Abstract
In recent years, more and more theaters with rotating mechanisms have been built and used, such as theaters with rotating auditoriums. The rotation mechanism in this type of building may lead to the uncertainty of evacuation distances and routes, which undoubtedly poses a higher challenge to performance-based fire protection design. Taking the revolving auditorium theater as an example, this paper proposes a systematic method to solve the problem of randomness in evacuation scenarios. The numerical simulations based on FDS and Pathfinder were carried out, and two improved evacuation strategies for theaters with rotating auditorium were proposed. The results show that the blockage of evacuation exits is an important factor affecting the success of evacuation and the evacuation time. In addition, the establishment of emergency evacuation stairs and rotating auditoriums can effectively reduce the evacuation time.
1. Introduction
With the development of people’s interest in cultural life and building technology, the construction of various forms of theater buildings shows a growing trend. Compared with regular buildings, a theater building is built as a high and complex space with exquisite interior decoration, equipped with lots of stage facilities, lighting, and sound equipment; furthermore, there is a high density of internal personnel composed of audiences, performers, and staff, all of which means potentially high levels of danger in theater buildings []. When a fire breaks out in the theater, the buoyancy plume of the fire will rise and expand rapidly due to its high space, which will easily spread to other combustible objects and develop into a larger scale fire. Due to the high personnel density, long evacuation distances, and unfamiliar escape routes, it is very unfavorable for personnel evacuation and fire rescue. In recent decades, there have been a number of fire accidents in theater buildings, the statistical results of which are shown in Table 1. Thus, although the probability of a fire accident in a theater is relatively small, once it occurs, it is easy to cause a large number of casualties and property losses. It is therefore important to ensure the safe evacuation of persons in such buildings.
Table 1.
Statistics of theater fire accidents.
For the past few years, in order to enhance viewing and interactive experiences, more and more theaters with lifting and rotating mechanisms have been built and used, such as theaters with lifting stages and rotating auditoriums. IHI Stage Around Tokyo in Japan and Theater Hangaar in the Netherlands are representatives of such theaters. This kind of theater auditorium can rotate around the center of the theater stage; as a result, the auditorium may locate in variable positions under different scenarios instead of the fixed position in the traditional theater auditorium. It will cause the evacuation route of the audience to change from being fixed to flexible; hence, the evacuation path in this type of theater is more complex than a regular theater. Therefore, it is necessary to evaluate the fire protection system and the evacuation facilities of a theater with rotating auditoriums. The study of the safe evacuation strategy of such theaters has an important reference significance for the evacuation strategy of similar buildings.
To reduce the danger of fire to life, reasonable fire protection design is one of the most important measures. Performance-based design has been widely used in building fire safety. Unlike a prescription-based design, a performance-based design quantifies fire safety with more flexible concepts and acceptance criteria, such as the available evacuation time (ASET) and the required evacuation time (RSET). PBD frameworks have been developed and incorporated into design manuals and specifications [,]. With the development of computer technology, evacuation simulation technology is widely used in fire safety design and evaluation. Therefore, many scholars have developed different evacuation models and methods. Typical models include social force models [,], cellular automation models [,], agent-based models [,], lattice gas models [,], etc. A large number of scholars have used these models, or improved models, to study the micro-characteristics of escape behavior [,,,].
In order to study the evacuation behavior in buildings and to evaluate the fire evacuation facilities, scholars carried out a large number of evacuation models and experiments. These research objects cover a wide range of building types, such as apartments [], shops [,], high-rise buildings [,], historical buildings [,], tunnels [,], subway stations [,,,], underground buildings [,], schools [], etc.
However, little research has been done on the evacuation behavior of theaters, especially large theaters, mostly focusing on performance-based evaluation of fire protection systems. Kwon used computational fluid dynamics (CFD) to evaluate the effectiveness of the fire protection system required by the theater building code, considering several representative theater sizes and fire scenarios []. In order to explore the application of computational fluid dynamics in fire safety design, Dârmon evaluated a medium-sized auditorium with three seat levels through a performance-based design method []. Zhang et al., used numerical simulation methods to study the development of the theater’s lounge fire, and evaluated the rationality and effectiveness of the theater’s fire protection system []. The visual guidance system has also been a hot topic in recent years [,,,,,]. Through evacuation experiments, the validity of the continuous wayfinding system (CWS) based on photoluminescent materials in the evacuation system of historical theater buildings is verified. Experiments show that the continuous wayfinding system greatly shortens the total evacuation time [,]. In addition, classrooms, lecture halls, and movie theaters have similar auditorium structures and characteristics to theaters. Some scholars studied the evacuation characteristics of these types of buildings through various evacuation experiments and evacuation simulations. Spearpoint and Xiang conducted a series of evacuation experiments in several lecture halls and evaluated the accuracy of the Monte Carlo network evacuation model []. The study found that the number of seats affects the maximum speed of movement. Zhao et al., conducted a series of evacuation experiments in a three-dimensional lecture hall under conditions of good visibility as well as zero visibility [], revealing the difference between evacuation behavior under zero visibility and normal lighting conditions. On this basis, a three-dimensional social force model is proposed. Nilsson used evacuation experiments in movie theaters to study the evacuation of people in the initial stage of fire and analyzed whether people would be affected by others. The research results proved the importance of social influence in evacuation []. In conclusion, scholars have conducted a lot of research on the evacuation behavior of people in various buildings, including complex scenarios, most of which focus on fire performance evaluation or the proposal or improvement of evacuation models. However, there are few studies on the problem of evacuating people in theaters, especially theaters with rotating mechanisms.
Aiming at the problem of personnel evacuation behavior in complex scenarios, some scholars have carried out research from the perspective of optimizing the evacuation model. Wang et al., proposed a dynamic path optimization model to determine the optimal evacuation route in the fire scenario of an offshore platform []. Zhang et al., established a vehicle–pedestrian force and conflict time model for complex pedestrian–vehicle interaction dynamics []. Taking parking lot evacuation as an example, the effectiveness of the model is verified. Zhang et al., proposed a multi-exit evacuation model based on a continuous model for the evacuation problem in multi-exit scenarios []. Mao et al., proposed an emotion-based evacuation framework to discuss the impact of third-party roles on agent movements []. These studies provide new ideas for the simulation of personnel evacuation behavior in complex scenarios. However, most of them mainly focus on the proposal or improvement of evacuation models for some specific scenarios and it is difficult to guide the identification of evacuation scenarios in a performance-based fire protection design of complex buildings.
Designing fire scenarios is an important step in performance-based design. In complex scenarios, there are often so many possible fire situations that it is impractical to analyze every situation. Appropriate scenarios need to be selected so that worst-case scenarios can be analyzed. Jutras et al., introduced a method for identifying fire safety objectives, performance criteria, fire scenarios, and representative design fire curves []. Chen et al., proposed a calculation method for the most unfavorable fire scenarios based on the structural vulnerability theory for fire protection of steel structures []. Zhang et al., developed a modified ASET/RSET method to assess safety risks with fire conditions in 3D environments []. Wang et al., proposed a multi-exit fire location selection model based on a worst-case assumption and proposed a new building fire evacuation risk assessment method []. Chu et al., proposed a stochastic method for evaluating the probability distribution of fire scenarios over time []. Del Prete et al., discussed the definition of fire scenarios and the selection of design scenarios []. Most of these studies provide some fire scenario identification methods and fire risk assessment methods from the perspective of fire source load, fire development curve, fire source location, and fire scenario probability distributions, which are helpful to identify key fire scenarios in conventional buildings. In conventional buildings, room layouts and evacuation facility locations are often fixed, regardless of the inherent facility uncertainty. However, for buildings with rotating mechanisms, it is difficult to use existing methods to provide more effective help for the identification of the most unfavorable evacuation scenarios caused by the uncertainty of the location of evacuation facilities.
The key to performance-based fire protection design is to detect and evaluate evacuation performance in the worst scenarios. In the recognition of the worst fire scenarios, most of the existing research is aimed at the design of the heat source load, the fire development curve, the fire source location, and the fire scene probability in conventional buildings. In conventional buildings, room layouts and evacuation facility locations are usually fixed, regardless of inherent facility uncertainties. However, for buildings with rotating mechanisms, the rotation mechanism can lead to an uncertainty of evacuation distances and paths, and it is difficult to use existing methods to help identify the worst evacuation scenarios more effectively. How to find the most unfavorable evacuation scenario in a random evacuation scenario presents a great challenge to performance-based fire protection design. Therefore, this paper takes a typical rotating auditorium theater as the research object, studies the dynamics and uncertainty of the evacuation process of a rotating auditorium theater, provides a new idea for the classification and analysis of random evacuation scenarios, and performs the simulation and analysis based on the fire dynamics simulation FDS and the evacuation simulation software Pathfinder. Based on the simulation results, the existing evacuation situation of the theatre was assessed and improved evacuation strategies were proposed. It provides a reference for the problem of identifying multiple evacuation scenarios for similar buildings based on performance-based fire protection design and also provides some guidance on the design of evacuation measures.
