Development and Application of Smart SPIN Model: Measuring the Spectrum, Penetration, Impact and Network of Smart City Industries in South Korea
Abstract
1. Introduction
2. Literature Review
2.1. Smart City Industry
2.2. Industrial Ecosystem of Smart City
2.2.1. Theory of Ecosystem
2.2.2. Previous Study of Smart City Industrial Ecosystem
3. Research Model and Data
3.1. Development of a Smart SPIN Model for Analyzing the Industrial Ecosystem in Terms of Smart Cities
3.1.1. Smart Spectrum Model
- : smart spectrum;
- : industry placed in rows in the input–output table;
- : total number of whole national industries.
3.1.2. Smart Penetration Model
- : smart penetration;
- : technical coefficient;
- : industry that appears in a column in the input–output table;
- : total number of whole national industries.
3.1.3. Smart Impact Path Model
- : smart production path;
- : production path in the industry structural path;
- : total number of production paths;
- : smart industries;
- : other industries.
- : smart production path of direct type;
- : smart production path of via1 type;
- : smart production path via2 type;
- : smart production path via3 type;
- : number of smart production paths of direct type;
- : number of smart production paths of via1 type;
- : number of smart production paths of via2 type;
- : number of smart production paths of via3 type;
- : total number of production paths.
- : single intervention path;
- : ITM production path;
- : ITS production path;
- : KS production path;
- : number of ITM production paths;
- : number of ITS production paths;
- : number of KS production paths;
- : total number of production paths.
- : double intervention path;
- : gets each ITM and ITS production path;
- : gets each ITM and KS production path;
- : gets each ITS and KS production path;
- : number of ITM and ITS production paths;
- : number of ITM and KS production paths;
- : number of ITS and KS production paths;
- : total number of production paths.
- : a triple intervention path;
- : obtains an ITM, ITS and KS simultaneously in the production path;
- total number of production paths which obtain ITM, ITS and KS simultaneously in the production path.
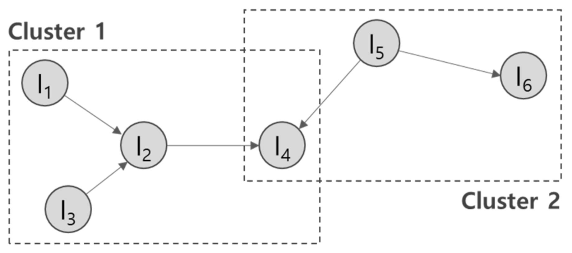
3.1.4. Smart Network Clustering Model
- : backbone network using MST;
- : multiplier coefficient in network path.
- : MST cluster in backbone network;
- : industry node value of more than three;
- : industry link value of more than two.
3.2. Data Analysis
4. Analysis Result: Application and Interpretation of the Smart SPIN Model
4.1. Result of Application of Smart Spectrum Analysis
4.2. Application Results of Smart Penetration Analysis
4.3. Application Results of Smart Impact Path Analysis
4.4. Application Results of Smart Network Clustering Analysis
5. Conclusions
6. Policy Remarks and Future Research
Author Contributions
Funding
Institutional Review Board Statement
Informed Consent Statement
Data Availability Statement
Acknowledgments
Conflicts of Interest
Appendix A
| Industries of Input–Output Table | Smart-× Cases | Smart Industry | |||
|---|---|---|---|---|---|
| Smart Car | Smart Building | Smart Factory | Smart Farm | ||
| Semiconductor Manufacturing | o | o | o | o | IT Manufacturing |
| Electronic Display Manufacturing | o | o | o | o | |
| Printed Circuit Board Manufacturing | o | o | o | o | |
| Other Electronic Components Manufacturing | o | o | o | o | |
| Computers and Peripherals Manufacturing | o | o | o | o | |
| Communications and Broadcasting Equipment Manufacturing | o | o | o | o | |
| Medical and Measuring Devices Manufacturing | - | o | - | o | |
