Nonlinear Static Response of Low-Moderate Ductile Chevron Concentrically Braced Frames Designed According to Eurocode 8
Abstract
1. Introduction
2. Evolution of Seismic Design Rules for Moderate Ductile Λ-CBFs
2.1. Behaviour Factors
2.2. Design of Dissipative Members
2.3. Design of Non-Dissipative Members
3. Numerical Study
3.1. Examined Structures
3.2. Design Results
- (i)
- (ii)
- (iii)
- (iv)
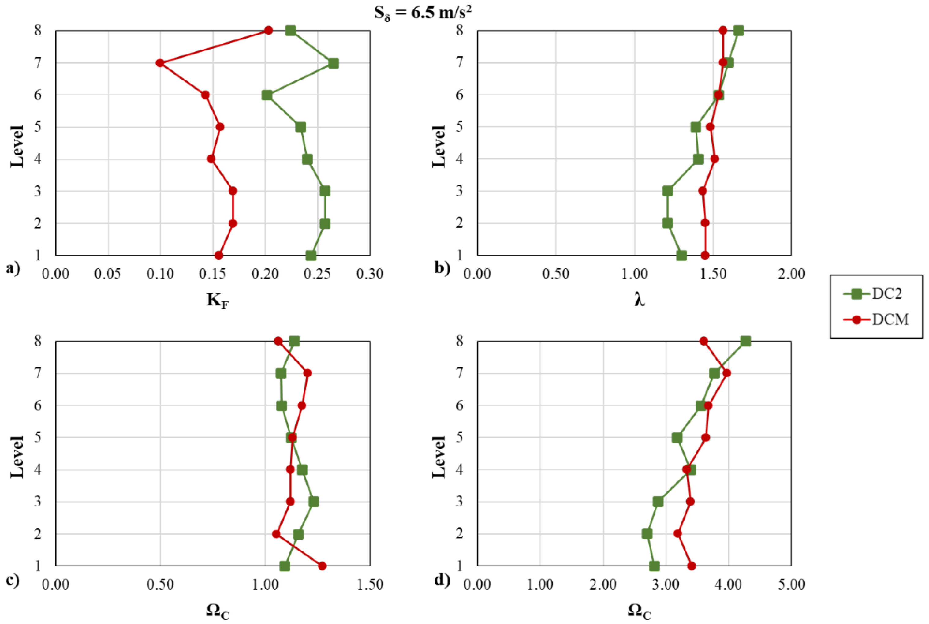
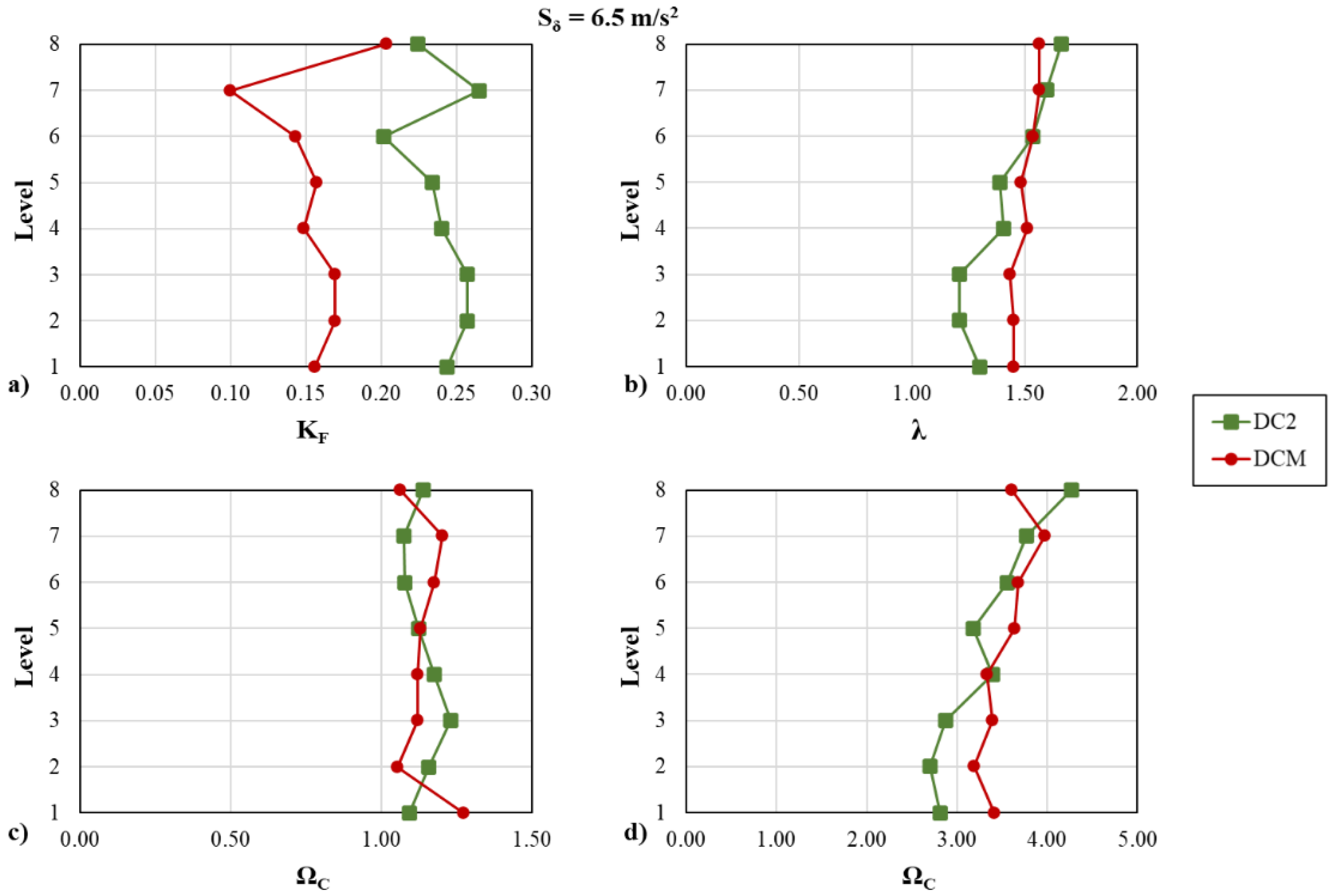
3.3. Numerical Assessment of Current and Next EC8 Design Requirements
- −
- Ductility demand under tension ; dy is the axial deformation corresponding to the yielding
- −
- Ductility demand under compression ; dy is the axial deformation corresponding to the yielding and χ is the buckling reduction factor according to EC3.
- −
- Beam normalised bending capacity ; MN is the bending capacity accounting for the presence of axial force, and MEd is the bending moment acting at the brace-intercepting point.
4. Conclusive Remarks
- −
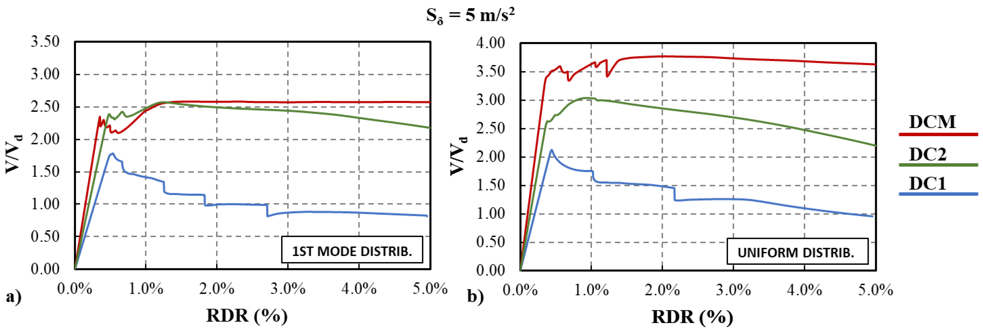
- DC1 frame exhibits poor seismic performance with failure mainly located in the brace-intercepted beams and compression diagonals.
- −
- The frames designed for DCM and DC2 exhibit similar and satisfactory responses, with most of the diagonals yielded under tension, while brace-intercepted beams behave in the elastic range.
- −
- Results show that the simplified DC2 rules assure moderate ductility of the building, preventing damage to brace-intercepted beams and reducing ductility demand on braces under compression. However, DC2 frames are more sensitive to soft-storey mechanisms in case of pushover under a uniform load pattern.
- −
- Further numerical and theoretical investigations are necessary to investigate the local response of the details (e.g., gusset plate connections) and the global response (e.g., assessment of collapse probability, ductility demand, damage distribution, etc.) of moderate ductile chevron concentrically braced frames designed according to the next Eurocode 8. Moreover, a wider range of building archetypes should be analysed.
Author Contributions
Funding
Data Availability Statement
Conflicts of Interest
References
- EN 1998-1; Design of Structures for Earthquake Resistance—Part 1: General Rules, Seismic Actions and Rules for Buildings. CEN: Brussels, Belgium, 2005.