2. Problem Description
2.1. Description of the Theater
Based on the Chongqing 1949 Grand Theater in Ciqikou, Chongqing, a 3D model was established, as shown in Figure 1a. The total height of the theater building is 28.4 m, the overall shape is cylindrical, the height from the ceiling to the ground is 27.4 m, and the diameter of the internal cylindrical space is about 70.8 m, as shown in Figure 1b. Theater buildings can be divided into stage areas and other areas. The stage area is the ground floor and the local areas including the auditorium, backstage, rehearsal, and equipment room are four floors above ground. There is a round stage area in the center of the stage area. The total construction area is 25,315.34 m2. The auditorium is designed with 1497 seats.
Figure 1.
Theater model diagram. (a) 3D model of the theater; (b) a section view.
The auditorium of the theater can be divided into three areas, namely auditorium A, auditorium B, and auditorium C as shown in Figure 1. Auditorium A is located on the second floor, auditorium B and auditorium C are located on the first floor, where auditorium B and auditorium C are movable. When there is a performance on the stage, auditorium B and auditorium C can independently rotate around the theater stage center.
2.2. Challenge of Evacuation Safety in the Theater
Compared with the traditional theater building, the rotating theater not only presents a great density of people, but also presents the complexity of the layout of the theater, the randomness of the rotating movement of the auditorium, and the suddenness of fire events. Rotating mechanisms can lead to uncertainty about evacuation distances and paths, making RSET difficult to obtain in the worst scenarios. How to find the most unfavorable evacuation scenario in a random evacuation scenario presents a great challenge to performance-based fire protection design.
Please note that in order to avoid confusion with the fire scenario based on the fire location and the fire source parameters, the “evacuation scenarios” in this paper refer specifically to the different spatial layout of the auditorium caused by the random rotation of the auditorium in the theater, which determines the initial evacuation position of the audience and the location of the evacuation exits.
When a fire breaks out, the rotating auditorium may stay at any position, the relative position of the auditorium evacuation routes and other exits changes in real time, and the evacuation path also changes (as shown in Figure 2). Figure 2 shows the reference evacuation routes under four typical auditorium locations; they are significantly different. As a supplement to Figure 2, Figure 3 shows the evacuation routes for auditorium B and auditorium C.
Figure 2.
Evacuation routes under four typical auditorium locations. (a) Evacuation routes for auditorium location 1; (b) evacuation routes for auditorium location 2; (c) evacuation routes for auditorium location 3; (d) evacuation routes for auditorium location 4. (N1–N12 are the north exits of the 1st floor; S1S2 are the south exits of the 1st floor; E1–E3 are the east exits of the 1st floor; W1–W2 are the west exits of the 1st floor; NE1 is the northeast exit of the 1st floor, and NW1 is the northwest exit of the 1st floor; F2A1–F2A8 are the exits of the 2nd floor; F3B1–F3B6 are exits on the 3rd floor.)
Figure 3.
Evacuation routes for auditorium B and auditorium C.
In Figure 2, the codes prefixed with N, S, E, W, NE, and NW represent the evacuation exits on the north, south, east, west, northeast, and northwest sides of the first floor, respectively. For example, N1 represents the evacuation exit No. 1 on the north side of the first floor. The codes prefixed with F2A and F3B represent the evacuation exits on the second and third floors, respectively. Among them, the evacuation exits W2, N7, N8, N9, N10, N11, N12, S2, E2, and E3 on the first floor are connected to the outside and other exits on the first floor are internal exits. A1 and A2 are the evacuation exits located on the side wall below auditorium A. B1 and B2 are the evacuation exits of auditorium B; C1 and C2 are the evacuation exits of auditorium C. The evacuation exits F2A7, F2A8, F3B5, and F3B6 on the second and third floors are connected with the outside and the other exits are internal exits.
For the auditorium A, the upper part of the audience can evacuate to F3B5 and F3B6 through the evacuation exits F3B1, F3B2, F3B3, and F3B4, and leave from the elevated entrance square on the third floor. The lower part of the audience evacuates to the main hall on the second floor through the evacuation doors F2A1, F2A2, F2A3, and F2A4, and then leave the theater. Therefore, the evacuation routes of auditorium A are relatively simple.
However, for the rotatable auditorium B and C, the relative position of the auditorium exits and the evacuation routes will change with the rotation angle. People in auditorium B and C need to go through the exits behind the auditorium to complete the evacuation, as shown in Figure 3. When the evacuation exits B1, B2, C1, and C2 of auditorium B and auditorium C are fully or partially connected, the audience of auditorium C can complete the evacuation through the evacuation exit under auditorium B, as shown in Figure 2a,c. Similarly, when the evacuation exits B1 and B2 of auditorium B are connected or partially connected with the evacuation exits A1 and A2 on the first floor, the audience of auditorium B can complete the evacuation through the evacuation exits A1 and A2, as shown in Figure 2a. In some cases, the evacuation exit of the auditorium may be blocked due to the dislocation of the rotating structure. For example, exit A1 and exit B1 in Figure 2d are blocked due to the movement of auditorium B.
Even under some extreme conditions, the evacuation exits of the auditorium will be completely blocked, so that the audience on the corresponding auditorium cannot leave the auditorium for evacuation, resulting in great potential safety hazards. This has been verified in the pre-evacuation simulation. For example, when auditorium C rotates to a certain angle, the evacuation exits of auditorium C (evacuation exits C1 and C2) may be completely blocked and the audience in auditorium C cannot leave auditorium C through the evacuation exits C1 and C2, while the audience in the other auditoriums has already been evacuated, as shown in Figure 4. Therefore, it is necessary to evaluate the evacuation performance of the theater under various auditorium conditions and provide a reasonable and effective evacuation path scheme for the most unfavorable evacuation scenarios.
Figure 4.
Distribution of audience when evacuation exits C1 and C2 of auditorium C are completely blocked.
2.3. Objectives for Evacuation Analysis
In the performance-based fire safety design, whether people can evacuate safely depends on two characteristic times: available safe evacuation time (ASET) and required safe evacuation time (RSET) []. ASET is defined as the available evacuation time before a fire develops to a dangerous state and RSET is defined as the time required for people in a dangerous area to evacuate and reach a safe area. If people can be evacuated to a safe area before the building reaches a dangerous state, the fire safety design of the building should ensure the safety of evacuees, which means that the available safe evacuation time (ASET) should be longer than the required safe evacuation time (RSET). If the required safe evacuation time (RSET) is shorter than the available safe exit time (ASET), people’s lives will be seriously threatened. In addition, the longer the ASET is than the RSET, the safer it is considered. The goal of safe evacuation can be regarded as []:
ASET is usually estimated by simulating the time to reach the maintainability limit specified in the safety standard. RSET depends on the building space and layout, fire-fighting facilities, the number and distribution of evacuation exits, passenger evacuation behavior, etc.
The evacuation time is composed of three parts, namely , and , as shown in Figure 5. RSET can be expressed as follows:
where is the fire detection time from fire ignition to detection and alarm, is the response time from identification to the beginning of evacuation, and is the evacuation action time from the beginning of evacuation to the completion of evacuation.
Figure 5.
Composition of evacuation time.
The value of is mainly related to the building fire alarm system. Considering that the theater is equipped with an automatic fire alarm system, this can play a very good role in fire monitoring. A typical infrared flame detector outputs a fire alarm signal within 30 s and its maximum delay should not exceed 1 min; however, it cannot be ruled out that due to high operating hours and improper maintenance and management of the detector, some detection systems detect more than 1 min []. To be conservative, it is recommended that the alarm time = 60 s. The response time of mainly depends on the classification of the evacuation scenarios and the level of fire safety management; the complexity of the building also has some influence on it. It is related to the characteristics of the building structure, the consciousness state of the evacuees, the age of the evacuees, the familiarity with the evacuation path, the efficiency of the management system, and the degree of the emergency evacuation training and exercise. For buildings such as shopping malls, exhibition halls, and museums, where the building occupants are unfamiliar with the building, the alarm system, and the evacuation routes, the action time when using a live broadcast system is no more than 2 min []. Taking into account potential disadvantages such as the elderly and children, a conservative estimate in this work takes the for all evacuation scenarios to be 2 min, that is, = 120 s.
The evacuation action time of is the key to determine the necessary evacuation time, which depends on many factors, such as theater layout, auditorium location, location and width of emergency exit and its availability, audience composition, walking speed, and passenger distribution.
