Assessment of Indoor Climate for Infants in Nursery School Classrooms in Mild Climatic Areas in Japan
Abstract
1. Introduction
2. Materials and Methods
3. Results and Discussion
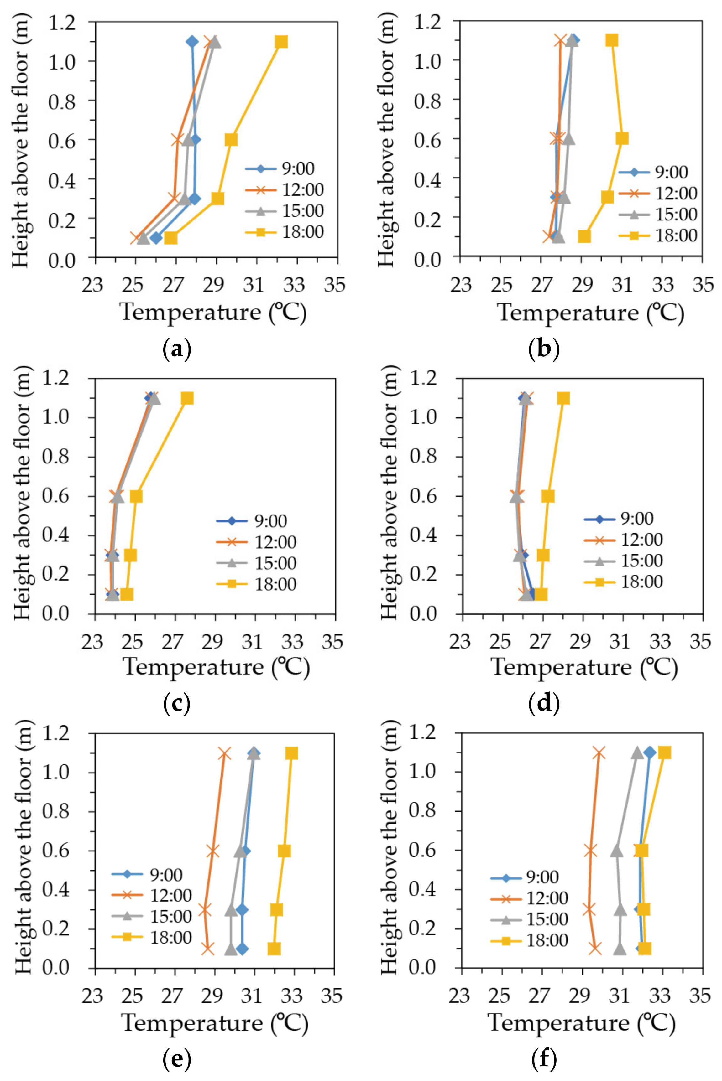
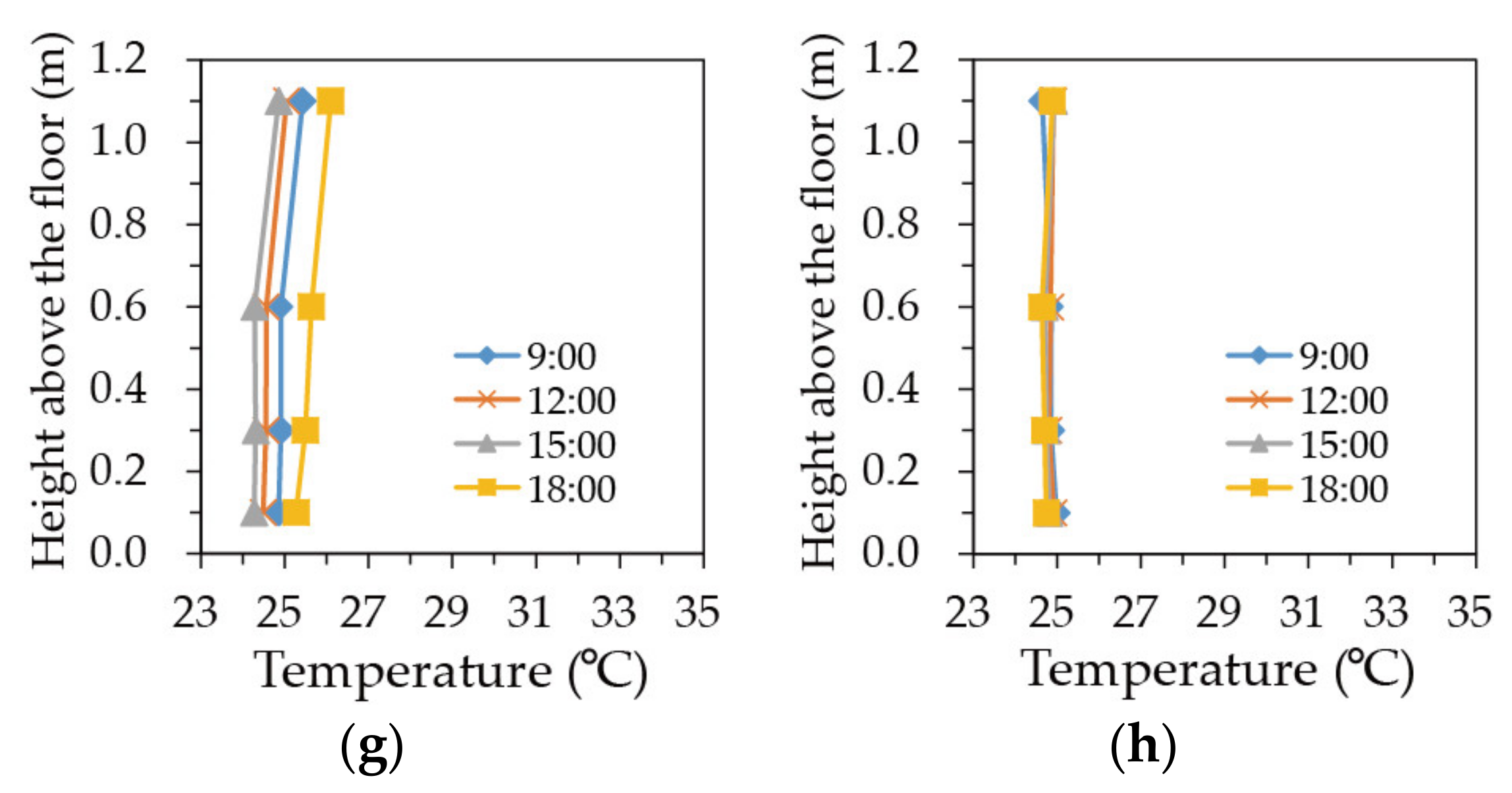
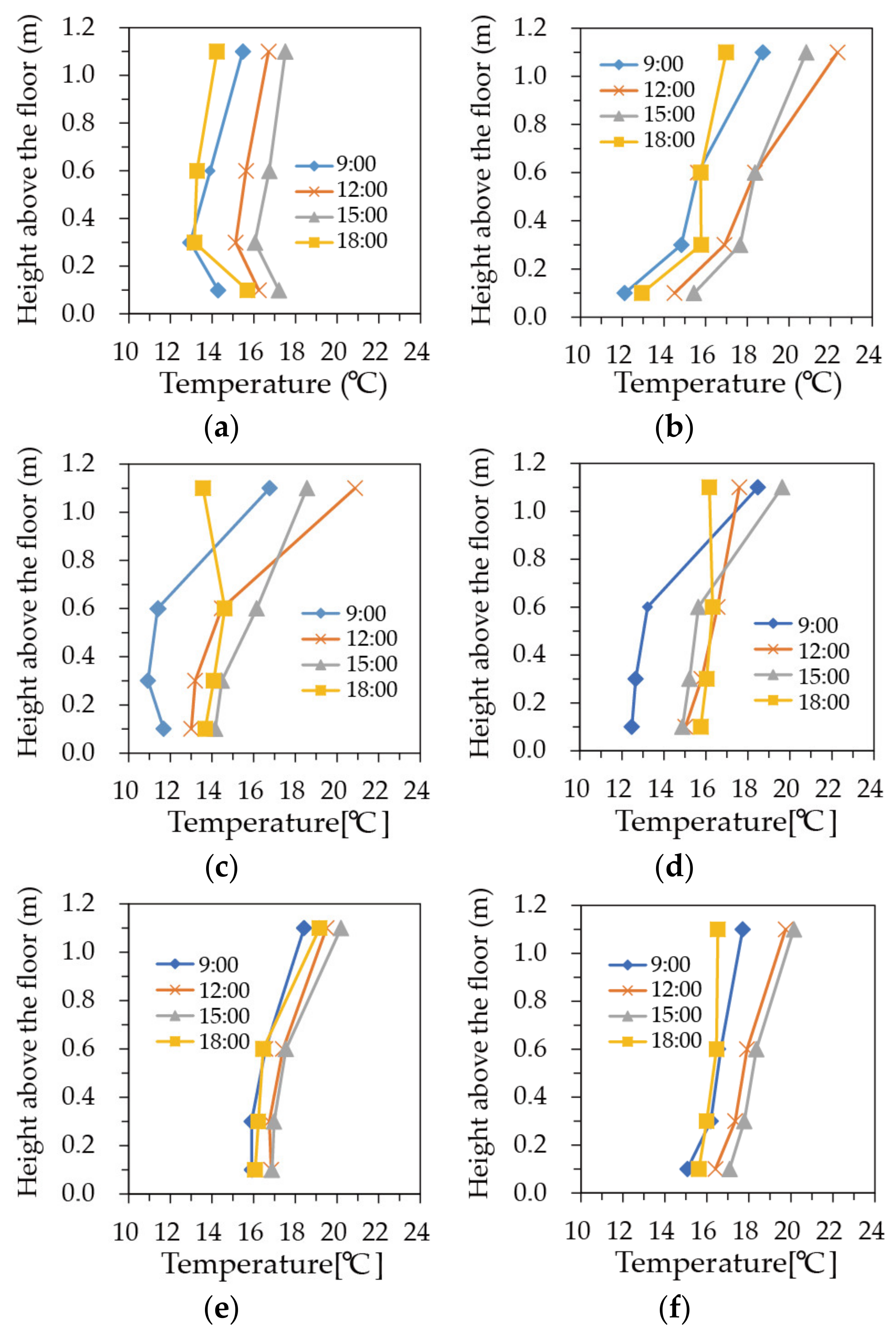
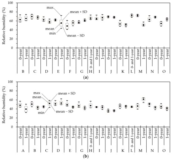
3.1. Temperature and Humidity
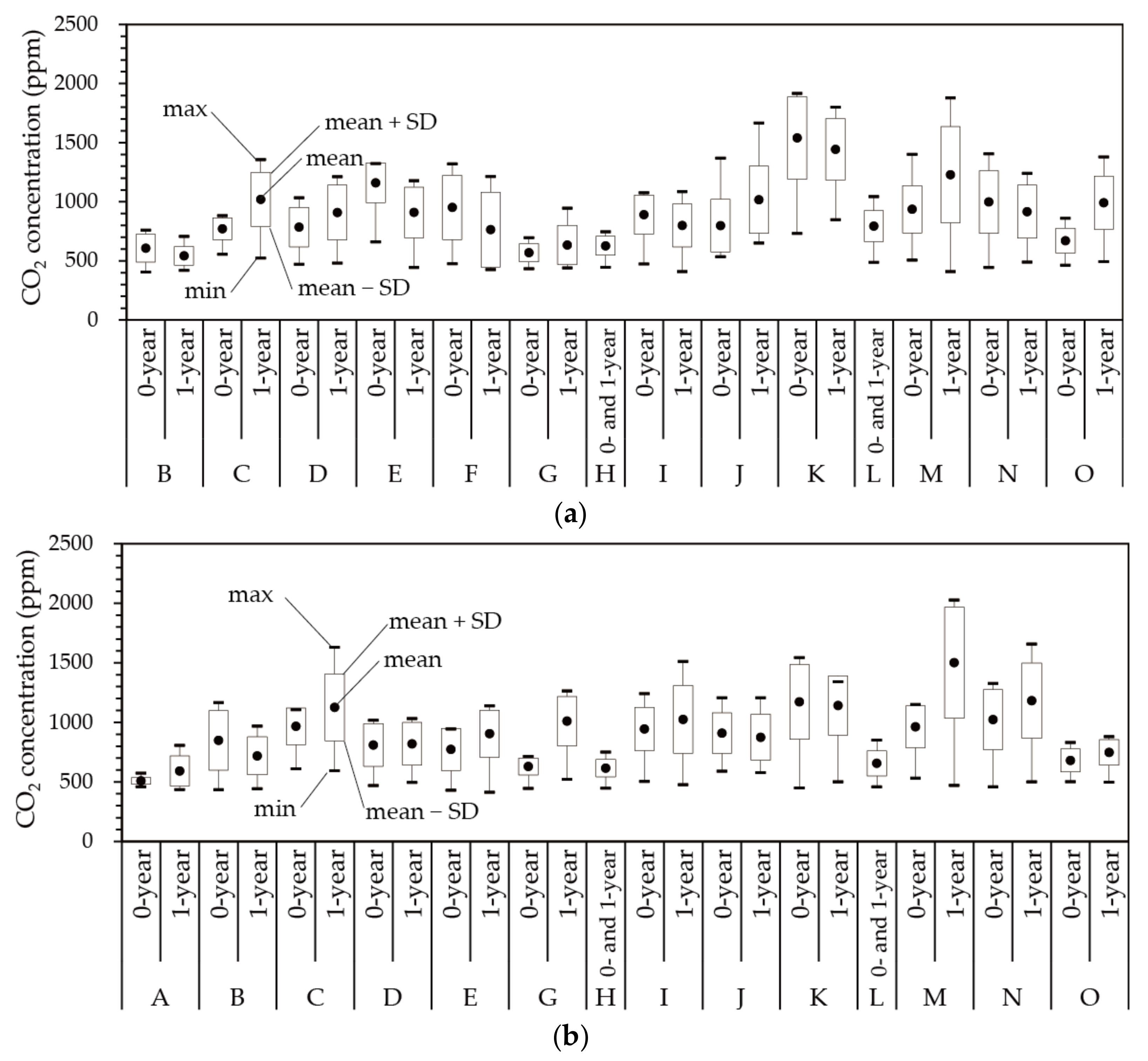
3.2. CO2 Concentration
3.3. Particulate Matter
3.4. Illumination
3.5. Noise Level
3.6. Examination of Indoor Environmental Standards
4. Conclusions
5. Limitations to the Study and Future Research
- (1)
- The installation location of the measurement equipment tends to be restricted, especially in 1-year-old rooms, to ensure that children do not touch the measurement equipment.
- (2)
- It is necessary to consider the metabolic rate of the children to set the temperature standard.
