Experimental and Numerical Investigation of Plastic–Concrete Waterproof Walls of an Underground Granary Subject to Combined Bending Moment and Water Pressure
Abstract
:1. Introduction
2. Experimental Design
2.1. Test Specimen Design and Manufacture
2.2. Test Device
2.3. Test Method
3. Test Results Analysis
3.1. Failure Mode
3.2. Load–Displacement Relationship
3.2.1. Load–Displacement Curve of the Node
3.2.2. Four-Node Mid-Span Load–Displacement Relationship
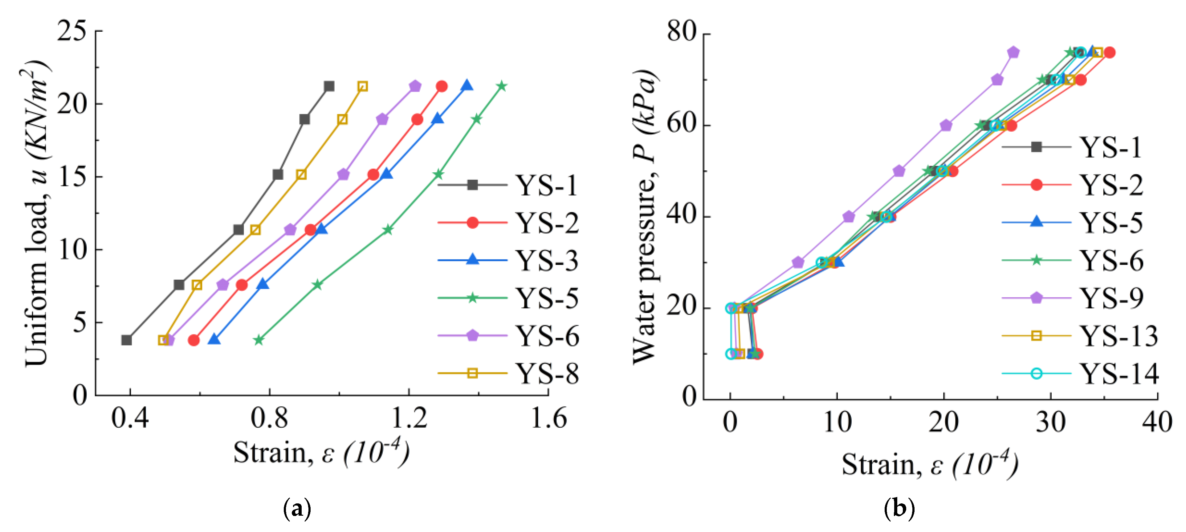
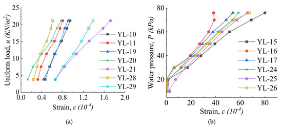
3.3. Strain–Load Relationship
3.3.1. Mid-Span Strain–Load Relationship of Two Nodes
3.3.2. Mid-Span Strain–Load Relationship of Four Nodes
3.3.3. Nodal Strain–Load Relationship
3.3.4. Concrete Surface Strain–Load Relationship
4. Numerical Modeling
4.1. Constitutive Relation of Materials
4.2. Cell Selection and Meshing
4.3. Load Application and Boundary Conditions
4.4. Contact Simulation
5. Numerical Model Validation
5.1. Comparison of Load–Displacement Curves
5.2. Comparison of Load–Strain Curves
6. Design Parameter Analysis
6.1. Connecting Plate Spacing
6.2. Connecting Plate Radius
6.3. Thickness of Waterproof Plate
6.4. Parameter Sensitivity Analysis
7. Conclusions
- (1)
- During the uniform loading stage, the plastic plate and concrete in the plastic–concrete composite specimen worked together through the plastic bolt, and the displacement and strain of the waterproof plate increased linearly with the increase in the load; however, their values were changed little. During the stage of water pressure loading, under the compound action of the bending moment and water pressure, the displacement and strain of the waterproof plate increased significantly with the increase in water pressure.
