Experimental and Numerical Study on Unreinforced Brick Masonry Walls Retrofitted with Sprayed Mortar under Uniaxial Compression
Abstract
1. Introduction
2. Sample Preparation
2.1. Masonry Samples
2.2. Mechanical Property Test Samples
3. Experimentation
3.1. Masonry Compression Tests
3.2. Mechanical Property Tests
4. Experimentation Result
4.1. Mechanical Property Tests Results
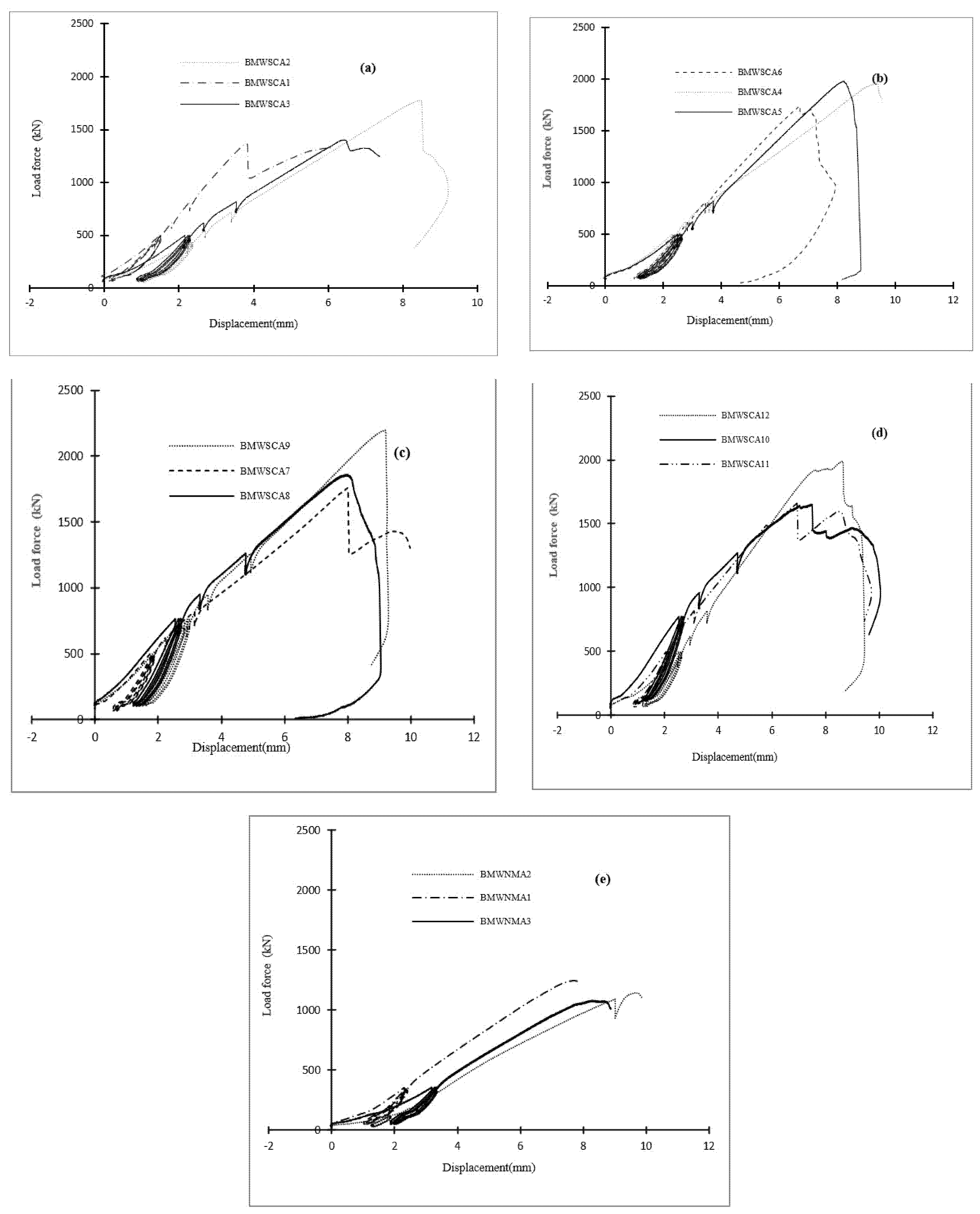
4.2. Masonry Test Results
4.3. Failure Modes
5. Finite Elements Analysis and Calibration
5.1. Models
5.2. Materials Setup
5.3. Solver, Interaction, and Mesh Setup
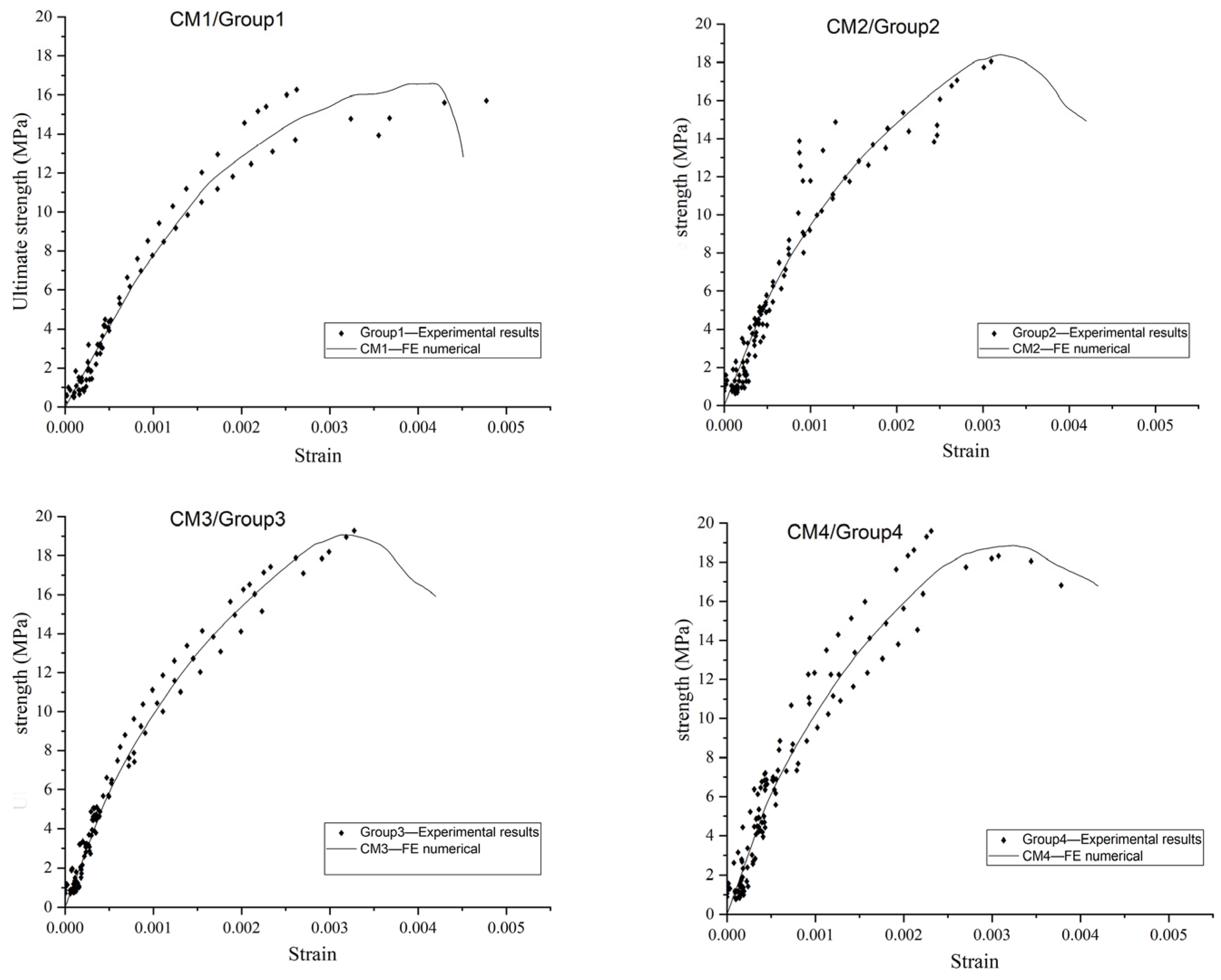
5.4. Calibration
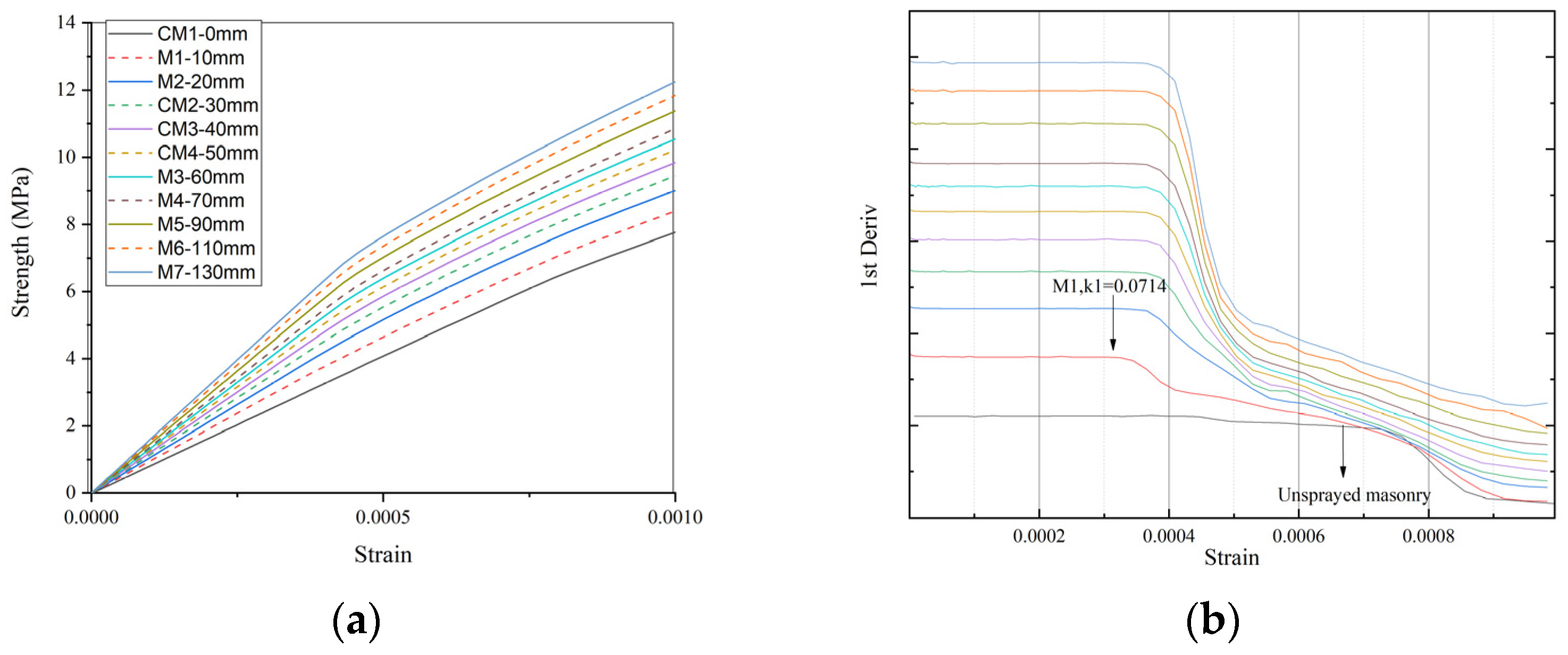
6. Results and Discussion
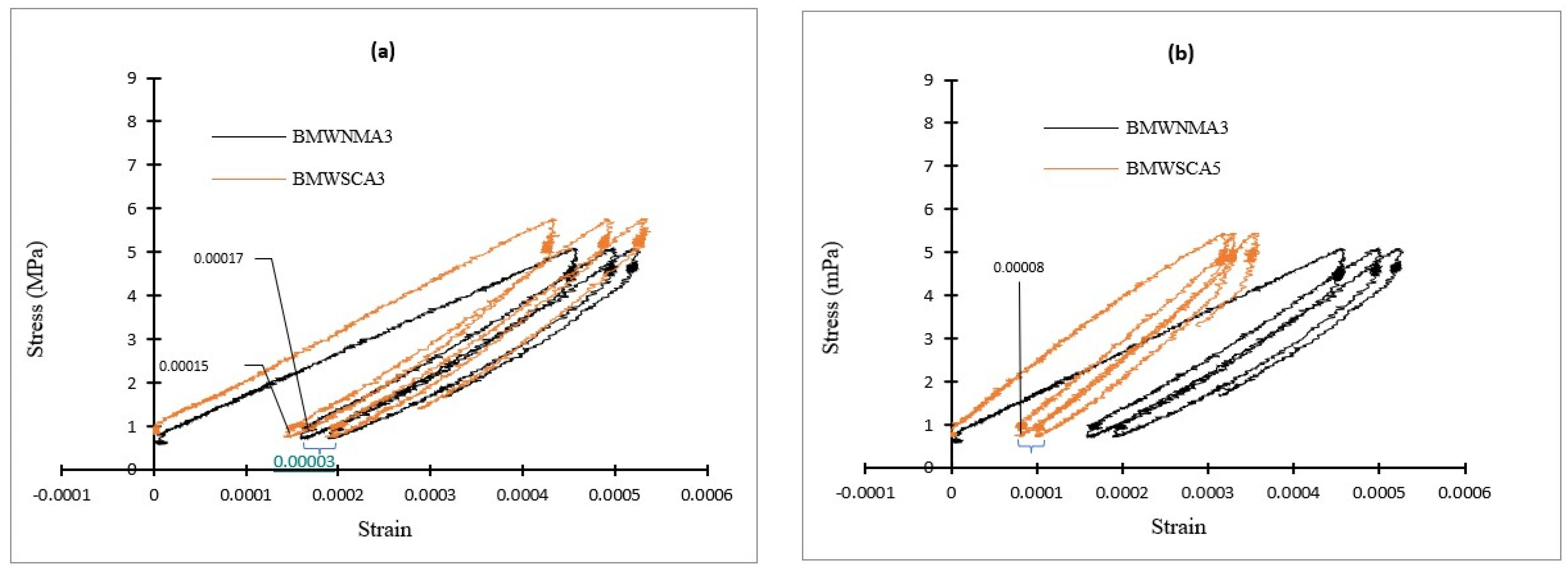
6.1. Elastic Modulus
6.2. Ultimate Strength
7. Conclusions
- Reinforcing masonry walls with sprayed mortar layers can increase the elastic modulus of composite walls. The reinforcement efficiency is proportional to the thickness of the layer. In this case, double-sided reinforcement is more effective than single-sided reinforcement in improving the elastic modulus.
