Experiment Study on the Hysteretic Performance of a Novel Replaceable Beam-to-Column Joint with Energy-Dissipating Steel Hinge
Abstract
:1. Introduction
2. Precast Replaceable Beam-to-Column Joint with Energy-Dissipating Steel Hinge
3. Experimental Investigation
3.1. Design of Tested Specimens
3.2. Material Properties
3.3. Test Device and Loading Scheme
4. Experiment Phenomenon and Failure Mode
4.1. Specimen J-R-1
4.2. Joint Repair Process
4.3. Specimen J-R-2
4.4. Specimen J-2
5. Experimental Results and Discussion
5.1. Hysteretic Behaviors and Strengths
5.2. Skeleton Curves
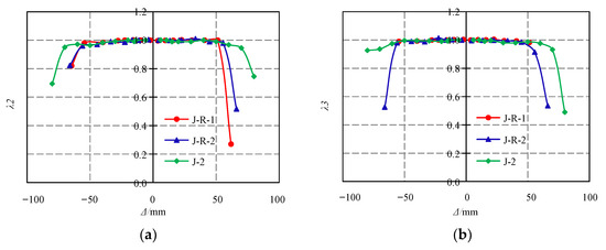
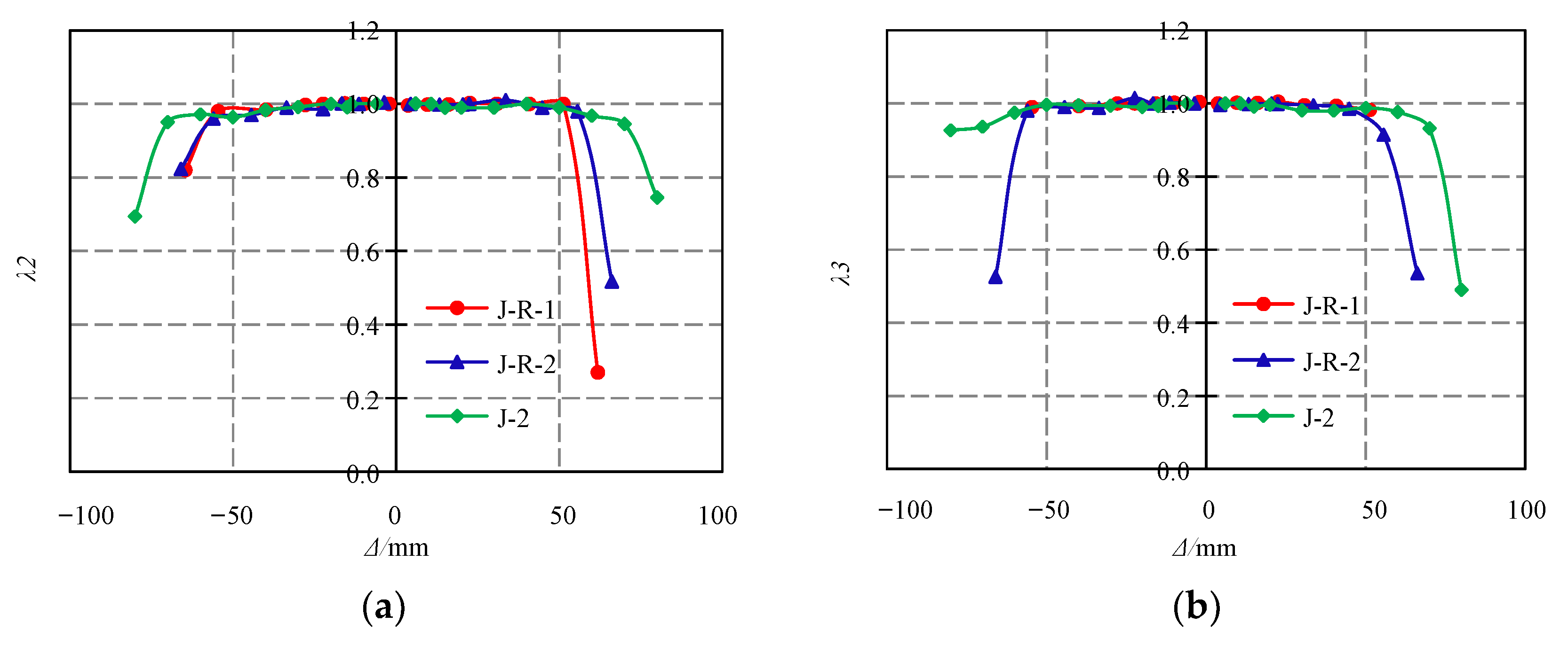
5.3. Degeneration of Strength
5.4. Stiffness Degradation
5.5. Energy-Dissipation Capability
6. Conclusions
- (1)
 - Hysteresis performances of the precast beam-to-column joint (e.g., carrying capacity, energy consumption, strength degradation) could be improved by the utilization of an energy-dissipating steel hinge. The failure of the precast replaceable beam-to-column joint with energy-dissipating steel hinges was caused by the necking rupture of weakened flange energy-dissipation steel plates, which exhibited stable mechanical behavior. However, for the steel sleeve confined concrete joint, the failure was caused by the shear cracking in the precast beam.