- Costanzo, S.; Landolfo, R. Concentrically braced frames: European vs. North American Seismic Design provisions. Open J. Civ. Eng. 2017, 11, 453–463. [Google Scholar] [CrossRef][Green Version]
- Costanzo, S.; D’Aniello, M.; Landolfo, R. Seismic design criteria for chevron CBFs: European vs. North American codes (PART-1). J. Construct. Steel Res. 2017, 135, 83–96. [Google Scholar] [CrossRef]
- Costanzo, S.; D’Aniello, M.; Landolfo, R. Seismic design criteria for chevron CBFs: European vs. North American code: Proposals for the next EC8 (PART-2). J. Construct. Steel Res. 2018, 138, 17–37. [Google Scholar] [CrossRef]
- Costanzo, S.; D’Aniello, M.; Landolfo, R. Seismic design rules for ductile Eurocode compliant two storey X concentrically braced frames. Steel Compos. Struct. 2020, 36, 273–291. [Google Scholar] [CrossRef]
- Costanzo, S.; D’Aniello, M.; Landolfo, R. The influence of moment resisting beam-to-column connections on seismic behavior of chevron con-centrically braced frames. Soil Dyn. Earthq. Eng. 2018, 113, 136–147. [Google Scholar] [CrossRef]
- Costanzo, S.; Tartaglia, R.; Di Lorenzo, G.; De Martino, A. Seismic behaviour of EC8-compliant moment resisting and concentrically braced frames. Buildings 2019, 99, 196. [Google Scholar] [CrossRef]
- Costanzo, S.; D’Aniello, M.; Landolfo, R. Proposal of design rules for ductile X-CBFS in the framework of EUROCODE 8. Earthq. Eng. Struct. Dyn. 2019, 48, 124–151. [Google Scholar] [CrossRef]
- Elghazouli, A.Y. Seismic design of steel framed structures to Eurocode 8. Struct. Eng. 2017, 85, 26–31. [Google Scholar]
- Elghazouli, A.Y. Assessment of European seismic design procedures for steel framed structures. Bull. Earthq. Eng. 2010, 8, 65–89. [Google Scholar] [CrossRef]
- Tenchini, A.; D’Aniello, M.; Rebelo, C.; Landolfo, R.; da Silva, L.; Lima, L. High strength steel in chevron concentrically braced frames designed according to Eurocode 8. Eng. Struct. 2016, 124, 167–185. [Google Scholar] [CrossRef]
- Brandonisio, G.; Toreno, M.; Grande, E.; Mele, E.; De Luca, A. Seismic design of concentric braced frames. J. Construct. Steel Res. 2012, 78, 22–37. [Google Scholar] [CrossRef]
- Bosco, M.; Brandonisio, G.; Marino, E.M.; Mele, E.; De Luca, A. Ω* method: An alternative to Eurocode 8 procedure for seismic design of X-CBFs. J. Construct. Steel Res. 2017, 134, 135–147. [Google Scholar] [CrossRef]
- Faggiano, B.; Fiorino, L.; Formisano, A.; Macillo, V.; Castaldo, C.; Mazzolani, F.M. Assessment of the Design Provisions for Steel Concentric X Bracing Frames with Reference to Italian and European Codes. Open Constr. Build. Technol. J. 2014, 8, 208–215. [Google Scholar] [CrossRef][Green Version]
- Campiche, A.; Costanzo, S. Evolution of ec8 seismic design rules for x concentric bracings. Symmetry 2020, 12, 1807. [Google Scholar] [CrossRef]
- D’Aniello, M.; Costanzo, S.; Landolfo, R. The influence of beam stiffness on seismic response of chevron concentric bracings. J. Constr. Steel Res. 2015, 112, 305–324. [Google Scholar]
- Marino, E.M. A unified approach for the design of high ductility steel frames with concentric braces in the framework of Eurocode 8. Earthq. Eng. Struct. Dyn. 2013, 43, 97–118. [Google Scholar] [CrossRef]
- Marino, E.M.; Nakashina, M. Seismic performance and new design procedure for chevron-braced frames. Earthq. Eng. Struct. Dyn. 2006, 35, 433–452. [Google Scholar] [CrossRef]
- Azad, S.K.; Topkaya, C.; Astaneh-Asl, A. Seismic behavior of concentrically braced frames designed to AISC341 and EC8 provisions. J. Construct. Steel Res. 2017, 133, 383–404. [Google Scholar] [CrossRef]
- Longo, A.; Montuori, R.; Piluso, V. Plastic design of seismic resistant V-braced frames. J. Earthq. Eng. 2008, 12, 1246–1266. [Google Scholar]
- Giugliano, M.T.; Longo, A.; Montuori, R.; Piluso, V. Seismic reliability of traditional and innovative concentrically braced frames. Earthq. Eng. Struct. Dyn. 2011, 40, 1455–1474. [Google Scholar] [CrossRef]
- ANSI/AISC Standard 341-16; Seismic Provisions for Structural Steel Buildings. American Institute of Steel Construction, Inc. (AISC): Chicago, IN, USA, 2016.