- (3)
- In this study, particle matter and equivalent noise level were evaluated by the results of a spot measurement by sampling for only 10 min for each visit. Therefore, evaluating particle matter and equivalent noise level by lengthening the sampling time will be necessary in the future. Further, quantitatively evaluating PM2.5 concentration and assessing its health risk to infants and childminders will be crucial.
- (4)
- In this study, indoor air environment was evaluated by CO2 concentration and particulate matter, but investigating the ventilation rate for each nursery classroom will be vital in the future.
Funding
Informed Consent Statement
Acknowledgments
Conflicts of Interest
Appendix A
| Nursery, Room | Temperature at 0.1 m from Floor Surface (°C) Median (5th, 95th Percentile) | Temperature at 0.3 m from Floor Surface (°C) Median (5th, 95th Percentile) | Temperature at 0.6 m from Floor Surface (°C) Median (5th, 95th Percentile) | Temperature at 1.1 m from Floor Surface (°C) Median (5th, 95th Percentile) |
|---|---|---|---|---|
| A, 0-year-old room A, 1-year-old room | Not measured | Not measured | Not measured | Not measured |
| B, 0-year-old room B, 1-year-old room | 27.4 (25.1, 29.2) 27.7 (25.1, 29.7) | 27.5 (24.8, 29.3) 27.8 (24.8, 30.4) | 27.7 (24.6, 29.6) 27.9 (24.8, 30.9) | 28.1 (25.0, 31.7) 27.9 (24.6, 31.1) |
| C, 0-year-old room C, 1-year-old room | 25.6 (25.0, 26.7) 25.8 (24.9, 27.3) | 25.5 (24.8, 26.7) 25.3 (24.0, 27.4) | 25.8 (25.1, 27.1) 25.2 (23.7, 26.8) | 26.4 (25.8, 28.0) 27.3 (26.3, 28.6) |
| D, 0-year-old room D, 1-year-old room | 25.7 (23.8, 27.0) 25.9 (23.0, 26.6) | 25.5 (23.8, 26.8) 25.8 (23.3, 26.7) | 25.5 (24.0, 27.1) 25.8 (23.5, 26.8) | 27.0 (24.6, 28.7) 26.3 (24.9, 27.9) |
| E, 0-year-old room E, 1-year-old room | 26.8 (25.8, 28.8) 24.9 (23.8, 26.3) | 26.5 (25.6, 28.8) 24.7 (23.5, 26.1) | 26.4 (25.4, 28.9) 24.7 (23.6, 26.2) | 25.6 (24.1, 27.1) 28.5 (27.0, 32.9) |
| F, 0-year-old room F, 1-year-old room | 28.6 (27.1, 32.8) 31.2 (28.6, 32.9) | 28.4 (26.9, 33.0) 31.1 (28.2, 32.9) | 28.7 (27.0, 33.4) 31.0 (28.3, 32.8) | 31.7 (29.6, 34.3) 31.9 (29.2, 34.8) |
| G, 0-year-old room G, 1-year-old room | 27.8 (26.4, 29.7) 26.4 (24.1, 28.7) | 27.7 (26.4, 29.7) 26.5 (24.2, 29.0) | 27.6 (26.3, 29.6) 26.6 (24.6, 29.2) | 28.2 (27.0, 30.0) 28.0 (26.1, 30.1) |
| H, 0- and 1-year-old room | 26.6 (26.2, 27.4) | 26.5 (26.0, 27.4) | 26.6 (26.1, 27.6) | 27.8 (26.9, 29.5) |
| I, 0-year-old room I, 1-year-old room | 24.8 (24.4, 25.9) 25.1 (24.6, 26.1) | 24.8 (24.4, 25.9) 25.2 (24.6, 26.3) | 24.8 (24.4, 25.9) 25.2 (24.5, 26.5) | 24.8 (24.3, 25.8) 25.2 (24.6, 26.8) |
| J, 0-year-old room J, 1-year-old room | 25.0 (23.9, 26.7) 25.2 (24.0, 26.6) | 24.8 (23.6, 26.3) 24.9 (23.6, 26.3) | 24.7 (23.4, 26.4) 25.1 (23.8, 26.6) | 25.2 (24.0, 27.5) 25.5 (24.2, 27.1) |
| K, 0-year-old room K, 1-year-old room | 26.5 (25.6, 28.8) 25.3 (24.8, 26.3) | 26.7 (25.8, 29.1) 25.3 (24.7, 26.4) | 27.1 (25.9, 29.3) 25.5 (25.0, 26.7) | 27.4 (26.1, 30.1) 27.3 (26.5, 28.4) |
| L, 0- and 1-year-old room | 24.2 (23.2, 25.1) | 24.4 (23.5, 25.3) | 24.4 (23.5, 25.3) | 25.5 (24.5, 26.3) |
| M, 0-year-old room M, 1-year-old room | 24.6 (23.9, 26.1) 25.9 (25.1, 27.3) | 24.7 (23.8, 26.2) 26.1 (25.2, 27.8) | 24.7 (23.8, 27.5) 26.2 (25.3, 28.1) | 24.9 (24.2, 26.6) 27.8 (26.7, 30.1) |
| N, 0-year-old room N, 1-year-old room | 24.8 (23.9, 25.9) 24.8 (24.4, 25.9) | 24.8 (23.9, 26.1) 24.7 (24.2, 25.9) | 24.8 (23.9, 26.1) 24.7 (24.2, 25.9) | 25.7 (24.7, 27.1) 25.3 (24.5, 28.0) |
| O, 0-year-old room O, 1-year-old room | 27.0 (26.0, 29.5) 24.5 (23.7, 25.4) | 25.9 (24.8, 29.4) 24.4 (23.6, 25.4) | 26.4 (25.2, 29.7) 24.5 (23.7, 25.7) | 26.9 (24.8, 31.5) 25.8 (24.6, 27.3) |
| Nursery, Room | Temperature at 0.1 m from Floor Surface (°C) Median (5th, 95th Percentile) | Temperature at 0.3 m from Floor Surface (°C) Median (5th, 95th Percentile) | Temperature at 0.6 m from Floor Surface (°C) Median (5th, 95th Percentile) | Temperature at 1.1 m from Floor Surface (°C) Median (5th, 95th Percentile) |
|---|---|---|---|---|
| A, 0-year-old room A, 1-year-old room | 16.0 (11.6, 18.4) 14.1 (8.2, 17.4) | 14.8 (8.4, 18.2) 16.6 (11.5, 19.0) | 15.3 (8.5, 19.1) 17.6 (11.5, 20.1) | 16.7 (9.1, 20.5) 20.0 (12.3, 25.8) |
| B, 0-year-old room B, 1-year-old room | 13.7 (9.7, 16.0) 15.7 (11.0, 17.3) | 14.7 (9.9, 16.9) 16.4 (11.0, 18.4) | 16.8 (10.5, 18.7) 17.1 (11.6, 19.5) | 20.5 (12.0, 22.6) 18.7 (14.0, 21.2) |
| C, 0-year-old room C, 1-year-old room | 17.1 (14.9, 18.3) 17.5 (12.4, 20.0) | 17.2 (14.8, 18.2) 18.6 (13.1, 21.0) | 17.9 (15.0, 19.5) 19.2 (12.9, 22.6) | 20.0 (16.6, 21.1) 18.8 (14.5, 24.1) |
| D, 0-year-old room D, 1-year-old room | 18.6 (11.4, 21.2) 16.8 (10.8, 19.9) | 19.3 (12.3, 21.6) 18.8 (13.6, 21.2) | 20.0 (13.2, 22.5) 19.6 (14.0, 21.9) | 21.6 (15.3, 24.3) 19.8 (13.5, 22.1) |
| E, 0-year-old room E, 1-year-old room | 11.8 (7.6, 15.2) 14.6 (10.8, 18.0) | 13.3 (8.6, 17.0) 15.2 (11.2, 18.8) | 16.0 (9.7, 19.1) 16.1 (12.0, 19.7) | 11.8 (10.9, 19.2) 13.5 (12.9, 21.7) |
| F, 0-year-old room F, 1-year-old room | Not measured | Not measured | Not measured | Not measured |
| G, 0-year-old room G, 1-year-old room | 12.2 (10.8, 14.2) 16.4 (12.4, 18.2) | 13.4 (10.8, 16.4) 17.1 (12.6, 19.4) | 14.7 (10.9, 18.9) 17.8 (12.6, 20.5) | 16.5 (10.8, 20.2) 20.5 (14.9, 22.7) |
| H, 0- and 1-year-old room | 16.7 (14.5, 18.4) | 16.8 (14.3, 18.9) | 17.3 (14.4, 19.8) | 19.7 (15.9, 24.2) |