- An elastic approach is proposed that fit well the behavior of the masonry wall in the elastic phase. It is also found that an over-thin sprayed layer reduces the range of the elastic phase of the composite wall. This phenomenon tends to stabilize with increasing thickness.
- Reinforcing the masonry wall with a sprayed mortar layer can increase the ultimate strength of the composite wall. The strengthening efficiency is proportional to the thickness of the layer after the critical sprayed layer thickness is reached; before this thickness, the sprayed layer would have a negative contribution to the ultimate strength. The ratio between the critical sprayed layer thickness and composite wall thickness is about 0.133.
- Considering economic issues, when the ratio-which is the sprayed thickness divided by the composite wall thickness-is greater than 0.133, and less than 0.303, the highest efficiency of the sprayed layer is achieved.
- When the ratio is greater than 0.133 and less than 0.303, and there is significant residual stress in the composite wall after the peak stress, such as strain hardening. This phenomenon gradually disappears with increasing thickness after the k1 ratio is greater than 0.303.
- Retrofitting masonry walls with sprayed mortar improves the cracking strain of the walls in the small deformation phase.
- In the elastic phase, the increase in the thickness of the spray layer linearly increases the elastic modulus of the composite. The slope is .
Author Contributions
Funding
Data Availability Statement
Acknowledgments
Conflicts of Interest
References
- Cornadó, C. Comportament Mecànic-Estructural dels Edificis Històrics de Murs d’obra de Fàbrica de Maó de l’Eixample de Barcelona. Ph.D. Thesis, Universitat Politècnica de Catalunya, Barcelona, Spain, 2015. [Google Scholar]
- Yavartanoo, F.; Kang, T.H.K. Retrofitting of Unreinforced Masonry Structures and Considerations for Heritage-Sensitive Constructions. J. Build. Eng. 2022, 49, 103993. [Google Scholar] [CrossRef]
- Austin, S. (Ed.) Sprayed Concrete Technology; CRC Press: Boca Raton, FL, USA, 2002; ISBN 9780429078644. [Google Scholar]
- Schlumpf, J.; Jahn, M. Sika Sprayed Concrete Handbook; Sika: Baar, Switzerland, 2011. [Google Scholar]
- Malmgren, L.; Nordlund, E.; Rolund, S. Adhesion Strength and Shrinkage of Shotcrete. Tunn. Undergr. Space Technol. 2005, 20, 33–48. [Google Scholar] [CrossRef]
- Prudencio, P.R., Jr. Accelerating Admixtures for Shotcrete. Cem. Concr. Compos. 1998, 20, 213–219. [Google Scholar] [CrossRef]
- Kahn, L. Shotcrete retrofit for unreinforced brick masonry. In Proceedings of the Eighth World Conference on Earthquake Engineering, San Francisco, CA, USA, 1 January 1984. [Google Scholar]
- Beushausen, H. The Influence of Concrete Substrate Preparation on Overlay Bond Strength. Mag. Concr. Res. 2010, 62, 845–852. [Google Scholar] [CrossRef]
- Cao, X.Y.; Feng, D.C.; Wang, Z.; Wu, G. Parametric Investigation of the Assembled Bolt-Connected Buckling-Restrained Brace and Performance Evaluation of Its Application into Structural Retrofit. J. Build. Eng. 2022, 48, 103988. [Google Scholar] [CrossRef]
- Shabdin, M.; Attari, N.K.A.; Zargaran, M. Experimental Study on Seismic Behavior of Un-Reinforced Masonry (URM) Brick Walls Strengthened with Shotcrete. Bull. Earthq. Eng. 2018, 16, 3931–3956. [Google Scholar] [CrossRef]
- Ghezelbash, A.; Beyer, K.; Dolatshahi, K.M.; Yekrangnia, M. Shake Table Test of a Masonry Building Retrofitted with Shotcrete. Eng. Struct. 2020, 219, 110912. [Google Scholar] [CrossRef]
- Lin, Y.; Lawley, D.; Wotherspoon, L.; Ingham, J.M. Out-of-Plane Testing of Unreinforced Masonry Walls Strengthened Using ECC Shotcrete. Structures 2016, 7, 33–42. [Google Scholar] [CrossRef]
- Keshava, M.; Raghunath, S.R. Experimental Investigations on Axially and Eccentrically Loaded Masonry Walls. J. Inst. Eng. Ser. A 2017, 98, 449–459. [Google Scholar] [CrossRef]
- BS EN 1052-1; 1999—Methods of Test for Masonry—Part 1: Determination of Compressive Strength. European Committee for Standardization: Brussels, Belgium, 1999; p. 11.
