The Influence of Wind Direction on the Inelastic Responses of a Base-Isolated Square Section High-Rise Building
Abstract
:1. Introduction
2. Analysis Framework
2.1. Equations of Motion
2.2. Estimation of Peak Value through a Moment-Based Hermite Model
3. Modeling of Base-Isolated High-Rise Building
3.1. Building Parameters
3.2. Wind Force
4. Results and Discussions
4.1. Inelastic Response Characteristics when
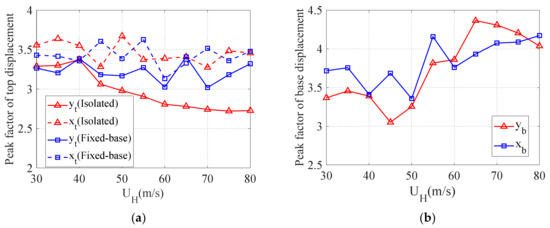
4.2. Statistics of Inelastic Response When α = 0
4.3. Correlation Coefficient of Inelastic Response
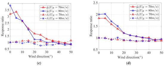
4.4. Influence of Wind Direction on the Inelastic Response
5. Conclusions
Author Contributions
Funding
Institutional Review Board Statement
Informed Consent Statement
Data Availability Statement
Acknowledgments
Conflicts of Interest
References
- Chimamphant, S.; Kasai, K. Comparative response and performance of base-isolated and fixed-base structures. Earthq. Eng. Struct. Dyn. 2016, 45, 5–27. [Google Scholar] [CrossRef]
- Kasai, K.; Matsuda, K. Significant building response records from the 2011 Tohoku earthquake and the implications for seismic designs and analysis. In Proceedings of the SMIP 13 Seminar on Utilization of Strong-Motion Data, Los Angeles, CA, USA, 10 October 2013. [Google Scholar]
- Li, Z.; Huang, G.; Chen, X.; Zhou, Y.; Yang, Q. Wind-resistant design and equivalent static wind load of base-isolated tall building: A case study. Eng. Struct. 2020, 212, 110533. [Google Scholar] [CrossRef]
- Roy, T.; Saito, T.; Matsagar, V. Multihazard framework for investigating high-rise base-isolated buildings under earthquakes and long-duration winds. Earthq. Eng. Struct. Dyn. 2020, 18, 1201–1217. [Google Scholar] [CrossRef]
- Henderson, P.; Novak, M. Response of base-isolated buildings to wind loading. Earthq. Eng. Struct. Dyn. 1989, 18, 1201–1217. [Google Scholar] [CrossRef]
- Chen, Y.; Ahmadi, G. Wind effects on base-isolated structures. J. Eng. Mech. 1992, 118, 1708–1727. [Google Scholar] [CrossRef]
- Kareem, A. Modelling of base-isolated buildings with passive dampers under winds. J. Wind. Eng. Ind. Aerod. 1997, 72, 323–333. [Google Scholar] [CrossRef]
- Vulcano, A. Comparative study of the earthquake and wind dynamic responses of base-isolated buildings. J. Wind. Eng. Ind. Aerod. 1998, 74, 751–764. [Google Scholar] [CrossRef]
- Liang, B.; Xiong, S.; Tang, J. Wind effects on habitability of base-isolated buildings. J. Wind. Eng. Ind. Aerod. 2002, 90, 1951–1958. [Google Scholar] [CrossRef]
- Chen, Y.; Sato, D.; Kou, M.; She, J. Estimating the maximum response and maximum control force for high-rise base-isolated buildings with active structural control in along-wind direction. Eng. Struct. 2020, 216, 110712. [Google Scholar] [CrossRef]
