The Modification of the Estimated Seismic Behaviour of R/C Low-Rise Buildings Due to SSI
Abstract
:1. Introduction
2. Description of R/C Structures and Methodology
2.1. One-Storey 2D R/C Frames
2.2. One- and Three-Storey 3D R/C Frames
3. Numerical Results and Discussion
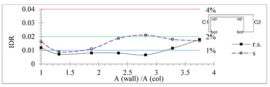
3.1. One-Storey 2D R/C Building Frames
3.2. One-Storey 3D R/C Framed Buildings
3.3. Three-Storey 3D R/C Framed Buildings
4. Conclusions
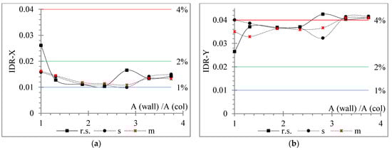
- The IDR tends to increase due to SSI, more for the case of foundation mat than for footings with tie beams, occasionally even up to five times greater than for the rigid soil assumption.
- Considering the ratios of the internal bending moment and shear force of the vertical R/C elements, the columns tend to be stressed due to SSI, while the wall tends to be relieved. Indicatively, an increase in the ratio of the internal bending moment due to SSI up to 1.7 times and of the ratio of the shear force up to 2 times, as compared to the rigid soil, can be observed. In the 3D buildings, column C1, which is connected by an R/C beam to the wall along with the major local axis, seems to be overwhelmed more than the rest columns.
- SSI affects variably the internal torque ratio of the vertical elements, in a different way for each earthquake, incidence angle and storey.
- The top section of vertical elements is stressed more than the respective bottom section due to SSI, in terms of the internal bending moment ratio and by observations of the elastoplastic hinge behaviour, where a shift to a worse performance level tends to be observed for SSI, as compared to the rigid soil assumption.
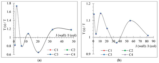
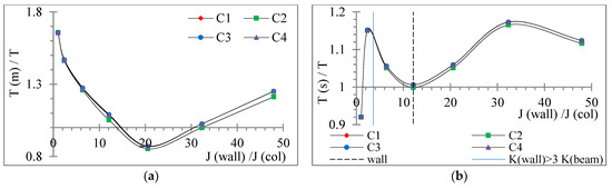
- The storey force, moment and torque ratios are strongly affected by SSI, showing fluctuating plots, tending to greater values for foundation mat than for footings, as compared to rigid soil, e.g., even up to 1.75.
- The symmetrical R/C building seems to be less affected by SSI in terms of smaller but noticeable values of the dimensionless ratios of internal and storey forces, and occasionally for the rest response plots.
- The geometrical “wall” limit cross-section, according to the current design codes, tends to behave as a limit of the response plots, where the latter SSI effect is yet unidentified from the current codes. Thus, for wall sections smaller than this “wall” limit, the seismic structural non-linear behaviour tends to be harmed more from SSI than for greater wall sections.
- At the 3D frames, the earthquake incidence angle affects each examined parameter differently, without being able to separate the most critical earthquake incidence angle on the structural seismic response.
- The SSI affects more the seismic behaviour of the lower storey of the three-storey buildings than the upper stories.
Author Contributions
Funding
Institutional Review Board Statement
Informed Consent Statement
Data Availability Statement
Conflicts of Interest
References
- EN 1998-1; Eurocode 8: Design of Structures for Earthquake Resistance—Part 1: General Rules, Seismic Actions and Rules for Buildings, Part 3: Strengthening and Repair of Buildings, Part 5: Foundations, Retaining Structures and Geotechnical Aspects, Part 6: Towers, Masts and Chimneys; European Committee for Standardization: Brussels, Belgium, 2004.