| I, 0-year-old room I, 1-year-old room | Not measured 19.9 (14.2, 22.8) | Not measured 20.8 (14.3, 23.6) | Not measured 21.1 (14.2, 24.0) | 21.6 (15.9, 23.9) 22.7 (15.7, 25.5) |
| J, 0-year-old room J, 1-year-old room | 17.4 (15.1, 18.9) 18.5 (15.4, 19.6) | 17.8 (15.5, 20.2) 19.1 (15.5, 20.9) | 18.5 (15.9, 21.6) 19.8 (15.8, 22.4) | 20.4 (17.6, 24.0) 20.7 (17.0, 24.2) |
| K, 0-year-old room K, 1-year-old room | 17.5 (10.5, 20.5) 17.5 (12.9, 19.8) | 18.3 (10.8, 21.5) 18.1 (13.2, 20.1) | 19.3 (11.5, 22.2) 18.7 (13.9, 20.5) | 20.8 (12.7, 23.7) 20.3 (15.4, 22.0) |
| L, 0- and 1-year-old room | 18.4 (15.2, 20.2) | 19.3 (16.7, 20.9) | 20.3 (17.6, 21.7) | 20.8 (18.2, 23.1) |
| M, 0-year-old room M, 1-year-old room | 19.0 (16.7, 19.6) 17.9 (15.3, 19.2) | 20.2 (17.5, 22.0) 18.0 (15.4, 19.3) | 21.9 (18.7, 24.2) 18.3 (15.9, 19.7) | 22.2 (19.2, 24.0) 19.2 (17.1, 21.5) |
| N, 0-year-old room N, 1-year-old room | 16.9 (13.2, 18.7) 17.8 (14.8, 19.8) | 17.6 (13.2, 19.5) 17.9 (14.7, 20.1) | 17.9 (13.1, 19.9) 17.9 (14.3, 19.9) | 19.4 (13.6, 21.4) 20.1 (15.9, 21.8) |
| O, 0-year-old room O, 1-year-old room | 16.1 (11.9, 18.3) 18.7 (12.3, 20.7) | 17.1 (11.8, 19.3) 20.4 (15.7, 21.9) | 18.7 (12.3, 20.7) 20.9 (15.8, 22.4) | 20.9 (15.2, 23.3) 23.1 (18.2, 24.3) |
| Nursery, Room | Relative Humidity at 1.1 m from Floor Surface (%) Median (5th, 95th Percentile) | Humidity Ratio at 1.1 m from Floor Surface (kg/kg (DA)) Median (5th, 95th Percentile) | Globe Temperature at 1.1 m from Floor Surface (°C) Median (5th, 95th Percentile) |
|---|---|---|---|
| A, 0-year-old room A, 1-year-old room | Not measured | Not measured | Not measured |
| B, 0-year-old room B, 1-year-old room | 60 (50, 82) 66 (52, 82) | 0.015 (0.011, 0.020) 0.015 (0.012, 0.020) | 28.1 (25.0, 31.7) 27.9 (24.6, 31.1) |
| C, 0-year-old room C, 1-year-old room | 66 (56, 77) 59 (49, 69) | 0.014 (0.012, 0.017) 0.013 (0.011, 0.016) | 25.4 (24.6, 27.4) 25.6 (24.3, 27.4) |
| D, 0-year-old room D, 1-year-old room | 63 (47, 74) 59 (41, 70) | 0.014 (0.011, 0.017) 0.013 (0.009, 0.015) | 25.6 (24.1, 27.2) 26.3 (24.1, 28.1) |
| E, 0-year-old room E, 1-year-old room | 61 (55, 72) 56 (40, 72) | 0.013 (0.011, 0.016) 0.013 (0.011, 0.018) | 25.1 (23.6, 26.7) 26.4 (25.4, 29.2) |
| F, 0-year-old room F, 1-year-old room | 46 (34, 62) 55 (47, 69) | 0.013 (0.010, 0.019) 0.017 (0.012, 0.021) | 29.5 (27.7, 33.6) 31.6 (28.5, 34.1) |
| G, 0-year-old room G, 1-year-old room | 56 (44, 66) 62 (50, 70) | 0.013 (0.010, 0.017) 0.015 (0.012, 0.018) | 27.5 (26.4, 29.3) 26.3 (24.3, 28.9) |
| H, 0- and 1-year-old room | 65 (52, 76) | 0.015 (0.013, 0.018) | 26.8 (26.2, 28.1) |
| I, 0-year-old room I, 1-year-old room | 65 (57, 74) 67 (57, 78) | 0.013 (0.011, 0.015) 0.014 (0.012, 0.016) | 24.8 (24.3, 25.8) 25.2 (24.6, 26.8) |
| J, 0-year-old room J, 1-year-old room | 69 (63, 76) 68 (62, 75) | 0.014 (0.012, 0.016) 0.014 (0.012, 0.016) | 25.1 (24.1, 27.2) 25.4 (24.2, 26.9) |
| K, 0-year-old room K, 1-year-old room | 52 (41, 65) 52 (44, 60) | 0.012 (0.011, 0.016) 0.012 (0.010, 0.014) | 26.7 (25.6, 29.1) 26.1 (24.0, 29.1) |
| L, 0- and 1-year-old room | 73 (64, 79) | 0.015 (0.013, 0.017) | 24.4 (23.5, 25.3) |
| M, 0-year-old room M, 1-year-old room | 73 (65, 77) 51 (43, 63) | 0.014 (0.013, 0.015) 0.012 (0.010, 0.016) | 24.8 (24.1, 26.3) 27.5 (26.0, 31.1) |
| N, 0-year-old room N, 1-year-old room | 62 (55, 73) 69 (54, 82) | 0.013 (0.011, 0.016) 0.014 (0.011, 0.017) | 25.3 (24.4, 26.7) 24.4 (23.7, 27.3) |
| O, 0-year-old room O, 1-year-old room | 55 (42, 63) 64 (57, 70) | 0.012 (0.011, 0.016) 0.013 (0.012, 0.015) | 26.1 (23.9, 31.0) 25.2 (23.8, 26.5) |
| Nursery, Room | Relative Humidity at 1.1 m from Floor Surface (%) Median (5th, 95th Percentile) | Humidity Ratio at 1.1 m from Floor Surface (kg/kg (DA)) Median (5th, 95th Percentile) | Globe Temperature at 1.1 m from Floor Surface (°C) Median (5th, 95th Percentile) |
|---|---|---|---|
| A, 0-year-old room A, 1-year-old room | 48 (35, 58) 39 (25, 52) | 0.006 (0.003, 0.007) 0.005 (0.004, 0.007) | 16.6 (9.2, 20.5) 20.0 (12.3, 26.0) |
| B, 0-year-old room B, 1-year-old room | 48 (32, 56) 39 (32, 47) | 0.007 (0.004, 0.008) 0.005 (0.003, 0.007) | 20.5 (12.0, 22.6) 18.7 (14.0, 21.2) |
| C, 0-year-old room C, 1-year-old room | 44 (39, 49) 52 (40, 60) | 0.006 (0.005, 0.007) 0.007 (0.005, 0.008) | 19.4 (15.9, 21.1) 20.1 (14.6, 25.0) |
| D, 0-year-old room D, 1-year-old room | 49 (42, 66) 50 (40, 70) | 0.008 (0.006, 0.011) 0.007 (0.005, 0.011) | 20.5 (14.7, 23.1) 20.0 (15.3, 22.5) |
| E, 0-year-old room E, 1-year-old room | 59 (51, 67) 48 (38, 61) | 0.005 (0.004, 0.008) 0.005 (0.004, 0.007) | 18.5 (11.4, 20.7) 18.1 (13.9, 21.5) |
| F, 0-year-old room F, 1-year-old room | Not measured | Not measured | Not measured |
| G, 0-year-old room G, 1-year-old room | 46 (33, 64) 43 (32, 52) | 0.005 (0.004, 0.007) 0.006 (0.004, 0.008) | 16.5 (10.8, 20.2) 19.6 (14.1, 21.7) |
| H, 0- and 1-year-old room | 46 (29, 66) | 0.006 (0.004, 0.009) | 18.2 (15.2, 22.2) |
| I, 0-year-old room I, 1-year-old room | 45 (35, 53) 44 (35, 52) | 0.007 (0.005, 0.009) 0.008 (0.005, 0.009) | 21.4 (14.6, 25.2) 22.0 (15.6, 24.8) |
| J, 0-year-old room J, 1-year-old room | 36 (25, 45) 36 (27, 44) | 0.006 (0.004, 0.007) 0.005 (0.004, 0.007) | 19.8 (17.1, 23.7) 20.3 (16.3, 23.8) |
| K, 0-year-old room K, 1-year-old room | 47 (37, 53) 46 (36, 53) | 0.007 (0.005, 0.008) 0.007 (0.005, 0.008) | 20.1 (11.8, 31.9) 19.3 (14.5, 21.6) |
| L, 0- and 1-year-old room | 41 (26, 64) | 0.006 (0.004, 0.010) | 21.0 (18.1, 22.4) |