2.4. Fire Safety Criterion
In order to calculate the time of fire reaching the critical dangerous state, it is necessary to analyze the simulation results of fire smoke performance parameters based on the safety criteria. The main performance parameters affecting evacuation include smoke layer height, convective heat, visibility, and carbon monoxide concentration. By consulting the relevant literature, the following safety criteria are obtained [,]:
- (1)
- Radiant heat
NFPA101 stipulates that for theater buildings, it is necessary to provide a means to maintain the smoke level at not less than 6 ft (1830 mm) above the highest level of assembly seating or above the top of the proscenium opening where a proscenium wall and opening protection are provided. The limit heat radiation that humans can tolerate under the condition of hot smoke layer is 2.5 kW/m2. In order to ensure the safety of personnel, when the height of the smoke layer is more than 2 m above the floor, the smoke temperature should be less than 200 °C [,].
If the height of smoke layer drops below 2 m and exceeds the following temperature, visibility, and CO concentration limits, it is considered that the safety of personnel cannot be maintained.
- (2)
- Convective heat
Breathing overheated air can cause thermal shock and skin burns. For most building environments, it is considered safe for the temperature of the inhalable air to be below 60 °C.
- (3)
- Visibility
Visibility is an index to reflect the smoke concentration experienced by evacuees in a fire; visibility is an important factor to characterize the smoke hazards. According to NFPA 140, the smoke extraction system should ensure that the visibility of the space below the clear height (usually not less than 2 m) is greater than 10 m in order to provide a maintainable environment for safe evacuation []. Considering that this theater belongs to a large space building, to be conservative, the danger value of visibility is set to 10 m.
- (4)
- CO
The relationship between the residence time of a human in CO and the CO concentration is discussed in the SFPE fire engineering manual []. It is pointed out that the limit safety time of human energy in the environment of 1000 ppm CO is 40 min. Among them, 500 ppm is a relatively low concentration, which can allow a longer residence time. Therefore, 500 ppm was used as the risk index of CO concentration in this study.
3. Methodology
3.1. Overall Framework for Identifying Evacuation Scenarios
According to the performance-based fire protection design, the worst scenario RSET needs to be identified and then compared with the ASET. Therefore, the key issue in this study is to identify the worst evacuation scenario to be assessed. For theatres with rotatable auditoriums, the rotating mechanism leads to the existence of an infinite number of evacuation scenarios. How to generalize the infinite number of evacuation scenarios into a limited number of typical evacuation scenarios and to identify the most unfavorable evacuation scenarios poses a great challenge for performance-based fire protection design.
The SFPE Engineering Guide to Performance-Based Fire Protection gives the process of performance-based fire protection design, including defining project scope, identifying goals, defining objectives, developing performance criteria, developing fire scenarios, developing trial designs, and evaluating trial designs. A two-step process is proposed to identify and design fire scenarios []. The first step is to consider all possible scenarios for a building within the design envelope. The second step is to reduce the number of possible scenarios to a manageable set of design scenarios. Scenarios can be grouped into similar clusters of scenarios based on defined characteristics. Based on this idea, a systematic approach to identify the worst evacuation scenes is proposed in this work to address the problem of randomness in evacuation scenes. The overall framework for identifying evacuation scenarios is shown in Figure 6. It mainly consists of the following steps: (1) sorting out all possible evacuation scenarios; (2) defining classification characteristics; (3) obtaining scenario clusters and verifying their achievability; (4) identifying the worst scenarios in each scenario cluster; (5) determining the RSET of each worst scenario through evacuation simulation; (6) performing evacuation evaluation analysis.
Figure 6.
Framework for identifying evacuation scenarios.
3.2. Analysis of Scenario Clusters
In this theater, auditorium B and auditorium C can rotate independently around the center of the stage to any position and the fire may occur at any time. Theoretically, there are countless possibilities for the relative positions of evacuation exits A1, A2, B1, B2, C1, and C2 corresponding to auditorium A and rotating auditoriums B and C. Therefore, characteristics need to be defined to facilitate reducing the number of possible fire scenarios to a manageable set of design fire scenarios.
In order to clearly identify evacuation scenarios, classification characteristics need to be defined first. As described in Section 2.2, the blockage of the evacuation exit has a decisive impact on the evacuation path. In this regard, all possible scenarios can be classified according to the evacuation blockage of evacuation exits A1, A2, B1, B2, C1, and C2. The analysis relationship diagram for the classification of evacuation scenario clusters is shown in Figure 7, where a square indicates that the exit is blocked and a circle indicates that the given exit is not blocked. In order to clearly explain the classification criteria, “circle A1-square A2-circle B1-circle B2-circle C1-circle C2” in Figure 7 is used as an example for description. It represents a set of situations, that is, all scenarios in which evacuation exits A1, B1, B2, C1, and C2 are not blocked and evacuation exit A2 is blocked. In this paper, the set of all situations that meet this condition is defined as a cluster.
Figure 7.
Classified analysis of scenario clusters.
Table 2 shows all clusters of blockages of evacuation exits A1, A2, B1, B2, C1, and C2. As a supplement to Table 2, Figure 8 shows four typical audience rotation situations. In Table 3, the number corresponding to each evacuation exit represents its blocking situation, 1 represents that the evacuation exit is not blocked, such as evacuation exit A1, A2, B1, B2, C1, and C2 of A and B in Figure 8a,b; 0 represents that the evacuation exits is blocked, such as evacuation exits A2, B1, and C2 of C in Figure 8c and evacuation exits A1, A2, B1, B2, C1,and C2 of D in Figure 8d.
Table 2.
All clusters of blockages of evacuation exits A1, A2, B1, B2, C1, and C2.
Figure 8.
Four typical auditorium rotation situations. (a) Audience rotation situation 1; (b) Audience rotation situation 2; (c) Audience rotation situation 3; (d) Audience rotation situation 4.
Table 3.
Sketch of test plan.
By listing all the evacuation scenario clusters, 64 ideal scenario clusters were obtained. Through further analysis, it can be found that 40 clusters cannot be achieved because the blocking between auditorium A, auditorium B, and auditorium C is interactive. For example, when the evacuation exits A1 and A2 are not blocked, it means that either auditorium B has rotated to a position far away from the evacuation exits A1 and A2, or the evacuation exits B1 and B2 of the auditorium B are just connected to the evacuation exits A1 and A2. In either case, the evacuation exits B1 and B2 of auditorium B will not be blocked, that is, it is impossible to realize a cluster in which both the evacuation exits A1 and A2 are not blocked but the evacuation exits B1 and B2 are blocked. Therefore, according to a similar rule, all unrealizable clusters were excluded, leaving 24 realizable clusters in the end.
Table 2 shows these unrealizable clusters and explains why these solutions are not realizable. Therefore, the following numerical simulation studies mainly focus on the remaining 24 realizable clusters, including Cluster 1~4, Cluster 25~28, Cluster 37~40, and Cluster 53~64.
3.3. Identification of the Worst Scenarios
In the above classification analysis, all evacuation scenarios were classified and 24 realizable clusters were obtained. However, for every cluster of exit blockages, there are countless ways of rotating the auditorium position layout. In order to simplify the evacuation analysis and evaluate the evacuation performance, further analysis of the cluster is needed. In general, the longer the total distance it takes for everyone in a building to complete an evacuation, the more difficult it is for people to evacuate in an emergency []. Therefore, based on this principle, we can analyze the relative positions of auditorium B, auditorium C, and other exits on the first floor. For the auditorium whose location cannot be determined, the situation that the auditorium evacuation exits are relatively farthest from the theater exits must exist, that is, the relatively longest evacuation path must exist. According to the above classification principles, each cluster is further analyzed and one or more typical rotating audience position layouts are obtained to determine the most unfavorable evacuation scenarios.
Figure 9 shows the typical most unfavorable layouts of the rotating auditorium for Clusters 1 to 4. For Cluster 1, 13 typical layout modes of the rotating auditorium are listed, which are named Case 1A, 1B, 1C, 1D, 1E, 1F, 1G, 1H, 1I, 1J, 1K, 1L, and 1M, respectively. For Cluster 2, five typical layout modes of the rotating auditorium are listed, which are named Case 2A, 2B, 2C, 2D, and 2E. The cases of Cluster 3 and Cluster 2 are symmetrical, which are named Case 3A, 3B, 3C, 3D, and 3E. For Cluster 4, a typical layout of the rotating auditorium is listed, named Case 4A.
Figure 9.
Typical layouts of the rotating auditorium for Clusters 1 to 4.