- EN 12390-5; Testing Hardened Concrete –Part 5: Flexural Strength of Test Specimens. European Committee for Standardization (CEN): Brussels, Belgium, 2019.
- CEN EN 1015-11; Methods of Test for Mortar for Masonry—Part 11: Determination of Flexural and Compressive Strength of Hardened Mortar. European Committee for Standardization: Brussels, Belgium, 1999; p. 12.
- Segura, J.; Pelà, L.; Roca, P. Monotonic and Cyclic Testing of Clay Brick and Lime Mortar Masonry in Compression. Constr. Build. Mater. 2018, 193, 453–466. [Google Scholar] [CrossRef]
- Thamboo, J.A.; Dhanasekar, M. Correlation between the Performance of Solid Masonry Prisms and Wallettes under Compression. J. Build. Eng. 2019, 22, 429–438. [Google Scholar] [CrossRef]
- Angiolilli, M.; Gregori, A.; Cattari, S. Performance of Fiber Reinforced Mortar Coating for Irregular Stone Masonry: Experimental and Analytical Investigations. Constr. Build. Mater. 2021, 294, 123508. [Google Scholar] [CrossRef]
- EN 1996-1-1; Eurocode 6: Design of Masonry Structures—Part 1-1: General Rules for Reinforced and Unreinforced Masonry Structures. European Committee for Standardization (CEN): Brussels, Belgium, 2005.
- EN 12390-13; Testing Hardened Concrete—Part 13: Determination of Secant Modulus of Elasticity in Compression. European Committee for Standardization (CEN): Brussels, Belgium, 2019.
- EN 12390-3; Testing Hardened Concrete—Part 3: Compressive Strength of Test Specimens. European Committee for Standardization (CEN): Brussels, Belgium, 2019.
- Page, A.W. Biaxial compressive strength of brick masonry. Proc. Inst. Civ. Eng. 1981, 71, 893–906. [Google Scholar] [CrossRef]
- Thamboo, J.A.; Dhanasekar, M. Behaviour of Thin Layer Mortared Concrete Masonry under Combined Shear and Compression. Aust. J. Struct. Eng. 2016, 17, 39–52. [Google Scholar] [CrossRef]
- De Oliveria, F.L.; De Hanai, J.B. Axial Compression Behavior of Concrete Masonry. Revista IBRACON de Estruturas e Materiais. 2008, 1, 158–170. [Google Scholar] [CrossRef]
- Systèmes, D. Abaqus v6. 12 Documentation-ABAQUS Analysis User’s Manual; Abaqus: Providence, RI, USA, 2012. [Google Scholar]
- Lubliner, J.; Oliver, J.; Oller, S.O.E. A Plastic-Damage Model for Concrete. Int. J. Solids Struct. Ing. Civ. Struct 1989, 25, 299–326. [Google Scholar] [CrossRef]
- Wang, X.; Lam, C.C.; Iu, V.P. Characterization of Mechanical Behaviour of Grey Clay Brick Masonry in China. Constr. Build. Mater. 2020, 262, 119964. [Google Scholar] [CrossRef]
- Wang, G.; Li, Y.; Zheng, N.; Ingham, J.M. Testing and Modelling the In-Plane Seismic Response of Clay Brick Masonry Walls with Boundary Columns Made of Precast Concrete Interlocking Blocks. Eng. Struct. 2017, 131, 513–529. [Google Scholar] [CrossRef]
- Bolhassani, M.; Hamid, A.A.; Lau, A.C.W.; Moon, F. Simplified Micro Modeling of Partially Grouted Masonry Assemblages. Constr. Build. Mater. 2015, 83, 159–173. [Google Scholar] [CrossRef]