| Generator and Motor Manufacturing | o | o | o | o | |
| Electrical Conversion and Supply Control Unit Manufacturing | o | o | o | o | |
| Battery Manufacturing | o | - | - | o | |
| Wire and Cable Manufacturing | o | - | o | o | |
| Other Precision Instruments Manufacturing | o | - | o | - | |
| Wired, Wireless, and Satellite Communication Services | o | o | o | o | IT Service |
| Other Telecommunications Services | o | o | o | o | |
| Information Service | o | o | o | o | |
| Software Development Supply Services | o | o | o | o | |
| Other IT Services | o | o | o | o | |
| Research and Development | o | o | o | - | Knowledge Service |
| Building and Civil Engineering Services | o | - | - | - | |
| Scientific and Technical Services | o | o | o | o | |
| Other Professional Services | o | o | o | o | |
| NO | 1960 | 1985 | 2015 | Reclassification (8 and 28 Industries) |
|---|---|---|---|---|
| 1 | 1–7 | 1–13 | 1–8 | (AM) Agriculture and Fishing |
| 2 | 8–11 | 14–20 | 9–12 | (AM) Mining and Quarrying |
| 3 | 12–43 | 21–64 | 13–35 | (TM) Light Industry |
| 4 | 44–55 | 65–83 | 36–51 | (TM) Chemical Industry |
| 5 | 56–68 | 84–100 | 52–67 | (TM) Non-Metal and Metal Industry |
| 6 | 69–74 | 101–106 | 83–93 | (TM) Manufacturing of Machinery |
| 7 | 78–81, 84 | 114–118 | 94–100 | (TM) Manufacturing of Transport Equipment |
| 8 | 76, 82, 83 | 107, 110, 120, 122 | 74, 76, 81, 82, 101–103 | (TM) Other Manufacturing |
| 9 | 75, 77 | 108, 109, 111–113, 119 | 68–73, 75, 78–80 | (ITM) IT Manufacturing |
| 10 | 85–89 | 127–131 | 111–117 | (C) Construction |
| 11 | 90 | 123–126 | 104–110 | (E) Energy Generation and Supply |
| 12 | – | 142 | 131, 132, 134–136 | (ITS) IT Services |
| 13 | – | – | 133, 137, 138 | (KS) Broadcast and Publishing |
| 14 | 91 | 143, 144 | 139–142 | (KS) Finance and Insurance |
| 15 | 93, 100 | 153, 154 | 158, 159 | (KS) Medical and Human Health Services |
| 16 | 104 | 157 | 160, 161 | (KS) Cultural Services |
| 17 | 99 | 151 | 157 | (KS) Education Services |
| 18 | – | 147, 148, 152 | 146–150 | (KS) Professional, Scientific and Technical Activities |
| 19 | – | 133, 134 | 129, 130 | (TS) Accommodation and Food Services |
| 20 | 98 | 132 | 118 | (TS) Wholesale and Retail Trade |
| 21 | 95–97 | 135–141 | 119–128 | (TS) Transport Services |
| 22 | 92 | 145, 146 | 143–145 | (TS) Real Estate Services |
| 23 | 101 | 150 | 155, 156 | (TS) Public Administration and Defense Services |
| 24 | 102, 103 | 149 | 151–154 | (TS) Business Support Services |
| 25 | 105 | 156, 158 | 162–164 | (TS) Other Services |

| Abbreviation | Large Sector Definition | Abbreviation | Small Sector Definition |
|---|---|---|---|
| AM | Agriculture and Mining | AF | Agriculture and Fishing |
| MQ | Mining and Quarrying | ||
| TM | Traditional Manufacturing | LI | Light Industry |
| CI | Chemical Industry | ||
| NMMI | Non-Metal and Metal Industry | ||
| MM | Manufacturing of Machinery | ||
| MTE | Manufacturing of Transport Equipment | ||
| OM | Other Manufacturing | ||
| ITM | IT Manufacturing | ITM | IT Manufacturing |
| C | Construction | C | Construction |
| E | Energy Generation and Supply | E | Energy Generation and Supply |
| ITS | IT Services | ITS | IT Services |
| KS | Knowledge Services | BP | Broadcast and Publishing |
| FI | Finance and Insurance | ||
| MHS | Medical and Human Health Services | ||
| CS | Cultural Services | ||
| ES | Education Services | ||
| PSTA | Professional, Scientific and Technical Activities | ||
| TS | Traditional Services | AFS | Accommodation and Food Services |
| WRT | Wholesale and Retail Trade | ||
| TS | Transport Services | ||