 - (2)
 - The precast replaceable beam-to-column joint with energy-dissipating steel hinges exhibited good mechanical behavior under cyclic loading, with plump, spindle shaped hysteresis curves, and an obvious pinching effect was found in the hysteresis curve of the steel-sleeved confined concrete joint. The bearing capacity of specimens J-R-1 and J-R-2 was 26% and 22% higher than that of specimen J-2, while the energy-dissipation capacities were 55% and 49% higher, respectively.
 - (3)
 - For the precast replaceable beam-to-column joint with the energy-dissipating steel hinge, the damage was concentrated in the weakened steel plates in the energy-dissipating steel joint while cracks in precast beams and columns were not obvious, indicating that the main structure was basically free of damage. The damage of the proposed joint could be repaired by replacing the damaged members, since it was found that the bearing capacity of J-R-2 was recovered at up to 96.6% of J-R-1 while the energy-dissipation capacity was recovered at 96.1%. Besides, the failure process and hysteretic performance of the repaired specimen J-R-2 were similar to those of specimen J-R-1. The precast replaceable beam-to-column joint with energy-dissipating steel hinges had good post-earthquake resilience.
 
Author Contributions
Funding
Institutional Review Board Statement
Informed Consent Statement
Data Availability Statement
Conflicts of Interest
References
- Khare, R.K.; Maniyar, S.R.; Uma, S.R.; Bidwai, V.B. Seismic performance and design of precast concrete building structures: An overview. J. Struct. Eng. 2011, 38, 272–284. [Google Scholar]
 - Breccolotti, M.; Gentile, S.; Tommasini, M.; Materazzi, A.L.; Bonfgli, M.F.; Pasqualini, B.; Bonfigli, M.F.; Pasqualini, B.; Colone, V.; Gianesini, M. Beam-column joints in continuous RC frames: Comparison between cast-in situ and precast solutions. Eng. Struct. 2016, 127, 129–144. [Google Scholar] [CrossRef]
 - Esmaeeli, E.; Barros, J.A.O.; Sena-Cruz, J.; Varum, H.; Melo, J. Assessment of the efficiency of prefabricated hybrid composite plates (HCPs) for retroftting of damaged interior RC beam–column joints. Compos. Struct. 2015, 119, 24–37. [Google Scholar] [CrossRef] [Green Version]
 - FIB (Fédération Internationale du Béton). Seismic Design of Precast Concrete Buildings; Fédération Internationale du Béton: Lausanne, Switzerland, 2003; 262p. [Google Scholar]
 - Kurama, Y.C.; Sritharan, S.; Fleischman, R.B.; Restrepo, J.I.; Henry, R.S.; Cleland, N.M.; Ghosh, S.K.; Bonelli, P. Seismic-resistant precast concrete structures: State of the art. J. Struct. Eng. 2018, 144, 03118001. [Google Scholar] [CrossRef] [Green Version]
 - Choi, H.K.; Choi, Y.C.; Choi, C.S. Development and testing of precast concrete beam-to-column connections. Eng. Struct. 2013, 56, 1820–1835. [Google Scholar] [CrossRef]
 - Wu, G.; Feng, D.C. Research progress on fundamental performance of precast concrete frame beam-to-column connections. J. Build. Struct. 2018, 39, 1–16. [Google Scholar]
 - Figueira, D.; Ashour, A.; Yıldırım, G.; Aldemir, A.; Şahmaran, M. Demountable connections of reinforced concrete structures: Review and future developments. Structures 2021, 34, 3028–3039. [Google Scholar] [CrossRef]
 - Yan, Q.; Chen, T.; Xie, Z. Seismic experimental study on a precast concrete beam-column connection with grout sleeves. Eng. Struct. 2018, 155, 330–344. [Google Scholar] [CrossRef]
 - Im, H.J.; Park, H.G.; Eom, T.S. Cyclic Loading Test for Reinforced-Concrete-Emulated Beam-Column Connection of Precast Concrete Moment Frame. ACI Struct. J. 2013, 110, 115–126. [Google Scholar] [CrossRef]