- Mylonakis, G.; Syngros, C.; Gazetas, G.; Tazoh, T. The role of soil in the collapse of 18 piers of Hanshin Expressway in the Kobe earthquake. Earthq. Eng. Struct. Dyn. 2006, 35, 547–575. [Google Scholar] [CrossRef]
- Mylonakis, G.; Gazetas, G. Seismic soil-structure interaction: Beneficial or detrimental? J. Earthq. Eng. 2000, 4, 277–301. [Google Scholar] [CrossRef]
- Anand, V.; Kumar, S.R. Seismic soil-structure interaction: A state-of-the-art review. Structures 2018, 16, 317–326. [Google Scholar] [CrossRef]
- Barnaure, M.; Manoli, D. Unfavourable seismic behaviour of reinforced concrete structures due to soil structure interaction. IOP Conf. Ser. Earth Environ. Sci. 2019, 362, 12119. [Google Scholar] [CrossRef]
- Mantzaras, G.; Karabalis, D.L. The role of SSI in the redistribution of internal forces in concrete buildings due to seismic excitation. In Proceedings of the COMPDYN 2015, Crete Island, Greece, 25–27 May 2015. [Google Scholar]
- Askouni, P.K.; Karabalis, D.L. SSI effects on the redistribution of seismic forces in one-storey R/C buildings. Earthq. Struct. 2021, 20, 261–278. [Google Scholar] [CrossRef]
- Askouni, P.K.; Karabalis, D.L. SSI influence on the seismic response of asymmetrical small, low-rise R/C buildings. Structures 2021, 32, 1355–1373. [Google Scholar] [CrossRef]
- Askouni, P.K. Seismic Force Redistribution in Asymmetrical Reinforced Concrete Buildings Due to Soil-Structure Interaction. Ph.D. Thesis, University of Patras, Patras, Greece, 14 July 2020. [Google Scholar]
- Mourlas, C.; Gravett, D.Z.; Markou, G.; Papadrakakis, M. Investigation of the soil structure interaction effect on the dynamic behavior of multistorey RC buildings. In Proceedings of the VIII International Conference on Computational Methods for Coupled Problems in Science and Engineering, COUPLED PROBLEMS 2019, Barcelona, Spain, 3–5 June 2019. [Google Scholar]
- Oz, I.; Senel, S.M.; Palanci, M.; Kalkan, A. Effect of soil-structure interaction on the seismic response of existing low and mid-rise RC buildings. Appl. Sci. 2020, 10, 8357. [Google Scholar] [CrossRef]
- Tomeo, R.; Bilotta, A.; Pitilakis, D.; Nigro, E. Soil-structure interaction effects on the seismic performances of reinforced concrete moment resisting frames. Procedia Eng. 2017, 199, 230–235. [Google Scholar] [CrossRef]
- Arapakou, A.E.; Papadopoulos, V.P. Effects of Soil Simulation on the Interaction Analyses of Framed Structures Under 2-D and 3-D Conditions. Geotech. Geol. Eng. 2020, 38, 5389–5407. [Google Scholar] [CrossRef]
- NIST GCR 12-917-21; NEHRP Consultants Joint Venture, Soil-Structure Interaction for Building Structures. NIST (National Institute of Standards and Technology); U.S. Department of Commerce: Gaithersburg, MD, USA, 2012. Available online: https://www.nehrp.gov/pdf/nistgcr12-917-21.pdf (accessed on 17 June 2022).
- Rutenberg, A.; Tso, W.K.; Heidebrecht, A.C. Dynamic properties of asymmetric wall-frame structures. Earthq. Eng. Struct. Dyn. 1977, 5, 41–51. [Google Scholar] [CrossRef]
- De La Llera, J.C.; Chopra, A.K. Accidental torsion in buildings due to stiffness uncertainty. Earthq. Eng. Struct. Dyn. 1994, 23, 117–136. [Google Scholar] [CrossRef]
- De La Llera, J.C.; Chopra, A.K. Using accidental eccentricity in code-specified static and dynamic analyses of buildings. Earthq. Eng. Struct. Dyn. 1994, 23, 947–967. [Google Scholar] [CrossRef]
- De La Llera, J.C.; Chopra, A.K. A simplified model for analysis and design of asymmetric-plan buildings. Earthq. Eng. Struct. Dyn. 1995, 24, 573–594. [Google Scholar] [CrossRef]
- De La Llera, J.C.; Chopra, A.K. Understanding the inelastic seismic behaviour of asymmetric-plan buildings. Earthq. Eng. Struct. Dyn. 1995, 24, 549–572. [Google Scholar] [CrossRef]
- Bosco, M.; Marino, E.M.; Rossi, P.P. An analytical method for the evaluation of the in-plan irregularity of non-regularly asymmetric buildings. Bull. Earthq. Eng. 2013, 11, 1423–1445. [Google Scholar] [CrossRef]
- Bosco, M.; Ferrara, G.A.; Ghersi, A.; Marino, E.M.; Rossi, P.P. Application of Nonlinear Static Method with Corrective Eccentricities to Multistorey Buildings: A Case Study. In Seismic Behaviour and Design of Irregular and Complex Civil Structures I, 1st ed.; Lavan, O., De Stefano, M., Eds.; Springer Science+Business Media: Dordrecht, The Netherlands, 2013; Volume 4, pp. 173–188. [Google Scholar] [CrossRef]