| M, 0-year-old room M, 1-year-old room | 46 (29, 75) 63 (43, 79) | 0.007 (0.005, 0.011) 0.009 (0.006, 0.011) | 22.3 (19.0, 24.5) 19.1 (16.7, 21.3) |
| N, 0-year-old room N, 1-year-old room | 51 (41, 60) 44 (33, 51) | 0.007 (0.005, 0.009) 0.006 (0.004, 0.008) | 18.7 (13.4, 20.5) 19.4 (14.8, 21.4) |
| O, 0-year-old room O, 1-year-old room | 44 (37, 55) 41 (33, 51) | 0.007 (0.005, 0.009) 0.007 (0.005, 0.009) | 20.6 (15.3, 23.1) 22.5 (17.9, 23.6) |
| Nursery, Room | Weekday Median (5th, 95th Percentile) | Saturday Median (5th, 95th Percentile) | Holiday Median (5th, 95th Percentile) |
|---|---|---|---|
| A, 0-year-old room A, 1-year-old room | Not measured | Not measured | Not measured |
| B, 0-year-old room B, 1-year-old room | 692 (394, 1424) 564 (417, 1126) | 432 (378, 630) 414 (402, 518) | 388 (375, 411) 407 (382, 437) |
| C, 0-year-old room C, 1-year-old room | 801 (515, 1000) 1078 (525, 1523) | 758 (493, 891) 993 (471, 1451) | 503 (476, 554) 486 (445, 556) |
| D, 0-year-old room D, 1-year-old room | 827 (464, 1210) 1061 (457, 1359) | 532 (480, 807) 536 (485, 808) | 527 (521, 532) 463 (451, 476) |
| E, 0-year-old room E, 1-year-old room | 1268 (669, 1758) 996 (441, 1518) | 1080 (622, 1322) 497 (424, 1108) | 429 (416, 467) 440 (417, 465) |
| F, 0-year-old room F, 1-year-old room | 1157 (426, 1815) 545 (406, 1803) | 654 (411, 1894) 455 (404, 1657) | 421 (404, 431) 411 (396, 428) |
| G, 0-year-old room G, 1-year-old room | 551 (419, 1163) 494 (407, 1208) | 444 (421, 512) 479 (434, 687) | 410 (398, 414) 430 (419, 432) |
| H, 0-year-old room H, 1-year-old room | 657 (444, 829) 426 (401, 448) | 457 (429, 850) 430 (408, 940) | 419 (409, 433) 406 (403, 419) |
| I, 0-year-old room I, 1-year-old room | 967 (454, 1268) 969 (464, 1332) | 860 (463, 1097) 876 (438, 1101) | 554 (533, 606) 473 (450, 495) |
| J, 0-year-old room J, 1-year-old room | 668 (408, 1282) 944 (393, 1875) | 866 (494, 1490) 913 (435, 1752) | 427 (404, 443) 406 (401, 422) |
| K, 0-year-old room K, 1-year-old room | 1708 (652, 2172) 1468 (843, 2003) | 1298 (800, 1791) 1293 (866, 1754) | 574 (521, 651) 585 (532, 669) |
| L, 0- and 1-year-old room | 795 (469, 1121) | 662 (505, 902) | 412 (401, 422) |
| M, 0-year-old room M, 1-year-old room | 985 (495, 1306) 1373 (410, 2224) | 708 (534, 878) 843 (410, 1170) | 398 (393, 407) 370 (366, 382) |
| N, 0-year-old room N, 1-year-old room | 922 (439, 1790) 766 (455, 1689) | 813 (698, 904) 812 (615, 1015) | 425 (419, 456) 446 (441, 477) |
| O, 0-year-old room O, 1-year-old room | 675 (458, 1014) 1072 (490, 1836) | 492 (444, 569) 634 (495, 739) | 442 (438, 451) 430 (423, 448) |
| Nursery, Room | Weekday Median (5th, 95th Percentile) | Saturday Median (5th, 95th Percentile) | Holiday Median (5th, 95th Percentile) |
|---|---|---|---|
| A, 0-year-old room A, 1-year-old room | 598 (429, 876) 810 (442, 1151) | 457 (399, 691) 687 (442, 1192) | 471 (458, 531) 421 (406, 458) |
| B, 0-year-old room B, 1-year-old room | 1144 (451, 1746) 839 (467, 1421) | N.A. N.A. | 390 (381, 433) 419 (404, 450) |
| C, 0-year-old room C, 1-year-old room | 1084 (585, 1303) 1296 (549, 1773) | N.A. N.A. | 543 (461, 672) 532 (440, 644) |
| D, 0-year-old room D, 1-year-old room | 880 (468, 1261) 845 (496, 1290) | 592 (447, 788) 677 (486, 920) | 428 (422, 448) 461 (457, 486) |
| E, 0-year-old room E, 1-year-old room | 950 (439, 1397) 1108 (660, 1436) | 733 (446, 890) 942 (516, 1222) | 423 (411, 446) 411 (406, 426) |
| F, 0-year-old room F, 1-year-old room | Not measured | Not measured | Not measured |
| G, 0-year-old room G, 1-year-old room | 665 (435, 879) 1029 (449, 1482) | 474 (419, 630) 1121 (470, 2388) | 418 (404, 428) 444 (429, 458) |
| H, 0- and 1-year-old room | 635 (429, 850) | 478 (395, 593) | 416 (402, 427) |
| I, 0-year-old room I, 1-year-old room | 1033 (510, 1386) 1059 (455, 1585) | 814 (495, 946) 963 (466, 1298) | 474 (459, 499) 456 (448, 461) |
| J, 0-year-old room J, 1-year-old room | 943 (503, 1403) 900 (539, 1394) | 719 (482, 1012) 785 (482, 1116) | 404 (399, 418) 414 (403, 435) |
| K, 0-year-old room K, 1-year-old room | 1236 (452, 1885) 1196 (509, 1926) | 941 (440, 1304) 877 (472, 1213) | 412 (408, 450) 413 (408, 457) |
| L, 0- and 1-year-old room | 667 (453, 964) | 595 (432, 664) | 380 (378, 390) |
| M, 0-year-old room M, 1-year-old room | 1042 (547, 1386) 1629 (473, 2670) | 716 (507, 1055) 1169 (478, 1817) | 405 (401, 429) 400 (393, 418) |
| N, 0-year-old room N, 1-year-old room | 1126 (449, 1685) 1279 (441, 1992) | 543 (431, 660) 1076 (420, 1468) | 415 (406, 438) 416 (410, 435) |
| O, 0-year-old room O, 1-year-old room | 692 (487, 1074) 757 (469, 1188) | 529 (430, 566) 693 (459, 830) | 408 (404, 415) 417 (415, 424) |
References
- Ministry of Health, Labour and Welfare, Japan. Summary of Related Situations such as Nursery School in 1 April 2021. Available online: https://www.mhlw.go.jp/stf/newpage_20600.html (accessed on 25 October 2021). (In Japanese)
- Ministry of Education, Culture, Sports, Science and Technology, Japan. The School Environmental Health Standard. 2009. Available online: https://www.mext.go.jp/a_menu/kenko/hoken/1353625.htm (accessed on 25 October 2021). (In Japanese)
- The Infectious Disease Control Guidelines for Nursery Schools (2018 Revised Edition). Available online: https://www.mhlw.go.jp/file/06-Seisakujouhou-11900000-Koyoukintoujidoukateikyoku/0000201596.pdf (accessed on 25 October 2021). (In Japanese)
