading. J. Struct. Eng. 2011, 137, 1291–1302. [Google Scholar] [CrossRef]
- Youssef, N.F.; Bonowitz, D.; Gross, J.L. A Survey of Steel Moment-Resisting Frame Buildings Affected by the 1994 Northridge Earthquake; US National Institute of Standards and Technology: Gaithersburg, MD, USA, 1995.
- Menegotto, M.; Pinto, P.E. Method of analysis for cyclically loaded reinforced concrete plane frames including changes in geometry and non-elastic behaviour of elements under combined normal force and bending. In Proceedings of the IABSE Symposium on Resistance and Ultimate Deformability of Structures Acted on by Well Defined Repeated Loads, Lisbon, Portugal, 13–14 September 1973; pp. 15–22. [Google Scholar]
- Lignos, D.; Krawinkler, H. A steel database for component deterioration of tubular hollow square steel columns under varying axial load for collapse assessment of steel structures under earthquakes. In Proceedings of the 7th International Conference on Urban Earthquake Engineering (7CUEE) &5th International Conference on Earthquake Engineering (5ICEE), Tokyo, Japan, 3–5 March 2010; Tokyo Institute of Technology: Tokyo, Japan, 2010. [Google Scholar]
- Gupta, A.; Krawinkler, H. Seismic Demands for the Performance Evaluation of Steel Moment Resisting Frame Structures; Stanford University: Stanford, CA, USA, 1999. [Google Scholar]
- Krawinkler, H. Shear in beam-column joints in seismic design of steel frames. Eng. J. 1978, 15, 82–91. [Google Scholar]
- Elkady, A.; Lignos, D.G. Modeling of the composite action in fully restrained beam-to-column connections: Implications in the seismic design and collapse capacity of steel special moment frames. Earthq. Eng. Struct. Dyn. 2014, 43, 1935–1954. [Google Scholar] [CrossRef]
- Adam, C.; Ibarra, L.F.; Krawinkler, H. Evaluation of P-delta effects in non-deteriorating MDOF structures from equivalent SDOF systems. In Proceedings of the The 13th World Conference on Earthquake Engineering, Vancouver, BC, Canada, 1–6 August 2004. [Google Scholar]
- Krawinkler, H. Importance of good nonlinear analysis. Struct. Des. Tall Spec. Build. 2006, 15, 515–531. [Google Scholar] [CrossRef]
- Krawinkler, H.; Seneviratna, G.D.P.K. Pros and cons of a pushover analysis of seismic performance evaluation. Eng. Struct. 1998, 20, 452–464. [Google Scholar] [CrossRef]
- PEER/ATC. Modeling and Acceptance Criteria for Seismic Design and Analysis of Tall Buildings; PEER/ATC 72-1; Applied Technology Council, Redwood City, Pacific Earthquake Engineering Center: Berkeley, CA, USA, 2010. [Google Scholar]
- NIST. Selecting and Scaling Earthquake Ground Motions for Performing Response History Analysis; Prepared by the NEHRP Consultants Joint Venture for the National Institute of Standards and Technology; NEHRP Consultants Joint Venture: Gaithersburg, MD, USA, 2010. [Google Scholar]
- Ancheta, T.D.; Darragh, R.B.; Stewart, J.P.; Seyhan, E.; Silva, W.J.; Chiou, B.S.-J.; Wooddell, K.E.; Graves, R.W.; Kottke, A.R.; Boore, D.M.; et al. NGA-West2 Database. Earthq. Spectra 2014, 30, 989–1005. [Google Scholar] [CrossRef]
- Pekelnicky, R.; Malley, J.O. Seismic performance of tall steel framed buildings built between 1960–1994. In Proceedings of the Proceedings 2019 SEAOC Convention, Squaw Creek, CA, USA, 28–31 August 2019. [Google Scholar]
- Wang, S.; Mahin, S.A. High-performance computer-aided optimization of viscous dampers for improving the seismic performance of a tall building. Soil Dyn. Earthq. Eng. 2018, 113, 454–461. [Google Scholar] [CrossRef]
- Akcelyan, S.; Lignos, D. A practical method for seismic retrofit of tall buildings with supplemental damping. In Proceedings of the 12th Canadian Conference on Earthquake Engineering (12CCEE), Quebec, QC, Canada, 17–20 June 2019. [Google Scholar]
- ASCE/SEI 7–10; Minimum Design Loads for Buildings and Other Structures. American Society of Civil Engineers: Reston, VA, USA, 2010.