According to the classification results in Table 2, Cluster 1 represents a set of scenarios where none of the evacuation exits A1, A2, B1, B2, C1, and C2 are blocked. Here, there are three cases according to the relative positions of auditorium A and auditorium B: (1) auditorium B is completely aligned with auditorium A; (2) auditorium B is partially aligned with auditorium A; (3) auditorium B is completely separated from auditorium A. In some scenarios, the positions of auditorium B and auditorium C are fixed, such as 1A and 1B in Figure 9, because the evacuation exits between auditoriums need to be in one-to-one correspondence. However, in many scenarios, the positions of auditorium B and auditorium C are not fixed, such as 1C in Figure 9. In theory, the position of auditorium C can be any position. In response to this problem, we need to analyze according to the principle of the longest evacuation path.
Since the number of evacuation exits on the first floor of the theater is limited, they are mainly distributed in the south, northeast, southeast, southwest, and northwest directions. There are several typical locations that make the evacuation exits of auditorium B and auditorium C far away from the nearest exits on the first floor. The sum of the distances is relatively large, such as 1E and 1L in Figure 9. The two evacuation exits of auditorium C are relatively far away from the nearest northeast, southeast, and south evacuation exits, corresponding to the relatively longest evacuation path. Based on similar methods, the typical worst scenarios of other clusters can be sorted out, as shown in Figure 9, Figure 10 and Figure 11.
Figure 10.
Typical layouts of the rotating auditorium for Clusters 25 to 28 and 37 to 40.
Figure 11.
Typical layouts of the rotating auditorium for Clusters 53 to 64.
Figure 10 shows the typical most unfavorable layouts of the rotating auditorium for Clusters 25 to 28 and 37 to 40. For Cluster 25, three typical layouts of rotating auditorium are listed, which are named Case 25A, 25B, and 25C, respectively. For Cluster 26, two typical layouts of rotating auditorium are listed, which are named Case 26A and 26B. For Cluster 27, two typical layouts of rotating auditorium are listed, which are named Case 27A and 27B. For Cluster 28, a typical layout of rotating auditorium is listed, named Case 28A. The cases of Cluster 37 to 40 and Cluster 25 to 28 are symmetrical. For Cluster 37, three typical layouts of rotating auditorium are listed, which are named Case 37A, 37B, and 37C, respectively. For Cluster 38, two typical layouts of rotating auditorium are listed, which are named Case 38A and 38B. For Cluster 39, two typical layouts of rotating auditorium are listed, which are named Case 39A and 39B. For Cluster 40, a typical layout of rotating auditorium is listed, named Case 40A.
Figure 11 shows the typical most unfavorable layouts of the rotating auditorium for Clusters 53 to 64. For Cluster 53, two typical layouts of rotating auditorium are listed, which are named Case 53A and 53B. For Cluster 54, two typical layouts of rotating auditorium are listed, which are named Case 54A and 54B. For Cluster 55, only one typical layout of rotating auditorium is listed, named Case 55A. For Cluster 56, only one typical layout of rotating auditorium is listed, named Case 56A. The cases of Cluster 53 to 56 and Cluster 57 to 60 are symmetrical. For Cluster 57, two typical layouts of rotating auditorium are listed, which are named Case 57A and 57B. For Cluster 58, only one typical layout of rotating auditorium is listed, named Case 58A. For Cluster 58, two typical layouts of rotating auditorium are listed, which are named Case 59A and 59B. For Cluster 60, only one typical layout of rotating auditorium is listed, named Case 60A. For Cluster 61 to 64, two typical layouts of rotating auditorium are listed, which are named Case 61A, 62A, 63A, and 64A.
To sum up, a total of 56 cases and 24 clusters were listed, including all the typical most unfavorable evacuation scenarios. Next, the evacuation simulations of these 56 cases were carried out.
4. Numerical Simulation
In this paper, the smoke development process of theater fire was simulated by fire numerical simulation, the smoke performance characteristic parameters were obtained based on the safety index analysis, and ASET was calculated.
4.1. Fire Simulation Physical Model
The fire numerical simulation was carried out using the Fire Dynamics Simulator (FDS) version 6.7.1. FDS is a computational fluid dynamics (CFD) software developed by the National Institute of Standards and Technology (Gaithersburg, MD, USA) to simulate fluid flow in fire. FDS uses numerical calculation methods to solve the N-S equation of the flow driven by fire buoyancy, which is widely used by scholars and verified by a large amount of experimental data.
A full-size theater model was established by FDS, as shown in Figure 12.
Figure 12.
The theater model.
According to previous scholars’ research on the fire source heat release rate (HRR) of theater fires, Yeo has conducted research on performance hall fire smoke exhaust performance under fire source conditions of 3 MW, 5 MW, and 10 MW heat release rates []. In Kim’s research, the fire source of the 10 MW heat release rate was calculated []. With reference to these existing documents, and considering the quantity and distribution of combustibles, structural characteristics, and fire-fighting facilities of the theater building, 8 MW was adopted as a typical fire heat release rate in this study. The most unfavorable situation is considered. Considering the most unfavorable situation, the fire source model is assumed to be a steady-state fire, that is, the heat release rate of the fire source does not increase with time.
The location of the fire source is an important parameter in the fire scenario, which should be set according to the geometric characteristics of the building and the results of the fire hazard analysis. According to the previous research results of theater fire, the stage is equipped with a large number of lightings, sound, power generation, and other electrical equipment and electrical circuits, which consume large amounts of electricity and have many potential electrical fire hazards. Therefore, from the perspective of fire risk and fire load, the fire source located in the stage area is considered to be an event with higher intensity or greater impact [,]. From the perspective of fire development, the fire in the lower stage area has brought greater challenges to the evacuation of people on all floors in the theater, which is also in line with the most unfavorable conditions in the fire scene design. Therefore, in this work, the fire source is set in the center of the stage area. In order to simplify the fire object, the fire source is designed on a 0.6 m high platform and the physical size of the fire source is 2.59 m × 2.59 m. The ceiling above the stage is equipped with six mechanical exhaust vents with a size of 1.25 m × 1.25 m, and the exhaust volume of each vent is 16.17 m3/s. The position of the fire source and the exhaust vents are shown in Figure 12.
In order to study the influence of the operation state of the exhaust system on smoke movement, different smoke exhaust conditions were set up in the numerical simulation. Based on the analysis of the fire scenario in the theater, two case conditions were established to observe the movement law of smoke flow. The most unfavorable situation is considered here, it is assumed that the sprinkler system will fail under two case conditions. The specific parameters of the two schemes are shown in Table 3.
4.2. Fire Simulation Meshes
In the FDS simulation, the mesh size is a key parameter that should be carefully considered. The FDS user’s guide [] suggests that a non-dimensional expression can be used to measure how well the fire-induced flow field could be resolved, where is a characteristic fire diameter (m) and is the nominal size of a mesh cell (m), calculated by:
The quantity can be thought of as the number of computational cells spanning the characteristic diameter of the fire. Based on local and international scholars, the value of ranging from 4 to 16 have good simulation results []. A finer grid can reflect the smoke movement and the heat flow field in more detail, but it also requires higher computing resources. For a fire size of 8 MW, obtained according to the equation is 2.20 m and then the recommended grid size range is 0.137~0.550 m. Therefore, a grid size of 0.4 m is basically sufficient for numerical simulation. The independence of the model grid was verified using a 0.2 m–0.5 m grid, considering the accuracy of the simulation and the speed of the calculation. Figure 13 shows the temperature variation curve with time for the measured points at a height of 26 m from the stage. From Figure 13, when the grid size is less than 0.4 m, the calculation results do not change much as the grid size decreases. Therefore, the grid size was set to 0.4 m × 0.4 m × 0.4 m for all simulation cases in this paper.
Figure 13.
Grid sensitivity analysis.
The initial temperature was the same as the full-scale experiment, i.e., 20 °C, the pressure was 1.01 × 105 Pa, and the smoke concentration was 0 mol/mol at the initial time.
In the FDS simulation, different types of measurement points are established to obtain detailed data of related indicators. According to the characteristics of the theater fire and the evacuation requirements, three types of measurement points are arranged near the door that each person may pass through: CO concentration measurement point, visibility measurement point, and temperature measurement point.