- Funari, M.F.; Spadea, S.; Lonetti, P.; Fabbrocino, F.; Luciano, R. Visual Programming for Structural Assessment of Out-of-Plane Mechanisms in Historic Masonry Structures. J. Build. Eng. 2020, 31, 101425. [Google Scholar] [CrossRef]
- Kaushik, H.B.; Durgesh, C.; Rai, C.; Jain, S.K.; Asce, M. Stress-Strain Characteristics of Clay Brick Masonry under Uniaxial Compression. J. Mater. Civ. Eng. 2007, 19, 728–739. [Google Scholar] [CrossRef]
- Hao, H.; Tarasov, B.G. Experimental Study of Dynamic Material Properties of Clay Brick and Mortar at Different Strain Rates. Aust. J. Struct. Eng. Eng. Media 2008, 8, 117–132. [Google Scholar] [CrossRef]
- Karapitta, L.; Mouzakis, H.; Carydis, P. Explicit Finite-Element Analysis for the in-Plane Cyclic Behavior of Unreinforced Masonry Structures. Earthq. Eng. Struct. Dyn. 2011, 40, 175–193. [Google Scholar] [CrossRef]
- Dhanasekar, M.; Haider, W. Explicit Finite Element Analysis of Lightly Reinforced Masonry Shear Walls. Comput. Struct. 2008, 86, 15–26. [Google Scholar] [CrossRef]
- Kaw, A.K. Mechanics of Composite Materials; CRC Press: Boca Raton, FL, USA, 2005; ISBN 9780429125393. [Google Scholar]
- Azevedo, A.; Delgado, J.Q.; Guimarães, A.; Silva, F.A.; Oliveira, R. Compression Behaviour of Clay Bricks Prisms, Wallets and Walls—Coating Influence. Rev. Constr. 2019, 18, 123–133. [Google Scholar] [CrossRef]




















| Cement (kg/m3) | Water (kg/m3) | Silica Sand (kg/m3) | Polycarboxylate Plasticizer | Multifunctional Additive | |
|---|---|---|---|---|---|
| Masonry mortar | 260 | 280 | 1540 | - | - |
| Sprayed mortar | 350 | 140 | 1650 | 2.70% | 1.20% |
| Group | Sprayed Concrete Thickness | Units | Code |
|---|---|---|---|
| 1 | None | 3 | BMWNMA1 BMWNMA2 BMWNMA3 |
| 2 | 30 mm | 3 | BMWSCA1 BMWSCA2 BMWSCA3 |
| 3 | 40 mm | 3 | BMWSCA4 BMWSCA5 BMWSCA6 |
| 4 | 50 mm | 3 | BMWSCA7 BMWSCA8 BMWSCA9 |
| 5 | 30 mm (double face) | 3 | BMWSCA10 BMWSCA11 BMWSCA12 |
| Type | Sample Type | Test Content | Units | Code |
|---|---|---|---|---|
| 1 | Cylinder of sprayed mortar | Elastic modulus | 3 | smcsma2 smcsma3 smcsma4 |
| 2 | Cuboid of sprayed mortar | Compression and Flexural strength | 3 | smcusra1 smcusra2 smcusra3 |
| 3 | Cuboid of masonry mortar | Compression and Flexural strength | 3 | mcusra1 mcusra2 mcusra3 |
| Stage | Cycles | Steps | Rate (mm/min) | Time (min) | Load Related to P0 | Specimens Estimated Load P0 * (kN) | ||||
|---|---|---|---|---|---|---|---|---|---|---|
| BMWNMA1-3 | BMWNMA1-3 | BMWNMA4-6 | BMWNMA7-9 | BMWNMA10-12 | ||||||
| 1 | 3 | 1. Lower hold | - | 2 | ≈5% | 1000 | 1600 | 1800 | 2100 | 2300 |
| 2. Loading | 0.5 | - | 5–30% | |||||||
| 3. Higher hold | - | 2 | ≈30% | |||||||
| 4. Unloading | 0.5 | - | 30–5% | |||||||
| 2 | 1 | 1. Lower hold 4 | - | 2 | ≈5% | |||||
| 2. Loading 4 | 0.25 | - | 5–25% | |||||||
| 3. Hold 5 | - | 2 | ≈25% | |||||||
| 4. Loading 5 | 0.25 | - | 25–37.5% | |||||||
| 5. Hold 6 | - | 2 | ≈37.5% | |||||||
| 6. Loading 6 | 0.25 | - | 37.5–50% | |||||||
| 7. Hold 7 | - | 2 | ≈50% | |||||||
| 8. Final loading | 0.25 | - | 50–100% | |||||||