- CSA-S16-14; Design of Steel Structures. Canadian Standards Association: Toronto, ON, USA, 2014.
- CEN/TC 250/SC 8; prEN 1998-1-2: 2022, Eurocode 8, Design of Structures for Earthquake Resistance, Part 1-2: General Rules and Seismic Action. CEN: Brussels, Belgium, 2022.
- CEN/TC 250/SC 8; prEN 1998-1-1: 2022, Eurocode 8, Design of Structures for Earthquake Resistance, Part 1-1: General Rules and Seismic Action. CEN: Brussels, Belgium, 2022.
- EN 1993:1-1; Eurocode 3: Design of Steel Structures—Part 1-1: General Rules and Rules for Buildings. CEN: Brussels, Belgium, 2005.
- Costanzo, S.; D’Aniello, M.; Landolfo, R.; De Martino, A. Critical discussion on seismic design criteria for cross concentrically braced frames. Ing. Sismica Int. J. Earthq. Eng. 2018, 35, 23–36. [Google Scholar]
- EN 1990; Eurocode 0: Basis of Structural Design. Danish Standards: Charlottenlund, Denmark, 2001.
- EN 1991-1-1; Eurocode 1: Actions on—Part 1-1: General Actions—Densities, Self-Weight, Imposed Loads for Buildings. BSI: London, UK, 2002.
- EN 1994-1-1; Eurocode 4: Design of Composite Steel and Concrete—Part 1.1: General Rules and Rules for Buildings. BSI: London, UK, 2004.
- Seismosoft. SeismoStruct—A Computer Program for Static and Dynamic Nonlinear Analysis of Framed Structures. 2011. Available online: www.seismosoft.com (accessed on 12 October 2022).
- Menegotto, M.; Pinto, P.E. Method of analysis for cyclically loaded R.C. plane frames including changes in geometry and non-elastic behaviour of elements under combined normal force and bending. In Proceedings of the Symposium on the Resistance and Ultimate Deformability of Structures Acted on by Well Defined Repeated Loads, Lisbon, Portugal, 13–14 September 1973. [Google Scholar]
- D’Aniello, M.; La Manna Ambrosino, G.; Portioli, F.; Landolfo, R. The influence of out-of-straightness imperfection in Physical-Theory models of bracing members on seismic performance assessment of concentric braced structures. Struct. Des. Tall Spec. Build. 2015, 24, 176–197. [Google Scholar]
- D’Aniello, M.; La Manna Ambrosino, G.; Portioli, F.; Landolfo, R. Modelling aspects of the seismic response of steel concentric braced frames. Steel Compos. Struct. Int. J. 2013, 15, 539–566. [Google Scholar] [CrossRef]
- Dicleli, M.; Calik, E.E. Physical Theory Hysteretic Model for Steel Braces. J. Struct. Eng. Asce 2008, 134, 1215–1228. [Google Scholar] [CrossRef]

















| EN 1998-1 (2005) DCM | prEN 1998-1-2 (2022) DC2 |
|---|---|
| Resistance: | Resistance: |
| Global slenderness: | Global slenderness: |
| Local slenderness: class 1, 2 | Local slenderness: class 1, 2 |
| Overstrength variation: | Overstrength variation: none |
| EN 1998-1 (2005) DCM | prEN 1998-1-2 (2022) DC2 |
|---|---|
| Beam and column resistance: With | Beam and column resistance: With |
| Beam flexural stiffness: none | Beam flexural stiffness: With: ; |
| Gravity Members | DC1 | DC2 | DCM | ||||||||
|---|---|---|---|---|---|---|---|---|---|---|---|
| Level | Column | Beam | Column | Beam | Brace | Column | Beam | Brace | Column | Beam | Brace |
| S355 | S355 | S355 | S355 | S355 | S355 | S355 | S355 | S355 | S355 | S355 | |
| 8 | HEB220 | IPE270 | HEB300 | IPE270 | 114.3 × 5 | HEB220 | IPE500 | 101.6 × 4 | HEB360 | HEA280 | 114.3 × 3.2 |
| 7 | HEB220 | IPE270 | HEB300 | IPE270 | 139.7 × 5 | HEB220 | HEA450 | 114.3 × 5 | HEB360 | HEA400 | 121 × 6.3 |