| RES | Real Estate Services | ||
| PADS | Public Administration and Defense Services | ||
| BSS | Business Support Services | ||
| OS | Other Services |
References
- Schwab, K. The Fourth Industrial Revolution; Currency: New York, NY, USA, 2017. [Google Scholar]
- Park, S.-J.; Kim, B.-W. 4th Industrial Revolution and Open Access Network for Smart City. In Proceedings of the 2018 Portland International Conference on Management of Engineering and Technology (PICMET), Honolulu, HI, USA, 19–23 August 2018. [Google Scholar]
- Desouza, K.; Flanery, T.H. Designing, planning, and managing resilient cities: A conceptual framework. Cities 2013, 35, 89–99. [Google Scholar] [CrossRef]
- Yigitcanlar, T.; Lee, S.H. Korean ubiquitous-eco-city: A smart-sustainable urban form or a branding hoax? Technol. Forecast. Soc. Change 2014, 89, 100–114. [Google Scholar] [CrossRef]
- Nam, T.; Pardo, T.A. Conceptualizing Smart city with Dimensions of Technology, People, and Institutions. In Proceedings of the 12th Annual International Digital Government Research Conference: Digital Government Innovation in Challenging Times, College Park, MD, USA, 12–15 June 2011; pp. 282–291. [Google Scholar]
- Umar, T. Making Future Floating Cities Sustainable: A way Forward. Proc. Inst. Civ. Eng. Urban Des. Plan. 2020, 173, 214–237. [Google Scholar] [CrossRef]
- Serrano, W. Digital Systems in Smart City and Infrastructure: Digital as a Service. Smart Cities 2018, 1, 134–153. [Google Scholar] [CrossRef]
- Lee, S.H.; Moon, T.H.; Leem, Y.T.; Nam, K.W. An empirical investigation on the dynamics of knowledge and it industries in korea. Int. J. Struct. Constr. Eng. 2016, 10, 2452–2456. [Google Scholar]
- Embarak, O. Smart Cities New Paradigm Applications and Challenges. In Immersive Technology in Smart Cities; Aurelia, S., Paiva, S., Eds.; EAI/Springer Innovations in Communication and Computing; Springer: Cham, Switzerland, 2022; pp. 147–177. [Google Scholar] [CrossRef]
- Jo, S.-S.; Han, H.; Leem, Y.; Lee, S.-H. Sustainable Smart Cities and Industrial Ecosystem: Structural and Relational Changes of the Smart City Industries in Korea. Sustainability 2021, 13, 9917. [Google Scholar] [CrossRef]
- Jo, S.S.; Lee, S.H. An analysis on the change of convergence in smart city from industrial perspectives. J. Korean Reg. Sci. Assoc. 2018, 34, 61–74. [Google Scholar]
- Porter, M.E. The competitive advonioge of notions. Harv. Bus. Rev. 1990, 73, 91. [Google Scholar]
- Hefnawy, A.; Bouras, A.; Cherifi, C. Lifecycle Based Modeling of Smart City Ecosystem. In Proceedings of the World Congress in Computer Science, Computer Engineering and Applications (WORLDCOMP 2015), Las Vegas, NV, USA, 27–30 July 2015. [Google Scholar]
- Pellicano, M.; Calabrese, M.; Loia, F.; Maione, G. Value Co-Creation Practices in Smart City Ecosystem. J. Serv. Sci. Manag. 2019, 12, 34–57. [Google Scholar] [CrossRef][Green Version]
- Díaz-Díaz, R.; Muñoz, L.; Pérez-González, D. Business model analysis of public services operating in the smart city ecosystem: The case of Smart Santander. Future Gener. Comput. Syst. 2017, 76, 198–214. [Google Scholar] [CrossRef]
- Rotuna, C.; Gheorghita, A.; Zamfiroiu, A.; Smada, D.-M. Smart City Ecosystem Using Blockchain Technology. Inform. Econ. 2019, 23, 41–50. [Google Scholar] [CrossRef]
- Mrazovic, P.; De La Rubia, I.; Urmeneta, J.; Balufo, C.; Tapias, R.; Matskin, M.; Larriba-Pey, J.L. CIGO! Mobility Management Platform for Growing Efficient and Balanced Smart City Ecosystem. In Proceedings of the International Smart Cities Conference (ISC2), Trento, Italy, 12–15 September 2016; pp. 1–4. [Google Scholar]