- Jangid, R.S. Optimum lead–rubber isolation bearings for near-fault motions. Eng. Struct. 2007, 29, 2503–2513. [Google Scholar] [CrossRef]
- Feng, C.; Chen, X. Evaluation and characterization of probabilistic alongwind and crosswind responses of base-isolated tall buildings. J. Eng. Mech. 2019, 145, 04019097. [Google Scholar] [CrossRef]
- JSSI. Guidelines for Wind-Resistant Design of Base-Isolated Buildings; Japan Society of Seismic Isolation: Tokyo, Japan, 2017. [Google Scholar]
- ASCE. Prestandard for Performance-Based Wind Design; American Society of Civil Engineers: Reston, VA, USA, 2019. [Google Scholar]
- Bezabeh, M.A.; Bitsuamlak, G.T.; Tesfamariam, S. Performance-based wind design of tall buildings: Concepts, frameworks, and opportunities. Wind. Struct. 2020, 31, 103–142. [Google Scholar]
- Jeong, S.Y.; Alinejad, H.; Kang, T.H.K. Performance-Based Wind Design of High-Rise Buildings Using Generated Time-History Wind Loads. J. Struct. Eng. 2021, 147, 04021134. [Google Scholar] [CrossRef]
- Feng, C.; Chen, X. Inelastic responses of wind-excited tall buildings: Improved estimation and understanding by statistical linearization approaches. Eng. Struct. 2018, 159, 141–154. [Google Scholar] [CrossRef]
- Huang, J.; Chen, X. Inelastic Performance of High-Rise Buildings to Simultaneous Actions of Alongwind and Crosswind Loads. J. Struct. Eng. 2022, 148, 04021258. [Google Scholar] [CrossRef]
- Kawai, H. Effects of angle of attack on vortex induced vibration and galloping of tall buildings in smooth and turbulent boundary layer flows. J. Wind. Eng. Ind. Aerod. 1995, 54, 125–132. [Google Scholar] [CrossRef]
- Yen, S.C.; Yang, C.W. Flow patterns and vortex shedding behavior behind a square cylinder. J. Wind. Eng. Ind. Aerod. 2011, 99, 868–878. [Google Scholar] [CrossRef]
- McClean, J.F.; Sumner, D. An experimental investigation of aspect ratio and incidence angle effects for the flow around surface-mounted finite-height square prisms. J. Fluids. Eng. 2014, 136, 081206. [Google Scholar] [CrossRef]
- Unnikrishnan, S.; Ogunremi, A.; Sumner, D. The effect of incidence angle on the mean wake of surface-mounted finite-height square prisms. Int. J. Heat Fluid Flow 2017, 66, 137–156. [Google Scholar] [CrossRef]
- Reinhold, T.A.; Sparks, P.R. The influence of wind direction on the response of a square-section tall building. In Proceedings of the Fifth International Conference on Wind Engineering, New York, NY, USA, 8–14 July 1979. [Google Scholar]
- AIJ-2004; AIJ Recommendations for Load on Buildings. Architectural Institute of Japan: Tokyo, Japan, 2004.
- ASCE-7; Minimum Design Loads and Associated Criteria for Buildings and Other Structures. American Society of Civil Engineers: Reston, VA, USA, 2017.
- GB 50009-2012; Load Code for Design of Building Structures. China Architecture & Building Press: Beijing, China, 2012.