 - Latour, M.; Rizzano, G. Seismic behavior of cross-laminated timber panel buildings equipped with traditional and innovative connectors. Arch. Civ. Mech. Eng. 2017, 17, 382–399. [Google Scholar] [CrossRef]
 - Lu, X.; Fan, L.; Zhao, B. Pseudo dynamic test on a reduced scale jointed precast concrete frame structure. J. Build. Struct. 2008, 29, 58–65. [Google Scholar]
 - Tartaglia, R.; D’Aniello, M.; Landolfo, R. The influence of rib stiffeners on the response of extended end-plate joints. J. Constr. Steel Res. 2018, 148, 669–690. [Google Scholar] [CrossRef]
 - Yang, J.; Guo, T.; Chai, S. Experimental and numerical investigation on seismic behaviours of beam-column joints of precast prestressed concrete frame under given corrosion levels. Structures 2020, 27, 1209–1221. [Google Scholar] [CrossRef]
 - Pan, P.; Wang, H.S.; Guo, H.S.; Liu, K.; Wang, D.; Qi, H.; Geng, J. Experimental study of seismic performance of unbounded post-tensioned pre-stressed beam-to-column dry connections. J. Build. Struct. 2018, 39, 46–55. [Google Scholar]
 - Koshikawa, T. Moment and energy dissipation capacities of post-tensioned precast concrete connections employing a friction device. Eng. Struct. 2017, 138, 170–180. [Google Scholar] [CrossRef]
 - Pan, Y.; Chen, X.; Wang, H. Seismic fragility analysis of unbonded post-tensioned fabricated RC frame structures. J. Harbin Inst. Technol. 2018, 50, 71–77. [Google Scholar]
 - Bahrami, S.; Madhkhan, M.; Shirmohammadi, F.; Nazemi, N. Behavior of two new moment resisting precast beam to column connections subjected to lateral loading. Eng. Struct. 2017, 132, 808–821. [Google Scholar] [CrossRef]
 - Girgin, S.C.; Misir, I.S.; Kahraman, S. Experimental Cyclic Behavior of Precast Hybrid Beam-Column Connections with Welded Components. Int. J. Concr. Struct. Mater. 2017, 11, 229–245. [Google Scholar] [CrossRef]
 - Nzabonimpa, J.D.; Hong, W.K.; Kim, J. Experimental and non-linear numerical investigation of the novel detachable mechanical joints with laminated plates for composite precast beam-column joint. Compos. Struct. 2018, 185, 286–303. [Google Scholar] [CrossRef]
 - Tartaglia, R.; D’Aniello, M.; Campiche, A.; Latour, M. Symmetric friction dampers in beam-to-column joints for low-damage steel MRFs. J. Constr. Steel Res. 2021, 184, 106791. [Google Scholar] [CrossRef]
 - Ferrante Cavallaro, G.; Francavilla, A.B.; Latour, M.; Piluso, V.; Rizzano, G. Cyclic response of low yielding connections using different friction materials. Soil Dyn. Earthq. Eng. 2018, 114, 404–423. [Google Scholar] [CrossRef]
 - Elettore, E.; Freddi, F.; Latour, M.; Rizzano, G. Design and analysis of a seismic resilient steel moment resisting frame equipped with damage-free self-centering column bases. J. Constr. Steel Res. 2021, 179, 106543. [Google Scholar] [CrossRef]
 - Ryotaro, K.; Hiroyasu, S.; Zhe, Q.; Takashi, S. Precast prestressed concrete frames for seismically retrofitting existing RC frames. Eng. Struct. 2019, 184, 345–354. [Google Scholar]
 - Wang, H.; Marino, E.M.; Pan, P.; Liu, H.; Nie, X. Experimental study of a novel precast prestressed reinforced concrete beam-to-column joint. Eng. Struct. 2018, 156, 68–81. [Google Scholar] [CrossRef]
 - Li, Z.; Peng, Z.; Qi, Y. Full-scale experimental study on seismic behaviors of plasticity controllable steel joint of prefabricated RC beam column. J. Struct. Eng. 2019, 40, 43–50. [Google Scholar]
 - Zheng, L.; Yan, G.; Wei, C. Experimental and numerical investigation of steel energy -dissipating hinge under cyclic loading. China Civ. Eng. J. 2020, 53, 29–43. [Google Scholar]
 - Qi, Y.; Teng, J.; Shan, Q.; Ding, J.; Li, Z.; Huang, C.; Xing, H.; Yi, W. Seismic performance of a novel prefabricated beam-to-column steel joint considering buckling behaviour of dampers. Eng. Struct. 2021, 229, 111591. [Google Scholar] [CrossRef]