- Lnenicka, M.; Machova, R.; Komarkova, J.; Pasler, M. Government Enterprise Architecture for Big and Open Linked Data Analytics in a Smart City Ecosystem. In Smart Education and e-Learning 2017, Proceedings of the 4th International KES Conference on Smart Education and Smart E-Learning (KES-SEEL-17), Vilamoura, Portugal, 21–23 June 2017; Springer: Cham, Switzerland, 2018; Volume 75, pp. 475–485. [Google Scholar] [CrossRef]
- Gupta, A.; Panagiotopoulos, P.; Bowen, F. An orchestration approach to smart city data ecosystems. Technol. Forecast. Soc. Change 2020, 153, 119929. [Google Scholar] [CrossRef]
- Kim, P.-R.; Cho, B.-S.; Jeong, W.-S. The propagation effects on the regional economy induced by u-city construction in wha-sung and dong-tan city. J. Korean Inst. Commun. Inf. Sci. 2006, 31, 1087–1098. [Google Scholar]
- Jeong, S.Y. Economic Impact Analysis on the u-City Development. Master’s Thesis, University of Seoul, Seoul, Korea, 2008. [Google Scholar]
- Lim, S.-Y.; Lim, Y.M.; Hwang, B.J.; Lee, J.Y. A Study on the Characteristics of the U-City Industry Using the I-O Tables. J. Korea Spat. Inf. Soc. 2013, 21, 37–44. [Google Scholar] [CrossRef]
- Kim, K.; Jung, J.-K.; Choi, J.Y. Impact of the Smart City Industry on the Korean National Economy: Input-Output Analysis. Sustainability 2016, 8, 649. [Google Scholar] [CrossRef]
- Eitzen, H.C. Dilemmas of Diversification: Regional Economic Development and Business-Industrial Clusters in China and Kazakhstan. J. Emerg. Knowl. Emerg. Mark. 2012, 4, 2. [Google Scholar] [CrossRef][Green Version]
- Cho, S.-S. Cheongyang Industrial Development Strategy Using a Spectral Clustering Identification Method. Chungnam Stud. 2021, 5, 77–92. [Google Scholar]
- Moore, J.F. The Death of Competition: Leadership and Strategy in the Age of Business Ecosystems; HarperCollins: New York, NY, USA, 2016. [Google Scholar]
- Cho, B.-S.; Jeong, W.; Cho, H. A study on the business and trend of u-city. Electron. Telecommun. Trends 2006, 21, 152–162. [Google Scholar]
- Nakrani, P.K. Smart Car Technologies: A Comprehensive Study of the State of the Art with Analysis and Trends; Arizona State University: Tempe, AZ, USA, 2015. [Google Scholar]
- Buckman, A.H.; Mayfield, M.; Beck, S.B. What is a smart building? Smart Sustain. Built Environ. 2014, 3, 92–109. [Google Scholar] [CrossRef]
- Chun, E.; Jun, S.; Lee, C. Identification of Promising Smart Farm Technologies and Development of Technology Roadmap Using Patent Map Analysis. Sustainability 2021, 13, 10709. [Google Scholar] [CrossRef]
- Chen, B.; Wan, J.; Shu, L.; Li, P.; Mukherjee, M.; Yin, B. Smart Factory of Industry 4.0: Key Technologies, Application Case, and Challenges. IEEE Access 2018, 6, 6505–6519. [Google Scholar] [CrossRef]
- Markets and Markets. Market Research Report (Smart Factory). 2021. Available online: https://www.marketsandmarkets.com/Market-Reports/connected-car-market-102580117.html?clid=CjwKCAjwY8BRBiEiwA5MCBJjpuNcMnddDSRB2lsq6I2EInPWcrc1XEj2JpSU226ph-WWarPNTuBoCiFIQAvDBwE (accessed on 28 June 2022).
- Markets and Markets. Market Research Report (Smart Agriculture). 2021. Available online: https://www.marketsandmarkets.com/Market-Reports/smart-agriculture-market-239736790.html?gclid=CjwKCAjwquWVBhBrEiwAt1KmwoYwUjj3JqkvC4tRyYioOWEo0Yj3FdhDlWcWy0uIPDjhKXuQU7IrCxoCaTgQAvD_BwE (accessed on 28 June 2022).
- Markets and Markets. Market Research Report (Connected Car). 2021. Available online: https://www.marketsandmarkets.com/Market-Reports/connected-car-market-102580117.html?gclid=CjwKCAjwquWVBhBrEiwAt1KmwqOYi4ooBXSn3cBdaGPPrzafvoDpChNcCpE4stTHzMwf1_cp-OVgCBoCPT8QAvD_BwE (accessed on 28 June 2022).