- ANSI/ASHRAE Standard 55-2017; Thermal Environmental Conditions for Human Occupancy. American Society of Heating, Refrigerating and Air-Conditioning Engineers, Inc.: Atlanta, GA, USA, 2017.
- Kawai, K.; Ueno, K. Overview of present situation in Japan and international standards and guidelines of acoustic environment of nursery facilities: Toward the expansion of the AIJES for sound environment in school buildings. In Proceedings of the Annual Meeting of AIJ, Kobe, Japan, 14 September 2014; Volume D-1, pp. 301–304. (In Japanese). [Google Scholar]
- Acoustic Design of Schools: Performance Standards; Building Bulletin 93; Education & Skills Funding Agency: Coventry, UK, 2015. Available online: https://www.gov.uk/government/publications/bb93-acoustic-design-of-schools-performance-standards (accessed on 21 October 2021).
- Guidelines on Ventilation, Thermal Comfort and Indoor Air Quality in Schools Version 1 in 2018; Building Bulletin 101; Education & Skills Funding Agency: Coventry, UK, 2018. Available online: https://www.gov.uk/government/publications/building-bulletin-101-ventilation-for-school-buildings (accessed on 25 October 2021).
- Wargocki, P.; Wyon, D.P. Providing better thermal and air quality conditions in school classrooms would be cost-effective. Build. Environ. 2013, 59, 581–589. [Google Scholar] [CrossRef]
- Almeida, R.M.S.F.; de Freitas, V.P. Indoor environmental quality of classrooms in Southern European climate. Energy Build. 2014, 81, 127–140. [Google Scholar] [CrossRef]
- Hou, Y.; Liu, J.; Li, J. Investigation of indoor air quality in primary school classrooms. Procedia Eng. 2015, 121, 830–837. [Google Scholar] [CrossRef]
- Stabile, L.; Dell’Isola, M.; Frattolillo, A.; Massimo, A. Effect of natural ventilation and manual airing on indoor air quality in naturally ventilated Italian classrooms. Build. Environ. 2016, 98, 180–189. [Google Scholar] [CrossRef]
- Deng, S.; Lau, J. Seasonal variations of indoor air quality and thermal conditions and their correlations in 220 classrooms in the Midwestern United States. Build. Environ. 2019, 157, 79–88. [Google Scholar] [CrossRef]
- Korsavi, S.S.; Montazami, A.; Mumovic, D. Indoor air quality (IAQ) in naturally-ventilated primary schools in the UK: Occupant-related factors. Build. Environ. 2020, 180, 106992. [Google Scholar] [CrossRef]
- Kurabuchi, T.; Iino, Y.; Kawase, T. Air quality, thermal environment and thermal environmental evaluations in elementary school classrooms equipped with cooling systems in mild climate areas. J. Environ. Eng. AIJ 2009, 74, 893–899. (In Japanese) [Google Scholar] [CrossRef][Green Version]
- Iwashita, G.; Yoshino, H. The effect of natural ventilation on the indoor air quality in classroom of the elementary school without heating equipments during winter season. In Proceedings of the 2nd PALENC Conference and 28th AIVC Conference on Building Low Energy Cooling and Advanced Ventilation Technologies in the 21st Century, Crete, Greece, 27–29 September 2007; pp. 446–449. [Google Scholar]
- Iwashita, G. Indoor air quality and thermal environment in classrooms of an elementary school during summer season before/after installing air conditioner. J. Environ. Eng. AIJ 2009, 74, 877–882. (In Japanese) [Google Scholar] [CrossRef]
- Sudo, M.; Ito, K.; Sasaki, H.; Iwashita, G.; Ueno, K.; Hiwatashi, K.; Nakae, T.; Goto, T. The effect of academic performance on classroom environment for junior high school students. J. Environ. Eng. AIJ 2011, 76, 201–209. (In Japanese) [Google Scholar] [CrossRef][Green Version]
- Yanai, Y.; Ikaga, T.; Kawakubo, S. A field survey of classroom environmental quality in terms of students’ physical conditions and concentration. J. Environ. Eng. AIJ 2012, 77, 533–539. (In Japanese) [Google Scholar] [CrossRef][Green Version]
- Iwashita, G. Air environmental quality during winter period in classrooms of elementary/secondary schools in Tokyo metropolitan district X based on the environmental hygienic audit in schools, Study on air environmental quality in schools using administrative data as an evidence (Part 1). J. Environ. Eng. AIJ 2014, 79, 865–870. (In Japanese) [Google Scholar]
- Iwashita, G. Time series analysis on the incidence of influenza in elementary schools during winter season using temperature and humidity. J. Environ. Eng. AIJ 2017, 82, 257–264. (In Japanese) [Google Scholar] [CrossRef][Green Version]
- Iwashita, G. Study on evaluation method for indoor air environment in classrooms with open-space using index of air stuffiness “ICONE”. AIJ J. Technol. Des. 2020, 26, 185–190. (In Japanese) [Google Scholar] [CrossRef][Green Version]
- Ramalho, O.; Mandin, C.; Ribéron, J.; Wyart, G. Air stuffiness and air exchange rate in French schools and daycare centres. Int. J. Vent. 2013, 12, 175–180. [Google Scholar] [CrossRef]
- Kolarik, B.; Andersen, Z.J.; Ibfelt, T.; Engelund, E.H.; Møller, E.; Bräuner, E.V. Ventilation in day care centers and sick leave among nursery children. Indoor Air 2016, 26, 157–167. [Google Scholar] [CrossRef]
- Canha, N.; Mandin, C.; Ramalho, O.; Wyart, G.; Ribéron, J.; Dassonville, C.; Hänninen, O.; Almeida, S.M.; Derbez, M. Assessment of ventilation and indoor air pollutants in nursery and elementary schools in France. Indoor Air 2016, 26, 350–365. [Google Scholar] [CrossRef]
- Oliveira, M.; Slezakova, K.; Deleru-Matos, C.; Pereira, M.C.; Morais, S. Assessment of air quality in preschool environments (3–5 years old children) with emphasis on elemental composition of PM10 and PM2.5. Environ. Pollut. 2016, 214, 430–439. [Google Scholar] [CrossRef]