- Bosco, M.; Ghersi, A.; Marino, E.M.; Rossi, P.P. Comparison of nonlinear static methods for the assessment of asymmetric buildings. Bull. Earthq. Eng. 2013, 11, 2287–2308. [Google Scholar] [CrossRef]
- Jiang, X.; Kuang, Y. Inelastic parametric analysis of two-way asymmetrical multi-storey buildings. Adv. Struct. Eng. 2016, 19, 806–824. [Google Scholar] [CrossRef]
- Khatiwada, P.; Lumantarna, E.; Lam, N.; Looi, D. Fast Checking of Drift Demand in Multi-Storey Buildings with Asymmetry. Buildings 2020, 11, 13. [Google Scholar] [CrossRef]
- Köber, D.; De Stefano, M.; Zembaty, Z. Seismic Behaviour and Design of Irregular and Complex Civil Structures III, 1st ed.; Springer Nature: Cham, Switzerland, 2020. [Google Scholar] [CrossRef]
- Zembaty, Z.; De Stefano, M. Seismic Behaviour and Design of Irregular and Complex Civil Structures II; Springer International Publishing: Cham, Switzerland, 2016. [Google Scholar] [CrossRef]
- Stathopoulos, K.G.; Anagnostopoulos, S.A. Accidental design eccentricity: Is it important for the inelastic response of buildings to strong earthquakes? Soil Dyn. Earthq. Eng. 2010, 30, 782–797. [Google Scholar] [CrossRef]
- Anagnostopoulos, S.A.; Kyrkos, M.T.; Stathopoulos, K.G. Earthquake induced torsion in buildings: Critical review and state of the art. Earthq. Struct. 2015, 8, 305–377. [Google Scholar] [CrossRef] [Green Version]
- Pilarska, D.; Maleska, T. Numerical Analysis of Steel Geodesic Dome under Seismic Excitations. Materials 2021, 14, 4493. [Google Scholar] [CrossRef] [PubMed]
- Fan, F.; Zhi, X.; Li, W. Analysis of the Acceleration Response Spectra of Single-Layer Spherical Reticulated Shell Structures. Appl. Sci. 2022, 12, 2116. [Google Scholar] [CrossRef]
- Nair, D.; Ichihashi, K.; Terazawa, Y.; Sitler, B.; Takeuchi, T. Higher mode effects of multistorey substructures on the seismic response of double-layered steel gridshell domes. Eng. Struct. 2021, 243, 112677. [Google Scholar] [CrossRef]
- Roopa, M.; Venugopal, H.J.; Nagaral, M. Soil Structure Interaction Analysis of a Single Layer Latticed Geodesic Dome. Indian J. Sci. Technol. 2022, 15, 292–299. [Google Scholar] [CrossRef]
- Karavasilis, T.L.; Rizos, D.C.; Karabalis, D.L. Seismic analysis of spherical tanks including fluid-structure-soil interaction. In Proceedings of the 13th World Conference on Earthquake Engineering, Vancouver, BC, Canada, 1–6 August 2004. [Google Scholar]
- Bhargava, K.; Ghosh, A.K.; Agrawal, M.K.; Patnaik, R.; Ramanujam, S.; Kushwaha, H.S. Evaluation of seismic fragility of structures—A case study. Nucl. Eng. Des. 2002, 212, 253–272. [Google Scholar] [CrossRef] [Green Version]
- Talaslidis, D.G.; Manolis, G.D.; Paraskevopoulos, E.; Panagiotopoulos, C.; Pelekasis, N.; Tsamopoulos, J.A. Risk analysis of industrial structures under extreme transient loads. Soil Dyn. Earthq. Eng. 2004, 24, 435–448. [Google Scholar] [CrossRef]
- Kumar, S.; Raychowdhury, P.; Gundlapalli, P. Response analysis of a nuclear containment structure with nonlinear soil–structure interaction under bi-directional ground motion. Int. J. Adv. Struct. Eng. IJASE 2015, 7, 211–221. [Google Scholar] [CrossRef] [Green Version]
- Athanatopoulou, A.M. Critical orientation of three correlated seismic components. Eng. Struct. 2005, 27, 301–312. [Google Scholar] [CrossRef]
- Fontara, I.K.M.; Kostinakis, K.G.; Manoukas, G.E.; Athanatopoulou, A.M. Parameters affecting the seismic response of buildings under bi-directional excitation. Struct. Eng. Mech. 2015, 53, 957–979. [Google Scholar] [CrossRef]
- Kostinakis, K.G.; Manoukas, G.E.; Athanatopoulou, A.M. Influence of seismic incident angle on response of symmetric in plan buildings. KSCE J. Civ. Eng. 2018, 22, 725–735. [Google Scholar] [CrossRef]
- Altunişik, A.C.; Kalkan, E. Earthquake incidence angle influence on seismic performance of reinforced concrete buildings. Sigma J. Eng. Nat. Sci. 2017, 35, 609–631. [Google Scholar]
- Tsourekas, A.; Athanatopoulou, A.; Kostinakis, K. Maximum mean square response and critical orientation under bi-directional seismic excitation. Eng. Struct. 2021, 233, 111881. [Google Scholar] [CrossRef]
- Hussain, M.A.; Dutta, S.C.; Das, S. Seismic behaviour of structures under bidirectional ground motion: Does the angle of incidence have any influence? . Soil Dyn. Earthq. Eng. 2022, 159, 107328. [Google Scholar] [CrossRef]
- Eurocode 1 (EC1); Actions on Structures—Part 1-1: General Actions, Densities, Self-Weight, Imposed Loads for Buildings; European Committee for Standardization (CEN): Brussels, Belgium, 2001.