| 6 | HEB240 | IPE270 | HEB340 | IPE270 | 159 × 5 | HEB280 | HEA500 | 121 × 6.3 | HEB400 | HEA400 | 121 × 8 |
| 5 | HEB240 | IPE270 | HEB340 | IPE270 | 168.3 × 6.3 | HEB280 | HEA500 | 133 × 6.3 | HEB400 | HEA450 | 133 × 8 |
| 4 | HEB260 | IPE270 | HEB400 | IPE270 | 177.8 × 6.3 | HEB320 | HEA550 | 133 × 8 | HD400 × 347 | HEA500 | 159 × 8 |
| 3 | HEB260 | IPE270 | HEB400 | IPE270 | 193.7 × 5 | HEB320 | HEA550 | 133 × 8 | HD400 × 347 | HEB500 | 159 × 10 |
| 2 | HEB300 | IPE270 | HEM400 | IPE270 | 193.7 × 6.3 | HEB400 | HEA550 | 139.7 × 8 | HD400 × 421 | HEB500 | 159 × 10 |
| 1 | HEB300 | IPE270 | HEM400 | IPE270 | 219.1 × 5 | HEB400 | HEA550 | 159 × 6.3 | HD400 × 421 | HEB500 | 159 × 10 |
| S355: fy,nom = 355 MPa; fy,av= 443.75 MPa; E = 210,000 MPa | |||||||||||
| Gravity Members | DC2 | DCM | ||||||
|---|---|---|---|---|---|---|---|---|
| Level | Column | Beam | Column | Beam | Brace | Column | Beam | Brace |
| S355 | S355 | S355 | S355 | S355 | S355 | S355 | S355 | |
| 8 | HEB220 | IPE270 | HEB220 | HEA400 | 114.3 × 4 | HEB400 | HEB360 | 121 × 4 |
| 7 | HEB220 | IPE270 | HEB220 | HEA500 | 121 × 6.3 | HEB400 | HEB360 | 127 × 8 |
| 6 | HEB240 | IPE270 | HEB260 | HEA500 | 127 × 8 | HEM400 | HEB450 | 133 × 10 |
| 5 | HEB240 | IPE270 | HEB260 | HEA550 | 139.7 × 8 | HEM400 | HEB500 | 133 × 12.5 |
| 4 | HEB260 | IPE270 | HEB300 | HEA600 | 139.7 × 10 | HD400 × 347 | HEB500 | 139.7 × 12.5 |
| 3 | HEB260 | IPE270 | HEB300 | HEA600 | 159 × 8 | HD400 × 347 | HEB550 | 139.7 × 14.2 |
| 2 | HEB300 | IPE270 | HEM300 | HEA600 | 159 × 8 | HD400 × 551 | HEB550 | 139.7 × 14.2 |
| 1 | HEB300 | IPE270 | HEM300 | HEA600 | 159 × 8 | HD400 × 551 | HEB550 | 159 × 12.5 |
| S355: fy,nom = 355 MPa; fy,av= 443.75 MPa; E = 210,000 MPa | ||||||||
Disclaimer/Publisher’s Note: The statements, opinions and data contained in all publications are solely those of the individual author(s) and contributor(s) and not of MDPI and/or the editor(s). MDPI and/or the editor(s) disclaim responsibility for any injury to people or property resulting from any ideas, methods, instructions or products referred to in the content. |
© 2023 by the authors. Licensee MDPI, Basel, Switzerland. This article is an open access article distributed under the terms and conditions of the Creative Commons Attribution (CC BY) license (https://creativecommons.org/licenses/by/4.0/).
Share and Cite
Costanzo, S.; D’Aniello, M.; Landolfo, R. Nonlinear Static Response of Low-Moderate Ductile Chevron Concentrically Braced Frames Designed According to Eurocode 8. Buildings 2023, 13, 120. https://doi.org/10.3390/buildings13010120
Costanzo S, D’Aniello M, Landolfo R. Nonlinear Static Response of Low-Moderate Ductile Chevron Concentrically Braced Frames Designed According to Eurocode 8. Buildings. 2023; 13(1):120. https://doi.org/10.3390/buildings13010120
Chicago/Turabian StyleCostanzo, Silvia, Mario D’Aniello, and Raffaele Landolfo. 2023. "Nonlinear Static Response of Low-Moderate Ductile Chevron Concentrically Braced Frames Designed According to Eurocode 8" Buildings 13, no. 1: 120. https://doi.org/10.3390/buildings13010120
APA StyleCostanzo, S., D’Aniello, M., & Landolfo, R. (2023). Nonlinear Static Response of Low-Moderate Ductile Chevron Concentrically Braced Frames Designed According to Eurocode 8. Buildings, 13(1), 120. https://doi.org/10.3390/buildings13010120