- (2)
- There was a chemical adhesive force between the PP waterproof plate and concrete, which could resist the 20 kPa water pressure. Under a certain uniform load, with the increase in water pressure, the waterproof plate and concrete in the specimen gradually peeled off, and their combined effect was gradually weakened. Regarding the PP waterproof plate shear failure, the maximum water pressure was 85 kPa.
- (3)
- The numerical model of the plastic–concrete composite silo wall was established. The numerical analysis results were in good agreement with the test results, which shows that the numerical model is accurate and feasible. Based on the numerical analysis results, the expressions of the relationship between the design parameters and the water pressure-bearing capacity were presented.
- (4)
- When the thickness of the waterproof plate is larger than 14 mm or the radius of the connecting plate is larger than 60 mm, the bolt strength is the main control factor of specimen failure. When increasing the thickness of the waterproof plate or the radius of the connecting plate to improve the water pressure-bearing capacity of the specimen, the bolt strength should also be enhanced.
- (5)
- The numerical parameter analysis shows that, compared with the thickness of the waterproof plate, the connection plate spacing and its radius have a greater influence on the water pressure-bearing capacity of the specimen. The regression coefficients of the connection plate spacing, radius, and waterproof plate thickness on the water pressure-bearing capacity of the specimen were −0.874, 0.330, and 0.175, respectively.
Author Contributions
Funding
Informed Consent Statement
Data Availability Statement
Acknowledgments
Conflicts of Interest
Author Recommendation
References
- Pan, Y.; Fang, H.; Li, B.; Wang, F. Stability analysis and full-scale test of a new recyclable supporting structure for underground ecological granaries. Eng. Struct. 2019, 192, 205–219. [Google Scholar] [CrossRef]
- Valls, A.; García, F.; Ramírez, M.; Benlloch, J. Understanding subterranean grain storage heritage in the Mediterranean region: The Valencian silos (Spain). Tunn. Undergr. Space Technol. 2015, 50, 178–188. [Google Scholar] [CrossRef]
- Zhang, X.; Zhang, H.; Wang, Z.; Chen, X.; Chen, Y. Research on the temperature field of grain piles in underground grain silos lined with plastic. J. Food Process Eng. 2022, 45, e13971. [Google Scholar] [CrossRef]
- Sirousazar, M.; Yari, M.; Achachlouei, B.F.; Arsalani, J.; Mansoori, Y. Polypropylene/montmorillonite Nanocomposites for Food Packaging. e-Polymersb 2016, 7, 305–313. [Google Scholar] [CrossRef] [Green Version]
- Gong, C.; Ding, W.; Mosalam, K.M. Performance-based design of joint waterproofing of segmental tunnel linings using hybrid computational/experimental procedures. Tunn. Undergr. Space Technol. 2020, 96, 103172. [Google Scholar] [CrossRef]
- Gong, C.; Ding, W.; Soga, K.; Mosalam, K.M. Failure mechanism of joint waterproofing in precast segmental tunnel linings. Tunn. Undergr. Space Technol. 2018, 84, 334–352. [Google Scholar] [CrossRef]
- Xu, Q.; Zhang, H.; Liu, Q.; Wang, L. Seismic analysis on reinforced concrete group silos through shaking table tests. Struct. Concr. 2020, 22, 1285–1296. [Google Scholar] [CrossRef]
- Ho, N.; Doh, J. Prediction of ultimate strength of concrete walls restrained on three sides. Struct. Concr. 2019, 20, 942–954. [Google Scholar] [CrossRef] [Green Version]