 - Ertas, O.; Ozden, S.; Ozturan, T. Ductile connections in precast concrete moment resisting frames. PCI J. 2006, 51, 66–76. [Google Scholar] [CrossRef]
 - Li, Z.; Qi, Y.; Teng, J. Experimental investigation of prefabricated beam-to-column steel joints for precast concrete structures under cyclic loading. Eng. Struct. 2020, 209, 110217. [Google Scholar] [CrossRef]
 - Ye, M.; Jiang, J.; Chen, H.M.; Zhou, H.Y.; Song, D.D. Seismic behavior of an innovative hybrid beam-column connection for precast concrete structures. Eng. Struct. 2021, 227, 111436. [Google Scholar] [CrossRef]
 - Li, D.; Wu, C.; Zhou, Y.; Luo, W.; Lie, W. A precast beam-column connection using metallic damper as connector: Experiment and application. J. Constr. Steel Res. 2021, 181, 106628. [Google Scholar] [CrossRef]
 - Li, Y.; Geng, F.; Ding, Y.; Wang, L. Experimental and numerical study of low-damage self-centering precast concrete frame connections with replaceable dampers. Eng. Struct. 2020, 220, 111011. [Google Scholar] [CrossRef]
 - Huang, L.; Clayton, P.M.; Zhou, Z. Seismic design and performance of self-centering precast concrete frames with variable friction dampers. Eng. Struct. 2021, 245, 112863. [Google Scholar] [CrossRef]
 
















| Steel (bar) Model | Plate Thickness (Diameter) t(d)/mm  | Yield Strength fy/MPa  | Yield Strain με | Ultimate Strength fu/MPa  | Elongation  Ratio  | 
|---|---|---|---|---|---|
| Q345 | 10 | 374.2 | 2322 | 489.7 | 25.8 | 
| Q235 | 10 | 269.8 | 1659 | 373.6 | 24.5 | 
| HRB400 | 22 | 414.9 | 2527 | 563.7 | 21.4 | 
| HRB400 | 18 | 419.9 | 2446 | 558.5 | 22.6 | 
| HRB400 | 8 | 432.2 | 2612 | 572.5 | 21.9 | 
| Specimen | Δy /(mm)  | P y /(kN)  | Δm /(mm)  | Pm /(kN)  | Δu /(mm)  | Pu /(kN)  | u | The Average Ductility | 
|---|---|---|---|---|---|---|---|---|
| J-R-1 | 13.73 | 61.83 | 51.28 | 111.6 | 61.84 | 103.9 | 4.50 | 4.69 | 
| −13.25 | −62.98 | −54.56 | −111.5 | −64.64 | −103.8 | 4.88 | ||
| J-R-2 | 19.17 | 65.77 | 55.6 | 108.4 | 66.16 | 82 | 3.45 | 3.45 | 
| −19.17 | −77.13 | −44.4 | −107.1 | −66 | −105.6 | 3.44 | ||
| J-2 | 14.26 | 62.64 | 50 | 83.08 | 80.01 | 63.98 | 5.61 | 5.54 | 
| −14.57 | −56.78 | −50.06 | −94.20 | −79.64 | −60.03 | 5.47 | 
Publisher’s Note: MDPI stays neutral with regard to jurisdictional claims in published maps and institutional affiliations.  | 
© 2022 by the authors. Licensee MDPI, Basel, Switzerland. This article is an open access article distributed under the terms and conditions of the Creative Commons Attribution (CC BY) license (https://creativecommons.org/licenses/by/4.0/).
Share and Cite
Ma, Y.; Qi, A.; Yan, G.; Zheng, L.; Xue, P. Experiment Study on the Hysteretic Performance of a Novel Replaceable Beam-to-Column Joint with Energy-Dissipating Steel Hinge. Buildings 2022, 12, 1180. https://doi.org/10.3390/buildings12081180
Ma Y, Qi A, Yan G, Zheng L, Xue P. Experiment Study on the Hysteretic Performance of a Novel Replaceable Beam-to-Column Joint with Energy-Dissipating Steel Hinge. Buildings. 2022; 12(8):1180. https://doi.org/10.3390/buildings12081180
Chicago/Turabian StyleMa, Yongchao, Ai Qi, Guiyun Yan, Lianqiong Zheng, and Panrong Xue. 2022. "Experiment Study on the Hysteretic Performance of a Novel Replaceable Beam-to-Column Joint with Energy-Dissipating Steel Hinge" Buildings 12, no. 8: 1180. https://doi.org/10.3390/buildings12081180
APA StyleMa, Y., Qi, A., Yan, G., Zheng, L., & Xue, P. (2022). Experiment Study on the Hysteretic Performance of a Novel Replaceable Beam-to-Column Joint with Energy-Dissipating Steel Hinge. Buildings, 12(8), 1180. https://doi.org/10.3390/buildings12081180
        
                                                