- Kawai, K. Current situation of acoustic environment in childcare facilities in Japan: A comprehensive survey in Kumamoto City region. J. Phys. Conf. Ser. 2018, 1075, 012004. [Google Scholar] [CrossRef]
- Aoki, T.; Mizutani, A. Field survey on the actual conditions and improvement of indoor temperature and humidity in kindergartens in Gifu area during winter. J. Environ. Eng. AIJ 2017, 82, 821–830. (In Japanese) [Google Scholar] [CrossRef][Green Version]
- Taneichi, S.; Aoki, T.; Sudo, M.; Mizutani, A. Effects of influenza prevention on indoor temperature and humidity environment in children’s facilities during winter (part 1): Examination using questionnaire and field survey in the southern Tohoku region. J. Environ. Eng. AIJ 2021, 86, 59–67. (In Japanese) [Google Scholar] [CrossRef]
- Genjo, K. Indoor climate for infants in nursery school classrooms. In Proceedings of the Annual Meeting of SHASE, Kochi, Japan, 14 September 2017; Volume 6, pp. 121–124. (In Japanese). [Google Scholar]
- Genjo, K. Indoor climate in nursery school in mild climatic area. In Proceedings of the 42nd Symposium on Human-Environment System, Osaka, Japan, 9 December 2018; pp. 187–190. (In Japanese). [Google Scholar]
- Ministry of Health, Labour and Welfare. Standards on Facilities and Operation of Child Welfare Institution; Ministry of Health, Labour and Welfare: Tokyo, Japan, 2011. (In Japanese)
- Japan Meteorological Agency. Available online: https://www.data.jma.go.jp/obd/stats/etrn/ (accessed on 25 April 2022). (In Japanese)
- Shoji, M. Influenza Epidemic Forecast in Japan. Glob. Environ. Res. 2003, 8, 165–174. (In Japanese) [Google Scholar]
- Berglund, B.; Lindvall, T.; Schwela, H.D. Guidelines for Community Noise WHO; WHO: Geneva, Switzerland, 1999; Available online: https://apps.who.int/iris/handle/10665/66217?show=full (accessed on 3 June 2022).
- Ministry of Health, Labour and Welfare. Act on Maintenance of Sanitation in Buildings; Ministry of Health, Labour and Welfare: Tokyo, Japan, 1970.
- JIS Z 9110: 1979; Recommended Levels of Illumination. Japanese Industrial Standard: Tokyo, Japan, 1979.
- Kawai, K.; Sato, M.; Noguchi, S.; Funaba, H. A survey on the current situation of acoustic design in child daycare facilities in Munich city region. AIJ J. Technol. Des. 2018, 24, 1083–1086. (In Japanese) [Google Scholar] [CrossRef]














| Name | Nursery A | Nursery B | Nursery C | Nursery D | Nursery E | Nursery F | Nursery G | Nursery H |
|---|---|---|---|---|---|---|---|---|
| Classification | public | public | public | public | private | private | private | private |
| Building form | single | composite | composite | composite | single | single | single | single |
| Completion | 1949 | 1969 | 1970 | 1972 | 1972 | 1988 | 1999 | 2012 |
| Structure 1,2 | RC | S | RC | RC | RC | RC | S | RC |
| Floor number | 2 floors | 2 floors | 3 floors | 1 floor | 3 floors | 2 floors | 3 floors | 2 floors |
| Gross floor area (m2) | 665.28 | 483.29 | 667.56 | 827.52 | 662.56 | 1014.18 | 408.67 | 763.68 |
| Space cooling system 3 | AC | AC | AC | AC | AC | AC | AC | AC |
| Space heating system 3,4,5 | AC, KH | AC, EC | AC | AC, EC | AC | AC | AC | AC |
| Ventilation system | natural | natural | natural | mechanical | natural | mechanical | mechanical (not used) | mechanical |
| Other equipment | air cleaner, humidifier | humidifier | air cleaner, humidifier | air cleaner, humidifier | humidifier | air cleaner, humidifier | air cleaner, humidifier | air cleaner, humidifier |
| Lighting equipment 6,7 | FL | FL, IL | LED, FL | FL | LED, FL | LED | FL | FL |
| Opening time | 7:30–18:00 | 7:30–18:00 | 7:30–18:00 | 7:00–18:00 | 7:00–19:00 | 7:00–18:00 | 7:00–18:00 | 7:00–18:00 |
| Capacity | 120 | 90 | 120 | 140 | 130 | 90 | 135 | 80 |
| Area of infants’ room (m2/head) summer/winter 8 | 0-year-old room:-/5.78 1-year-old room: -/3.20 | 0-year-old room:6.4/4.8 1-year-old room: 4.0/4.0 | 0-year-old room:5.3/4.0 1-year-old room:3.1/2.9 | 0-year-old room:4.5/4.5 1-year-old room:5.8/5.3 | 0-year-old room:5.5/3.6 1-year-old room:2.7/2.8 | 0-year-old room:6.8/- 1-year-old room:1.9/- | 0-year-old room:4.3/4.1 1-year-old room:1.7/1.7 | 0- and 1-year-old room: 5.1/4.6 |
| Survey year | 2016 | 2017 | 2017 | 2019 | 2017 | 2017 | 2018 | 2018 |
| Name | Nursery I | Nursery J | Nursery K | Nursery L | Nursery M | Nursery N | Nursery O |
|---|---|---|---|---|---|---|---|
| Classification | private | private | private | private | private | private | unlicensed in-house |
| Building form | single | composite | single | single | single | composite | single |
| Completion | 2013 | 2013 | 2013 | 2014 | 2015 | 2016 | 2017 |
| Structure 1,2,3 | RC | RC | W | S | RC | RC | S |
| Floor number | 2 floors | 3 floors | 2 floors | 2 floors | 2 floors | 2 floors 1 basement | 1 floor |
| Gross floor area | 968.24 | 1310 | unknown | 1186.93 | 963.17 | 1233.41 | 252 |
| Space cooling system 4 | AC | AC | AC | AC | AC | AC | AC |
| Space heating system 4,5,6,7 | AC, FH | AC, FH | AC, KH | AC | AC | AC, FH | AC |
| Ventilation system | mechanical | mechanical | mechanical | mechanical | mechanical | mechanical | mechanical |
| Other equipment | air cleaner, humidifier | humidifier | air cleaner, humidifier | air cleaner | air cleaner, humidifier | air cleaner, humidifier | air cleaner |