- Zhi, L.H. Spectral Characteristics and Correlation of Dynamic Wind Loads of a Typical Super-tall Building. Appl. Mech. Mater. 2013, 351, 347–350. [Google Scholar] [CrossRef]
- Yi, J.; Li, Q.S. Wind tunnel and full-scale study of wind effects on a super-tall building. J. Fluid. Struct. 2015, 58, 236–253. [Google Scholar] [CrossRef]
- Aly, A.M. Influence of turbulence, orientation, and site configuration on the response of buildings to extreme wind. Sci. World. J. 2014, 2014, 178465. [Google Scholar] [CrossRef] [Green Version]
- Zheng, C.; Xie, Y.; Khan, M.; Wu, Y.; Liu, J. Wind-induced responses of tall buildings under combined aerodynamic control. Eng. Struct. 2018, 175, 86–100. [Google Scholar] [CrossRef]
- Zhang, Z.W.; Quan, Y.; Gu, M.; To, A. Influence of Wind Direction on Wind-induced response of Tall Buildings with rectangular Section. In Proceedings of the 9th Asia-Pacific Conference on Wind Engineering, Auckland, New Zealand, 3–7 December 2017. [Google Scholar]
- Wen, Y.K. Method for random vibration of hysteretic systems. J. Eng. Mech. Div. 1976, 102, 249–263. [Google Scholar] [CrossRef]
- Polycarpou, P.C.; Komodromos, P. Earthquake-induced poundings of a seismically isolated building with adjacent structures. Eng. Struct. 2010, 32, 1937–1951. [Google Scholar] [CrossRef]
- Vaiana, N.; Sessa, S.; Paradiso, M.; Marmo, F.; Rosati, L. An efficient computational strategy for nonlinear time history analysis of seismically base-isolated structures. In Proceedings of the AIMETA 2019-XXIV Congresso dell’Associazione Italiana di Meccanica Teorica e Applicata, Rome, Italy, 15–19 September 2019. [Google Scholar]
- Nagarajaiah, S.; Reinhorn, A.M.; Constantinou, M.C. Nonlinear dynamic analysis of 3-D-base-isolated structures. J. Struct. Eng. 1991, 117, 2035–2054. [Google Scholar] [CrossRef] [Green Version]
- Lutes, L.D.; Sarkani, S. Random Vibrations: Analysis of Structural and Mechanical Systems; Butterworth-Heinemann: Burlington, MA, USA, 2004. [Google Scholar]
- Vaiana, N.; Marmo, F.; Sessa, S.; Rosati, L. Modeling of the hysteretic behavior of wire rope isolators using a novel rate-independent model. In Proceedings of the First International Nonlinear Dynamics Conference, University of Rome, Roma, Italy, 17–20 February 2019. [Google Scholar]
- Pellecchia, D.; Feudo, S.L.; Vaiana, N.; Dion, J.L.; Rosati, L. A procedure to model and design elastomeric-based isolation systems for the seismic protection of rocking art objects. Comput. Aided Civ. Infrastruct. Eng. 2021, 37, 1298–1315. [Google Scholar] [CrossRef]
- Grigoriu, M. Crossings of non-Gaussian translation processes. J. Eng. Mech. 1984, 110, 610–620. [Google Scholar] [CrossRef]
- Liu, M.; Chen, X.; Yang, Q. Estimation of peak factor of non-Gaussian wind pressures by improved moment-based Hermite model. J. Eng. Mech. 2017, 143, 06017006. [Google Scholar] [CrossRef]
- Winterstein, S.R. Nonlinear vibration models for extremes and fatigue. J. Eng. Mech. 1988, 114, 1772–1790. [Google Scholar] [CrossRef]
- Ditlevsen, O.; Mohr, G.; Hoffmeyer, P. Integration of non-Gaussian fields. Probabilistic Eng. Mech. 1996, 11, 15–23. [Google Scholar] [CrossRef]
- Winterstein, S.R.; Kashef, T. Moment-based load and response models with wind engineering applications. J. Sol. Energy. Eng. 2000, 122, 122–128. [Google Scholar] [CrossRef]
- Ding, J.; Chen, X. Assessment of methods for extreme value analysis of non-Gaussian wind effects with short-term time history samples. Eng. Struct. 2014, 80, 75–88. [Google Scholar] [CrossRef]
- Ding, J.; Chen, X. Moment-based translation model for hardening non-Gaussian response processes. J. Eng. Mech. 2016, 142, 06015006. [Google Scholar] [CrossRef]
- Ellis, B.R. An assessment of the accuracy of predicting the fundamental natural frequencies of buildings and the implications concerning the dynamic analysis of structures. Proc. Inst. Civ. Eng. 1980, 69, 763–776. [Google Scholar]
- Ryan, K.L.; Polanco, J. Problems with Rayleigh damping in base-isolated buildings. J. Struct. Eng. 2008, 134, 1780–1784. [Google Scholar] [CrossRef]
- Tokyo Polytechnic University. Aerodynamic Database of High-Rise Buildings. Available online: http://wind.arch.t-kougei.ac.jp/system/eng/contents/code/tpu (accessed on 11 December 2021).