4.3. Evacuation Simulation Parameters
To assess the fire safety of the theatre, evacuation behavior in various fire scenarios was simulated using the evacuation behavior simulation software Pathfinder. In the Pathfinder software, the main personnel movement modes include the SFPE mode and the Steering mode. In the SFPE mode, persons will select exits based on the proximity principle. During the simulation, this mode automatically identifies the density of the evacuation space and adjusts the speed of the personnel; the occupants can penetrate each other but the doors will limit their flow. The Steering mode option was used in this work. In Steering mode, a combination of path planning, guidance mechanisms, and collision handling are used to control the movement of people, determining the evacuation path based on the evacuation distance and the distance between occupants. These mechanisms allow occupants to deviate from the path while still heading in the right direction, and the doors do not limit the flow of people. In this study, the number of seats designed for the theater is 1473 and the number of staff on the stage is 86. The total number of people to be evacuated from the theater is 1559, including 632 male adults, 632 female adults, 158 children, and 158 elders Their body sizes (shoulder width m × back thickness m × height m) are 0.5 × 0.3 × 1.7, 0.45 × 0.28 × 1.6, 0.3 × 0.25 × 1.3, and 0.5 × 0.25 × 1.6, respectively. Table 4 shows the distribution of the number of people at each floor location.
Table 4.
Distribution of the number of people on each floor.
According to previous studies, the walking speed of 0.8~1.7 m/s was often used, which can be automatically adjusted according to the personnel density in the current area [,,], and a walking speed of 1.19 m/s was also used in some studies [,]. In this study, a walking speed of 1.0 m/s is considered appropriate.
4.4. Assumed Conditions for Evacuation Simulation
The evacuation analysis is based on the following assumptions:
- During evacuation, the occupant should use the shortest radial exit to move and will not choose other evacuation exits during the evacuation.
- Assuming that the flow of personnel is continuous, there is no interruption caused by any personnel’s decision.
- Based on the consideration of evacuation safety, when the exit is partially blocked by the auditorium structure, people are not allowed to evacuate through the partially blocked exit.
- Based on the consideration of evacuation safety, people in the auditorium should not jump off the stage for evacuation.
- People should not be evacuated through the stage setting area in the center of the stage.
- Once the occupants pass the outside exit of the theater (Exits W2, N7, N8, N9, N10, N11, N12, S2, E2, E3), they can be considered safe.
- The evacuees have sufficient physical conditions to evacuate themselves to a safe place.
5. Results and Discussion
5.1. Fire Simulation Results
Figure 14a shows the smoke-filling process in the theater with the smoke extraction system off, calculated by the FDS fire simulation. With the development of time, the flue gas gradually settles. A total of 200 s after the fire, the smoke has filled the fourth floor. When the fire developed to 400 s, a large amount of smoke had settled to the first and second floors. Figure 14b shows the smoke-filling process in the theater with the smoke control system in operation. Comparing with Figure 14a, it can be found that the smoke deposition process is obviously slower when the smoke control system is operated. Although a small amount of smoke is mixed with the air in the lower layer, the stable height of the smoke layer is always kept above the third floor, which indicates that the mechanical smoke exhaust system can effectively prevent the smoke deposition, to ensure that the people have enough time to evacuate.
Figure 14.
Smoke filling process in the theater. (a) Smoke extraction system off; (b) smoke extraction system on.
FDS fire simulation results show that when the smoke control system is turned off, the temperature of the first floor to the third floor at 2 m height from the floor does not reach 60 °C and the CO concentration at 2 m height does not reach 500 ppm within 800 s after ignition. However, 379.6 s after the fire, the visibility of some areas near the evacuation exit F3B2 has been reduced to less than 10 m, which cannot ensure safe evacuation, as shown in Figure 15a. After 633.4 s of ignition, the visibility of some areas near the evacuation exit F2A2 on the second floor decreased to less than 10 m, as shown in Figure 15b. After 633.4 s of ignition, the visibility of some areas near the evacuation exit E1 on the first floor decreased to less than 10 m, which also could not ensure safe evacuation, as shown in Figure 15c. Therefore, visibility is the main factor affecting ASET.

Figure 15.
Contour of visibility at the height of 2 m with smoke exhaust off. (a) Contour of visibility on the third floor at 379.6 s; (b) contour of visibility on the second floor at 520.7 s; (c) contour of visibility on the first floor at 633.4 s.
When the smoke control system is turned on, even after 800 s of ignition, the smoke temperature does not reach 60 °C at the height of 2 m from the first floor to the third floor, the CO concentration at the height of 2 m is far lower than 500 ppm, and the visibility of almost all areas is above 10 m, indicating that the smoke exhaust system can ensure that people have enough time to complete evacuation.
Table 5 details the time required for each characteristic index to reach critical danger. It can be seen from Table 5 that when the smoke exhaust system works normally, it can ensure that each floor of the theater is in a relatively safe state within 800 s after a fire occurs. When the smoke exhaust fails, there is a risk that people cannot be safely evacuated. Visibility becomes the most important indicator of the time required to reach the critical danger. The available safe evacuation time (ASET) from the first floor to the third floor is 633.4 s, 520.7 s, and 379.6 s, respectively.
Table 5.
Time required for each characteristic index to reach critical danger.
5.2. Evacuation Simulation Results
Figure 16 shows the evacuation action time of all cases calculated by the evacuation simulation, in which the red bar indicates that the evacuation process cannot be completed. It can be found from Figure 16 that there are regular differences in the evacuation time of each case. When six evacuation exits (A1, A2, B1, B2, C1, C2) are not blocked, such as Cases 1A~1M, the difference of evacuation time of each case is limited, which is mainly concentrated between 204~224 s. It shows that the relative position of the auditorium and the exit has little effect on the evacuation time. When the evacuation exit C1 or C2 is blocked, such as Case 2A~3E, the evacuation time of each case is different, but it is basically in the range of 256~291 s. When the evacuation exit B1 or B2 is blocked, such as Cases 25A~29B, the evacuation time of each case is significantly longer and is more than 400 s, which indicates that the exit occlusion of auditorium B is an important factor affecting the total evacuation time. Compared with the exit blocking of auditorium C, the exit blocking of auditorium B is more unfavorable to the evacuation process. In addition, when evacuation exits B1 and B2 or C1 and C2 are blocked at the same time, the evacuation of spectators in both auditorium B and auditorium C cannot be completed, because they cannot pass through the only evacuation exits B1 and B2 or C1 and C2, as in Cases 4A, 28A, 40A, 56A, 60A, to 64A.
Figure 16.
Evacuation action time of all cases calculated by the evacuation simulation.
Figure 17 shows the real-time change of the number of occupants on each floor over time, taking Cases 1A, 2A, and 25A as examples. Table 6 shows the evacuation time for the occupants of each floor in all cases. It can be found that the occupants on the fourth floor completed the evacuation in only 45.8 s, the occupants on the third floor took about 184 s~191 s to complete the evacuation, and the occupants on the second floor completed the evacuation in 189~212 s. The differences in evacuation time in these cases are limited, which may be due to subtle differences in models and occupant distribution. However, there are significant differences in the evacuation time of the occupants located on 1F in different cases. The evacuation completion time of Case 1B is the shortest, only 204.2 s, while the evacuation completion time of Case 59B reached 522.8 s. In general, occupants on the first floor require a longer evacuation time than those on other floors and, as the total evacuation time of the theater is the maximum of the evacuation times on each floor, the evacuation time of the occupants on the first floor is critical to the total evacuation time.

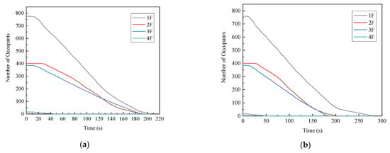
Figure 17.
Changes in the number of occupants on each floor over time. (a) Change in the number of occupants of Case1A; (b) change in the number of occupants of Case2A; (c) change in the number of occupants of Case25A.
Table 6.
Evacuation time for the occupants of each floor in all cases.
Although the evacuation time of different cases on the first floor varies greatly, some common rules can still be found. For example, in Cases 1A~1M, the evacuation exits of auditorium B and auditorium C are not obstructed, which greatly alleviates the traffic congestion, thus the evacuation time is relatively short. When the evacuation exit C1 or C2 is blocked, such as Cases 2A~3E, the evacuation time of each case is different, but it is basically in the range of 256~291 s. When the evacuation exit B1 or B2 is blocked, such as Cases 25A~59B, the evacuation time of each case is longer than 400 s. This shows that compared with the change of the location of the evacuation exit, the obstruction of the evacuation exit is the most important factor affecting the evacuation time, especially the obstruction of the evacuation exits B1 and B2 in auditorium B.
Due to the small number of occupants on the fourth floor and the short evacuation time, the following discussion mainly focuses on the fire and evacuation simulation of the first to third floors with longer evacuation time.
To further analyze the differences of evacuation actions, Figure 18 shows the number of people passing through each exit on the first floor of Cases 1A~1D. It can be found from Figure 18 that the number of people passing through the exit varies greatly in each case, but the evacuation time varies little in different cases, which indicates that the impact of the relative position of the evacuation exit on the overall evacuation efficiency is limited.
Figure 18.