| Lighting equipment 8,9 | LED | LED | FL | LED, FL | LED | LED | LED |
| Opening time | 7:00–18:00 | 7:00–18:00 | 7:00–19:00 | 7:00–20:00 | 7:00–19:00 | 7:00–18:00 | 7:00–18:00 |
| Capacity | 100 | 119 | 60 | 140 | 140 | 190 | 30 |
| Area of infants’ room (m2/head) summer/winter | 0-year-old room: 2.1/2.3 * 1-year-old room: 3.4/2.3 * | 0-year-old room: 2.6/1.6 1-year-old room: 1.5/1.5 | 0-year-old room: 3.7/3.7 1-year-old room: 2.7/2.7 | 0- and 1-year-old room: 4.5/3.2 | 0-year-old room: 1.6/1.5 1-year-old room: 1.3/1.3 | 0-year-old room: 3.2/3.2 1-year-old room: 2.8/2.8 | 0-year-old room: 5.5/3.9 1-year-old room: 4.6/4.6 |
| Survey year | 2018 | 2016 | 2019 | 2019 | 2019 | 2018 | 2019 |
| Measurement Items | Measurement Height (Number of Sensors) | Measurement Interval | Measurement Equipment | Range and Accuracy |
|---|---|---|---|---|
| Temperature | 0.1, 0.3, and 0.6 m above the floor (1 for each height) | 10 or 5 min (as for CO2 measured in 2016 and 2017) | small data logger for temperature and humidity measurement (RSW-21S) | range: 0 to 55 °C, 10 to 95%RH |
| Humidity | accuracy: ±0.5 °C, ±5%RH | |||
| Carbon dioxide concentration, temperature, humidity | 1.1 m above the floor (1) | data logger for carbon dioxide concentration, temperature, and humidity measurement (TR-76Ui) | range: 0 to 9999 ppm accuracy: ±50 ppm of range ± 5% of reading range: 0 to 55 °C, 10 to 95%RH accuracy: ±0.5 °C, ±5%RH | |
| Globe temperature | 1.1 m above the floor (1) | small data logger for temperature measurement (RTW-31S), globe thermometer with a diameter of 75 mm | range: −20 to 80 °C accuracy: ±0.3 °C | |
| PM2.5 concentration (particle number) | 1.1 m above the floor (1) | 1 min for 10 min measurement | air quality monitor (laser light scattering particle counter, DC170, sampling flow rate: 1.7 L/min) | particle size sensitivity: 0.5, 2.5 μm |
| Illumination | 0.1–1.1 m above the floor (1) | 10 min | data logger for illumination measurement (TR-74Ui) | range: 0 to 130 klx accuracy: ±5% |
| Equivalent noise level | 1.1 m above the floor (1) | 10 min measurement | normal noise level meter (NL-27) | range: 30 to 137 dB resolution: 0.1 dB (class 2) |
| Nursery, Room | 0-Year-Old Room | 1-Year-Old Room | Outdoor |
|---|---|---|---|
| A, in the summer A, in the winter | Not measured 5107, 0.90, very poor | Not measured 4580, 0.81, very poor | Not measured 5673, very poor |
| B, in the summer B, in the winter | 1302, 0.48, poor 1391, 0.31, poor | 1373, 0.51, poor 1529, 0.34, poor | 2685, poor 4447, very poor |
| C, in the summer C, in the winter | 6596, 1.37, very poor 2541, 1.40, poor | 6051, 1.25, very poor 1299, 0.71, poor | 4823, very poor 1820, poor |
| D, in the summer D, in the winter | 2562, 1.97, poor 1802, 0.25, poor | 2610, 2.01, poor 4700, 0.64, very poor | 1301, poor 7340, very poor |
| E, in the summer E, in the winter | 1005, 0.75, fair 1005, 0.25, fair | 872, 0.65, fair 1351, 0.34, poor | 1348, poor 3992, very poor |
| F, in the summer F, in the winter | 2813, 0.85, poor Not measured | 4857, 1.47, very poor Not measured | 3295, very poor Not measured |
| G, in the summer G, in the winter | 1219, 1.04, poor 1347, 0.87, poor | 1275, 1.08, poor 1345, 0.87, poor | 1176, poor 1543, poor |
| H, in the summer H, in the winter | 2502, 4.47, poor 7515, 0.94, poor | 560, fair 7998, very poor | |
| I, in the summer I, in the winter | 776, 0.70, fair 4907, 0.66, very poor | 944, 0.85, fair 5778, 0.78, very poor | 1108, poor 7450, very poor |
| J, in the summer J, in the winter | 2863, N.A., poor 6805, 1.89, very poor | 1645, N.A., poor 4375, 1.21, very poor | Not measured 3610, very poor |
| K, in the summer K, in the winter | 545, 0.84, fair 3448, 0.66, very poor | 514, 0.80, fair 1647, 0.32, poor | 645, fair 5195, very poor |
| L, in the summer L, in the winter | 5031, 0.79, very poor 1208, 1.07, poor | 6355, very poor 1133, poor | |
| M, in the summer M, in the winter | 797, 0.70, fair 1292, 0.11, poor | 445, 0.39, fair 1166, 0.10, poor | 1146, poor 12,239, very poor |
| N, in the summer N, in the winter | 820, 0.73, fair 2893, 0.54, poor | 1069, 0.95, poor 4070, 0.76, very poor | 1121, poor 5375, very poor |
| O, in the summer O, in the winter | 1469, N.A., poor 699, 0.48, fair | 1374, N.A., poor 611, 0.42, fair | Not measured 1444, poor |
Publisher’s Note: MDPI stays neutral with regard to jurisdictional claims in published maps and institutional affiliations. |
© 2022 by the author. Licensee MDPI, Basel, Switzerland. This article is an open access article distributed under the terms and conditions of the Creative Commons Attribution (CC BY) license (https://creativecommons.org/licenses/by/4.0/).
Share and Cite
Genjo, K. Assessment of Indoor Climate for Infants in Nursery School Classrooms in Mild Climatic Areas in Japan. Buildings 2022, 12, 1054. https://doi.org/10.3390/buildings12071054
Genjo K. Assessment of Indoor Climate for Infants in Nursery School Classrooms in Mild Climatic Areas in Japan. Buildings. 2022; 12(7):1054. https://doi.org/10.3390/buildings12071054
Chicago/Turabian StyleGenjo, Kahori. 2022. "Assessment of Indoor Climate for Infants in Nursery School Classrooms in Mild Climatic Areas in Japan" Buildings 12, no. 7: 1054. https://doi.org/10.3390/buildings12071054
APA StyleGenjo, K. (2022). Assessment of Indoor Climate for Infants in Nursery School Classrooms in Mild Climatic Areas in Japan. Buildings, 12(7), 1054. https://doi.org/10.3390/buildings12071054