- Vaiana, N.; Sessa, S.; Marmo, F.; Rosati, L. Nonlinear dynamic analysis of hysteretic mechanical systems by combining a novel rate-independent model and an explicit time integration method. Nonlinear Dyn. 2019, 98, 2879–2901. [Google Scholar] [CrossRef]
- Davenport, A.G. Gust loading factors. J. Struct. Div. 1967, 93, 11–34. [Google Scholar] [CrossRef]
- Chen, X.; Huang, G. Evaluation of peak resultant response for wind-excited tall buildings. Eng. Struct. 2009, 31, 858–868. [Google Scholar] [CrossRef]
- Gong, K.; Chen, X. Estimating extremes of combined two Gaussian and non-Gaussian response processes. Int. J. Struct. Stab. Dyn. 2014, 14, 1350076. [Google Scholar] [CrossRef]

























(°) | Mean Coefficients | STD Coefficients | ||||||
|---|---|---|---|---|---|---|---|---|
| 0 | 0.59 | −0.13 | 0.00 | 0.00 | 0.14 | 0.05 | 0.18 | 0.07 |
| 5 | 0.60 | −0.13 | −0.03 | 0.00 | 0.13 | 0.05 | 0.17 | 0.07 |
| 10 | 0.57 | −0.12 | −0.06 | 0.01 | 0.14 | 0.05 | 0.14 | 0.06 |
| 15 | 0.58 | −0.13 | −0.02 | 0.01 | 0.12 | 0.04 | 0.12 | 0.06 |
| 20 | 0.57 | −0.13 | 0.07 | −0.01 | 0.12 | 0.04 | 0.10 | 0.05 |
| 25 | 0.56 | −0.13 | 0.17 | −0.03 | 0.12 | 0.04 | 0.10 | 0.04 |
| 30 | 0.55 | −0.13 | 0.25 | −0.05 | 0.11 | 0.04 | 0.10 | 0.04 |
| 35 | 0.52 | −0.12 | 0.33 | −0.08 | 0.11 | 0.04 | 0.10 | 0.04 |
| 40 | 0.50 | −0.12 | 0.40 | −0.09 | 0.10 | 0.04 | 0.10 | 0.04 |
| 45 | 0.46 | −0.11 | 0.44 | −0.10 | 0.10 | 0.04 | 0.10 | 0.04 |
| 50 | 0.42 | −0.10 | 0.49 | −0.11 | 0.10 | 0.04 | 0.10 | 0.04 |
Publisher’s Note: MDPI stays neutral with regard to jurisdictional claims in published maps and institutional affiliations. |
© 2022 by the authors. Licensee MDPI, Basel, Switzerland. This article is an open access article distributed under the terms and conditions of the Creative Commons Attribution (CC BY) license (https://creativecommons.org/licenses/by/4.0/).
Share and Cite
Pang, H.; Yang, Q.; Liu, M.; Hui, Y.; Cheng, B. The Influence of Wind Direction on the Inelastic Responses of a Base-Isolated Square Section High-Rise Building. Buildings 2022, 12, 1208. https://doi.org/10.3390/buildings12081208
Pang H, Yang Q, Liu M, Hui Y, Cheng B. The Influence of Wind Direction on the Inelastic Responses of a Base-Isolated Square Section High-Rise Building. Buildings. 2022; 12(8):1208. https://doi.org/10.3390/buildings12081208
Chicago/Turabian StylePang, Huawei, Qingshan Yang, Min Liu, Yi Hui, and Baolong Cheng. 2022. "The Influence of Wind Direction on the Inelastic Responses of a Base-Isolated Square Section High-Rise Building" Buildings 12, no. 8: 1208. https://doi.org/10.3390/buildings12081208
APA StylePang, H., Yang, Q., Liu, M., Hui, Y., & Cheng, B. (2022). The Influence of Wind Direction on the Inelastic Responses of a Base-Isolated Square Section High-Rise Building. Buildings, 12(8), 1208. https://doi.org/10.3390/buildings12081208