- Farajzadehha, S.; Mahdikhani, M.; Moayed, R.Z.; Farajzadehha, S. Experimental study of permeability and elastic modulus of plastic concrete containing nano silica. Struct. Concr. 2020, 23, 521–532. [Google Scholar] [CrossRef]
- Khatib, J.; Jahami, A.; Elkordi, A.; Abdelgader, H.; Sonebi, M. Structural Assessment of Reinforced Concrete Beams Incorporating Waste Plastic Straws. Environments 2020, 7, 96. [Google Scholar] [CrossRef]
- Massone, L.M.; Rojas, F.R.; Ahumada, M.G. Analytical study of the response of reinforced concrete walls with discontinuities of flag wall type. Struct. Concr. 2017, 18, 962–973. [Google Scholar] [CrossRef]
- Babaei, A.; Mortezaei, A.; Salehian, H. Experimental study on seismic performance of steel fiber reinforced concrete wall piers. Struct. Concr. 2020, 22, 1363–1377. [Google Scholar] [CrossRef]
- Scamardo, M.; Cattaneo, S.; Biolzi, L.; Vafa, N. Parametric Analyses of the Response of Masonry Walls with Reinforced Plaster. Appl. Sci. 2022, 12, 5090. [Google Scholar] [CrossRef]
- Lee, C.-B.; Lee, J.-H. Nonlinear Dynamic Response of a Concrete Rectangular Liquid Storage Tank on Rigid Soil Subjected to Three-Directional Ground Motion. Appl. Sci. 2021, 11, 4688. [Google Scholar] [CrossRef]
- Qingzhang, Z.; Zhilong, H.; Hao, Z.; Zhenqing, W.; Da, X. Experimental study on resisted water pressure for connecting welds of polypropylene plastic plates in underground silos. Plast. Rubber Compos. 2021, 1, 1–9. [Google Scholar] [CrossRef]
- Shi, W.; Wang, L.; Lu, Z.; Zhang, Q. Application of an Artificial Fish Swarm Algorithm in an Optimum Tuned Mass Damper Design for a Pedestrian Bridge. Appl. Sci. 2018, 8, 175. [Google Scholar] [CrossRef] [Green Version]
- Jeon, S.-H.; Park, J.-H. Seismic Fragility of Ordinary Reinforced Concrete Shear Walls with Coupling Beams Designed Using a Performance-Based Procedure. Appl. Sci. 2020, 10, 4075. [Google Scholar] [CrossRef]
- Mohamad, A.-B.A.E.; Chen, Z. Experimental Studies on the Behavior of a Newly-Developed Type of Self-Insulating Concrete Masonry Shear Wall under in-Plane Cyclic Loading. Appl. Sci. 2017, 7, 463. [Google Scholar] [CrossRef] [Green Version]
- Hao, T.; Cao, W.; Qiao, Q.; Liu, Y.; Zheng, W. Structural Performance of Composite Shear Walls under Compression. Appl. Sci. 2017, 7, 162. [Google Scholar] [CrossRef] [Green Version]
- Poonyakan, A.; Rachakornkij, M.; Wecharatana, M.; Smittakorn, W. Potential Use of Plastic Wastes for Low Thermal Conductivity Concrete. Materials 2018, 11, 1938. [Google Scholar] [CrossRef] [Green Version]
- Kromoser, B.; Gericke, O.; Hammerl, M.; Sobek, W. Second-Generation Implants for Load Introduction into Thin-Walled CFRP-Reinforced UHPC Beams: Implant Optimisation and Investigations of Production Technologies. Materials 2019, 12, 3973. [Google Scholar] [CrossRef] [Green Version]
- Flores-Johnson, E.A.; Company-Rodríguez, B.A.; Koh-Dzul, J.F.; Carrillo, J.G. Shaking Table Test of U-Shaped Walls Made of Fiber-Reinforced Foamed Concrete. Materials 2020, 13, 2534. [Google Scholar] [CrossRef]
- Al-Fakih, A.; Al-Osta, M.A. Finite Element Analysis of Rubberized Concrete Interlocking Masonry under Vertical Loading. Materials 2022, 15, 2858. [Google Scholar] [CrossRef]
- Lee, J.; Kim, S.; Lee, K.; Kang, Y. Theoretical Local Buckling Behavior of Thin-Walled UHPC Flanges Subjected to Pure Compressions. Materials 2021, 14, 2130. [Google Scholar] [CrossRef]