- Adhikari, R.; Rupakhety, R.; Giri, P.; Baruwal, R.; Subedi, R.; Gautam, R.; Gautam, D. Seismic Fragility Analysis of Low-Rise RC Buildings with Brick Infills in High Seismic Region with Alluvial Deposits. Buildings 2022, 12, 72. [Google Scholar] [CrossRef]
- Karayannis, C.G.; Favvata, M.J.; Kakaletsis, D.J. Seismic behaviour of infilled and pilotis RC frame structures with beam–column joint degradation effect. Eng. Struct. 2011, 33, 2821–2831. [Google Scholar] [CrossRef]
- Eurocode 2 (EC2); Design of Concrete Structures—Part 1-1: General Rules and Rules for Buildings; European Committee for Standardization (CEN): Brussels, Belgium, 2004.
- Eurocode 7 (EC7); Geotechnical Design—Part 1: General Rules; European Committee for Standardization (CEN): Brussels, Belgium, 2003.
- Sfakianakis, M.G. Biaxial bending with axial force of reinforced, composite and repaired concrete sections of arbitrary shape by fiber model and computer graphics. Adv. Eng. Softw. 2002, 33, 227–242. [Google Scholar] [CrossRef]
- Sfakianakis, M.G. Computation of Yield and Failure Surfaces for Biaxial Bending with Axial Force of Reinforced Concrete Sections with Jackets. In Proceedings of the 15 WCEE2012, Lisbon, Portugal, 24–28 September 2012. [Google Scholar]
- Sfakianakis, M.G.; Fardis, M.N. Nonlinear finite element for modeling reinforced concrete columns in three-dimensional dynamic analysis. Comput. Struct. 1991, 40, 1405–1419. [Google Scholar] [CrossRef]
- Fardis, M.N. Seismic Design, Assessment and Retrofitting of Concrete Buildings: Based on EN-Eurocode 8, 1st ed.; Springer: Berlin/Heidelberg, Germany, 2009. [Google Scholar]
- Fardis, M.; Carvalho, E.; Fajfar, P.; Pecker, A. Seismic Design of Concrete Buildings to Eurocode 8, 1st ed.; Crc Press: Boca Raton, FL, USA, 2015. [Google Scholar]
- Karabalis, D.L.; Beskos, D.E. Dynamic response of 3-D flexible foundations by time domain BEM and FEM. Int. J. Soil Dyn. Earthq. Eng. 1985, 4, 91–101. [Google Scholar] [CrossRef]
- Spyrakos, C.C.; Beskos, D.E. Dynamic response of flexible strip-foundations by boundary and finite elements. Soil Dyn. Earthq. Eng. 1986, 5, 84–96. [Google Scholar] [CrossRef]
- Qian, J.; Beskos, D.E. Dynamic interaction between 3-D rigid surface foundations and comparison with the ATC-3 provisions. Earthq. Eng. Struct. Dyn. 1995, 24, 419–437. [Google Scholar] [CrossRef]
- Karabalis, D.L. Non-singular time domain BEM with applications to 3D inertial soil–structure interaction. Soil Dyn. Earthq. Eng. 2004, 24, 281–293. [Google Scholar] [CrossRef]
- Kamal, M.; Inel, M. Correlation between Ground Motion Parameters and Displacement Demands of Mid-Rise RC Buildings on Soft Soils Considering Soil-Structure-Interaction. Buildings 2021, 11, 125. [Google Scholar] [CrossRef]
- Khosravifardshirazi, A.; Johari, A.; Javadi, A.A.; Khanjanpour, M.H.; Khosravifardshirazi, B.; Akrami, M. Role of Subgrade Reaction Modulus in Soil-Foundation-Structure Interaction in Concrete Buildings. Buildings 2022, 12, 540. [Google Scholar] [CrossRef]
- Mayoral, J.M.; Tepalcapa, S.; Roman-de la Sancha, A.; El Mohtar, C.S.; Rivas, R. Ground subsidence and its implication on building seismic performance. Soil Dyn. Earthq. Eng. 2019, 126, 105766. [Google Scholar] [CrossRef]