Distribution of the number of people passing through each exit on the first floor of Cases 1A~1D. (a) Number of occupants in Case 1A; (b) number of occupants in Case 1B; (c) number of occupants in Case 1C; (d) number of occupants in Case 1D.
To analyze the evacuation behavior in the theater, Figure 19 shows the evacuation process and density distribution of occupants, taking Case 1A as an example. In the early stage of evacuation, the people in auditorium B and auditorium C gathered near the evacuation exits B1 and B2 and C1 and C2, respectively, with high population density, as shown in Figure 19b. This kind of congestion near the exit also occurred during the evacuation of auditoriums on the second and third floors. After 100 s, the people in audience C have passed C1 and C2, but the people in audience B still gather near exits B1 and B2, which indicates that it takes longer for the audience in audience B to complete the evacuation than the audience in audience C, as shown in Figure 19c. All people on the first floor were evacuated to the outside at 209.0 s, as shown in Figure 19d.
Figure 19.
Evacuation process and density distribution of the occupants on the first floor. (a) Occupant density at 0 s; (b) occupant density at 50 s; (c) occupant density at 100 s; (d) occupant density at 209.0 s.
5.3. Evaluation and Analysis
Based on the results of the fire simulation and the evacuation simulation, the evacuation action time and the safe evacuation time of the second floor and the third floor were obtained and summarized in Table 7. It can be found that, whether the smoke exhaust system fails or not, ASET is longer than RSET, which indicates that everyone on the second floor and the third floor can safely evacuate.
Table 7.
ASET and RSET on the second and third floors.
According to the results of the fire simulation and the evacuation simulation, the evacuation action time and the safe evacuation time of the first floor are obtained and summarized in Table 8. By comparing the RSET and ASET in Table 8, it can be concluded that when the smoke exhaust system fails, most of the cases can safely evacuate to the outside. The RSET of Cases 4A, 25C, 27B, 28A, 40A, 54A, 56A, 57B, and 59B~64A exceeds ASET, which means that people cannot safely evacuate. Among them, in Cases 25C, 27B, 54A, 57B, and 59B, people cannot evacuate safely because the evacuation exits of auditorium B were partially blocked, while in other cases where the evacuation exits of auditorium B were partially blocked, such as Cases 25A and 25B, RSET is also very close to ASET, which means that the safety margin is small and there is a risk of being unable to evacuate safely. In addition, the evacuation of Cases 4A, 28A, 40A, 56A, and 60A~64A could not be completed because the evacuation exits in the auditorium were completely blocked. Therefore, in order to ensure that people in the theater can evacuate safely under the most unfavorable conditions, it is necessary to put forward an improved evacuation strategy.
Table 8.
ASET and RSET on the first floor.
5.4. Evacuation Strategies
The simulation results in Section 5.2 show that the obstruction of the evacuation exits in the audience is the main factor affecting the evacuation efficiency. In some cases, the evacuation cannot be started because the evacuation exits are completely blocked. Therefore, in order to solve the problem that only two evacuation exits are blocked, it is considered to set up standby emergency evacuation stairs around the auditorium. Figure 20 shows the location of the alternate evacuation stairs for auditorium B and auditorium C. The emergency evacuation staircase of auditorium B is set at both ends of the aisle of the lowest floor, and a certain space is reserved to avoid the space occupied by the staircase blocking the evacuation exits of auditorium C, with a width of 1.2 m, as shown in Figure 20. The emergency evacuation staircase of auditorium C is set near the existing evacuation exit on the lowest floor, connecting to the stage, with a width of 1.5 m, as shown in Figure 20. When the evacuation exits of the auditorium are blocked, the standby evacuation stairs can be used, and the audience can directly arrive at the stage area with low personnel density from the emergency evacuation stairs for efficient evacuation.
Figure 20.
Location of the alternate evacuation stairs for auditorium B and auditorium C.
Figure 21 shows the evacuation process and the density distribution on the first floor after adding emergency evacuation stairs, taking Case 40A as an example. In Case 40A, evacuation exits C1 and C2 of auditorium C were blocked, which made it impossible for people in auditorium C to evacuate. Evacuation exit B2 of auditorium B is also blocked, so that all audience members can only evacuate through exit B1, which greatly affects the evacuation efficiency. After adding the emergency evacuation stairs, the audience in auditorium C can quickly reach the stage through the emergency evacuation stairs, and the audience in auditorium B near the right side of the audience can also quickly reach the stage through the stairs, as shown in Figure 21b,c. All people on the first floor evacuate to the outside in 234.3 s, which greatly shortens the evacuation time, as shown in Figure 21d.
Figure 21.
Evacuation process and density distribution of the occupants on the first floor after adding emergency evacuation stairs. (a) Occupant density at 0 s; (b) occupant density at 50 s; (c) occupant density at 100 s; (d) occupant density at 234.3 s.
Figure 22 shows the comparison of evacuation time on the first floor before and after adding evacuation stairs in all cases where the evacuation exits are blocked, where the red bar indicates that the evacuation process cannot be completed. It can be seen from Figure 22 that after adding emergency evacuation stairs, the evacuation time of all cases is greatly shortened, which can be controlled within 316.5 s. For the cases that could not be evacuated, such as Cases 4A, 28A, 40A, 56A, and 60A~64A, the evacuation can be completed in a short time, indicating that the increase of emergency evacuation stairs can greatly improve the evacuation efficiency.
Figure 22.
Comparison of evacuation time on the first floor before and after adding evacuation stairs.
Table 9 lists the ASET and the RSET after the emergency evacuation stairs are set up in all cases where the evacuation exits are blocked. The results show that the required evacuation time in all cases is less than the available safe evacuation time, which means that all people can be safely evacuated outside after setting the emergency evacuation stairs. Therefore, the existence of emergency evacuation stairs can effectively ensure the safe evacuation under any adverse conditions. It is recommended to install additional emergency evacuation stairs in auditorium B and auditorium C.
Table 9.
Evacuation action time and evacuation safety time after setting emergency evacuation stairs.
In this paper, we also propose an evacuation strategy based on ideal assumptions: assuming that the rotating mechanism can still operate normally in the event of a fire, then when the evacuation exits are blocked, it is possible to rotate auditorium B or auditorium C to unblock the evacuation exits B1, B2, C1, and C2, which is conducive to reducing the evacuation action time. Figure 23 shows the transformation of Cases 4A, 38A, 25A, and 37B into Cases 1A, 1B, 1C, and 1F by rotating auditorium B and C. Cases 4A, 38A, 25A, and 37B represent four typical cases of evacuation exits blocked. All cases of evacuation exits blocked can be transformed into Cases 1A, 1B, 1C, and 1F by rotating auditorium B and auditorium C. This evacuation strategy is expected to use the existing evacuation conditions to achieve safe evacuation without adding emergency evacuation stairs and fire exits.
Figure 23.
Transformation of Cases 4A, 38A, 25A, 37B into Cases 1A, 1B, 1C, 1F by rotating auditorium B and C.
According to the design data of the theater, the rotation angular velocity of the auditorium is 0.033~0.05 rad/s, which is about 1.91°/s. By analyzing the rotation angle of the auditorium in each case where the evacuation exit is blocked, the time required for the auditorium to rotate to the ideal position can be obtained. Combined with the evacuation action time results of the existing cases, the total time of each rotating case can be obtained.
Table 10 lists details of evacuation time for each case where the evacuation exit is blocked, including the minimum rotation angle of auditorium B and auditorium C (clockwise direction is positive), the preparation time of auditorium rotation, the rotation time of auditoriums, the evacuation time of the original case, and the evacuation time of the reference case. In order to conform to the authenticity, the preparation time of audience rotation is considered, which is set as 30 s. Auditorium B and auditorium C can rotate clockwise or counterclockwise at the same time.
Table 10.
Details of evacuation time for each case where the evacuation exit is blocked.
Figure 24 shows the comparison of the required safe evacuation time for the two evacuation strategies. The results show that in most cases, the difference between the two evacuation strategies required for safe evacuation is relatively small. The addition of emergency evacuation stairs and rotating auditoriums can effectively shorten the evacuation action time and ensure that all people can be evacuated in a short time when the theater smoke exhaust system fails. It is worth noting that, while evacuation by rotating the auditorium can be effective in reducing evacuation time, the strategy is based on ideal assumptions with uncertain risks. Given the limitations of rotating mechanisms and the reliability of the power supply, it is not recommended to rely solely on rotating mechanisms to assist with evacuation, but only as an auxiliary evacuation option or as a daily audience departure option.
Figure 24.
Comparison of the required safe evacuation time for the two evacuation strategies.