- Constantinou, M.; Tsopelas, P.; Hammel, W.; Sigaher, A. Toggle-brace-damper seismic energy dissipation systems. J. Struct. Eng. 2001, 127, 105–112. [Google Scholar] [CrossRef]
- Hwang, J.-S.; Lin, W.-C.; Wu, N.-J. Comparison of distribution methods for viscous damping coefficients to buildings. Struct. Infrastruct. Eng. 2013, 9, 28–41. [Google Scholar] [CrossRef]
- Liang, Z.; Lee, G.C.; Dargush, G.F. Structural Damping: Applications in Seismic Response Modification; CRC Press: Boca Raton, FL, USA, 2011. [Google Scholar]
- Akcelyan, S.; Lignos, D.G.; Hikino, T. Adaptive numerical method algorithms for nonlinear viscous and bilinear oil damper models subjected to dynamic loading. Soil Dyn. Earthq. Eng. 2018, 113, 488–502. [Google Scholar] [CrossRef]
- NIST. Evaluation of the FEMA P695 Methodology for Quantification of Building Seismic Performance Factors; NIST GCR 10-917-8; NEHRP Consultants Joint Venture: Gaithersburg, MD, USA, 2010. [Google Scholar]



















| Case | βeff [%] | |||
|---|---|---|---|---|
| Bare frame | - | - | 1.5 | |
| Low damping | 0.25 | 1.0 | 2.0 | 7.4 |
| Medium damping | 0.5 | 2.0 | 1.5 | 13.3 |
| High damping | 1.0 | 4.0 | 1.2 | 22.2 |
Disclaimer/Publisher’s Note: The statements, opinions and data contained in all publications are solely those of the individual author(s) and contributor(s) and not of MDPI and/or the editor(s). MDPI and/or the editor(s) disclaim responsibility for any injury to people or property resulting from any ideas, methods, instructions or products referred to in the content. |
© 2023 by the authors. Licensee MDPI, Basel, Switzerland. This article is an open access article distributed under the terms and conditions of the Creative Commons Attribution (CC BY) license (https://creativecommons.org/licenses/by/4.0/).
Share and Cite
Akcelyan, S.; Lignos, D.G. Seismic Assessment and Retrofit of Pre-Northridge High Rise Steel Moment Resisting Frame Buildings with Bilinear Oil Dampers. Buildings 2023, 13, 139. https://doi.org/10.3390/buildings13010139
Akcelyan S, Lignos DG. Seismic Assessment and Retrofit of Pre-Northridge High Rise Steel Moment Resisting Frame Buildings with Bilinear Oil Dampers. Buildings. 2023; 13(1):139. https://doi.org/10.3390/buildings13010139
Chicago/Turabian StyleAkcelyan, Sarven, and Dimitrios G. Lignos. 2023. "Seismic Assessment and Retrofit of Pre-Northridge High Rise Steel Moment Resisting Frame Buildings with Bilinear Oil Dampers" Buildings 13, no. 1: 139. https://doi.org/10.3390/buildings13010139
APA StyleAkcelyan, S., & Lignos, D. G. (2023). Seismic Assessment and Retrofit of Pre-Northridge High Rise Steel Moment Resisting Frame Buildings with Bilinear Oil Dampers. Buildings, 13(1), 139. https://doi.org/10.3390/buildings13010139