- Markets and Markets. Market Research Report (Smart Building). 2021. Available online: https://www.marketsandmarkets.com/Market-Reports/smart-building-market-1169.html (accessed on 28 June 2022).
- Ayres, R.U. Industrial metabolism. Technol. Environ. 1989, 1989, 23–49. [Google Scholar]
- Tibbs, H.B. Industrial ecology–An agenda for environmental management. Pollut. Prev. Rev. 1992, 2, 167–180. [Google Scholar]
- Moore, J.F. Predators and prey: A new ecology of competition. Harv. Bus. Rev. 1993, 71, 75–86. [Google Scholar]
- Coursaris, C.; Hassanein, K.; Head, M. Mobile Technologies and the Value Chain: Participants, Activities and Value Creation. In Proceedings of the 2006 International Conference on Mobile Business, Copenhagen, Denmark, 26–27 June 2006. [Google Scholar]
- Jackson, D.J. What is an innovation ecosystem. Natl. Sci. Found. 2011, 1, 1–13. [Google Scholar]
- Abella, A.; Ortiz-De-Urbina-Criado, M.; De-Pablos-Heredero, C. A model for the analysis of data-driven innovation and value generation in smart cities’ ecosystems. Cities 2017, 64, 47–53. [Google Scholar] [CrossRef]
- Ahlers, D.; Wienhofen, L.W.; Petersen, S.A.; Anvaari, M. A Smart City Ecosystem Enabling Open Innovation. In Innovations for Community Services, Proceedings of the I4CS 2019, Wolfsburg, Germany, 24–26 June 2019; Lüke, K.H., Eichler, G., Erfurth, C., Fahrnberger, G., Eds.; Communications in Computer and Information Science; Springer: Cham, Switzerland, 2019; Volume 1041, pp. 109–122. [Google Scholar] [CrossRef]
- Linde, L.; Sjödin, D.; Parida, V.; Wincent, J. Dynamic capabilities for ecosystem orchestration A capability-based framework for smart city innovation initiatives. Technol. Forecast. Soc. Chang. 2021, 166, 120614. [Google Scholar] [CrossRef]
- Kim, I.-H.; Lee, J.-Y.; Seo, J.-M.; Lee, J.-C. A Study on Vitalizing and Promoting Measures of Innovation Ecosystems in the Korean Smart Cities; Korea Research Institute for Human Settlements Publishing: Sejong-si, Korea, 2019. [Google Scholar]
- Leontief, W. Input-Output Economics; Oxford University Press: Oxford, UK, 1986. [Google Scholar]
- Defourny, J.; Thorbecke, E. Structural Path Analysis and Multiplier Decomposition within a Social Accounting Matrix Framework. Econ. J. 1984, 94, 111. [Google Scholar] [CrossRef]
- Freeman, L.C. Centrality in social networks conceptual clarification. Soc. Netw. 1978, 1, 215–239. [Google Scholar] [CrossRef]
- Quirin, A.; Cordón, O.; Guerrero-Bote, V.P.; Vargas-Quesada, B.; Moya-Anegón, F. A quick mst-based algorithm to obtain pathfinder networks (∞, n − 1). J. Am. Soc. Inf. Sci. Technol. 2008, 59, 1912–1924. [Google Scholar] [CrossRef]
- Park, M.-S.; Lee, D.-H.; Choi, J.-A. Analysis on the Industrial Linkages between Manufacturing and Service Sector in Daegu and Gyeongbuk Region. J. Korean Reg. Dev. Assoc. 2017, 29, 99–120. [Google Scholar]
- Yu, M.; Hillebrand, A.; Tewarie, P.; Meier, J.; van Dijk, B.; Van Mieghem, P.; Stam, C.J. Hierarchical clustering in minimum spanning trees. Chaos: An Interdisciplinary. J. Nonlinear Sci. 2015, 25, 023107. [Google Scholar]
- Liu, Y. Business Analytics on the Chinese Service Industries: Business Models and Industrial Network Analysis. Ph.D. Thesis, Kyunghee University, Seoul, Korea, 2019. [Google Scholar]
- The Bank of Korea. Input-Output Statistics. In The Executive Summary of the 2015 Input-Output Tables; The Bank of Korea Press: Seoul, Korea, 2019; Available online: https://www.bok.or.kr/portal/bbs/P0000559/view.do?nttId=10050567&menuNo=200690 (accessed on 28 June 2022).