- Kozłowski, M.; Galman, I.; Jasiński, R. Finite Element Study on the Shear Capacity of Traditional Joints between Walls Made of AAC Masonry Units. Materials 2020, 13, 4035. [Google Scholar] [CrossRef]
- Wang, L.; Shi, W.; Zhou, Y. Study on self-adjustable variable pendulum tuned mass damper. Struct. Des. Tall Spéc. Build. 2018, 28, e1561. [Google Scholar] [CrossRef] [Green Version]
- Yang, J.; Lu, Z.; Li, P. Large-scale shaking table test on tall buildings with viscous dampers considering pile-soil-structure interaction. Eng. Struct. 2020, 220, 110960. [Google Scholar] [CrossRef]
- Yang, J.; Jing, H.; Li, P. Shaking table test and simulation of 12-story buildings with metallic dampers located on soft soil. J. Build. Eng. 2021, 46, 103585. [Google Scholar] [CrossRef]
- Hernoune, H.; Benabed, B.; Kanellopoulos, A.; Al-Zuhairi, A.H.; Guettala, A. Experimental and Numerical Study of Behaviour of Reinforced Masonry Walls with NSM CFRP Strips Subjected to Combined Loads. Buildings 2020, 10, 103. [Google Scholar] [CrossRef]
- Sun, G.; Li, F.; Zhou, Q. Cyclic Responses of Two-Side-Connected Precast-Reinforced Concrete Infill Panels with Different Slit Types. Buildings 2021, 12, 16. [Google Scholar] [CrossRef]
- Jamšek, A.; Dolšek, M. The Reduced-Degree-of-Freedom Model for Seismic Analysis of Predominantly Plan-Symmetric Reinforced Concrete Wall–Frame Building. Buildings 2021, 11, 372. [Google Scholar] [CrossRef]
- Wang, W.; Quan, C.; Su, S.; Li, Y.; Song, H. Evaluation of seismic performance and effective lateral stiffness for corrugated steel-plate concrete composite structural walls repaired using bottom corner dampers. Structures 2022, 40, 1–17. [Google Scholar] [CrossRef]
- Wen, L.; Cao, W.; Li, Y.; Liu, Y.; Zhou, H. Quantitative study on the influence of foundation valley shape on the behaviour of concrete cut-off walls. Structures 2022, 38, 861–873. [Google Scholar] [CrossRef]
- Naserpour, A.; Fathi, M. Numerical study of demountable shear wall system for multistory precast concrete buildings. Structures 2021, 34, 700–715. [Google Scholar] [CrossRef]
- Grzyb, K.; Jasiński, R. Parameter estimation of a homogeneous macromodel of masonry wall made of autoclaved aerated concrete based on standard tests. Structures 2022, 38, 385–401. [Google Scholar] [CrossRef]
- Nguyen-Van, V.; Nguyen-Xuan, H.; Panda, B.; Tran, P. 3D concrete printing modelling of thin-walled structures. Structures 2022, 39, 496–511. [Google Scholar] [CrossRef]
- Wang, L.; Shi, W.; Zhou, Y. Adaptive-passive tuned mass damper for structural aseismic protection including soil–structure interaction. Soil Dyn. Earthq. Eng. 2022, 158, 107298. [Google Scholar] [CrossRef]
- Drobiec, Ł.; Jasiński, R.; Mazur, W.; Rybraczyk, T. Numerical Verification of Interaction between Masonry with Precast Reinforced Lintel Made of AAC and Reinforced Concrete Confining Elements. Appl. Sci. 2020, 10, 5446. [Google Scholar] [CrossRef]
- Shi, W.; Wang, L.; Lu, Z.; Gao, H. Study on Adaptive-Passive and Semi-Active Eddy Current Tuned Mass Damper with Variable Damping. Sustainability 2018, 10, 99. [Google Scholar] [CrossRef] [Green Version]
- Ye, J.; Jiang, L. Simplified Analytical Model and Shaking Table Test Validation for Seismic Analysis of Mid-Rise Cold-Formed Steel Composite Shear Wall Building. Sustainability 2018, 10, 3188. [Google Scholar] [CrossRef] [Green Version]
- Yang, J.; Li, P.; Yang, Y.; Xu, D. An improved EMD method for modal identification and a combined static-dynamic method for damage detection. J. Sound Vib. 2018, 420, 242–260. [Google Scholar] [CrossRef]