| (MPa) | (MPa) | (MPa) | |||
|---|---|---|---|---|---|
| smcsma2 | 0.000108 | 0.11 | 0.000517 | 8.81 | 21,252.16 |
| smcsma3 | 0.000069 | 0.10 | 0.000420 | 8.84 | 24,904.54 |
| smcsma4 | 0.000042 | 0.13 | 0.000434 | 8.85 | 22,258.56 |
| average | 0.000073 | 0.11 | 0.000457 | 8.83 | 22,706.62 |
| (MPa) | Mean (MPa) | Cov * | (MPa) | Mean (MPa) | cov | ||
|---|---|---|---|---|---|---|---|
| Sprayed mortar | smcusra1 | 37.56 | 36.19 | 0.03 | 7.76 | 7.75 | 0.04 |
| smcusra2 | 35.46 | 7.38 | |||||
| smcusra3 | 35.54 | 8.11 | |||||
| Masonry mortar | mcusra1 | 7.28 | 7.21 | 0.08 | 1.99 | 1.97 | 0.03 |
| mcusra2 | 7.91 | 1.88 | |||||
| mcusra3 | 6.44 | 2.04 |
| Group | Sample | (kN) | Mean (kN) | Cov * | (MPa) | Mean (MPa) | Cov * | (MPa) | Mean (MPa) | cov |
|---|---|---|---|---|---|---|---|---|---|---|
| 1 | BMWNMA1 | 1247 | 1156 | 0.06 | 17.19 | 15.94 | 0.06 | 9190.36 | 8688.48 | 0.04 |
| BMWNMA2 | 1144 | 15.77 | 8541.07 | |||||||
| BMWNMA3 | 1077 | 14.85 | 8334 | |||||||
| 2 | BMWSCA1 | 1366 | 1514 | 0.12 | 15.32 | 16.94 | 0.12 | 11,774.17 | 11,172.53 | 0.11 |
| BMWSCA2 | 1775 | 19.90 | 12,273.50 | |||||||
| BMWSCA3 | 1402 | 15.60 | 9469.93 | |||||||
| 3 | BMWSCA4 | 1957 | 1892 | 0.06 | 20.28 | 19.61 | 0.06 | 14,165.29 | 13,044.27 | 0.06 |
| BMWSCA5 | 1979 | 20.48 | 12,237.99 | |||||||
| BMWSCA6 | 1741 | 18.07 | 12,729.52 | |||||||
| 4 | BMWSCA7 | 1758 | 1936 | 0.10 | 18.13 | 19.47 | 0.09 | 11,273.38 | 13,253.63 | 0.15 |
| BMWSCA8 | 1855 | 18.43 | 12,521.18 | |||||||
| BMWSCA9 | 2195 | 21.84 | 15,966.32 | |||||||
| 5 | BMWSCA10 | 1648 | 1766 | 0.09 | 15.54 | 16.65 | 0.09 | 16,542.16 | 14,870.98 | 0.09 |
| BMWSCA11 | 1660 | 15.66 | 14,923.02 | |||||||
| BMWSCA12 | 1989 | 18.76 | 13,147.76 |
| Mode I | Mode II | Mode III | Mode A | Mode B | Mode C | |
|---|---|---|---|---|---|---|
| BMWSCA1 | ● | ● | ||||
| BMWSCA2 | ● | ● | ||||
| BMWSCA3 | ● | ● | ||||
| BMWSCA4 | ● | ● | ||||
| BMWSCA5 | ● | ● | ||||
| BMWSCA6 | ● | |||||
| BMWSCA7 | ● | ● | ● | |||
| BMWSCA8 | ● | ● | ||||
| BMWSCA9 | ● | ● | ||||
| BMWSCA10 | ● | ● | ● | |||
| BMWSCA11 | ● | ● | ● | |||
| BMWSCA12 | ● | ● | ● |
| Sprayed Thickness (mm) | Content | |
|---|---|---|
| CM1 | 0 | Calibration Group 1 |
| M1 | 10 | Test |
| M2 | 20 | Test |
| CM2 | 30 | Calibration Group 2 |
| CM3 | 40 | Calibration Group 3 |
| CM4 | 50 | Calibration Group 4 |
| M3 | 60 | Test |
| M4 | 70 | Test |
| M5 | 90 | Test |
| M6 | 110 | Test |
| M7 | 130 | Test |
| Elastic Modulus | Poisson | Dilation Angle | Eccentricity | fb0/fc0 * | K | Viscosity Parameters | |
|---|---|---|---|---|---|---|---|
| Brick | 32,000 | 0.15 | 30 | 0.1 | 1.16 | 0.67 | 0.001 |
| Mortar | 1650 | 0.18 | |||||
| Sprayed mortar | 22,706 | 0.18 |
| Masonry mortar | Yield Stress | Damage Parameter | Inelastic Strain |
| Tensile behavior | |||
| 2 | 0 | 0 | |
| 0.21 | 0.7 | 0.000403 | |
| 0.07 | 0.9 | 0.00364 | |
| Compressive behavior | |||
| 2.5 | 0 | 0 | |
| 4.8 | 0.2 | 0.00133 | |
| 7.2 | 0.35 | 0.00511 | |