6. Conclusions
In this paper, the uncertainty of the evacuation routes in the theater with rotating auditoriums was revealed, and a systematic methodology for identifying the worst evacuation scenarios was developed to solve the problem of stochasticity in evacuation scenarios. In the methodology, all possible scenarios are classified into scenario clusters based on defined classification characteristics to determine the worst scenarios for each cluster in order to simplify unlimited evacuation scenarios into limited worst evacuation scenarios, which provides a reference for the identification of multiple evacuation scenarios based on the performance-based fire protection design of similar buildings.
Taking theaters with rotating auditoriums as an example, this study conducted extensive simulations based on a fire dynamics simulation and the evacuation simulation software Pathfinder. The worst evacuation scenarios identified were evaluated and improved evacuation strategies were proposed. Some conclusions were drawn to better understand fire transmission behavior and safety risk assessment. In theaters with rotating auditoriums, partial or complete blockage of evacuation exits due to the rotation of the auditorium is a major factor affecting the total evacuation time. The relative position of the evacuation exits has a limited effect on the total evacuation time. Adding emergency evacuation stairs can effectively shorten the evacuation time and ensure that the audience can complete the evacuation under any adverse conditions.
However, this study also has some shortcomings. In the framework of identifying evacuation scenarios, the design of fire scenarios is not fully considered, especially factors such as the location of the fire source and the load of the fire source. Therefore, in the following research, we will conduct in-depth research.
Author Contributions
Formal analysis, data curation, investigation, methodology, software, visualization, writing—original draft preparation, K.X.; conceptualization, funding acquisition, project administration, writing—review and editing, M.W.; funding acquisition, writing—review and editing, F.L.; resources, Y.L. All authors have read and agreed to the published version of the manuscript.
Funding
This research was funded by the Chongqing Science and Technology Commission (Grant No. cstc2019jscx-msxmX0243) and Chongqing Construction Science and Technology Planning Project (Grant No. 2019-1-5-5).
Institutional Review Board Statement
Not applicable.
Informed Consent Statement
Not applicable.
Data Availability Statement
Not applicable.
Conflicts of Interest
No conflict of interest exists in the submission of this manuscript. I would like to declare on behalf of all the co-authors that the work described in this paper is original research that has not been published previously, neither is it under consideration for publication elsewhere, in whole or in part. All the authors listed have approved the manuscript that is enclosed.
References
- Son, B.S.; Chang, H.C.; Kim, T.K. A Study on Measures to Acquire Fire Safety Performance of Multiplex Movie Theaters. Fireence Eng. 2006, 20, 116–124. [Google Scholar]
- NFPA. SFPE Engineering Guide to Performance-Based Fire Protection; National Fire Protection Association: Quincy, MA, USA, 2006. [Google Scholar]
- BSI. BS 7974: Application of Fire Safety Engineering Principles to the Design of Buildings—Code of Practice; BSI: London, UK, 2019. [Google Scholar]
- Helbing, D.; Farkas, I.; Vicsek, T. Simulating Dynamic Features of Escape Panic. Nature 2000, 407, 487–490. [Google Scholar] [CrossRef] [PubMed] [Green Version]
- Helbing, D.; Farkas, I.; Vicsek, T. Freezing by Heating in a Driven Mesoscopic System. Phys. Rev. Lett. 1999, 84, 1240. [Google Scholar] [CrossRef] [PubMed] [Green Version]
- Kirchner, A.; Schadschneider, A. Simulation of evacuation processes using a bionics-inspired cellular automaton model for pedestrian dynamics. Phys. A Stat. Mech. Its Appl. 2002, 312, 260–276. [Google Scholar] [CrossRef] [Green Version]
- Burstedde, C.; Klauck, K.; Schadschneider, A.; Zittartz, J. Simulation of pedestrian dynamics using a two-dimensional cellular automaton. Phys. A Stat. Mech. Its Appl. 2001, 295, 507–525. [Google Scholar] [CrossRef] [Green Version]
- Shi, J.; Ren, A.; Chen, C. Agent-Based Evacuation Model of Large Public Buildings Under Fire Conditions. Autom. Constr. 2009, 18, 338–347. [Google Scholar] [CrossRef]
- Bonabeau, E. Agent-based modeling: Methods and techniques for simulating human systems. Natl. Acad. Sci. 2001, 99, 7280–7287. [Google Scholar] [CrossRef] [Green Version]
- Tajima, Y.; Nagatani, T. Clogging transition of pedestrian flow in T-shaped channel. Phys. A Stat. Mech. Its Appl. 2002, 303, 239–250. [Google Scholar] [CrossRef]
- Muramatsu, M.; Nagatani, T. Jamming transition in two-dimensional pedestrian traffic. Phys. A Stat. Mech. Its Appl. 2000, 275, 281–291. [Google Scholar] [CrossRef]
- Wang, J.; Jin, B.; Li, J.; Chen, F.; Wang, Z.; Sun, J. Method for guiding crowd evacuation at exit: The buffer zone. Saf. Sci. 2019, 118, 88–95. [Google Scholar] [CrossRef]
- Shiwakoti, N.; Sarvi, M. Enhancing the panic escape of crowd through architectural design. Transp. Res. Part C Emerg. Technol. 2013, 37, 260–267. [Google Scholar] [CrossRef]
- Zheng, X.; Zhong, T.; Liu, M. Modeling Crowd Evacuation of a Building Based on Seven Methodological Approaches. Build. Environ. 2009, 44, 437–445. [Google Scholar] [CrossRef]
- Gwynne, S.; Galea, E.; Lawrence, P.; Filippidis, L. Modelling occupant interaction with fire conditions using the buildingEXODUS Evacuation Model. Fire Saf. J. 2001, 36, 327–357. [Google Scholar] [CrossRef]
- Proulx, G. Evacuation Time and Movement in Apartment Buildings. Fire Saf. J. 1995, 24, 229–246. [Google Scholar] [CrossRef]
- Wei, Z. Application of Computer Simulation Technology [CST] in Buildings’ Performance-Based Fire Protection Design. Procedia Eng. 2012, 37, 25–30. [Google Scholar] [CrossRef] [Green Version]
- Shields, T.; Boyce, K.E. Study of evacuation from large retail stores. Fire Saf. J. 2000, 35, 25–49. [Google Scholar] [CrossRef]
- Soltanzadeh, A.; Alaghmandan, M.; Soltanzadeh, H. Performance evaluation of refuge floors in combination with egress components in high-rise buildings. J. Build. Eng. 2018, 19, 519–529. [Google Scholar] [CrossRef]
- Pelechano, N.; Malkawi, A. Evacuation simulation models: Challenges in modeling high rise building evacuation with cellular automata approaches. Autom. Constr. 2008, 17, 377–385. [Google Scholar] [CrossRef]
- Caliendo, C.; Ciambelli, P.; Del Regno, R.; Meo, M.G.; Russo, P. Modelling and numerical simulation of pedestrian flow evacuation from a multi-storey historical building in the event of fire applying safety engineering tools. J. Cult. Herit. 2020, 41, 188–199. [Google Scholar] [CrossRef]
- D’Orazio, M.; Bernardini, G.; Tacconi, S.; Arteconi, V.; Quagliarini, E. Fire safety in Italian-style historical theatres: How photoluminescent wayfinding can improve occupants’ evacuation with no architecture modifications. J. Cult. Herit. 2016, 19, 492–501. [Google Scholar] [CrossRef]
- Fridolf, K.; Ronchi, E.; Nilsson, D.; Frantzich, H. Movement speed and exit choice in smoke-filled rail tunnels. Fire Saf. J. 2013, 59, 8–21. [Google Scholar] [CrossRef]
- Ronchi, E.; Colonna, P.; Capote, J.; Alvear, D.; Berloco, N.; Cuesta, A. The evaluation of different evacuation models for assessing road tunnel safety analysis. Tunn. Undergr. Space Technol. 2012, 30, 74–84. [Google Scholar] [CrossRef]
- Qin, J.; Liu, C.; Huang, Q. Simulation on fire emergency evacuation in special subway station based on Pathfinder. Case Stud. Therm. Eng. 2020, 21, 100677. [Google Scholar] [CrossRef]