- Yang, J.; Jing, H.; Li, P. Dynamic characteristics and viscous dampers design for pile-soil-structure system. Struct. Des. Tall Spéc. Build. 2020, 29, e1785. [Google Scholar] [CrossRef]
- Jing, H.; Chen, H.; Yang, J.; Li, P. Seismic analysis of steel silo considering granular material-structure interaction. Structures 2022, 37, 698–708. [Google Scholar] [CrossRef]
- Kumar, V.S.; Ganesan, N.; Indira, P.V.; Murali, G.; Vatin, N.I. Flexural Behaviour of Hybrid Fibre-Reinforced Ternary Blend Geopolymer Concrete Beams. Sustainability 2022, 14, 5954. [Google Scholar] [CrossRef]
- Prithiviraj, C.; Saravanan, J.; Kumar, D.R.; Murali, G.; Vatin, N.I.; Swaminathan, P. Assessment of Strength and Durability Properties of Self-Compacting Concrete Comprising Alccofine. Sustainability 2022, 14, 5895. [Google Scholar] [CrossRef]
- Forero, J.A.; Bravo, M.; Pacheco, J.; de Brito, J.; Evangelista, L. Thermal Performance of Concrete with Reactive Magnesium Oxide as an Alternative Binder. Sustainability 2022, 14, 5885. [Google Scholar] [CrossRef]
- Shah, S.K.H.; Uchimura, T.; Kawamoto, K. Permanent Deformation and Breakage Response of Recycled Concrete Aggregates under Cyclic Loading Subject to Moisture Change. Sustainability 2022, 14, 5427. [Google Scholar] [CrossRef]
- Wang, L.; Shi, W.; Zhang, Q.; Zhou, Y. Study on adaptive-passive multiple tuned mass damper with variable mass for a large-span floor structure. Eng. Struct. 2019, 209, 110010. [Google Scholar] [CrossRef]
- Wang, L.; Nagarajaiah, S.; Shi, W.; Zhou, Y. Semi-active control of walking-induced vibrations in bridges using adaptive tuned mass damper considering human-structure-interaction. Eng. Struct. 2021, 244, 112743. [Google Scholar] [CrossRef]
- Shi, W.; Wang, L.; Lu, Z. Study on self-adjustable tuned mass damper with variable mass. Struct. Control Health Monit. 2017, 25, e2114. [Google Scholar] [CrossRef]
- Apay, A.C.; Özgan, E.; Turgay, T.; Akyol, K. Investigation and modelling the effects of water proofing and water repellent admixtures dosage on the permeability and compressive strengths of concrete. Constr. Build. Mater. 2016, 113, 698–711. [Google Scholar] [CrossRef]
- Su, J.; Bloodworth, A. Simulating composite behaviour in SCL tunnels with sprayed waterproofing membrane interface: A state-of-the-art review. Eng. Struct. 2019, 191, 698–710. [Google Scholar] [CrossRef]
- Chuai, J.; Hou, Z.; Wang, Z.; Wang, L. Mechanical Properties of the Vertical Joints of Prefabricated Underground Silo Steel Plate Concrete Wall. Adv. Civ. Eng. 2020, 2020, 6643811. [Google Scholar] [CrossRef]
- Pisova, B.; Hilar, M. Spray-applied waterproofing membranes: Effective solution for safe and durable tunnel linings? IOP Conf. Ser. Mater. Sci. Eng. 2017, 236, 012087. [Google Scholar] [CrossRef]
- GB/T 193-2003; Ordinary Thread Diameter and Pitch Series. The General Administration of Quality Supervision, Inspection and Quarantine of the People’s Republic of China: Beijing, China, 2003.
- GT/T 196-2003; Ordinary Thread Basic Dimensions. The General Administration of Quality Supervision, Inspection and Quarantine of the People’s Republic of China: Beijing, China, 2003.
- GB/T 1040-2006; Plastics Determination of Tensile Properties. The General Administration of Quality Supervision, Inspection and Quarantine of the People’s Republic of China: Beijing, China, 2006.