| 2 | 0.6 | 0.0160 | |
| Sprayed mortar | Yield stress | Damage parameter | Inelastic strain |
| Tensile behavior | |||
| 7.75 | 0 | 0 | |
| 0.10 | 0.9 | 0.000354 | |
| 0.00 | 0.99 | 0.00102 | |
| Compressive behavior | |||
| 10 | 0 | 0 | |
| 18 | 0.05 | 0.000502 | |
| 30 | 0.1 | 0.00183 | |
| 36.2 | 0.3 | 0.00307 | |
| 21 | 0.5 | 0.00780 | |
| 10 | 0.8 | 0.00911 | |
| Brick | Yield stress | Damage parameter | Inelastic strain |
| Tensile behavior | |||
| 3.5 | 0 | 0 | |
| 1.05 | 0.7 | 0.000103 | |
| 0.35 | 0.9 | 0.000940 | |
| Compressive behavior | |||
| 8 | 0 | 0 | |
| 15 | 0.01 | 0.000231 | |
| 22 | 0.05 | 0.00111 | |
| 35 | 0.15 | 0.00390 | |
| 40 | 0.3 | 0.00675 | |
| 11 | 0.5 | 0.0116 | |
| 6 | 0.8 | 0.0248 | |
| Ultimate Strength (MPa) | Elastic Modulus (MPa) | |||||
|---|---|---|---|---|---|---|
| FE numerical | Experimental | Dif (%) | FE Numerical | Experimental | Dif (%) | |
| CM1 | 16.5 | 15.937 | 3.53% | 8576 | 8688.48 | 1.29% |
| M1 | 14.43 | - | 9491 | - | ||
| M2 | 15.28 | - | 10,539 | - | ||
| CM2 | 18.4 | 16.94 | 8.62% | 11,339 | 11,172.53 | 1.49% |
| CM3 | 19.06 | 19.61 | 2.80% | 12,532 | 13,044.27 | 3.93% |
| CM4 | 18.85 | 19.46 | 3.13% | 12,946 | 13,253.63 | 2.32% |
| M3 | 19.65 | - | 13,196 | - | ||
| M4 | 19.33 | - | 13,692 | - | ||
| M5 | 20.76 | - | 14,551 | - | ||
| M6 | 21.84 | - | 15,268 | - | ||
| M7 | 23.11 | - | 15,877 | - | ||
Disclaimer/Publisher’s Note: The statements, opinions and data contained in all publications are solely those of the individual author(s) and contributor(s) and not of MDPI and/or the editor(s). MDPI and/or the editor(s) disclaim responsibility for any injury to people or property resulting from any ideas, methods, instructions or products referred to in the content. |
© 2023 by the authors. Licensee MDPI, Basel, Switzerland. This article is an open access article distributed under the terms and conditions of the Creative Commons Attribution (CC BY) license (https://creativecommons.org/licenses/by/4.0/).
Share and Cite
Huang, D.; Albareda, A.; Pons, O. Experimental and Numerical Study on Unreinforced Brick Masonry Walls Retrofitted with Sprayed Mortar under Uniaxial Compression. Buildings 2023, 13, 122. https://doi.org/10.3390/buildings13010122
Huang D, Albareda A, Pons O. Experimental and Numerical Study on Unreinforced Brick Masonry Walls Retrofitted with Sprayed Mortar under Uniaxial Compression. Buildings. 2023; 13(1):122. https://doi.org/10.3390/buildings13010122
Chicago/Turabian StyleHuang, Dawei, Albert Albareda, and Oriol Pons. 2023. "Experimental and Numerical Study on Unreinforced Brick Masonry Walls Retrofitted with Sprayed Mortar under Uniaxial Compression" Buildings 13, no. 1: 122. https://doi.org/10.3390/buildings13010122
APA StyleHuang, D., Albareda, A., & Pons, O. (2023). Experimental and Numerical Study on Unreinforced Brick Masonry Walls Retrofitted with Sprayed Mortar under Uniaxial Compression. Buildings, 13(1), 122. https://doi.org/10.3390/buildings13010122