- Luque, R.; Bray, J.D. Dynamic soil-structure interaction analyses of two important structures affected by liquefaction during the Canterbury earthquake sequence. Soil Dyn. Earthq. Eng. 2020, 133, 106026. [Google Scholar] [CrossRef]
- Agalianos, A.; Anastasopoulos, I. Numerical analysis of surface foundation subjected to strike-slip faulting: Model boundaries, pre-softening volumetric response, parametric study. Soil Dyn. Earthq. Eng. 2021, 151, 106979. [Google Scholar] [CrossRef]
- Gazetas, G. Analysis of machine foundation vibrations: State of the art. Int. J. Soil Dyn. Earthq. Eng. 1983, 2, 2–42. [Google Scholar] [CrossRef]
- ETABS. Integrated Building Design Software; Computers and Structures Inc. CSI: Berkeley, CA, USA, 2015. [Google Scholar]
- Institute of Engineering Seismology and Earthquake Engineering (ITSAK). Institute of Engineering Seismology and Earthquake Engineering. Database of Earthquake Records. Available online: http://www.itsak.gr/db/data (accessed on 1 December 2017).
- Avramidis, I.; Athanatopoulou, A.; Anastasiadis, K.; Morfidis, K. Standard Numerical Examples of Structural Analysis; Aivazi Publications: Thessaloniki, Greece, 2005. (In Greek) [Google Scholar]
- FEMA-356. Prestandard and Commentary for the Seismic Rehabilitation of Buildings. Washington, D.C.: Federal Emergency Management Agency, U.S.A. 2000. Available online: https://www.nehrp.gov/pdf/fema356.pdf (accessed on 1 December 2017).
- Greek Interventions Regulation (KANEPE), 2nd Revision, Earthquake Planning and Protection Organization (EPPO), Athens, Greece. 2017. Available online: https://www.oasp.gr/userfiles/%CE%9A%CE%91%CE%9D_%CE%95%CE%A0%CE%95__2%CE%B7%20%CE%91%CE%BD%CE%B1%CE%B8%CE%B5%CF%8E%CF%81%CE%B7%CF%83%CE%B7_2017_Final.pdf (accessed on 1 December 2018). (In Greek).






































Publisher’s Note: MDPI stays neutral with regard to jurisdictional claims in published maps and institutional affiliations. |
© 2022 by the authors. Licensee MDPI, Basel, Switzerland. This article is an open access article distributed under the terms and conditions of the Creative Commons Attribution (CC BY) license (https://creativecommons.org/licenses/by/4.0/).
Share and Cite
Askouni, P.K.; Karabalis, D.L. The Modification of the Estimated Seismic Behaviour of R/C Low-Rise Buildings Due to SSI. Buildings 2022, 12, 975. https://doi.org/10.3390/buildings12070975
Askouni PK, Karabalis DL. The Modification of the Estimated Seismic Behaviour of R/C Low-Rise Buildings Due to SSI. Buildings. 2022; 12(7):975. https://doi.org/10.3390/buildings12070975
Chicago/Turabian StyleAskouni, Paraskevi K., and Dimitris L. Karabalis. 2022. "The Modification of the Estimated Seismic Behaviour of R/C Low-Rise Buildings Due to SSI" Buildings 12, no. 7: 975. https://doi.org/10.3390/buildings12070975
APA StyleAskouni, P. K., & Karabalis, D. L. (2022). The Modification of the Estimated Seismic Behaviour of R/C Low-Rise Buildings Due to SSI. Buildings, 12(7), 975. https://doi.org/10.3390/buildings12070975