- GB 50010-2010; Design Code for Concrete Structures. The General Administration of Quality Supervision, Inspection and Quarantine of the People’s Republic of China: Beijing, China, 2016.




















| Characteristic | Parameter |
|---|---|
| Expansion angle α | 36.31° |
| Eccentricity c | 0.1 |
| Fb0/fc0 | 1.16 |
| Shape factor K | 0.667 |
| Viscosity parameter µ | 0.0005 |
| Poisson’s ratio ϑ | 0.2 |
| Numerical Model Number | PP Connection Plate Spacing (mm) | PP Waterproof Plate Thickness (mm) | PP Connecting Plate Radius (mm) | Water Pressure-Bearing Capacity (kPa) | Peak Displacement (mm) |
|---|---|---|---|---|---|
| PCW-R40 | 300 | 10 | 40 | 230 | 22.18 |
| PCW-R50 | 50 | 300 | 22.09 | ||
| PCW-R60 | 60 | 380 | 22.01 | ||
| PCW-R70 | 70 | 400 | 20.84 | ||
| PCW-R80 | 80 | 420 | 19.12 | ||
| PCW-B8 | 300 | 8 | 50 | 240 | 24.63 |
| PCW-B10 | 10 | 300 | 24.28 | ||
| PCW-B12 | 12 | 350 | 22.28 | ||
| PCW-B14 | 14 | 380 | 21.91 | ||
| PCW-B16 | 16 | 350 | 21.71 | ||
| PCW-B18 | 18 | 360 | 20.88 | ||
| PCW-D200 | 200 | 10 | 50 | 650 | 13.04 |
| PCW-D250 | 250 | 450 | 19.18 | ||
| PCW-D300 | 300 | 300 | 22.09 | ||
| PCW-D350 | 350 | 200 | 25.94 | ||
| PCW-D400 | 400 | 150 | 28.68 |
| Project | Coefficient | Standard Error | Regression Coefficients (Beat) | T-Statistic | Significance |
|---|---|---|---|---|---|
| Constant | 788.303 | 120.865 | - | 6.552 | 0.000 |
| d | −2.500 | 0.279 | −0.874 | −8.969 | 0.000 * |
| r | 4.074 | 1.216 | 0.330 | 3.350 | 0.006 * |
| b | 7.775 | 4.377 | 0.175 | 1.776 | 0.101 ** |
Publisher’s Note: MDPI stays neutral with regard to jurisdictional claims in published maps and institutional affiliations. |
© 2022 by the authors. Licensee MDPI, Basel, Switzerland. This article is an open access article distributed under the terms and conditions of the Creative Commons Attribution (CC BY) license (https://creativecommons.org/licenses/by/4.0/).
Share and Cite
Zhang, H.; Han, K.; Yang, J.; Chen, L. Experimental and Numerical Investigation of Plastic–Concrete Waterproof Walls of an Underground Granary Subject to Combined Bending Moment and Water Pressure. Buildings 2022, 12, 893. https://doi.org/10.3390/buildings12070893
Zhang H, Han K, Yang J, Chen L. Experimental and Numerical Investigation of Plastic–Concrete Waterproof Walls of an Underground Granary Subject to Combined Bending Moment and Water Pressure. Buildings. 2022; 12(7):893. https://doi.org/10.3390/buildings12070893
Chicago/Turabian StyleZhang, Hao, Kaiyi Han, Jinping Yang, and Lei Chen. 2022. "Experimental and Numerical Investigation of Plastic–Concrete Waterproof Walls of an Underground Granary Subject to Combined Bending Moment and Water Pressure" Buildings 12, no. 7: 893. https://doi.org/10.3390/buildings12070893
APA StyleZhang, H., Han, K., Yang, J., & Chen, L. (2022). Experimental and Numerical Investigation of Plastic–Concrete Waterproof Walls of an Underground Granary Subject to Combined Bending Moment and Water Pressure. Buildings, 12(7), 893. https://doi.org/10.3390/buildings12070893