- Jo, S.-S.; Lee, S.-H.; Leem, Y.-T. An analysis on the evolutionary characteristics of ubiquitous city through evolutionary map of ubiquitous city. J. Korean Assoc. Geogr. Inf. Stud. 2015, 18, 75–91. [Google Scholar] [CrossRef]
- Organisation for Economic Co-operation and Development. The Knowledge-Based Economy: A Set of Facts and Figures; Organisation for Economic Co-operation and Development: Paris, France, 1999. [Google Scholar]
- Organisation for Economic Co-operation and Development. Measuring the Information Economy 2002; OECD Publishing: Paris, France, 2002. [Google Scholar]
- Organisation for Economic Co-operation and Development. Oecd Guide to Measuring the Information Society 2011; OECD: Paris, France, 2011. [Google Scholar]
- Stamopoulos, D.; Dimas, P.; Tsakanikas, A. Exploring the structural effects of the ICT sector in the Greek economy: A quantitative approach based on input-output and network analysis. Telecommun. Policy 2022, 46, 102332. [Google Scholar] [CrossRef]
- Hretcanu, C.I. Current trends in the knowledge economy. Ecoforum J. 2015, 4, 170–175. [Google Scholar]
- Ronnie, J.; Neto, J.V.; Quelhas, O.L.G.; de Matos Ferreira, J.J. Knowledge intensive business services (kibs): Bibliometric analysis and their different behaviors in the scientific literature: Topic 16–innovation and services. RAI Rev. Adm. E Inovação 2017, 14, 216–225. [Google Scholar]






| Year | Smart Industries | Traditional Industries | Total SUM | ||||||||
|---|---|---|---|---|---|---|---|---|---|---|---|
| ITM | ITS | KS | SUM | AM | TM | C | E | TS | SUM | ||
| 1960 | 2 (1.9) | 1 (0.9) | 6 (5.6) | 9 (8.4) | 11 (10.2) | 71 (65.7) | 5 (4.6) | 2 (1.9) | 10 (9.3) | 99 (91.7) | 108 (100) |
| 1985 | 6 (3.8) | 1 (0.6) | 10 (6.3) | 17 (10.7) | 20 (12.6) | 96 (60.4) | 5 (3.1) | 5 (3.1) | 16 (10.1) | 142 (89.3) | 159 (100) |
| 2015 | 11 (6.7) | 5 (3) | 17 (10.4) | 33 (20.1) | 12 (7.3) | 80 (48.8) | 7 (4.3) | 7 (4.3) | 25 (15.2) | 131 (79.9) | 164 (100) |
| AGR | 141.7 | 200 | 68.3 | - | 20.9 | 9.2 | 20 | 95 | 58.1 | - | |
| Year | Smart Industries | Traditional Industries | Total SUM | ||||||||
|---|---|---|---|---|---|---|---|---|---|---|---|
| ITM | ITS | KS | SUM | AM | TM | C | E | TS | SUM | ||
| 1960 | 0.083 (2.8) | 0.027 (0.9) | 0.046 (1.5) | 0.156 (5.2) | 0.542 (18.0) | 1.507 (50.1) | 0.082 (2.7) | 0.120 (4.0) | 0.599 (19.9) | 2.85 (94.7) | 3.009 (100) |
| 1985 | 0.471 (12.8) | 0.108 (2.9) | 0.261 (7.1) | 0.840 (22.8) | 0.368 (10.0) | 1.776 (48.3) | 0.070 (1.9) | 0.158 (4.3) | 0.464 (12.6) | 2.836 (77.1) | 3.678 (100) |
| 2015 | 0.494 (11.4) | 0.181 (4.2) | 0.517 (12.0) | 1.192 (27.6) | 0.440 (10.2) | 1.636 (37.9) | 0.018 (0.4) | 0.238 (5.5) | 0.794 (18.4) | 3.126 (72.4) | 4.322 (100) |
| AGR | 236.1 | 183.7 | 282.7 | - | −6.2 | 4.9 | −44.4 | 41.1 | 24.2 | - | |
| Year | Smart Industries | Traditional Industries | SUM | ||||||||
|---|---|---|---|---|---|---|---|---|---|---|---|
| ITM | ITS | KS | AVG | AM | TM | C | E | TS | AVG | ||
| Other Industries | |||||||||||
| 1960 | 58 | 41 | 52 | 50.3 | 23 | 27 | 51 | 50 | 39 | 38.0 | 341 |