- Shi, C.; Zhong, M.; Nong, X.; He, L.; Shi, J.; Feng, G. Modeling and safety strategy of passenger evacuation in a metro station in China. Saf. Sci. 2012, 50, 1319–1332. [Google Scholar] [CrossRef]
- Qu, L.; Chow, W.K. Platform screen doors on emergency evacuation in underground railway stations. Tunn. Undergr. Space Technol. 2012, 30, 1–9. [Google Scholar] [CrossRef]
- Peizhong, Y.; Xin, W.; Tao, L. Agent-based simulation of fire emergency evacuation with fire and human interaction model. Saf. Sci. 2011, 49, 1130–1141. [Google Scholar] [CrossRef]
- Tsang, H.L.; Fong, N.k.; Chow, W.K. A simulation study on fire safety aspects of rock cavern accommodating high occupant load. Tunn. Undergr. Space Technol. 2020, 103, 103430. [Google Scholar] [CrossRef]
- Ronchi, E.; Arias, S.; La Mendola, S.; Johansson, N. A fire safety assessment approach for evacuation analysis in underground physics research facilities. Fire Saf. J. 2019, 108, 102839. [Google Scholar] [CrossRef]
- Rostami, R.; Alaghmandan, M. Performance-based design in emergency evacuation: From maneuver to simulation in school design. J. Build. Eng. 2020, 33, 101598. [Google Scholar] [CrossRef]
- Kwon, J. Assessment of fire protection systems in proscenium theaters. Case Stud. Fire Saf. 2014, 2, 9–15. [Google Scholar] [CrossRef] [Green Version]
- Dârmon, R. Evacuation strategy design for a medium size auditorium using CFD. Procedia Manuf. 2018, 22, 241–248. [Google Scholar] [CrossRef]
- Zhang, L.; Zhu, G.; Hao, Y.; Li, H. Performance-based Evaluation on the Natural Smoke Exhausts System of Theatre. Procedia Eng. 2011, 11, 682–688. [Google Scholar]
- Zhao, H.; Schwabe, A.; Schläfli, F.; Thrash, T.; Aguilar, L.; Dubey, R.K.; Karjalainen, J.; Hölscher, C.; Helbing, D.; Schinazi, V.R. Fire evacuation supported by centralized and decentralized visual guidance systems. Saf. Sci. 2022, 145, 105451. [Google Scholar] [CrossRef]
- Wang, D.; Liang, S.; Chen, B.; Wu, C. Investigation on the impacts of natural lighting on occupants’ wayfinding behavior during emergency evacuation in underground space. Energy Build. 2022, 255, 111613. [Google Scholar] [CrossRef]
- Xia, X.; Li, N.; Gonzalez, V.A. Exploring the Influence of Emergency Broadcasts on Human Evacuation Behavior during Building Emergencies Using Virtual Reality Technology. J. Comput. Civ. Eng. 2021, 35, 04020065. [Google Scholar] [CrossRef]
- Wang, X.; Liu, Z.; Wang, J.; Loughney, S.; Zhao, Z.; Cao, L. Passengers’ safety awareness and perception of wayfinding tools in a Ro-Ro passenger ship during an emergency evacuation. Saf. Sci. 2021, 137, 105189. [Google Scholar] [CrossRef]
- Zhu, R.; Lin, J.; Becerik-Gerber, B.; Li, N. Influence of architectural visual access on emergency wayfinding: A cross-cultural study in China, United Kingdom and United States. Fire Saf. J. 2020, 113, 102963. [Google Scholar] [CrossRef]
- Lin, J.; Cao, L.; Li, N. How the completeness of spatial knowledge influences the evacuation behavior of passengers in metro stations: A VR-based experimental study. Autom. Constr. 2020, 113, 103136. [Google Scholar] [CrossRef]
- Bernardini, G.; Quagliarini, E.; D’Orazio, M.; Santarelli, S. How to Help Elderly in Indoor Evacuation Wayfinding: Design and Test of a Not-Invasive Solution for Reducing Fire Egress Time in Building Heritage Scenarios. In Ambient Assisted Living; Springer: Cham, Switzerla, 2017; pp. 209–222. [Google Scholar]
- Spearpoint, M.; Xiang, X. Calculating Evacuation Times from Lecture Theatre Type Rooms Using a Network Model. Fire Saf. Sci. 2011, 10, 599–612. [Google Scholar] [CrossRef]
- Zhao, Y.; Lu, T.; Li, M.; Wu, P. The microscopic characteristics of escape behaviours from a three-dimensional lecture theatre under conditions of good and zero visibility. Saf. Sci. 2019, 118, 641–653. [Google Scholar] [CrossRef]
- Nilsson, D.; Johansson, A. Social influence during the initial phase of a fire evacuation—Analysis of evacuation experiments in a cinema theatre. Fire Saf. J. 2009, 44, 71–79. [Google Scholar] [CrossRef]
- Wang, Y.; Ma, W.; Wang, T.; Liu, J.; Wang, X.; Sean, M.; Yang, Z.; Wang, J. Dynamic optimisation of evacuation route in the fire scenarios of offshore drilling platforms. Ocean. Eng. 2022, 247, 110564. [Google Scholar] [CrossRef]
- Zhang, Z.; Fu, D. Modeling pedestrian–vehicle mixed-flow in a complex evacuation scenario. Phys. A Stat. Mech. Its Appl. 2022, 599, 127468. [Google Scholar] [CrossRef]
- Zhang, D.; Huang, G.; Ji, C.; Liu, H.; Tang, Y. Pedestrian evacuation modeling and simulation in multi-exit scenarios. Phys. A Stat. Mech. Its Appl. 2021, 582, 126272. [Google Scholar] [CrossRef]
- Mao, Y.; Du, X.; Li, Y.; He, W. An emotion based simulation framework for complex evacuation scenarios. Graph. Models 2019, 102, 1–9. [Google Scholar] [CrossRef]
- Jutras, I.; Meacham, B.J. Development of objective-criteria-scenario triplets and design fires for performance-based Fire Safety Design. J. Build. Eng. 2016, 8, 269–284. [Google Scholar] [CrossRef]
- Wang, N.; Gao, Y.; Li, C.-Y.; Gai, W.-M. Integrated agent-based simulation and evacuation risk-assessment model for underground building fire: A case study. J. Build. Eng. 2021, 40, 102609. [Google Scholar] [CrossRef]
- Zhang, L.; Wu, X.; Liu, M.; Liu, W.; Ashuri, B. Discovering worst fire scenarios in subway stations: A simulation approach. Autom. Constr. 2019, 99, 183–196. [Google Scholar] [CrossRef]
- Chu, G.; Wang, J. Study on probability distribution of fire scenarios in risk assessment to emergency evacuation. Reliab. Eng. Syst. Saf. 2012, 99, 24–32. [Google Scholar]
- Del Prete, I.; Cefarelli, G.; Nigro, E. Application of criteria for selecting fire scenarios for structures within fire safety engineering approach. J. Build. Eng. 2016, 8, 208–217. [Google Scholar] [CrossRef]
- Kodur, V.K.R.; Dwaikat, M. Performance-based Fire Safety Design of Reinforced Concrete Beams. J. Fire Prot. Eng. 2007, 17, 293–320. [Google Scholar] [CrossRef] [Green Version]
- Li, M.-X.; Zhu, S.-B.; Wang, J.-H.; Zhou, Z. Research on Fire Safety Evacuation in a University Library in Nanjing. Procedia Eng. 2018, 211, 372–378. [Google Scholar] [CrossRef]
- BSI. Fire Safety Engineering in Buildings: Guide to the Application of Fire Safety Engineering Principles; British Standards Institution: London, UK, 1997. [Google Scholar]
- NFPA 101; Life Safety Code. National Fire Protection Association: Quincy, MA, USA, 2018.
- SFPE. Handbook of Fire Protection Engineering, 5th ed.; Springer: New York, NY, USA, 2016. [Google Scholar]
- NFPA 140; Standard on Motion Picture and Television Production Studio Soundstages, Approved Production Facilities, and Production Locations. National Fire Protection Association: Quincy, MA, USA, 2018.
- Yeo, Y.J. A Study on the Major Design Factors Affecting Ventilation in the Performance; Hoseo University: Cheonan-si, Korea, 2012. [Google Scholar]
- Kim, J.; Kim, D.; Lee, C. Effects of Fire Curtain and Forced Smoke Ventilation on Smoke Spread to Auditorium in Stage Fire of Theater. Fire Sci. Eng. 2017, 31, 28–36. [Google Scholar] [CrossRef]
- Arup, O.; Partners, P. Fire Safety in Theatres–A New Design Approach; The Fire Protection Research Foundation: Quincy, MA, USA, 2009. [Google Scholar]
- McGrattan, K.; Forney, G.P. Fire Dynamics Simulator (Version 5), User’s Guide; NIST Special Publication: Gaithersburg, MD, USA, 2008; Volume 1019, pp. 1–186. [Google Scholar]
Publisher’s Note: MDPI stays neutral with regard to jurisdictional claims in published maps and institutional affiliations. |
© 2022 by the authors. Licensee MDPI, Basel, Switzerland. This article is an open access article distributed under the terms and conditions of the Creative Commons Attribution (CC BY) license (https://creativecommons.org/licenses/by/4.0/).