| 1985 | 65 | 49 | 60 | 58.0 | 48 | 39 | 82 | 67 | 57 | 58.6 | 467 |
| 2015 | 66 | 80 | 64 | 70.0 | 66 | 53 | 102 | 89 | 59 | 73.8 | 579 |
| AGR | 6.8 | 41.3 | 11.0 | - | 73.0 | 40.1 | 42.5 | 33.4 | 24.8 | - | |
| Year | Single Intervention Path | Double Intervention Path | Triple Intervention Path | |||||||
|---|---|---|---|---|---|---|---|---|---|---|
| ITM | ITS | KS | SUM | ITM, ITS | ITM, KS | ITS, KS | SUM | ITM, ITS, KS | SUM | |
| 1960 | 29 (52) | 11 (20) | 16 (29) | 56 (100) | 2 (100) | - | - | 2 (100) | - | - |
| 1985 | 52 (39) | 11 (8) | 70 (53) | 133 (100) | 2 (50) | 2 (50) | - | 4 (100) | - | - |
| 2015 | 65 (30) | 27 (12) | 126 (58) | 218 (100) | 2 (9) | 12 (55) | 8 (36) | 22 (100) | - | - |
| AVG | 48.6 | 16.3 | 70.6 | - | 2.0 | 7.0 | 8.0 | - | - | - |
| Industry Cluster | 1960 | 1985 | 2015 | |
|---|---|---|---|---|
| Cluster 1 | Main Node | (TM)LI | (TM)CI | (TM)CI |
| Connected Node | 11 | 19 | 18 | |
| Smart Industry Node | ITM(0), ITS(1), KS(3) | ITM(1), ITS(1), KS(3) | ITM(1), ITS(0), KS(5) | |
| Cluster 2 | Main Node | (TM)NMMI | (TM)LI | (TM)CI |
| Connected Node | 11 | 3 | 7 | |
| Smart Industry Node | ITM(1), ITS(0), KS(1) | ITM(0), ITS(0), KS(1) | ITM(0), ITS(0), KS(1) | |
| Cluster 3 | Main Node | (TS)WRT | (TS)RES | (TS)WRT |
| Connected Node | 3 | 4 | 5 | |
| Smart Industry Node | ITM(0), ITS(0), KS(0) | ITM(0), ITS(0), KS(1) | ITM(0), ITS(1), KS(1) | |
| Cluster 4 | Main Node | - | - | (TM)NMMI |
| Connected Node | 4 | |||
| Smart Industry Node | ITM(0), ITS(0), KS(0) | |||
| Cluster 5 | Main Node | - | - | (TM)LI |
| Connected Node | 3 | |||
| Smart Industry Node | ITM(0), ITS(0), KS(2) | |||
| Isolated Nodes | (KS)BP, (KS)PSTA, (TS)AFS | (KS)BP | - | |
Publisher’s Note: MDPI stays neutral with regard to jurisdictional claims in published maps and institutional affiliations. |
© 2022 by the authors. Licensee MDPI, Basel, Switzerland. This article is an open access article distributed under the terms and conditions of the Creative Commons Attribution (CC BY) license (https://creativecommons.org/licenses/by/4.0/).
Share and Cite
Jo, S.; Lee, S. Development and Application of Smart SPIN Model: Measuring the Spectrum, Penetration, Impact and Network of Smart City Industries in South Korea. Buildings 2022, 12, 973. https://doi.org/10.3390/buildings12070973
Jo S, Lee S. Development and Application of Smart SPIN Model: Measuring the Spectrum, Penetration, Impact and Network of Smart City Industries in South Korea. Buildings. 2022; 12(7):973. https://doi.org/10.3390/buildings12070973
Chicago/Turabian StyleJo, Sungsu, and Sangho Lee. 2022. "Development and Application of Smart SPIN Model: Measuring the Spectrum, Penetration, Impact and Network of Smart City Industries in South Korea" Buildings 12, no. 7: 973. https://doi.org/10.3390/buildings12070973
APA StyleJo, S., & Lee, S. (2022). Development and Application of Smart SPIN Model: Measuring the Spectrum, Penetration, Impact and Network of Smart City Industries in South Korea. Buildings, 12(7), 973. https://doi.org/10.3390/buildings12070973
